Nachrichten für Luftfahrer 2021 Teil 2 (weicht ggf. von Druckversion ab)

/ 3270
PDF herunterladen
Bekanntmachung von Lufttüchtigkeitsforderungen für schwerkraftgesteuerte Ultraleichtflugzeuge, Bauart: Trike und
Fußstart-UL




                                                                                                                   2021-2-651
        Elektrische Energieanlage
        7.8.
        Die Energieanlage muss so gestaltet und ausgeführt sein, dass der Motor im gesamten
        Betriebsbereich unter allen Anlass-, Flug- und atmosphärischen Bedingungen mit der für das
        einwandfreie Arbeiten nötigen Energie versorgt wird.
        7.8.1.
        Auswirkungen auf die Antriebsbatterie, wenn das Antriebssystem durch den Wind angetrieben
        wird und der Motor möglicherweise als Generator arbeitet, müssen betrachtet werden.
        7.8.2.
        Sichere Batteriezellentemperaturen und -drücke müssen während jeder Art des normalen Betriebs
        aufrechterhalten werden (Laden oder Entladen, Boden- oder Flugbetrieb).
        7.8.3.
        Die Konstruktion und die Installation der Batterie müssen das Auftreten von unkontrolliertem
        Ansteigen von Temperatur und Druck in der Batterie ausschließen.
        7.8.4.
        Es muss ein Batterietemperaturerfassungs- und Übertemperaturwarnsystem mit einem Mittel zum
        automatischen Trennen der Batterie von seiner Ladequelle bzw. des Antriebsystems vorgesehen
        werden im Falle eines Übertemperaturzustandes sowie ein System zur Erkennung und Warnung
        von Batteriefehlern, welches ebenfalls eine automatische Trennung im Fehlerfall bewirkt.
        7.8.5.
        Eigenschaften der Batterie, einschließlich der Fehlermodi wie z.B. thermisches Durchgehen,
        Expansion, Explosion und toxische Emission sollen identifiziert werden.
        7.8.6.
        Batteriezellen und andere Unterkomponenten des Systems sollen so entworfen, montiert und
        installiert werden, um Auswirkungen dieser Fehlermodi zu minimieren. Die
        Auslegungsmaßnahmen können umfassen:
            - Minderung der Auswirkungen von thermischem Durchgehen oder Feuer und
                 Sicherstellung, dass die umgebende Struktur in der Lage ist thermische Belastungen,
                 ätzende Flüssigkeiten oder Gasen standzuhalten.
            - Konstruktion der Batterie und/oder des Batteriefachs, um gefährliche Überdruckszenarien
                 zu verhindern.
        7.8.7.
        Jede Energieanlage muss so angeordnet sein, dass eine gleichmäßige Belastung der Batteriezellen
        durch eine geeignete Einrichtung kontrolliert wird. Hinweis: Bei Lithiumbatterien z.B. durch
        Einzelzellenüberwachung/Einzelabschaltung.
        7.8.8.
        Es muss ein Schutz gegen Überladung und Tiefentladung der Energiespeicher vorgesehen sein.
        7.8.9.
        Die nicht nutzbare Energie-Restmenge muss ermittelt/festgelegt sein und durch eine Anzeige der
        Restladung (Low-Level Angabe) angezeigt werden.
        7.8.10.
        Das Ladegerät muss für die vorgesehenen Energiespeicher geeignet und gekennzeichnet sein.
                                                                                                                   09.12.2021




        7.8.11.
                                                                                                       27
3111

Bekanntmachung von Lufttüchtigkeitsforderungen für schwerkraftgesteuerte Ultraleichtflugzeuge, Bauart: Trike und
Fußstart-UL




