Nachrichten für Luftfahrer 2020 Teil 2 (weicht ggf. von Druckversion ab)

/ 3386
PDF herunterladen
EASA AD No.: 2020-0251

         Ref. Publications:
         Airbus D&S ALL DT-86-3001 Revision R dated 20 March 2018.

         Airbus D&S ALL DT-06-3009 Revision A dated January 2007.

         Airbus D&S AOT-CN235-53-0005 Revision 2 dated 09 July 2020.

         The use of later approved revisions of the above-mentioned documents is acceptable for
         compliance with the requirements of this AD.

         Remarks:
         1. If requested and appropriately substantiated, EASA can approve Alternative Methods of
            Compliance for this AD.

         2.        This AD was posted on 12 October 2020 as PAD 20-165 for consultation 09 November 2020.
                   No comments were received during the consultation period.

         3.        Enquiries regarding this AD should be referred to the EASA Programming and Continued
                   Airworthiness Information Section, Certification Directorate. E-mail: ADs@easa.europa.eu.

         4.        Information about any failures, malfunctions, defects or other occurrences, which may be
                   similar to the unsafe condition addressed by this AD, and which may occur, or have occurred on
                   a product, part or appliance not affected by this AD, can be reported to the EU aviation safety
                   reporting system. This may include reporting on the same or similar components, other than
                   those covered by the design to which this AD applies, if the same unsafe condition can exist or
                   may develop on an aircraft with those components installed. Such components may be
                   installed under an FAA Parts Manufacturer Approval (PMA), Supplemental Type Certificate
                   (STC) or other modification.

         5.        For any question concerning the technical content of the requirements in this AD, please
                   contact: Airbus D&S Services / Engineering Support, Fax: +34 91 585 3127,
                   E-mail: MTA.TechnicalService@airbus.com.

                   For North American operators, contact alternatively:
                   E-mail: TechnicalSupport@airbusmilitaryna.com.




                                  TE.CAP.00110-010 © European Union Aviation Safety Agency. All rights reserved. ISO9001 Certified.            Page 6 of 6
                                  Proprietary document. Copies are not controlled. Confirm revision status through the EASA-Internet/Intranet.
An agency of the European Union
3151

Lufttüchtigkeitsanweisung                     Luftfahrt-Bundesamt
                                                                                        - Sachgebiet T23 -
                                            D-2018-163R1                             38144 Braunschweig
                               EASA AD 2020-0258 (Correction: 19.11.2020) vom        Fax: +49-531-2355-5298
                                               18.11.2020                            email: ad@LBA.de

AIRBUS                                                                                     19.11.2020

Betroffenes Luftfahrtgerät:
Art des Luftfahrtgerätes:       Flugzeug
Inhaber der Musterzulassung:    AIRBUS S.A.S.
Hersteller:                     Airbus, vormals Airbus Industrie

Muster:                         A318, A319, A320

Baureihen:                      A318-111, A318-112, A318-121, A318-122,
                                A319-111, A319-112, A319-113, A319-114, A319-115, A319-131, A319-132,
                                A319-133,
                                A320-211, A320-212, A320-214, A320-215, A320-216, A320-231, A320-232
                                und A320-233

Werknummern:                    Alle

Gerätenummer:                   2846, EASA.A.064

Revisionsstand:
Diese LTA ersetzt D-2018-163 vom 06.07.2018
Airworthiness Directive der ausländischen Behörde:
EASA AD 2020-0258 (Correction: 19.11.2020) vom 18.11.2020

Genannte Airworthiness Directives unter dieser Rubrik, die nicht durch die EASA herausgegeben worden sind,
wurden durch die EASA über die Entscheidung Nr. 2019/018/ED übernommen und sind somit ebenfalls Airworthin-
ess Directives der EASA.
Die genannte Airworthiness Directive wird im Luftfahrt-Bundesamt unter der Nummer 2018-163R1 geführt.
Betrifft:
(ATA 32) Landing Gear - Main Landing Gear Sliding Tubes - Inspection

