Nachrichten für Luftfahrer 2021 Teil 2 (weicht ggf. von Druckversion ab)

/ 3270
PDF herunterladen
LUFTTÜCHTIGKEITSANWEISUNGEN




                                                                                                                                                                     2021-2-652
                                                                                                                           EASA AD No.: 2020-0033R1


                                                                   Airworthiness Directive
                                                                   AD No.:              2020-0033R1
                                                                   Issued:              10 December 2021
                                                                   Note: This Airworthiness Directive (AD) is issued by EASA, acting in accordance with Regulation
                                                                   (EU) 2018/1139 on behalf of the European Union, its Member States and of the European third
                                                                   countries that participate in the activities of EASA under Article 129 of that Regulation.

          This AD is issued in accordance with Regulation (EU) 748/2012, Part 21.A.3B. In accordance with Regulation (EU) 1321/2014 Annex I, Part M.A.301, the
          continuing airworthiness of an aircraft shall be ensured by accomplishing any applicable ADs. Consequently, no person may operate an aircraft to which
          an AD applies, except in accordance with the requirements of that AD, unless otherwise specified by the Agency [Regulation (EU) 1321/2014 Annex I,
          Part M.A.303] or agreed with the Authority of the State of Registry [Regulation (EU) 2018/1139, Article 71 exemption].


          Design Approval Holder’s Name:                                                    Type/Model designation(s):
          SAFRAN HELICOPTER ENGINES                                                         ARRIUS 2 engines

          Effective Date:                 Revision 1: 17 December 2021
                                          Original issue: 10 March 2020
          TCDS Number(s): EASA.E.029
          Foreign AD:                     Not applicable
          Revision:                       This AD revises EASA AD 2020-0033 dated 25 February 2020, which superseded
                                          EASA AD 2013-0082 dated 02 April 2013.


          ATA 73 – Engine Fuel & Control – Hydro-mechanical Metering Unit / Drive Link
          Splines – Inspection


          Manufacturer(s):
          SAFRAN Helicopter Engines (SAFRAN), formerly Turboméca

          Applicability:
          ARRIUS 2B1, ARRIUS 2B1A, ARRIUS 2B2, ARRIUS 2G1, ARRIUS 2K1 and ARRIUS 2K2 engines, all serial
          numbers.

          These engines are known to be installed on, but not limited to, Airbus Helicopters Deutschland
          EC135, Leonardo A109 and KAMOV 226T twin-engine helicopters.

          Definitions:
          For the purpose of this AD, the following definitions apply:

          Groups:
          Group 1 are hydro-mechanical metering Units (HMU) that were first installed on a helicopter on or
          before 31 January 2013, and which have never been inspected in accordance with Turboméca MSB
          319 73 2825 version G or later (including HMU that have previously been inspected in accordance
                                                                                                                                                                     21.12.2021




                                   TE.CAP.00110-010 © European Union Aviation Safety Agency. All rights reserved. ISO9001 Certified.            Page 1 of 4
                                   Proprietary document. Copies are not controlled. Confirm revision status through the EASA-Internet/Intranet.
 An agency of the European Union
3141

LUFTTÜCHTIGKEITSANWEISUNGEN




                                                                                                                                                          2021-2-652
                                                                                                                    EASA AD No.: 2020-0033R1

          with Turboméca MSB 319 73 2825 version F or earlier), and which do not have SAFRAN modification
          (mod) TU139 embodied.
          Group 2 are HMU that were first installed on a helicopter after 31 January 2013, or HMU that have
          previously been inspected in accordance with Turboméca MSB 319 73 2825 version G or later, and
          which do not have SAFRAN mod TU139 embodied.
          Group 3 are HMU which have SAFRAN mod TU139 embodied.

          The MSB: SAFRAN Mandatory Service Bulletin (MSB) 319 73 2825 version K.