                                                                                                                   2021-2-651
        Alle Bauteile, an denen Spannungen über 120 V Gleichspannung anliegen, sind mit Warnzeichen
        gemäß Anlage 2 zu kennzeichnen.
        7.8.12.
        Die Energiespeicheranschlüsse müssen konstruktiv gegen Berühren, Verpolen und Kurzschließen
        geschützt sein.
        7.8.13.
        Es muss eine Überstromsicherung nah an der Spannungsquelle vorgesehen sein, die für die
        maximal im System auftretende Gleichspannung ausgelegt ist. Die Sicherung kann mit dem
        Haupttrennschalter kombiniert werden.
        7.8.14.
        Berührungsschutz/Isolation ist bei allen für den normalen Betrieb zu bedienenden Einrichtungen
        vorzusehen.
        7.8.15.
        Alle Bauteile zur Leistungsübertragung sind so zu dimensionieren, dass sie bei maximal
        möglicher Startleistung nicht die maximal zulässigen Temperaturen überschreiten.
        7.8.16.
        Die maximale Nenn-Spannung darf 900 V Gleichspannung nicht übersteigen.
        Energiequellen
        7.9.
        7.9.1.
        Die Eignung und Zuverlässigkeit der Energiequellen müssen aufgrund von Erfahrungen oder
        Versuchen nachgewiesen sein. Die Batteriezellen müssen qualifiziert sein gemäß UN T 38.3.
        7.9.2.
        Für die je nach Einbauort individuell aus Einzelzellen konfektionierte Gesamtbatterie sind in
        Anlehnung an RTCA DO 311A mindestens folgende Versuche durchzuführen:

            -    Batteriemanagementsystem (BMS) Datenerfassungsversuche (Genauigkeit der Sensoren
                 (Spannung, Temperatur)
            -    BMS Versuche zur aktiven Schutzfunktionen (Über-/Unterspannung, Übertemperatur)
            -    Versuche zur Batterieleistungsfähigkeit (Ladezustand (state of charge), Dauerleistung,
                 Isolation, Spannungsfestigkeit) - Sicherheitsversuche:
                 - Kurzschlusstest einer Einzelzelle
                 - Kurzschlusstest der Gesamtbatterie ohne Schutz (BMS und Sicherungen)
                 - Kurzschlusstest der Gesamtbatterie mit Schutz (auf Batterielevel)
                 - Thermal runaway Versuch, initiiert in einer Zelle (Appendix C, DO 311A)
                 - Tiefentladungsversuch ohne Schutz
                 - Im Fall von aus dem Flugzeug entnehmbaren Batterien Fallversuch, um
                     Schutzfunktion zu überprüfen (Accelerometer/shock sticker)

        Auf Grundlage dieser Punkte ist ein Versuchsplan zu erstellen, der die individuelle
        Einbausituation des jeweiligen Antriebssystems berücksichtigt.
        Einbau der Energiequellen
                                                                                                                   09.12.2021




        7.9.4.
                                                                                                        28
3112

Bekanntmachung von Lufttüchtigkeitsforderungen für schwerkraftgesteuerte Ultraleichtflugzeuge, Bauart: Trike und
Fußstart-UL




                                                                                                                   2021-2-651
        7.9.4.1.
        Jeder Einbauraum einer Energiequelle muss belüftet sein. Sollte die Möglichkeit bestehen, dass
        Flüssigkeiten austreten können, ist ein Ablauf mit einem Auffangvolumen vorzusehen.
        7.9.4.2.
        Es muss nachgewiesen werden, dass der Einbauort der Energiequellen den Betrieb des
        Luftsportgerätes oder die normale Bewegungsfreiheit des/der Insassen in keiner Weise behindert.
        7.9.4.3.
        Energiequellen sind so einzubauen, dass Insassen und Struktur nicht gefährdet werden können.
        7.9.4.4.
        Es müssen ein aktives Feuerwarnsystem im Einbauort der Antriebsbatterie und entsprechende
        Notverfahren eingesetzt werden. Es muss sichergestellt sein, dass das aktive Feuerwarnsystem
        bei jedem Flug betriebsbereit ist (z.B. durch Vorflugkontrollen)
        Elektrische Leitungen und Zubehör
        7.10.
        Jede elektrische Leitung muss einen ausreichenden Querschnitt haben und einwandfrei
        verlegt, befestigt und angeschlossen sein, so dass Kurzschlüsse und Brandgefahr ausgeschlossen
        sind.
        7.10.1.
        Elektrische Leitungen sind so zu verlegen, dass elektromagnetische und gegenseitige
        Beeinflussungen den sicheren Betrieb nicht gefährden. Im gesamten Betriebsbereich
           - muss ein einwandfreier Betrieb eines Funkgeräts möglich sein
           - darf keine Funkstörung intern und extern auftreten
           - darf keine Gefährdung von Personen durch Kontaktstrom oder induzierten Strom
                auftreten (z. B. gemäß DIN EN 62311 oder CE Kennzeichnung)
        7.10.2.
        Die Verlegung muss den Angaben des Kabelherstellers folgen (Biegeradien etc.)
        7.10.3.
        Alle Kabel, die Gleichspannungen über 120 V führen, sind in Farbe Orange zu ummanteln, bzw.
        alle 30 cm mit Warnzeichen gemäß Anlage 2 dauerhaft zu versehen. Am Kabelende ist jeweils
        deutlich eine (+) oder (-) bzw. Motoranschluss-Kennzeichnung anzubringen.
        Triebwerks-Überwachungsgeräte
        7.11.
        Es müssen folgende Überwachungsgeräte eingebaut sein:
            - Triebwerks-Drehzahl-/ Leistungsanzeige
            - Ladezustandsanzeige der Energiequelle mit Anzeige der Restladung (Low-Level Angabe)
            - Temperaturanzeige/n Motor
            - Betriebsstundenzähler
            - Temperaturanzeige Umrichter/Regler
            - Warnanzeige für Temperaturüberschreitung der Batteriezellen
            - Warnanzeige Batterie- und BMS-Fehler
            - unabhängige Warnanzeige Rauch-/Feuermelder für Batteriefach
                                                                                                                   09.12.2021