Anmerkungen:
Gemäß der EU Verordnung Nr. 1321/2014, Anhang I, Teil M, Unterabschnitt C, M.A.301 5.i) und M.A.303 dür-
fen Luftfahrzeuge nach dem in der Lufttüchtigkeitsanweisung angegebenen Termin nur in Betrieb genom-
men werden, wenn die angeordneten Maßnahmen ordnungsgemäß durchgeführt worden sind.
Die Europäische Agentur für Flugsicherheit (EASA) hat die oben referenzierte Lufttüchtigkeitsanweisung
EASA AD 2020-0258 (Correction: 19.11.2020) vom 18.11.2020 herausgegeben oder per Entscheidung Nr.
2019/018/ED übernommen.
Gemäß § 14 Abs. 2 der Betriebsordnung für Luftfahrtgerät (LuftBO) sind diese Lufttüchtigkeitsanweisun-
gen direkt in der Bundesrepublik Deutschland gültig und bedürfen keiner Umsetzung durch das Luftfahrt-
Bundesamt.
Mit Hilfe dieser Übersichtsseite veröffentlicht das Luftfahrt-Bundesamt ebenfalls die über § 14 Abs. 2 direkt
gültigen Lufttüchtigkeitsanweisungen der EASA in den Nachrichten für Luftfahrer und im Internet unter
www2.LBA.de/LTAs/. Dieser Service dient reinen Informationszwecken und liegt keinem Verwaltungsver-
fahren zu Grunde. Rechtsmittel sind damit ausgeschlossen.




D-2018-163R1                                   Seite 1 von 1                                            531/2020
3152

EASA AD No.: 2020-0258


                                                                  Airworthiness Directive
                                                                  AD No.:      2020-0258
                                                                  [Correction: 19 November 2020]
                                                                  Issued:                 18 November 2020
                                                                  Note: This Airworthiness Directive (AD) is issued by EASA, acting in accordance with Regulation
                                                                  (EU) 2018/1139 on behalf of the European Union, its Member States and of the European third
                                                                  countries that participate in the activities of EASA under Article 129 of that Regulation.

         This AD is issued in accordance with Regulation (EU) 748/2012, Part 21.A.3B. In accordance with Regulation (EU) 1321/2014 Annex I, Part M.A.301, the
         continuing airworthiness of an aircraft shall be ensured by accomplishing any applicable ADs. Consequently, no person may operate an aircraft to which
         an AD applies, except in accordance with the requirements of that AD, unless otherwise specified by the Agency [Regulation (EU) 1321/2014 Annex I,
         Part M.A.303] or agreed with the Authority of the State of Registry [Regulation (EU) 2018/1139, Article 71 exemption].


         Design Approval Holder’s Name:                                                    Type/Model designation(s):
         AIRBUS                                                                            A318, A319 and A320 aeroplanes

         Effective Date:                 02 December 2020
         TCDS Number(s): EASA.A.064
         Foreign AD:                     Not applicable
         Supersedure:                    This AD supersedes EASA AD 2018-0136 dated 26 June 2018.


         ATA 32 – Landing Gear – Main Landing Gear Sliding Tubes – Inspection


         Manufacturer(s):
         Airbus, formerly Airbus Industrie.

         Applicability:
         Airbus A318-111, A318-112, A318-121, A318-122, A319-111, A319-112, A319-113, A319-114,
         A319-115, A319-131, A319-132, A319-133, A320-211, A320-212, A320-214, A320-215, A320-216,
         A320-231, A320-232 and A320-233 aeroplanes, all manufacturer serial numbers.

         Definitions:
         For the purpose of this AD, the following definitions apply:

         The SB: Airbus Service Bulletin (SB) A320-32-1461.

         The AOT: Airbus Alert Operators Transmission (AOT) A32N022-20.

         Affected parts (first batch): Main landing gear (MLG) sliding tubes, having a part number (P/N) and
         serial number (s/n) as listed in Appendix 1 of this AD, that have been last overhauled between 27
         October 2003 and 21 September 2009 inclusive.

         Affected parts (second batch): MLG sliding tubes, having a P/N and s/n as listed in Appendix 2 of
         this AD, except those that have been overhauled after 05 January 2015.

                                  TE.CAP.00110-010 © European Union Aviation Safety Agency. All rights reserved. ISO9001 Certified.            Page 1 of 6
                                  Proprietary document. Copies are not controlled. Confirm revision status through the EASA-Internet/Intranet.
An agency of the European Union
3153

EASA AD No.: 2020-0258

         Groups: Group 1 aeroplanes are those that have an affected part (first batch) installed.
         Group 2 aeroplanes are those that have an affected part (second batch) installed.
         Group 3 aeroplanes are those that do not have an affected part installed.

         Note 1: Depending on aeroplane configuration, an aeroplane can be in Group 1 and Group 2.

