Nachrichten für Luftfahrer 2020 Teil 2 (weicht ggf. von Druckversion ab)

/ 3386
PDF herunterladen
Inhaltsverzeichnis                                                                                                             2-6

  VORWORT: .................................................................................................................... 7
      1.     Zweck .............................................................................................................. 7
      2.     Erläuterungen .................................................................................................. 7
      3.     Inhalt und Form................................................................................................ 7
      4.     Begriffsbestimmungen, Abkürzungen und Bezeichnungen ............................. 7
Abschnitt A - Allgemeines ................................................................................................. 10
      LTF-UL 1          Anwendbarkeit .................................................................................... 10
Abschnitt B - Betriebsverhalten ........................................................................................ 10
  I. Allgemeines ............................................................................................................... 10
      LTF-UL 21 Führung der Nachweise ...................................................................... 10
      LTF-UL 23 Grenzen der Lastverteilung ................................................................. 11
      LTF-UL 25 Massegrenzen - Höchstmasse............................................................ 11
      LTF-UL 29 Leermasse und zugehörige Schwerpunktlage .................................... 11
  II. Flugleistungen........................................................................................................... 12
      LTF-UL 45 Allgemeines ........................................................................................ 12
      LTF-UL 49 Überziehgeschwindigkeit .................................................................... 12
      LTF-UL 51 Start .................................................................................................... 12
      LTF-UL 65 Steigflug .............................................................................................. 12
  III. Steuerbarkeit und Wendigkeit .................................................................................. 12
      LTF-UL 143 Allgemeines ....................................................................................... 12
      LTF-UL 145 Höhensteuerung................................................................................. 13
      LTF-UL 147 Quer- und Seitensteuerung ................................................................ 14
      LTF-UL 155 Höhensteuerhandkraft in Manövern ................................................... 14
      LTF-UL 161 Trimmung ........................................................................................... 14
  IV. Stabilität ................................................................................................................... 14
      LTF-UL 171 Allgemeines ....................................................................................... 14
      LTF-UL 173 Statische Längsstabilität .................................................................... 14
      LTF-UL 177 Quer- und Richtungsstabilität ............................................................. 14
      LTF-UL 181 Dynamische Stabilität......................................................................... 15
  V. Überziehen ............................................................................................................... 15
      LTF-UL 201 Überziehverhalten bei waagerecht gehaltenen Tragflügeln ............... 15
      LTF-UL 203 Überziehen im Kurvenflug .................................................................. 15
      LTF-UL 207 Überziehwarnung ............................................................................... 16
  VI. Verhalten am Boden ................................................................................................ 16
      LTF-UL 233 Richtungsstabilität und Steuerbarkeit ................................................. 16
      LTF-UL 234 Start und Landung bei Seitenwind ..................................................... 16
  VII. Sonstige Forderungen an das Betriebsverhalten.................................................... 16
      LTF-UL 251 Schwingungen und Schütteln ............................................................. 16
Abschnitt C - Festigkeit ..................................................................................................... 17
      LTF-UL 301 Lasten ................................................................................................ 17
      LTF-UL 303 Sicherheitszahl ................................................................................... 17
      LTF-UL 305 Festigkeit und Verformungen ............................................................. 18
      LTF-UL 307 Festigkeitsnachweis ........................................................................... 18
  I. Festigkeitseigenschaften der Werkstoffe und Rechenwerte ...................................... 18
  II. Belastungen im Flug ................................................................................................. 19
      LTF-UL 321 Allgemeines ....................................................................................... 19
      LTF-UL 331 Symmetrische Flugzustände .............................................................. 19
  III. V-n-Diagramm.......................................................................................................... 19
      LTF-UL 333 Allgemeines ....................................................................................... 19
                                                                                                                                      2
1501