          Serviceable part: An HMU that is new (not previously installed); or an HMU that, before installation,
          has passed an inspection (no discrepancies found, as identified in the MSB), or has been corrected,
          in accordance with the instructions of the MSB; or an HMU which has SAFRAN mod TU139
          embodied.

          Reason:
          A number of in-flight shut-down (IFSD) occurrences have been reported for ARRIUS 2 engines. The
          results of the technical investigations concluded that these events were caused by deterioration of
          the splines on the high pressure (HP) / low pressure (LP) pump assembly drive shaft of the HMU,
          which eventually interrupted the fuel supply to the engine.

          This condition, if not detected and corrected, could lead to further cases of engine IFSD, possibly
          resulting in forced landing with consequent damage to the helicopter and injury to occupants.

          To address these occurrences, Turboméca published MSB 319 73 2825 (up to version G) to provide
          instructions for inspection of the HMU and sleeve assembly. Consequently, EASA issued AD 2013-
          0082 to require repetitive inspections of the drive gear shaft splines of the HP pump, and,
          depending on findings, accomplishment of applicable corrective action(s).

          Since that AD was issued, SAFRAN published MSB 319 73 2825 version J to provide specific
          inspection instructions for HMU installed on a helicopter after 31 January 2013, to reduce the
          compliance time for the initial inspection of Group 1 engines that were not previously inspected in
          accordance with version G or later of the MSB, and to provide some operational margin before the
          first inspection in all possible scenarios.

          For the reason described above, this AD retains the requirements of AD 2013-0082, which is
          superseded. The original issue of this AD required accomplishment of the actions in accordance with
          the instructions of SAFRAN MSB 319 73 2825 version J.

          This AD is revised, further to the publication of the MSB, as defined in this AD, to remove the
          inspection and cleaning requirements for HMU with an improved design (corresponding to SAFRAN
          mod TU 139 introduced in 2015). This AD also introduces installation of an improved HMU as an
          optional terminating action.
                                                                                                                                                          21.12.2021




                                   TE.CAP.00110-010 © European Union Aviation Safety Agency. All rights reserved. ISO9001 Certified.            Page 2 of 4
                                   Proprietary document. Copies are not controlled. Confirm revision status through the EASA-Internet/Intranet.
 An agency of the European Union
3142

LUFTTÜCHTIGKEITSANWEISUNGEN




                                                                                                                                                           2021-2-652
                                                                                                                     EASA AD No.: 2020-0033R1

          Required Action(s) and Compliance Time(s):
          Required as indicated, unless accomplished previously:

          Inspection(s) / Cleaning:
          (1) For Group 1 and Group 2 HMU: Within the compliance time specified in Table 1 of this AD, as
              applicable, and, thereafter, at intervals not to exceed 500 HMU operating hours (see Note 1 of
              this AD), and before re-installation of the HMU after each removal, visually inspect the drive
              gear shaft splines of the HP pump and clean and inspect the sleeve assembly splines in
              accordance with the instructions of the MSB.

          Note 1: A non-cumulative tolerance of 10% may be applied to the repetitive inspection interval
          defined in paragraph (1) of this AD. No tolerance may be applied to the compliance time for initial
          inspection defined in Table 1 of this AD.

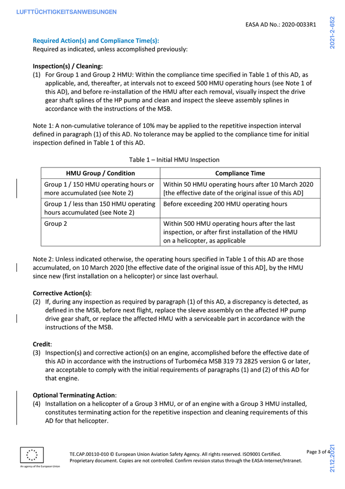
                                                               Table 1 – Initial HMU Inspection
                                   HMU Group / Condition                                               Compliance Time
                   Group 1 / 150 HMU operating hours or                        Within 50 HMU operating hours after 10 March 2020
                   more accumulated (see Note 2)                               [the effective date of the original issue of this AD]
                   Group 1 / less than 150 HMU operating                       Before exceeding 200 HMU operating hours
                   hours accumulated (see Note 2)
                   Group 2                                                     Within 500 HMU operating hours after the last
                                                                               inspection, or after first installation of the HMU
                                                                               on a helicopter, as applicable