                                                                                                         29
3113

Bekanntmachung von Lufttüchtigkeitsforderungen für schwerkraftgesteuerte Ultraleichtflugzeuge, Bauart: Trike und
Fußstart-UL




                                                                                                                   2021-2-651
        Anlage 1




                                                                                                                   09.12.2021




                                                                                                      30
3114

Bekanntmachung von Lufttüchtigkeitsforderungen für schwerkraftgesteuerte Ultraleichtflugzeuge, Bauart: Trike und
Fußstart-UL




                                                                                                                   2021-2-651
        Anlage 2
        Kennzeichnung von Spannungsführenden Teilen über 120V




        Anlage 3
        Hauptschalter über Hilfsstromkreis (Kleinspannung) mit Seitenschneider öffnen.




                                                                                                                   09.12.2021




                                                                                                      31
3115

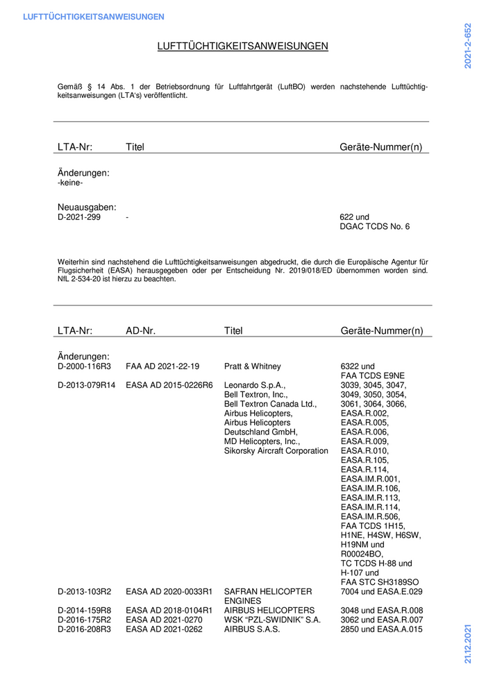
LUFTTÜCHTIGKEITSANWEISUNGEN




                                                                                                                     2021-2-652
                                   LUFTTÜCHTIGKEITSANWEISUNGEN



      Gemäß § 14 Abs. 1 der Betriebsordnung für Luftfahrtgerät (LuftBO) werden nachstehende Lufttüchtig-
      keitsanweisungen (LTA‘s) veröffentlicht.




      LTA-Nr:            Titel                                                          Geräte-Nummer(n)

      Änderungen:
      -keine-


      Neuausgaben:
      D-2021-299         -                                                              622 und
                                                                                        DGAC TCDS No. 6



      Weiterhin sind nachstehend die Lufttüchtigkeitsanweisungen abgedruckt, die durch die Europäische Agentur für
      Flugsicherheit (EASA) herausgegeben oder per Entscheidung Nr. 2019/018/ED übernommen worden sind.
      NfL 2-534-20 ist hierzu zu beachten.