         Reason:
         During a walk-around inspection, prior to aeroplane dispatch, an A320 MLG was found collapsed.
         Investigation revealed that, following a magnetic particle inspection of the MLG sliding tube,
         performed improperly during overhaul, cracks were initiated, eventually leading to fatigue fracture.
         A limited number of MLG sliding tubes were identified that may have been subject to the same
         improper inspection during the last overhaul.

         This condition, if not detected and corrected, could lead to MLG sliding tube fracture, possibly
         resulting in MLG collapse, damage to the aeroplane, and injury to occupants.

         To address this potential unsafe condition, Airbus issued the SB, providing instructions for repetitive
         general visual inspections (GVI) of the affected parts (first batch) until next overhaul, and EASA
         issued AD 2018-0136 to require those inspections and, depending on findings, replacement.

         Since that AD was issued, additional parts have been identified, that may also have been subject to
         the same improper overhaul, and Airbus published the AOT, identifing the list of affected parts
         (second batch).

         For the reasons described above, this AD retains the requirements of EASA AD 2018-0136, which is
         superseded, and additionally requires those actions on affected parts (second batch), as defined in
         this AD and, depending on findings, replacement.

         This AD has been republished to correct typographical errors in the Ref. Publications section.

         Required Action(s) and Compliance Time(s):
         Required as indicated, unless accomplished previously:

         Inspection(s):
         (1) For Group 1 and Group 2 aeroplanes: Within the compliance time specified in Table 1 of this
             AD, as applicable, and, thereafter, at intervals not to exceed 500 flight cycles (FC), accomplish a
             GVI of each affected part (first batch and second batch) in accordance with the instructions of
             the SB or the AOT, as applicable.

                                                          Table 1 – Initial GVI of Affected Parts
                         Group                                                   Compliance Time
                              1        Within 500 FC after 10 July 2018 [the effective date of EASA AD 2018-0136]
                                       Within 500 FC after the inspection in accordance with the instructions of Airbus
                              2        AOT A32N020-20, or within 100 FC after the effective date of this AD, whichever
                                       occurs later (see Note 2 of this AD)


                                  TE.CAP.00110-010 © European Union Aviation Safety Agency. All rights reserved. ISO9001 Certified.            Page 2 of 6
                                  Proprietary document. Copies are not controlled. Confirm revision status through the EASA-Internet/Intranet.
An agency of the European Union
3154

EASA AD No.: 2020-0258

         Note 2: For certain MLG sliding tubes, EASA AD 2020-0193 requires accomplishment of one-time
         inspection in accordance with the instructions of Airbus AOT A32N020-20.

         Corrective Action(s):
         (2) If, during any inspection as required by paragraph (1) of this AD, any crack is detected, before
             next flight, replace the affected part in accordance with the instructions of the SB or the AOT,
             as applicable.

         Terminating Action:
         (3) For Group 1 aeroplanes: Overhaul of an affected part (first batch) after 21 September 2009
             constitutes terminating action for the repetitive GVI as required by paragraph (1) of this AD for
             that affected part.

         (4) For Group 2 aeroplanes: Overhaul of an affected part (second batch) after 05 January 2015
             constitutes terminating action for the repetitive GVI as required by paragraph (1) of this AD for
             that affected part.

         (5) For Group 1 and Group 2 aeroplanes: Replacing each affected part (first and second batch) on
             an aeroplane with MLG sliding tubes that are not affected parts, as defined in this AD,
             constitutes terminating action for the repetitive GVI as required by paragraph (1) of this AD for
             that aeroplane, provided that, following replacement, no affected part is (re)installed on that
             aeroplane.

         Credit:
         (6) An aeroplane on which Airbus modification 161202 (EV MLG) has been embodied in production
             is not affected by the requirements of paragraphs (1) to (5) of this AD, provided it is determined
             that no affected parts (first or second batch) are installed on that aeroplane.

                   A review of aeroplane delivery and/or maintenance records is acceptable to make this
                   determination, provided those records can be relied upon for that purpose and the P/N and s/n
                   of the MLG sliding tube can be positively identified from that review.

         Parts Installation:
         (7) For Group 1 and Group 2 aeroplanes: From the effective date of this AD, it is allowed to install
             on any aeroplane an affected part, or an MLG equipped with an affected part (first or second
             batch), provided that, within the last 500 FC before installation, the part passed an inspection in
             accordance with the instructions of the SB or the AOT, as applicable, and that, following
             installation, the part is inspected as required by this AD.

         (8) For Group 3 aeroplanes: From the effective date of this AD, do not install on any aeroplane an
             affected part (first or second batch).

         Ref. Publications:
         Airbus SB A320-32-1461 original issue dated 11 April 2018.