          Note 2: Unless indicated otherwise, the operating hours specified in Table 1 of this AD are those
          accumulated, on 10 March 2020 [the effective date of the original issue of this AD], by the HMU
          since new (first installation on a helicopter) or since last overhaul.

          Corrective Action(s):
          (2) If, during any inspection as required by paragraph (1) of this AD, a discrepancy is detected, as
              defined in the MSB, before next flight, replace the sleeve assembly on the affected HP pump
              drive gear shaft, or replace the affected HMU with a serviceable part in accordance with the
              instructions of the MSB.

          Credit:
          (3) Inspection(s) and corrective action(s) on an engine, accomplished before the effective date of
              this AD in accordance with the instructions of Turboméca MSB 319 73 2825 version G or later,
              are acceptable to comply with the initial requirements of paragraphs (1) and (2) of this AD for
              that engine.

          Optional Terminating Action:
          (4) Installation on a helicopter of a Group 3 HMU, or of an engine with a Group 3 HMU installed,
              constitutes terminating action for the repetitive inspection and cleaning requirements of this
              AD for that helicopter.
                                                                                                                                                           21.12.2021




                                    TE.CAP.00110-010 © European Union Aviation Safety Agency. All rights reserved. ISO9001 Certified.            Page 3 of 4
                                    Proprietary document. Copies are not controlled. Confirm revision status through the EASA-Internet/Intranet.
 An agency of the European Union
3143

LUFTTÜCHTIGKEITSANWEISUNGEN




                                                                                                                                                          2021-2-652
                                                                                                                    EASA AD No.: 2020-0033R1

          Parts / Engine Installation:
          (5) From the effective date of this AD, it is allowed to install an HMU on an engine, or an engine on
              a helicopter, provided that the HMU is a serviceable part, as defined in this AD, and that,
              following installation, each pre-mod TU 139 HMU is inspected as required by this AD.

          Ref. Publications:
          Turboméca MSB 319 73 2825 version G dated 24 January 2013, or version H dated 01 September
          2014, or version I dated 26 April 2016; and SAFRAN MSB 319 73 2825 version J dated 15 March
          2019 or version K dated 16 November 2021.

          The use of later approved revisions of the above-mentioned document is acceptable for compliance
          with the requirements of this AD.

          Remarks:
          1. If requested and appropriately substantiated, EASA can approve Alternative Methods of
             Compliance for this AD.

          2.        The original issue of this AD was posted on 22 January 2020 as PAD 20-104 for consultation
                    until 19 February 2020. No comments were received during the consultation period.

          3.        Enquiries regarding this AD should be referred to the EASA Safety Information Section,
                    Certification Directorate. E-mail: ADs@easa.europa.eu.

          4.        Information about any failures, malfunctions, defects or other occurrences, which may be
                    similar to the unsafe condition addressed by this AD, and which may occur, or have occurred on
                    a product, part or appliance not affected by this AD, can be reported to the EU aviation safety
                    reporting system. This may include reporting on the same or similar components, other than
                    those covered by the design to which this AD applies, if the same unsafe condition can exist or
                    may develop on an aircraft with those components installed. Such components may be
                    installed under an FAA Parts Manufacturer Approval (PMA), Supplemental Type Certificate
                    (STC) or other modification.