LTF-UL 335 Bemessungs-Fluggeschwindigkeiten ................................................. 21
      LTF-UL 337 Abfang-Lastvielfache.......................................................................... 21
      LTF-UL 341 Böenlastvielfache ............................................................................... 21
      LTF-UL 345 Belastung bei ausgefahrenen Flügelklappen ..................................... 22
      LTF-UL 361 Belastung des Motorträgers ............................................................... 22
      LTF-UL 363 Seitenlasten auf dem Motorträger ......................................................... 23
  IV. Steuerflächen und Steuerungsanlagen ................................................................... 23
      LTF-UL 395 Steuerungsanlage .............................................................................. 23
      LTF-UL 397 Belastungen durch Flugzeugführerkräfte ........................................... 23
      LTF-UL 399 Doppelsteuerungsanlagen ................................................................. 23
      LTF-UL 405 Nebensteuerungsanlagen .................................................................. 24
      LTF-UL 411 Steuersteifigkeit.................................................................................. 24
  V. Höhenleitwerk ........................................................................................................... 24
      LTF-UL 421 Grundlast ........................................................................................... 24
      LTF-UL 423 Betätigungslasten.............................................................................. 24
      LTF-UL 425 Böenbelastungen ............................................................................... 25
      LTF-UL 427 Unsymmetrische Lasten..................................................................... 25
  VI. Seitenleitwerk .......................................................................................................... 25
      LTF-UL 441 Betätigungslast .................................................................................. 25
      LTF-UL 443 Böenbelastungen ............................................................................... 25
      LTF-UL 444 Hochgesetzte Leitwerke ..................................................................... 26
  VII. Ergänzende Bedingungen für die Leitwerke ........................................................... 26
      LTF-UL 447 Überlagerte Lasten an den Leitwerken .............................................. 26
  VIII. Querruder .............................................................................................................. 26
      LTF-UL 455 Querruder........................................................................................... 26
  IX. Belastungen durch Bodenkräfte .............................................................................. 26
      LTF-UL 471 Allgemeines ....................................................................................... 26
      LTF-UL 473 Annahmen für Belastungen durch Bodenkräfte am Hauptfahrwerk .... 27
      LTF-UL 479 Landebedingungen für das Hauptfahrwerk ........................................ 27
      LTF-UL 481 Landebedingungen für Spornfahrwerk ............................................... 27
      LTF-UL 499 Landebedingungen für Bugräder........................................................ 27
  X. Notlandebedingungen .............................................................................................. 28
      LTF-UL 561 Allgemeines ....................................................................................... 28
  XI. Sonstige Belastungen .............................................................................................. 28
      LTF-UL 597 Belastungen durch Einzelmassen ...................................................... 28
Abschnitt D - Gestaltung und Bauausführung .................................................................. 28
      LTF-UL 601 Allgemeines ....................................................................................... 28
      LTF-UL 603 Werkstoffe .......................................................................................... 29
      LTF-UL 605 Herstellungsverfahren ........................................................................ 29
      LTF-UL 607 Sicherung von Verbindungselementen .............................................. 29
      LTF-UL 609 Schutz der Bauteile ............................................................................ 29
      LTF-UL 611 Vorkehrungen für Überprüfungen ...................................................... 29
      LTF-UL 612 Vorkehrungen für Auf- bzw. Abrüsten ................................................ 29
      LTF-UL 627 Ermüdungsfestigkeit........................................................................... 29
      LTF-UL 629 Verhinderung von Flattern und Festigkeit der Struktur ....................... 30
  I. Steuerflächen ............................................................................................................. 30
      LTF-UL 655 Einbau der Steuerflächen................................................................... 30
      LTF-UL 659 Massenausgleich ............................................................................... 30
  II. Steuerwerk ................................................................................................................ 31
      LTF-UL 671 Allgemeines ....................................................................................... 31
      LTF-UL 675 Anschläge .......................................................................................... 31
                                                                                                                                   3
1502