         Airbus AOT A32N022-20 original issue dated 15 October 2020, or Revision 01 dated 16 November
         2020.


                                  TE.CAP.00110-010 © European Union Aviation Safety Agency. All rights reserved. ISO9001 Certified.            Page 3 of 6
                                  Proprietary document. Copies are not controlled. Confirm revision status through the EASA-Internet/Intranet.
An agency of the European Union
3155

EASA AD No.: 2020-0258

         The use of later approved revisions of the above-mentioned documents is acceptable for
         compliance with the requirements of this AD.
         Remarks:
         1. If requested and appropriately substantiated, EASA can approve Alternative Methods of
             Compliance for this AD.

         2.        Based on the required actions and the compliance time, EASA have decided to issue a Final AD
                   with Request for Comments, postponing the public consultation process until after publication.

         3.        Enquiries regarding this AD should be referred to the EASA Programming and Continued
                   Airworthiness Information Section, Certification Directorate. E-mail: ADs@easa.europa.eu.

         4.        Information about any failures, malfunctions, defects or other occurrences, which may be
                   similar to the unsafe condition addressed by this AD, and which may occur, or have occurred on
                   a product, part or appliance not affected by this AD, can be reported to the EU aviation safety
                   reporting system. This may include reporting on the same or similar components, other than
                   those covered by the design to which this AD applies, if the same unsafe condition can exist or
                   may develop on an aircraft with those components installed. Such components may be
                   installed under an FAA Parts Manufacturer Approval (PMA), Supplemental Type Certificate
                   (STC) or other modification.

         5.        For any question concerning the technical content of the requirements in this AD, please
                   contact: AIRBUS – Airworthiness Office – IIASA; E-mail: account.airworth-eas@airbus.com.




                                  TE.CAP.00110-010 © European Union Aviation Safety Agency. All rights reserved. ISO9001 Certified.            Page 4 of 6
                                  Proprietary document. Copies are not controlled. Confirm revision status through the EASA-Internet/Intranet.
An agency of the European Union
3156

EASA AD No.: 2020-0258

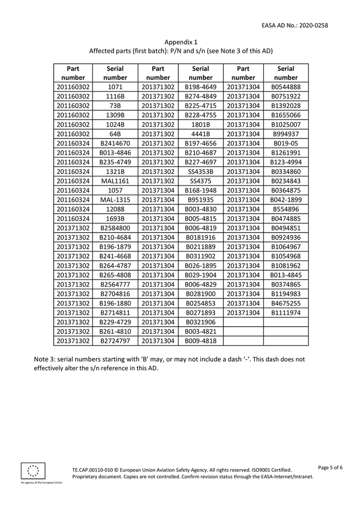
                                                                    Appendix 1
                                         Affected parts (first batch): P/N and s/n (see Note 3 of this AD)

                             Part              Serial              Part               Serial             Part              Serial
                           number             number             number             number             number             number
                          201160302             1071            201371302          B198-4649          201371304          B0544888
                          201160302            1116B            201371302          B274-4849          201371304          B0751922
                          201160302             73B             201371302          B225-4715          201371304          B1392028
                          201160302            1309B            201371302          B228-4755          201371304          B1655066
                          201160302            1024B            201371302            1801B            201371304          B1025007
                          201160302             64B             201371302            4441B            201371304           B994937
                          201160324          B2414670           201371302          B197-4656          201371304           B019-05
                          201160324          B013-4846          201371302          B210-4687          201371304          B1261991
                          201160324          B235-4749          201371302          B227-4697          201371304          B123-4994
                          201160324            1321B            201371302           SS4353B           201371304          B0334860
                          201160324          MAL1161            201371302            SS4375           201371304          B0234843
                          201160324             1057            201371304          B168-1948          201371304          B0364875
                          201160324          MAL-1315           201371304           B951935           201371304          B042-1899
                          201160324            12088            201371304          B003-4830          201371304           B554896
                          201160324            1693B            201371304          B005-4815          201371304          B0474885
                          201371302          B2584800           201371304          B006-4819          201371304          B0494851
                          201371302          B210-4684          201371304          B0181916           201371304          B0924936
                          201371302          B196-1879          201371304          B0211889           201371304          B1064967
                          201371302          B241-4668          201371304          B0311902           201371304          B1054968
                          201371302          B264-4787          201371304          B026-1895          201371304          B1081962
                          201371302          B265-4808          201371304          B029-1904          201371304          B013-4845
                          201371302          B2564777           201371304          B006-4829          201371304          B0374865
                          201371302          B2704816           201371304          B0281900           201371304          B1194983
                          201371302          B196-1880          201371304          B0254853           201371304          B4675255
                          201371302          B2714811           201371304          B0271893           201371304          B1111974
                          201371302          B229-4729          201371304          B0321906
                          201371302          B261-4810          201371304          B003-4821
                          201371302          B2724797           201371304          B009-4818

         Note 3: serial numbers starting with ‘B’ may, or may not include a dash ‘-‘. This dash does not
         effectively alter the s/n reference in this AD.