          5.        For any question concerning the technical content of the requirements in this AD, please
                    contact please contact your nearest SAFRAN Helicopter Engines technical representative, or
                    connect to www.tools.safran-helicopter-engines.com.                                                                                   21.12.2021




                                   TE.CAP.00110-010 © European Union Aviation Safety Agency. All rights reserved. ISO9001 Certified.            Page 4 of 4
                                   Proprietary document. Copies are not controlled. Confirm revision status through the EASA-Internet/Intranet.
 An agency of the European Union
3144

LUFTTÜCHTIGKEITSANWEISUNGEN




                                                                                                                     2021-2-652
                                          Lufttüchtigkeitsanweisung                    Luftfahrt-Bundesamt
                                                                                          - Sachgebiet T12 -
                                               D-2014-159R8                            38144 Braunschweig
                                      EASA AD 2018-0104R1 vom 08.12.2021               Fax: +49-531-2355-5197
                                                                                       email: AD@LBA.de

  AIRBUS HELICOPTERS                                                                         09.12.2021

  Betroffenes Luftfahrtgerät:
  Art des Luftfahrtgerätes:        Drehflügler
  Inhaber der Musterzulassung:     AIRBUS HELICOPTERS
  Hersteller:                      Airbus Helicopters,
                                   vormals Eurocopter, Eurocopter France

  Muster:                          EC 130

  Baureihen:                       EC 130 B4 und EC 130 T2

  Werknummern:                     Alle

                                   Ausgenommen sind Hubschrauber, an denen die Airbus Modifikation
                                   (MOD) 074775 oder MOD 074581 durchgeführt worden ist.

  Gerätenummer:                    3048, EASA.R.008

  Revisionsstand:
  Diese LTA ersetzt D-2014-159R7 vom 09.05.2018
  Airworthiness Directive der ausländischen Behörde:
  EASA AD 2018-0104R1 vom 08.12.2021

  Genannte Airworthiness Directives unter dieser Rubrik, die nicht durch die EASA herausgegeben worden sind,
  wurden durch die EASA über die Entscheidung Nr. 2019/018/ED übernommen und sind somit ebenfalls Airworthin-
  ess Directives der EASA.
  Die genannte Airworthiness Directive wird im Luftfahrt-Bundesamt unter der Nummer 2014-159R8 geführt.
  Betrifft:
  (ATA 53) Fuselage - Tail Boom / Fenestron Junction Frame - Inspection

  Anmerkungen:
  Gemäß der EU Verordnung Nr. 1321/2014, Anhang I, Teil M, Unterabschnitt C, M.A.301(f)(1), ML.A.301(d)(1),
  M.A.303 und ML.A.303 dürfen Luftfahrzeuge nach dem in der Lufttüchtigkeitsanweisung angegebenen
  Termin nur in Betrieb genommen werden, wenn die angeordneten Maßnahmen ordnungsgemäß durchge-
  führt worden sind.
  Die Europäische Agentur für Flugsicherheit (EASA) hat die oben referenzierte Lufttüchtigkeitsanweisung
  EASA AD 2018-0104R1 vom 08.12.2021 herausgegeben oder per Entscheidung Nr. 2019/018/ED übernom-
  men.
  Gemäß § 14 Abs. 2 der Betriebsordnung für Luftfahrtgerät (LuftBO) sind diese Lufttüchtigkeitsanweisun-
  gen direkt in der Bundesrepublik Deutschland gültig und bedürfen keiner Umsetzung durch das Luftfahrt-
  Bundesamt.
  Mit Hilfe dieser Übersichtsseite veröffentlicht das Luftfahrt-Bundesamt ebenfalls die über § 14 Abs. 2 direkt
  gültigen Lufttüchtigkeitsanweisungen der EASA in den Nachrichten für Luftfahrer und im Internet unter
  www2.LBA.de/LTAs/. Dieser Service dient reinen Informationszwecken und liegt keinem Verwaltungsver-
  fahren zu Grunde. Rechtsmittel sind damit ausgeschlossen.
                                                                                                                     21.12.2021




  D-2014-159R8                                   Seite 1 von 1                                            528/2021
3145

LUFTTÜCHTIGKEITSANWEISUNGEN




                                                                                                                                                                     2021-2-652
                                                                                                                           EASA AD No.: 2018-0104R1


                                                                   Airworthiness Directive
                                                                   AD No.:              2018-0104R1
                                                                   Issued:               08 December 2021
                                                                   Note: This Airworthiness Directive (AD) is issued by EASA, acting in accordance with Regulation
                                                                   (EU) 2018/1139 on behalf of the European Union, its Member States and of the European third
                                                                   countries that participate in the activities of EASA under Article 129 of that Regulation.