LTF-UL 677 Trimmsteuerungen ............................................................................. 31
      LTF-UL 679 Feststelleinrichtungen im Steuerwerk ................................................ 31
      LTF-UL 683 Funktionsversuche mit Steuerungsanlagen ....................................... 31
      LTF-UL 685 Bauglieder des Steuerwerks .............................................................. 32
      LTF-UL 687 Federglieder ....................................................................................... 32
      LTF-UL 689 Seilzüge ............................................................................................. 32
      LTF-UL 697 Steuerung von Flügelklappen ............................................................ 32
      LTF-UL 701 Flügelklappenverbindung ................................................................... 33
  III. Fahrwerk .................................................................................................................. 33
      LTF-UL 721 Allgemeines ....................................................................................... 33
  IV. Gestaltung des Führerraums ................................................................................... 33
      LTF-UL 771 Führerraum - Allgemeines.................................................................. 33
      LTF-UL 773 Sicht aus dem Führerraum................................................................. 33
      LTF-UL 775 Windschutzscheibe und Fenster ........................................................ 33
      LTF-UL 777 Steuerungen und Bedienorgane im Führerraum ................................ 33
      LTF-UL 779 Betätigungssinn und Wirkung der Steuer-und Bedienorgane ............ 34
      LTF-UL 780 Farbkennzeichnungen der Steuerungen und Bedienorgane .............. 34
      LTF-UL 785 Sitze und Anschnallgurte ................................................................... 34
      LTF-UL 786 Schutz gegen Verletzungen ............................................................... 35
      LTF-UL 787 Gepäckraum ...................................................................................... 35
      LTF-UL 807 Notausstieg ........................................................................................ 35
      LTF-UL 831 Belüftung ............................................................................................ 35
      LTF-UL 857 Elektrische Masseverbindungen ........................................................ 35
Abschnitt E - Triebwerksanlage ........................................................................................ 35
      LTF-UL 901 Definition und Einbau ......................................................................... 35
      LTF-UL 903 Motor .................................................................................................. 36
      LTF-UL 925 Sicherheitsabstände für Propeller ...................................................... 36
  II. Kraftstoffanlage ......................................................................................................... 37
      LTF-UL 951 Allgemeines ....................................................................................... 37
      LTF-UL 955 Kraftstoffdurchfluss ............................................................................ 37
      LTF-UL 959 Nicht ausfliegbare Kraftstoff-Restmenge............................................ 37
      LTF-UL 963 Kraftstoffbehälter - Allgemeines ......................................................... 37
      LTF-UL 965 Prüfung von Kraftstoffbehältern ......................................................... 38
      LTF-UL 967 Einbau der Kraftstoffbehälter ............................................................. 38
      LTF-UL 971 Kraftstoffbehälter ................................................................................ 38
      LTF-UL 973 Füllstutzen der Kraftstoffbehälter ....................................................... 38
      LTF-UL 975 Belüftung der Kraftstoffbehälter ......................................................... 38
      LTF-UL 977 Kraftstoffsiebe und Filter .................................................................... 39
      LTF-UL 993 Kraftstoffleitungen und Armaturen...................................................... 39
      LTF-UL 995 Kraftstoffventile und Regeleinrichtungen............................................ 39
  III. Schmierstoffanlagen ................................................................................................ 39
      LTF-UL 1011 Allgemeines ...................................................................................... 39
      LTF-UL 1013 Schmierstoffbehälter ......................................................................... 39
      LTF-UL 1015 Prüfung von Schmierstoffbehältern ................................................... 40
      LTF-UL 1017 Schmierstoffleitungen und Armaturen ............................................... 40
  IV. Kühlung ................................................................................................................... 40
      LTF-UL 1041 Allgemeines ...................................................................................... 40
  V. Ansauganlage........................................................................................................... 40
      LTF-UL 1091 Luftansauganlage.............................................................................. 40
  VI. Abgasanlage............................................................................................................ 40
      LTF-UL 1121 Allgemeines ...................................................................................... 40
                                                                                                                                    4
1503