                                  TE.CAP.00110-010 © European Union Aviation Safety Agency. All rights reserved. ISO9001 Certified.            Page 5 of 6
                                  Proprietary document. Copies are not controlled. Confirm revision status through the EASA-Internet/Intranet.
An agency of the European Union
3157

EASA AD No.: 2020-0258

                                                                  Appendix 2
                                       Affected parts (second batch): P/N and s/n (see Note 3 of this AD)

                                                 Part
                                                                                 Serial number
                                               number
                                              201160302                       MAL1367
                                              201160302                         1752B
                                              201160302                         4446B
                                              201160324                         1269B
                                              201160324                       MAL1461
                                              201160324                         1717B
                                              201371304                B3505136 or B350-5136 (*)
                                              201371304                B6302347 or B630-2347 (*)
                                              201371304                B5995328 or B599-5328 (*)
                                              201371304                B5915314 or B591-5314 (*)
                                              201371304                B3805234 or B380-5234 (*)
                                              201371304                B7292426 or B729-2426 (*)
                                              201371304                B8435400 or B843-5400 (*)
                                              201371304                B8962511 or B896-2511 (*)
                                              201371304                B8942512 or B894-2512 (*)
                                              201371304                B9852613 or B985-2613 (*)
                                              201371304               B21633412 or B2163-3412 (*)
                                              201371304               B21543372 or B2154-3372 (*)
                                              201371304                B1044964 or B104-4964 (*)
                                              201371304                 B904947 or B90-4947 (*)
                                              201371304              B302514151 or B3025-14151 (*)
                                              201371304               B15162900 or B1516-2900 (*)
                                              201371304                B3112075 or B311-2075 (*)
                                              201371304               B22128152 or B2212-8152 (*)
                                              201371304               B22313425 or B2231-3425 (*)
                                              201371304               B18898063 or B1889-8063 (*)
                                              201371304               B20693352 or B2069-3352 (*)


         (*) Parts could have been identified with or without a dash in the s/n.




                                  TE.CAP.00110-010 © European Union Aviation Safety Agency. All rights reserved. ISO9001 Certified.            Page 6 of 6
                                  Proprietary document. Copies are not controlled. Confirm revision status through the EASA-Internet/Intranet.
An agency of the European Union
3158

Lufttüchtigkeitsanweisung                   Luftfahrt-Bundesamt
                                                                                        - Sachgebiet T23 -
                                               D-2018-333R1                          38144 Braunschweig
                                         EASA AD 2020-0257 vom 17.11.2020            Fax: +49-531-2355-5298
                                                                                     email: ad@LBA.de

AIRBUS HELICOPTERS                                                                         19.11.2020
DEUTSCHLAND

Betroffenes Luftfahrtgerät:
Art des Luftfahrtgerätes:         Drehflügler
Inhaber der Musterzulassung:      AIRBUS HELICOPTERS DEUTSCHLAND GmbH
Hersteller:                       Airbus Helicopters Deutschland GmbH (vormals Eurocopter Deutschland
                                  GmbH), Airbus Helicopters Inc. (vormals American Eurocopter LLC)

Muster:                           MBB-BK117

Baureihen:                        MBB-BK117 C-2 und MBB-BK117 D-2

Werknummern:                      Alle

Gerätenummer:                     3049, EASA.R.010

Revisionsstand:
Diese LTA ersetzt D-2018-333 vom 20.12.2018
Airworthiness Directive der ausländischen Behörde:
EASA AD 2020-0257 vom 17.11.2020

Genannte Airworthiness Directives unter dieser Rubrik, die nicht durch die EASA herausgegeben worden sind,
wurden durch die EASA über die Entscheidung Nr. 2019/018/ED übernommen und sind somit ebenfalls Airworthin-
ess Directives der EASA.
Die genannte Airworthiness Directive wird im Luftfahrt-Bundesamt unter der Nummer 2018-333R1 geführt.
Betrifft:
(ATA 67) Rotors Flight Control - Main Rotor Actuator - Inspection