          This AD is issued in accordance with Regulation (EU) 748/2012, Part 21.A.3B. In accordance with Regulation (EU) 1321/2014 Annex I, Part M.A.301, the
          continuing airworthiness of an aircraft shall be ensured by accomplishing any applicable ADs. Consequently, no person may operate an aircraft to which
          an AD applies, except in accordance with the requirements of that AD, unless otherwise specified by the Agency [Regulation (EU) 1321/2014 Annex I,
          Part M.A.303] or agreed with the Authority of the State of Registry [Regulation (EU) 2018/1139, Article 71 exemption].


          Design Approval Holder’s Name:                                                    Type/Model designation(s):
          AIRBUS HELICOPTERS                                                                EC 130 helicopters

          Effective Date:                 Revision 1: 15 December 2021
                                          Original issue: 11 May 2018
          TCDS Number(s): EASA.R.008
          Foreign AD:                     Not applicable
          Revision:                       This AD revises EASA AD 2018-0104 dated 04 May 2018, which superseded EASA
                                          AD 2017-0080 dated 05 May 2017.


          ATA 53 – Fuselage – Tail Boom / Fenestron Junction Frame – Inspection


          Manufacturer(s):
          Airbus Helicopters (AH), formerly Eurocopter, Eurocopter France

          Applicability:
          EC 130 B4 and EC 130 T2 helicopters, all serial numbers, except those on which Airbus modification
          (mod) 074775 or mod 074581 has been embodied.

          Definitions:
          For the purpose of this AD, the following definitions apply:

          The ASB: AH EC 130 Emergency Alert Service Bulletin (ASB) 05A017 Revision 6, or later approved
          revisions.

          The modification SB: AH Service Bulletin (SB) EC130-53-036.

          Sling cycles: Counting/Cycles as defined in AH ASB 05A017 Revision 2, or later approved revisions.

          Groups: Group 1 helicopters are those in pre-mod AH 350A087421 or pre-SB EC130-53-029
          configuration. Group 2 helicopters are those in post-mod AH 350A087421 or post-SB EC130-53-029
          configuration. Group 3 helicopters are Group 1 or Group 2 helicopters which are post-mod 074609,
                                                                                                                                                                     21.12.2021




                                   TE.CAP.00110-010 © European Union Aviation Safety Agency. All rights reserved. ISO9001 Certified.            Page 1 of 5
                                   Proprietary document. Copies are not controlled. Confirm revision status through the EASA-Internet/Intranet.
 An agency of the European Union
3146

LUFTTÜCHTIGKEITSANWEISUNGEN




                                                                                                                                                          2021-2-652
                                                                                                                    EASA AD No.: 2018-0104R1

          or on which the skin in the fenestron/tail boom junction area was repaired in accordance with the
          instructions of SB EC130-53-024.

          Reason:
          Following inspection of EC 130 helicopters, two events were reported of finding crack propagation
          through the junction frame of the tail boom/fenestron. The investigation revealed that the cracks
          initiated in the lower right-hand part of the frame between the web and the flange, where the
          lower spar of the tail boom is joined. Although the cracks were of significant length, no
          deterioration was visible from the outside of the helicopter.

          This condition, if not detected and corrected, could lead to structural failure, possibly resulting in
          fenestron detachment and consequent loss of control of the helicopter.