      LTA-Nr:            AD-Nr.                       Titel                             Geräte-Nummer(n)

      Änderungen:
      D-2000-116R3       FAA AD 2021-22-19            Pratt & Whitney                   6322 und
                                                                                        FAA TCDS E9NE
      D-2013-079R14      EASA AD 2015-0226R6          Leonardo S.p.A.,                  3039, 3045, 3047,
                                                      Bell Textron, Inc.,               3049, 3050, 3054,
                                                      Bell Textron Canada Ltd.,         3061, 3064, 3066,
                                                      Airbus Helicopters,               EASA.R.002,
                                                      Airbus Helicopters                EASA.R.005,
                                                      Deutschland GmbH,                 EASA.R.006,
                                                      MD Helicopters, Inc.,             EASA.R.009,
                                                      Sikorsky Aircraft Corporation     EASA.R.010,
                                                                                        EASA.R.105,
                                                                                        EASA.R.114,
                                                                                        EASA.IM.R.001,
                                                                                        EASA.IM.R.106,
                                                                                        EASA.IM.R.113,
                                                                                        EASA.IM.R.114,
                                                                                        EASA.IM.R.506,
                                                                                        FAA TCDS 1H15,
                                                                                        H1NE, H4SW, H6SW,
                                                                                        H19NM und
                                                                                        R00024BO,
                                                                                        TC TCDS H-88 und
                                                                                        H-107 und
                                                                                        FAA STC SH3189SO
      D-2013-103R2       EASA AD 2020-0033R1          SAFRAN HELICOPTER                 7004 und EASA.E.029
                                                      ENGINES
      D-2014-159R8       EASA AD 2018-0104R1          AIRBUS HELICOPTERS                3048 und EASA.R.008
      D-2016-175R2       EASA AD 2021-0270            WSK “PZL-SWIDNIK” S.A.            3062 und EASA.R.007
                                                                                                                     21.12.2021




      D-2016-208R3       EASA AD 2021-0262            AIRBUS S.A.S.                     2850 und EASA.A.015
3116

LUFTTÜCHTIGKEITSANWEISUNGEN




                                                                                                                  2021-2-652
      D-2017-085R1       EASA AD 2021-0271           WSK “PZL-SWIDNIK” S.A.           EASA.R.007
      D-2020-199R5       EASA AD 2021-0275           AIRBUS S.A.S.                    EASA.A.151

      D-2021-121R1       FAA AD 2021-22-14           Pratt & Whitney Division         6331, EASA.IM.E.043
                                                                                      und FAA TCDS E36NE
      D-2021-221R2       EASA AD 2021-0272           Dassault Aviation                EASA.A.155
      D-2021-222R2       EASA Emergency              Austro Engine GmbH               EASA.E.200
                         AD 2021-0274-E
      D-2021-239R2       UK CAA Emergency            CAMERON BALLOONS Ltd             8006, 8007, 8010,
                         AD G-2021-0014R1-E                                           8011, 8012, 8014,
                                                                                      8015, 8019, 8046,
                                                                                      8053, 8080,
                                                                                      EASA.BA.012,
                                                                                      EASA.BA.013,
                                                                                      EASA.BA.021,
                                                                                      EASA.IM.BA.026,
                                                                                      EASA.BA.028,
                                                                                      EASA.BA.030,
                                                                                      UK CAA TCDS
                                                                                      UK.TC.BA.00001,
                                                                                      UK CAA TCDS
                                                                                      UK.TC.BA.00002,
                                                                                      UK CAA TCDS
                                                                                      UK.TC.BA.00003,
                                                                                      UK CAA TCDS
                                                                                      UK.TC.BA.00006 und
                                                                                      UK CAA TCDS
                                                                                      UK.TC.BA.00014
      D-2021-250R1       EASA Emergency              AIRBUS HELICOPTERS               EASA.R.008
                         AD 2021-0283-E
      D-2021-258R1       FAA AD 2021-23-51           General Electric Company         6341, EASA.IM.E.053
                         (Final Rule)                                                 und
                                                                                      FAA TCDS E00063EN