Anmerkungen:
Gemäß der EU Verordnung Nr. 1321/2014, Anhang I, Teil M, Unterabschnitt C, M.A.301 5.i) und M.A.303 dür-
fen Luftfahrzeuge nach dem in der Lufttüchtigkeitsanweisung angegebenen Termin nur in Betrieb genom-
men werden, wenn die angeordneten Maßnahmen ordnungsgemäß durchgeführt worden sind.
Die Europäische Agentur für Flugsicherheit (EASA) hat die oben referenzierte Lufttüchtigkeitsanweisung
EASA AD 2020-0257 vom 17.11.2020 herausgegeben oder per Entscheidung Nr. 2019/018/ED übernommen.
Gemäß § 14 Abs. 2 der Betriebsordnung für Luftfahrtgerät (LuftBO) sind diese Lufttüchtigkeitsanweisun-
gen direkt in der Bundesrepublik Deutschland gültig und bedürfen keiner Umsetzung durch das Luftfahrt-
Bundesamt.
Mit Hilfe dieser Übersichtsseite veröffentlicht das Luftfahrt-Bundesamt ebenfalls die über § 14 Abs. 2 direkt
gültigen Lufttüchtigkeitsanweisungen der EASA in den Nachrichten für Luftfahrer und im Internet unter
www2.LBA.de/LTAs/. Dieser Service dient reinen Informationszwecken und liegt keinem Verwaltungsver-
fahren zu Grunde. Rechtsmittel sind damit ausgeschlossen.




D-2018-333R1                                     Seite 1 von 1                                          530/2020
3159

EASA AD No.: 2020-0257


                                                                  Airworthiness Directive
                                                                  AD No.:              2020-0257
                                                                  Issued:              17 November 2020
                                                                  Note: Airworthiness Directive (AD) is issued by EASA, acting in accordance with Regulation (EU)
                                                                  2018/1139 on behalf of the European Union, its Member States and of the European third
                                                                  countries that participate in the activities of EASA under Article 129 of that Regulation.

         This AD is issued in accordance with Regulation (EU) 748/2012, Part 21.A.3B. In accordance with Regulation (EU) 1321/2014 Annex I, Part M.A.301, the
         continuing airworthiness of an aircraft shall be ensured by accomplishing any applicable ADs. Consequently, no person may operate an aircraft to which
         an AD applies, except in accordance with the requirements of that AD, unless otherwise specified by the Agency [Regulation (EU) 1321/2014 Annex I,
         Part M.A.303] or agreed with the Authority of the State of Registry [Regulation (EU) 2018/1139, Article 71 exemption].


         Design Approval Holder’s Name:                                                        Type/Model designation(s):
         AIRBUS HELICOPTERS DEUTSCHLAND GmbH                                                   MBB-BK117 helicopters

         Effective Date:                 01 December 2020
         TCDS Number(s): EASA.R.010
         Foreign AD:                     Not applicable
         Supersedure:                    This AD supersedes EASA AD 2018-0283 dated 20 December 2018.


         ATA 67 – Rotors Flight Control – Main Rotor Actuator – Inspection


         Manufacturer(s):
         Airbus Helicopters Deutschland GmbH (AHD), formerly Eurocopter Deutschland GmbH; and
         Airbus Helicopters Inc., formerly American Eurocopter LLC

         Applicability:
         MBB-BK117 C-2 and MBB-BK117 D-2 helicopters, all serial numbers.

         Definitions:
         For the purpose of this AD, the following definitions apply:

         The applicable ASB: Airbus Helicopters (AH) Alert Service Bulletin (ASB) MBB-BK117 C-2-67A-028
         and ASB MBB-BK117 D-2-67A-015, as applicable.

         Affected part: Main rotor actuators (MRA) having Part Number (P/N) B673M30A1002 or P/N
         D673M30A1003.

         Serviceable part: An MRA which is not an affected part; or an affected part which has accumulated
         less than 12 months since new or since last overhaul, as applicable; or an affected part that, within
         12 months before installation, has passed an inspection (no defects found) in accordance with the
         instructions of Section 3.B.2 of the applicable ASB.



                                  TE.CAP.00110-010 © European Union Aviation Safety Agency. All rights reserved. ISO9001 Certified.            Page 1 of 4
                                  Proprietary document. Copies are not controlled. Confirm revision status through the EASA-Internet/Intranet.
An agency of the European Union
3160

Zur nächsten Seite