          To initially address this potential unsafe condition, AH issued ASB 05A017 at original issue (later
          revised) to provide instructions for detailed visual inspections (DVI) on the inside of the tail boom.
          Prompted by these findings, EASA issued Emergency AD 2014-0145-E (later revised) to require
          repetitive inspections of the affected area and, depending on findings, accomplishment of
          applicable corrective action(s).

          Following further developments involving multiple revisions of AH ASB 05A017, EASA AD
          2014-0145R1 was superseded by EASA Emergency AD 2015-0033-E (later revised), EASA AD
          2015-0033R1 was superseded by EASA AD 2016-0240, subsequently superseded by EASA
          Emergency AD 2017-0066-E, each time retaining the previous AD requirements. EASA then issued
          AD 2017-0080, retaining the requirements of EASA Emergency AD 2017-0066-E, which was
          superseded, and additionally requiring removal of the stabilizer before the cleaning and visual
          inspection of the frame during each 660 flight hour (FH) inspection of Group 2 helicopters.

          After EASA AD 2017-0080 was issued, in parallel to the protective measures developed over time,
          AH designed a new modification, mod 074775, consisting of 4 carbon patches on the EC 130
          fenestron/tail cone junction, and published the modification SB, as defined in this AD, accordingly.
          After implementation of this design change, either in production or in service through a retrofit (the
          modification SB), the inspections were no longer necessary. Based on the available information,
          EASA determined that continued inspections may not be sufficient to adequately address the risk
          and this modification is necessary to ensure long-term fleet safety, and consequently issued AD
          2018-0104, which superseded EASA AD 2017-0080, retaining its requirements and mandating
          modification of the affected helicopters as terminating action for the repetitive inspections required
          by that AD.

          Since AD 2018-0104 was issued, AH developed mod 074581 and issued ASB 05A017 Revision 8, to
          exclude the post-mod 074581 helicopters from the Applicability. This AD is therefore revised
          accordingly. This AD also includes editorial changes, introducing the latest AD writing standards,
          without affecting the requirements.

          Required Action(s) and Compliance Time(s):
          Required as indicated, unless accomplished previously:
                                                                                                                                                          21.12.2021




                                   TE.CAP.00110-010 © European Union Aviation Safety Agency. All rights reserved. ISO9001 Certified.            Page 2 of 5
                                   Proprietary document. Copies are not controlled. Confirm revision status through the EASA-Internet/Intranet.
 An agency of the European Union
3147

LUFTTÜCHTIGKEITSANWEISUNGEN




                                                                                                                                                           2021-2-652
                                                                                                                     EASA AD No.: 2018-0104R1


          Inspection(s)/Cleaning:
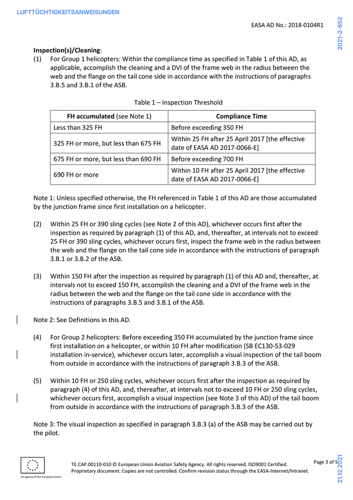
          (1) For Group 1 helicopters: Within the compliance time as specified in Table 1 of this AD, as
               applicable, accomplish the cleaning and a DVI of the frame web in the radius between the
               web and the flange on the tail cone side in accordance with the instructions of paragraphs
               3.B.5 and 3.B.1 of the ASB.

                                                                Table 1 – Inspection Threshold
                                   FH accumulated (see Note 1)                                       Compliance Time
                          Less than 325 FH                                      Before exceeding 350 FH
                                                                                Within 25 FH after 25 April 2017 [the effective
                          325 FH or more, but less than 675 FH
                                                                                date of EASA AD 2017-0066-E]
                          675 FH or more, but less than 690 FH                  Before exceeding 700 FH
                                                                                Within 10 FH after 25 April 2017 [the effective
                          690 FH or more
                                                                                date of EASA AD 2017-0066-E]

          Note 1: Unless specified otherwise, the FH referenced in Table 1 of this AD are those accumulated
          by the junction frame since first installation on a helicopter.