      Neuausgaben:
      D-2021-287         TC AD CF-2021-44            Airbus Canada Limited            EASA.IM.A.570 und
                                                     Partnership                      TC TCDS A-236
      D-2021-288         TC AD CF-2021-42            Viking Air Limited               2034, EASA.IM.A.575
                                                                                      und TC TCDS A-82
      D-2021-289         EASA AD 2021-0269           AIRBUS S.A.S.                    EASA.A.151
      D-2021-290         TC AD CF-2021-45            Bombardier Inc.                  EASA.IM.A.009 und
                                                                                      TC TCDS A-177
      D-2021-291         TC AD CF-2021-46            Airbus Canada Limited            EASA.IM.A.570 und
                                                     Partnership                      TC TCDS A-236
      D-2021-292         ANAC BAD 2021-12-01         EMBRAER S.A.                     EASA.IM.A.526 und
                                                                                      ANAC TCDS
                                                                                      EA-2014-T04
      D-2021-293         EASA Emergency              STEMME AG                        846 und EASA.A.054
                         AD 2021-0278-E
      D-2021-294         EASA AD 2021-0276           WSK „PZL-SWIDNIK“ S.A.           3062 und EASA.R.007
      D-2021-295         FAA AD 2021-22-23           The Boeing Company               2845, EASA.IM.A.205
                                                                                      und FAA TCDS A2NM
      D-2021-296         FAA AD 2021-26-01           Bell Textron Canada Limited      EASA.IM.R.520,
                                                                                      TC TCDS H-112 und
                                                                                      FAA STC SR09758DS
      D-2021-297         EASA AD 2021-0279           AIRBUS S.A.S.                    2846 und EASA.A.064
      D-2021-298         TC AD CF-2021-48            Bombardier Inc.                  EASA.IM.A.009 und
                                                                                      TC TCDS A-177


      Gemäß der EU Verordnung Nr. 1321/2014, Anhang I, Teil M, Unterabschnitt C, M.A.301(f)(1), ML.A.301(d)(1),
                                                                                                                  21.12.2021




      M.A.303 und ML.A.303 dürfen Luftfahrzeuge nach dem in der Lufttüchtigkeitsanweisung angegebenen Termin
3117

LUFTTÜCHTIGKEITSANWEISUNGEN




                                                                                                          2021-2-652
      nur in Betrieb genommen werden, wenn die angeordneten Maßnahmen ordnungsgemäß durchgeführt worden
      sind.


                           LTA´s werden auch im Internet unter http://www.lba.de publiziert




      Braunschweig, den 21. Dezember 2021
      LBA T 125.20394/NfL/211221



      Das Luftfahrt-Bundesamt
      Im Auftrag
      Burlage




                                                                                                          21.12.2021
3118

LUFTTÜCHTIGKEITSANWEISUNGEN




                                                                                                                     2021-2-652
                                         Lufttüchtigkeitsanweisung                     Luftfahrt-Bundesamt
                                                                                         - Sachgebiet T12 -
                                               D-2000-116R3                            38144 Braunschweig
                                         FAA AD 2021-22-19 - Amdt. 39-21792            Fax: +49-531-2355-5197
                                                                                       email: AD@LBA.de

  PRATT & WHITNEY                                                                            06.12.2021

  Betroffenes Luftfahrtgerät:
  Art des Luftfahrtgerätes:       Flugmotor
  Inhaber der Musterzulassung:    Pratt & Whitney
  Hersteller:                     Pratt & Whitney

  Muster:                         JT8D-200

  Baureihen:                      JT8D-209, JT8D-217, JT8D-217A, JT8D-217C und JT8D-219

  Werknummern:                    Alle

  Gerätenummer:                   6322, FAA TCDS E9NE

  Revisionsstand:
  Diese LTA ersetzt D-2000-116R2 vom 25.05.2011
  Airworthiness Directive der ausländischen Behörde:
  FAA AD 2021-22-19 - Amdt. 39-21792

  Genannte Airworthiness Directives unter dieser Rubrik, die nicht durch die EASA herausgegeben worden sind,
  wurden durch die EASA über die Entscheidung Nr. 2019/018/ED übernommen und sind somit ebenfalls Airworthin-
  ess Directives der EASA.
  Die genannte Airworthiness Directive wird im Luftfahrt-Bundesamt unter der Nummer 2000-116R3 geführt.
  Betrifft:
  (ATA 72) Engines - Stage 3/4 Low Pressure Turbine Blades and LPT-to-Exhaust Case Bolts - Inspection /
  Replacement