LTF-UL1125 Abgasleitung ..................................................................................... 41
  VII. Bedieneinrichtungen und Hilfsgeräte des Triebwerks ............................................. 41
      LTF-UL 1141 Allgemeines ...................................................................................... 41
      LTF-UL 1145 Zündschalter ..................................................................................... 41
      LTF-UL 1149 Propellerdrehzahl .............................................................................. 41
  VIII. Brandschutz........................................................................................................... 41
      LTF-UL 1191 Brandschotte ..................................................................................... 41
      LTF-UL 1193 Motorverkleidung und -gondel........................................................... 41
Abschnitt F - Ausrüstung .................................................................................................. 42
  I. Allgemeines ............................................................................................................... 42
      LTF-UL 1301 Funktion und Einbau ......................................................................... 42
      LTF-UL 1303 Flugüberwachungs- und Navigationsgeräte ...................................... 42
      LTF-UL 1305 Triebwerk-Überwachungsgeräte ....................................................... 42
      LTF-UL 1307 Sonstige Ausrüstung ......................................................................... 42
  II. Geräteeinbau ............................................................................................................ 43
      LTF-UL 1321 Anordnung und Sichtbarkeit .............................................................. 43
      LTF-UL 1325 Pitot- und statische Druckanlage ...................................................... 44
      LTF-UL 1323 Fahrtmesseranlage ........................................................................... 44
      LTF-UL 1337 Triebwerk-Überwachungsgeräte ....................................................... 44
  III. Elektrische Anlagen und Ausrüstung ....................................................................... 44
      LTF-UL 1353 Gestaltung und Einbau von Sammlerbatterien.................................. 44
      LTF-UL 1365 Elektrische Leitungen und Zubehör................................................... 45
  IV. Sonstige Ausrüstung ............................................................................................... 45
      LTF-UL 1431 Funk- und Funknavigationsausrüstung ............................................. 45
Abschnitt G – Betriebsgrenzen und Angaben ................................................................... 45
      LTF-UL 1501 Allgemeines ...................................................................................... 45
      LTF-UL 1505 Fluggeschwindigkeiten ...................................................................... 45
      LTF-UL 1507 Manövergeschwindigkeit .................................................................. 45
      LTF-UL 1511 Geschwindigkeit für das Betätigen der Flügelklappen....................... 45
      LTF-UL 1515 Geschwindigkeit für das Betätigen des Fahrwerks ........................... 46
      LTF-UL 1517 Geschwindigkeit in starker Turbulenz ............................................... 46
      LTF-UL 1519 Masse und Schwerpunktlagen .......................................................... 46
      LTF-UL 1521 Triebwerksgrenzwerte ....................................................................... 46
      LTF-UL 1529 Betriebshandbuch ............................................................................. 46
  Abschnitt H - Kennzeichnungen und Beschriftungen .................................................... 47
      LTF-UL 1541 Allgemeines ...................................................................................... 47
      LTF-UL 1545 Geschwindigkeitsmesser .................................................................. 47
      LTF-UL 1547 Kompass ........................................................................................... 47
      LTF-UL 1549 Triebwerks-Überwachungsgeräte ..................................................... 47
      LTF-UL 1553 Kraftstoffvorratsanzeiger ................................................................... 47
      LTF-UL 1555 Kennzeichnung der Steuer- und Bedienorgane ................................ 48
      LTF-UL 1557 Verschiedene Kennzeichnungen und Beschriftungen ....................... 48
  Flughandbuch ............................................................................................................... 48
      LTF-UL 1581 Allgemeines ...................................................................................... 48
      LTF-UL 1583 Betriebsgrenzen ................................................................................ 48
      LTF-UL 1585 Betriebsangaben und Betriebsverfahren ........................................... 49
Abschnitt I - PROPELLER ................................................................................................ 49
      LTF-UL1917 Werkstoffe ......................................................................................... 49
      LTF-UL 1919 Dauerverhalten ................................................................................. 50
      LTF-UL 1923 Regelung der Steigungseinstellung................................................... 50
Anhang I Rettungsgeräte .............................................................................................. 51
                                                                                                                                  5
1504

1. Allgemeines ........................................................................................................... 51
      2. Belastung durch das Rettungssystem ................................................................... 51
      3. Einbau des Rettungsgeräts ................................................................................... 51
Anhang II         1. Schleppen von Luftfahrzeugen............................................................... 52
  A. Allgemeines .............................................................................................................. 52
  B. Gestaltung und Bauausführung ................................................................................ 52
      I. Auslösevorrichtung ................................................................................................. 52
      II. Anzeige der bei Motorlast kritischen Temperatur .................................................. 52
      III. Vorrichtung zur Beobachtung des geschleppten Luftfahrzeugs während des
      Schleppvorganges..................................................................................................... 53
      IV. Schleppseil und Sollbruchstelle ........................................................................... 53
      V. Schleppkupplung .................................................................................................. 53
      VI. Kraftstoffpumpen .................................................................................................. 53
  C. Geschleppte Luftfahrzeuge ...................................................................................... 53
  D. Betriebsverhalten des Schleppzuges ....................................................................... 53
  E. Festigkeit .................................................................................................................. 54
  F. Betriebsgrenzen und Angaben ................................................................................. 55
Anhang II        2. Schleppen von nichtgesteuerten Anhängern (ohne Fangschlepp) .......... 55
  A. Betriebsverhalten ................................................................................................... 56
  B. Festigkeit ............................................................................................................... 56
  C. Gestaltung und Bauausführung ............................................................................. 56
  F. Betriebsgrenzen und Angaben .............................................................................. 56
Anhang III        Schwimmfähige Ultraleichtflugzeuge ......................................................... 57
  Inhaltsverzeichnis ......................................................................................................... 57
      A. Allgemeines .......................................................................................................... 61
      B. Betriebsverhalten des schwimmfähigen Ultraleichtflugzeuges.............................. 61
      C. Festigkeit .............................................................................................................. 62
      D. Gestaltung und Bauausführung ............................................................................ 70
      E. nicht belegt............................................................................................................ 71
      F. Ausrüstung ............................................................................................................ 71
      G. Betriebsgrenzen und Angaben ............................................................................. 71
      Auszug aus der Windstärkeskala .............................................................................. 72
Anhang IV Einbau von Elektroantrieben in Ultraleichtflugzeuge ................................... 73
  Inhaltsverzeichnis ......................................................................................................... 73
  Vorwort:......................................................................................................................... 73
  Zweck ........................................................................................................................... 73
  Begriffsbestimmungen, Abkürzungen und Bezeichnungen ........................................... 74
Abschnitt A – Allgemeines ................................................................................................ 76
  Anwendbarkeit .............................................................................................................. 76
  Hybridantrieb................................................................................................................. 76
Abschnitt B - Betriebsverhalten ........................................................................................ 76
Abschnitt C – Festigkeit .................................................................................................... 76
  III. V-n-Diagramm.......................................................................................................... 76
  X. Notlandebedingungen .............................................................................................. 77
Abschnitt D – Gestaltung und Bauausführung .................................................................. 77
  IV. Gestaltung des Führerraums ................................................................................... 77
Abschnitt E – Triebwerksanlage ....................................................................................... 77
Abschnitt F – Ausrüstung ................................................................................................. 81
Anlage 1 ........................................................................................................................... 83
Anlage 2 ........................................................................................................................... 84
Anlage 3 ........................................................................................................................... 84
                                                                                                                                      6
1505