          (2)          Within 25 FH or 390 sling cycles (see Note 2 of this AD), whichever occurs first after the
                       inspection as required by paragraph (1) of this AD, and, thereafter, at intervals not to exceed
                       25 FH or 390 sling cycles, whichever occurs first, inspect the frame web in the radius between
                       the web and the flange on the tail cone side in accordance with the instructions of paragraph
                       3.B.1 or 3.B.2 of the ASB.

          (3)          Within 150 FH after the inspection as required by paragraph (1) of this AD and, thereafter, at
                       intervals not to exceed 150 FH, accomplish the cleaning and a DVI of the frame web in the
                       radius between the web and the flange on the tail cone side in accordance with the
                       instructions of paragraphs 3.B.5 and 3.B.1 of the ASB.

          Note 2: See Definitions in this AD.

          (4)          For Group 2 helicopters: Before exceeding 350 FH accumulated by the junction frame since
                       first installation on a helicopter, or within 10 FH after modification (SB EC130-53-029
                       installation in-service), whichever occurs later, accomplish a visual inspection of the tail boom
                       from outside in accordance with the instructions of paragraph 3.B.3 of the ASB.

          (5)          Within 10 FH or 250 sling cycles, whichever occurs first after the inspection as required by
                       paragraph (4) of this AD, and, thereafter, at intervals not to exceed 10 FH or 250 sling cycles,
                       whichever occurs first, accomplish a visual inspection (see Note 3 of this AD) of the tail boom
                       from outside in accordance with the instructions of paragraph 3.B.3 of the ASB.

          Note 3: The visual inspection as specified in paragraph 3.B.3 (a) of the ASB may be carried out by
          the pilot.
                                                                                                                                                           21.12.2021




                                    TE.CAP.00110-010 © European Union Aviation Safety Agency. All rights reserved. ISO9001 Certified.            Page 3 of 5
                                    Proprietary document. Copies are not controlled. Confirm revision status through the EASA-Internet/Intranet.
 An agency of the European Union
3148

LUFTTÜCHTIGKEITSANWEISUNGEN




                                                                                                                                                          2021-2-652
                                                                                                                    EASA AD No.: 2018-0104R1

          (6)          Within 660 FH after the inspection as required by paragraph (4) of this AD, and, thereafter, at
                       intervals not to exceed 660 FH, remove the stabilizer and accomplish the cleaning and a DVI of
                       the frame web in the radius between the web and the flange on the tail cone side in
                       accordance with the instructions of paragraphs 3.B.5 and 3.B.1 of the ASB.

          Credit:
          (7) Accomplishment of a cleaning and a DVI on a helicopter, as required by paragraph (3) of this
                AD, is acceptable for compliance with an inspection as required by paragraph (2) of this AD for
                that helicopter.

          (8)          Accomplishment of a cleaning and a DVI on a helicopter, as required by paragraph (6) of this
                       AD, is acceptable for compliance with an inspection as required by paragraph (5) of this AD for
                       that helicopter.

          Corrective Action(s):
          (9) If, during any inspection as required by this AD, any crack is detected, before next flight,
               contact AH for approved repair instructions and accomplish those instructions accordingly.

          Modification:
          (10) For Group 1 and Group 2 helicopters, except Group 3 helicopters: Within 56 months after 11
               May 2018 [the effective date of the original issue of this AD], modify the tail boom/fenestron
               junction (mod 074775) in accordance with the instructions of the modification SB.

          (11) For Group 3 helicopters: Contact Airbus Helicopters to define the conditions for embodiment
               of modification 074775 and, within 56 months after 11 May 2018 [the effective date of the
               original issue of this AD], modify the helicopter accordingly.