  Anmerkungen:
  Gemäß der EU Verordnung Nr. 1321/2014, Anhang I, Teil M, Unterabschnitt C, M.A.301(f)(1), ML.A.301(d)(1),
  M.A.303 und ML.A.303 dürfen Luftfahrzeuge nach dem in der Lufttüchtigkeitsanweisung angegebenen
  Termin nur in Betrieb genommen werden, wenn die angeordneten Maßnahmen ordnungsgemäß durchge-
  führt worden sind.
  Die Europäische Agentur für Flugsicherheit (EASA) hat die oben referenzierte Lufttüchtigkeitsanweisung
  FAA AD 2021-22-19 - Amdt. 39-21792 herausgegeben oder per Entscheidung Nr. 2019/018/ED übernommen.
  Gemäß § 14 Abs. 2 der Betriebsordnung für Luftfahrtgerät (LuftBO) sind diese Lufttüchtigkeitsanweisun-
  gen direkt in der Bundesrepublik Deutschland gültig und bedürfen keiner Umsetzung durch das Luftfahrt-
  Bundesamt.
  Mit Hilfe dieser Übersichtsseite veröffentlicht das Luftfahrt-Bundesamt ebenfalls die über § 14 Abs. 2 direkt
  gültigen Lufttüchtigkeitsanweisungen der EASA in den Nachrichten für Luftfahrer und im Internet unter
  www2.LBA.de/LTAs/. Dieser Service dient reinen Informationszwecken und liegt keinem Verwaltungsver-
  fahren zu Grunde. Rechtsmittel sind damit ausgeschlossen.
                                                                                                                     21.12.2021




  D-2000-116R3                                    Seite 1 von 1                                           504/2021
3119

LUFTTÜCHTIGKEITSANWEISUNGEN




                                                                                                               2021-2-652
     [Federal Register Volume 86, Number 223 (Tuesday, November 23, 2021)]
     [Rules and Regulations]
     [Pages 66444-66447]
     From the Federal Register Online via the Government Publishing Office [www.gpo.gov]
     [FR Doc No: 2021-25500]

     ––––––––––––––––––––––––––––––––––

     DEPARTMENT OF TRANSPORTATION

     Federal Aviation Administration

     14 CFR Part 39

     [Docket No. FAA-2021-0661; Project Identifier AD-2020-01349-E; Amendment 39-21792; AD
     2021-22-19]

     RIN 2120-AA64

     Airworthiness Directives; Pratt & Whitney Turbofan Engines

     AGENCY: Federal Aviation Administration (FAA), DOT.

     ACTION: Final rule.

     ––––––––––––––––––––––––––––––––––

     SUMMARY: The FAA is superseding Airworthiness Directive (AD) 2011-07-02 for all Pratt &
     Whitney (P&W) JT8D-209, JT8D-217, JT8D-217A, JT8D-217C, and JT8D-219 model turbofan
     engines. AD 2011-07-02 required initial and repetitive torque inspections of the 3rd-stage and 4th-
     stage low-pressure turbine (LPT) blades. AD 2011-07-02 also required replacement of the LPT blade
     if wear limits are exceeded, replacement of the LPT-to-exhaust case bolts and nuts, and installation of
     crushable sleeve spacers on the bolts. This AD was prompted by a report of an MD-82 airplane,
     equipped with a JT8D-217C model turbofan engine, experiencing an engine surge that resulted in the
     fracture of the LPT blade and uncontained release of the LPT blade. This AD retains certain
     requirements of AD 2011-07-02, while revising the inspection thresholds and replacement intervals
     for the 3rd-stage and 4th-stage LPT blades. The FAA is issuing this AD to address the unsafe
     condition on these products.

     DATES: This AD is effective December 28, 2021.
         The Director of the Federal Register approved the incorporation by reference of a certain
     publication listed in this AD as of December 28, 2021.

     ADDRESSES: For service information identified in this final rule, contact Pratt & Whitney, 400
     Main Street, East Hartford, CT 06118; phone: (800) 565-0140; email: help24@prattwhitney.com;
     website: https://fleetcare.prattwhitney.com. You may view this service information at the FAA,
     Airworthiness Products Section, Operational Safety Branch, 1200 District Avenue, Burlington, MA
     01803. For information on the availability of this material at the FAA, call (781) 238-7759. It is also
     available at https://www.regulations.gov by searching for and locating Docket No. FAA-2021-0661.
                                                                                                               21.12.2021




                                                        1
3120

Zur nächsten Seite