VORWORT:

1.              Zweck
Diese Bauvorschrift legt Mindestforderungen für die unter LTF-UL 1 genannten UL-Flugzeuge
fest, die sicherstellen sollen, dass die Verwendung des UL-Flugzeuges für den beabsichtigten
Zweck unbedenklich ist und die Sicherheit des Luftverkehrs sowie die öffentliche Sicherheit und
Ordnung nicht gefährdet werden.

2.               Erläuterungen
1. Diese Forderungen einschließlich der zugehörigen Erläuterungen sollten nicht als
   Zusammenfassung des gegenwärtigen luftfahrttechnischen Wissens betrachtet werden; eine
   Interpretation der Forderungen auf der Basis dieses Wissens ist daher notwendig.
2. Wo notwendig, sind die Forderungen (der besseren Erkennbarkeit wegen) durch
   Erläuterungen ergänzt. Diese Erläuterungen gelten als annehmbare Interpretationen zu den
   Forderungen, empfohlenen Verfahren oder ergänzende Angaben.
3. Abschnitte mit unverbindlichem Inhalt enthalten grundsätzlich die Begriffe "sollte" oder "kann".
   Diese werden im Text verwendet für Aussagen empfehlender oder generell zulässiger Natur.
4. Bei Forderungen, die qualitative Begriffe enthalten (z.B. "deutlich sichtbar" oder "in
   angemessener Weise erprobt"), versteht es sich von selbst, dass in Zweifelsfällen die mit der
   Musterprüfung beauftragte Stelle die Entscheidung fällt.

3.               Inhalt und Form
1. Die Bauvorschriften sind nach Gebieten in mit fortlaufenden Buchstaben bezeichnete
   Abschnitte gekennzeichnet.
2. Das Inhaltsverzeichnis gibt eine Aufzählung der in den Abschnitten behandelten Gebiete.
Wenn im Sinne dieser Forderungen Begriffe eine besondere Bedeutung haben, werden an den
entsprechenden Stellen Definitionen gegeben.


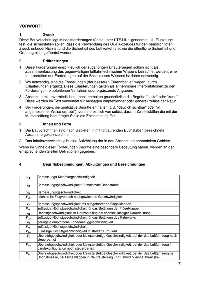
4.               Begriffsbestimmungen, Abkürzungen und Bezeichnungen


     𝑽𝑽𝑨𝑨     Bemessungs-Manövergeschwindigkeit

     𝐕𝐕𝐁𝐁     Bemessungsgeschwindigkeit für maximale Böenstärke

      𝐕𝐕𝐃𝐃    Bemessungsgeschwindigkeit
     𝐕𝐕𝐃𝐃𝐃𝐃   höchste im Flugversuch nachgewiesene Geschwindigkeit

      𝐕𝐕𝐅𝐅    Bemessungsgeschwindigkeit mit ausgefahrenen Flügelklappen
     𝐕𝐕𝐅𝐅𝐅𝐅   zulässige Höchstgeschwindigkeit für das Betätigen der Flügelklappen
      𝐕𝐕𝐇𝐇    Höchstgeschwindigkeit im Horizontalflug bei höchstzulässiger Dauerleistung
     𝐕𝐕𝐋𝐋𝐋𝐋   zulässige Höchstgeschwindigkeit für das Betätigen des Fahrwerks
      𝐕𝐕𝐗𝐗    geringste empfohlene Landeanfluggeschwindigkeit
     𝐕𝐕𝐍𝐍𝐍𝐍   zulässige Höchstgeschwindigkeit
     𝐕𝐕𝐑𝐑𝐑𝐑   Zulässige Höchstgeschwindigkeit in starker Turbulenz
      𝐕𝐕𝐒𝐒    Überziehgeschwindigkeit oder kleinste stetige Geschwindigkeit, bei der das Luftfahrzeug noch
              steuerbar ist
     𝐕𝐕𝐒𝐒𝐒𝐒   Überziehgeschwindigkeit oder kleinste stetige Geschwindigkeit, bei der das Luftfahrzeug in
              Landekonfiguration noch steuerbar ist
     𝐕𝐕𝐒𝐒𝐒𝐒   Überziehgeschwindigkeit oder kleinste stetige Geschwindigkeit, bei der das Luftfahrzeug bei
              Höchstmasse, bei Flügelklappen in Neutralstellung und Fahrwerk eingefahren (bei