          Terminating Action(s):
          (12) Repair of a helicopter, as required by paragraph (9) of this AD, does not constitute terminating
               action for the repetitive inspections as required by this AD for that helicopter, unless explicitly
               indicated in those repair instructions.

          (13) Modification of a helicopter as required by paragraph (10) or (11) of this AD, as applicable,
               constitutes terminating action for the repetitive inspections as required by this AD for that
               helicopter, except as specified in paragraph (14) of this AD.

          Part(s) Installation:
          (14) Installation of a replacement (new/previously not installed) junction frame on a helicopter is
                allowed, provided that, before exceeding 350 FH after installation, cleaning and a DVI of the
                frame web in the radius between the web and the flange on the tail cone side is
                accomplished, in accordance with the instructions of paragraph 3.B.5 and 3.B.1 of the ASB,
                and, following installation, the helicopter is inspected as required by paragraph (2) and (3), or
                (5) and (6) of this AD, as applicable.

          Ref. Publications:
          AH EC130 Emergency ASB No. 05A017 Revision 2 dated 20 February 2015, or Revision 3 dated 07
          March 2016, or Revision 4 dated 30 November 2016, or Revision 5 dated 21 April 2017, or
                                                                                                                                                          21.12.2021




                                   TE.CAP.00110-010 © European Union Aviation Safety Agency. All rights reserved. ISO9001 Certified.            Page 4 of 5
                                   Proprietary document. Copies are not controlled. Confirm revision status through the EASA-Internet/Intranet.
 An agency of the European Union
3149

LUFTTÜCHTIGKEITSANWEISUNGEN




                                                                                                                                                          2021-2-652
                                                                                                                    EASA AD No.: 2018-0104R1

          Revision 6 dated 03 May 2017, or Revision 7 dated 21 March 2018, or Revision 8 dated 06
          December 2021.

          AH SB EC130-53-029 original issue dated 20 February 2015, or Revision 1 dated 27 January 2016.

          AH SB EC130-53-036 Revision 01 dated 21 March 2018.

          The use of later approved revisions of the above-mentioned documents is acceptable for
          compliance with the requirements of this AD.

          Remarks:
          1. If requested and appropriately substantiated, EASA can approve Alternative Methods of
             Compliance for this AD.

          2.        The original issue of this AD was posted on 27 March 2018 as PAD 18-045 for consultation until
                    10 April 2018. The Comment Response Document can be found in the EASA Safety Publications
                    Tool, in the compressed (zipped) file attached to the record for this AD.

          3.        Enquiries regarding this AD should be referred to the EASA Safety Information Section,
                    Certification Directorate. E-mail: ADs@easa.europa.eu.

          4.        Information about any failures, malfunctions, defects or other occurrences, which may be
                    similar to the unsafe condition addressed by this AD, and which may occur, or have occurred on
                    a product, part or appliance not affected by this AD, can be reported to the EU aviation safety
                    reporting system. This may include reporting on the same or similar components, other than
                    those covered by the design to which this AD applies, if the same unsafe condition can exist or
                    may develop on an aircraft with those components installed. Such components may be
                    installed under an FAA Parts Manufacturer Approval (PMA), Supplemental Type Certificate
                    (STC) or other modification.

          5.        For any question concerning the technical content of the requirements in this AD, please
                    contact: Airbus Helicopters Customer Support, Telephone +33 (0)4.42.85.97.89, Fax + 33
                    (0)4.42.85.99.66, E-mail: support.technical-airframe.ah@airbus.com, Airbus World: Technical
                    Request Management: https://airbusworld.helicopters.airbus.com.
                                                                                                                                                          21.12.2021




                                   TE.CAP.00110-010 © European Union Aviation Safety Agency. All rights reserved. ISO9001 Certified.            Page 5 of 5
                                   Proprietary document. Copies are not controlled. Confirm revision status through the EASA-Internet/Intranet.
 An agency of the European Union
3150

Zur nächsten Seite