                                                                                                             7
1506

Einziehfahrwerken) noch steuerbar ist

      𝐕𝐕𝐒𝐒𝐒𝐒   errechnete Überziehgeschwindigkeit bei voll ausgefahrenen Flügelklappen und bei
               Höchstmasse
      𝐕𝐕𝐓𝐓     zulässige Höchstgeschwindigkeit für den Flugzeugschlepp
      𝐕𝐕𝐘𝐘     Geschwindigkeit des besten Steigens
CAS            berichtigte Fluggeschwindigkeit (calibrated airspeed - CAS) Die um den Instrumenten- und
               Einbaufehler berichtigte angezeigte Geschwindigkeit.
EAS            äquivalente Fluggeschwindigkeit (equivalent airspeed - EAS) Die berichtigte Geschwindigkeit
               eines Luftfahrzeuges, korrigiert für die adiabatisch kompressible Strömung in einer bestimmten
               Höhe. Bei Normalatmosphäre in Meereshöhe ist die äquivalente Fluggeschwindigkeit gleich
               der berichtigten Fluggeschwindigkeit.
IAS            angezeigte Fluggeschwindigkeit (indicated airspeed – IAS) Die Geschwindigkeit, die ein
               Staudruck-Fahrtmesser anzeigt, der so geeicht ist, dass er die Geschwindigkeit der adiabatisch
               kompressiblen Strömung bei Normalatmosphäre in Meereshöhe wiedergibt, jedoch ohne
               Berichtigung der Fehler der Fahrtmesseranlage.
TAS            wahre Fluggeschwindigkeit (true airspeed - TAS) Die Geschwindigkeit eines Luftfahrzeugs in
               ruhender Luft. Die wahre Fluggeschwindigkeit ist gleich der äquivalenten Fluggeschwindigkeit
               multipliziert mit (r/ro) ½.

Allgemeine technische Begriffe
Motor                              Eine Kraftmaschine, die zum Antrieb eines Luftfahrzeugs verwendet wird
                                   oder verwendet werden soll. Dazu gehören solche Motorzubehörteile und
                                   Einrichtungen, die für die Funktion und zur Regelung notwendig sind,
                                   jedoch nicht Propeller.
Verstellpropeller                  Bezeichnet einen Propeller, dessen Steigung im Stillstand oder im Lauf
                                   veränderbar ist. Dies können sein:
                                   a) Propeller mit direkter Steigungsverstellung durch den Flugzeugführer
                                   (handverstellter Propeller)
                                   b) Propeller, deren Steigung durch einen Regler oder eine andere
                                   automatische Einrichtung verstellt wird. Diese Einrichtungen können
                                   entweder Bestandteil des Propellers oder ein eigenes Bauteil mit oder
                                   ohne Vorwählung durch den Flugzeugführer sein (constant speed
                                   propeller).
                                   c) Propeller, deren Steigungsverstellung durch eine Kombination der unter
                                   a und b genannten Ausführungen bewerkstelligt wird.
Anschnallgurt                      Anschnallgurte im Sinne dieser Vorschrift sind vierteilige Gurte, bestehend
                                   aus einem Schulterband für jede Schulter und zwei Beckengurtteilen.
Lastvielfache                      Das Verhältnis einer festgelegten Last zur Gesamtmasse des
                                   Luftfahrzeuges. Festgelegte Lasten können Luftkräfte, Trägheitskräfte oder
                                   Boden- oder Wasser-Reaktionskräfte sein.
Höchste Startleistung              Bezeichnet die Bremsleistung, die in Meereshöhe unter Bedingungen der
                                   Normalatmosphäre bei den für den Start, Anflugabbruch und Durchstart
                                   zugelassenen Höchstwerten für Kubelwellen-Drehzahl und Ladedruck
                                   abgegeben wird, begrenzt auf einen maximalen Zeitraum von 5 Minuten.
Höchste Dauerleistung              Bezeichnet die Bremsleistung, die in einer festgelegten Höhe unter
                                   Bedingungen der Normalatmosphäre und bei den für unbegrenzte Dauer
                                   zugelassenen Höchstwerten für Kurbelwellen-Drehzahl und Ladedruck
                                   abgegeben wird.
Feuersicher                        In einer erklärten Brandzone bezeichnet "feuersicher“ die Fähigkeit von
                                   Bauteilen und Teilen der Ausrüstung, den Temperatureinwirkungen der
                                   "Standardflamme“ für einen Zeitraum von 15 Minuten standzuhalten. Bei
                                   Werkstoffen und Bauteilen, die dazu dienen, Feuer in einer erklärten
                                   Brandzone zu begrenzen, bezeichnet "feuersicher“ die Fähigkeit eines
                                   Werkstoffes, in Abmessungen, die seinem Verwendungszweck
                                   entsprechen, den bei einem länger andauernden Brand von äußerster
                                   Intensität in jeder Zone sich entwickelnden Temperaturen mindestens
                                   ebenso gut wie Stahl standzuhalten. Bei Leitungen und anderen Teilen
                                   von Anlagen bezeichnet „feuersicher“ die Fähigkeit eines Werkstoffes, in

                                                                                                             8
1507

Abmessungen, die seinem Verwendungszweck entsprechen, den bei
                     einem Brand sich entwickelnden Temperaturen mindestens ebenso gut
                     wie Stahl standzuhalten
Feuerhemmend         In einer erklärten Brandzone bezeichnet "feuerhemmend“ bei Bauteilen
                     und Teilen der Ausrüstung die Fähigkeit eines Werkstoffes, den
                     Temperatureinwirkungen der "Standardflamme" für einen Zeitraum von 5
                     Minuten standzuhalten. Bei Blechen und Strukturbauteilen bezeichnet
                     "feuerhemmend“ die Fähigkeit eines Werkstoffes, in Abmessungen, die
                     seinem Verwendungszweck entsprechen, den bei einem Brand sich
                     entwickelnden Temperaturen ebenso gut wie eine Aluminiumlegierung
                     standzuhalten, und bei flüssigkeitsführenden Leitungen, anderen Teilen
                     von Anlagen mit brennbaren Flüssigkeiten, elektrischen Leitungen,
                     Luftführungen, Beschlägen und Bedieneinrichtungen des Triebwerks die
                     Fähigkeit, dass sie unter den bei einem Brand an den betreffenden Orten
                     anzunehmenden Temperaturen und sonstigen Bedingungen die ihnen
                     zukommenden Funktionen erfüllen.
Schwer entflammbar   Als schwer entflammbar gilt ein Werkstoff, der die Verbrennung nicht so
                     unterstützt, dass sich eine Flamme nach Entfernung der Zündstelle
                     unbegrenzt ausbreitet.




                                                                                               9
1508

Abschnitt A - Allgemeines
LTF-UL 1             Anwendbarkeit
Diese Bauvorschrift ist anzuwenden für Luftsportgeräte der Luftfahrzeugart motorgetriebene
aerodynamisch gesteuerte UL-Flugzeuge mit einer höchstzulässigen Abflugmasse, die
   1. nicht mehr als 600 kg beträgt - ohne Schwimmer, einschließlich Rettungsgerät,
   2. nicht mehr als 650 kg beträgt - mit Schwimmer, einschließlich Rettungsgerät und

deren Mindestgeschwindigkeit VS0 entsprechend, LTF-UL 49 nicht größer ist als 83 km/h.

Anmerkung zu 2.: Die Vorgaben für schwimmfähige Ultraleichtflugzeuge sind im Anhang III
dieser Bauvorschrift aufgeführt.


Abschnitt B - Betriebsverhalten
       I. Allgemeines

LTF-UL 21            Führung der Nachweise
Jede Forderung dieses Kapitels muss für die ungünstigste Masse- und
Schwerpunktlagenkombination innerhalb des Bereichs der Beladungszustände, für die die
Zulassung beantragt wird, durch Versuche mit einem Flugzeug als Muster erfüllt werden.
Der Nachweis muss für alle Zustandsformen, in denen das Flugzeug betrieben werden soll,
erbracht werden - soweit nichts anderes angegeben ist.

Anmerkung:
In diesem Abschnitt B sind nicht alle für den Nachweis der Übereinstimmung geforderten
Flugversuche erfasst.

Erläuterungen zu LTF-UL 21:
1. Instrumentierung für Flugversuche
       a. Für die Versuche sollte das Flugzeug mit geeigneten Geräten ausgerüstet sein, die es
          gestatten, in einfacher Weise die notwendigen Messungen und Beobachtungen
          auszuführen.
       b. In einem frühen Versuchsstadium sollte die Messgenauigkeit der Instrumente sowie
          deren Korrektur-Kurven ermittelt werden. Dabei sollte besonders auf die Fehlanzeige
          des Fahrtmessersystems geachtet werden, wobei auch der Einfluss der jeweiligen
          Zustandsform des Flugzeugs berücksichtigt werden sollte.
2. Vor den Flugversuchen sollten folgende Bodenversuche durchgeführt werden:
       a. Triebwerksprüflauf gemäß Erläuterung zu LTF-UL 901.
       b. Messung des max. Ausschlags der Steuerflächen, Flügel, Klappen und deren
          Betätigungsorgane.
3. Funktionsversuche:
Vor Beginn der Flugversuche sollten alle Bodenfunktionsversuche durchgeführt worden sein.




                                                                                             10
1509

LTF-UL 23             Grenzen der Lastverteilung
1. Die Masse- und Schwerpunktsbereiche, innerhalb derer das Flugzeug sicher betrieben werden
   kann, müssen vom Antragsteller festgelegt werden. Der nachzuweisende
   Schwerpunktsbereich muss sich von der vordersten Schwerpunktslage bis zu 1 % der
   Bezugsflügeltiefe oder 10 mm, maßgebend ist der größere Wert, hinter die hinterste
   zuzulassende Schwerpunktslage erstrecken.
2. Der Schwerpunktsbereich darf nicht kleiner sein als derjenige, der sich ergibt, wenn für einen
   jeden Insassen folgende Massegrößen zugrunde gelegt werden:
   Mindestmasse 70 kg, Höchstmasse 110 kg (jedoch nicht mehr als 200 kg für Doppelsitzer).
Anmerkung: Unter Berücksichtigung der ungünstigsten Lastkombination aus Zuladung und
Kraftstoff.


LTF-UL 25             Massegrenzen - Höchstmasse
Die Höchstmasse muss so festgelegt werden, dass sie
1. nicht größer ist als-
       a. die größte Masse, die der Antragsteller vorgeschlagen hat.
       b. Die Bemessungs-Höchstmasse, welche die größte Masse ist, bei der der Nachweis für
          alle anwendbaren festigkeitsmäßigen Belastungsbedingungen und der Nachweis der
          Übereinstimmung mit jeder anwendbaren Forderung an das Betriebsverhalten geführt
          wird;
2. nicht kleiner ist als die Masse, die sich aus der Leermasse inkl. der geforderten
   Mindestausrüstung des Flugzeugs zuzüglich einer Insassenmasse von mindestens 110 kg für
   ein einsitziges Flugzeug oder einer Insassenmasse von mindestens 200 kg für ein
   doppelsitziges Flugzeug zuzüglich eines Kraftstoffvorrates für mindestens eine Stunde
   Reiseflug bei max. Dauerleistung des Triebwerks, ergibt.
3. Die Kleinstmasse muss so festgelegt werden, dass sie nicht größer ist als die Summe aus
       a. der Leermasse gemäß LTF-UL 29 und
       b. einer Insassenmasse von 70 kg.


LTF-UL 29             Leermasse und zugehörige Schwerpunktlage
1. Die Leermasse und die zugehörige Schwerpunktlage müssen durch Wägung des Flugzeuges
   • mit fest eingebautem Ballast
   • mit geforderter Mindestausrüstung inkl. Rettungsgerät und
   • mit nicht ausfliegbarem Kraftstoff, wo anwendbar der Höchstmenge Öl, und wo anwendbar
      Hydraulikflüssigkeit und wo anwendbar Motorkühlstoff ermittelt werden.
   • ohne die Masse des (der) Insassen und ohne sonstige Zuladung
2. Der Zustand des Flugzeuges zur Zeit der Bestimmung der Leermasse muss genau definiert
   und ohne Schwierigkeiten wieder herstellbar sein.
3. Zusammen mit dem Wägebericht ist ein Ausrüstungsverzeichnis, das die Ausstattung (z. B.
   Reifengröße, Radverkleidungen, Tankvolumen etc.) beinhaltet und das alle
   Ausrüstungsgegenstände, die fest eingebaut sind (z.B. Avionikausrüstung, Zusatzheizung,
   Schleppeinrichtung, falls eingebaut etc.) enthält, zu erstellen.


                                                                                                11
1510

Zur nächsten Seite