Nachrichten für Luftfahrer 2017 Teil 2 (weicht ggf. von Druckversion ab)

/ 3227
PDF herunterladen
Lufttüchtigkeitsanweisung                        Luftfahrt-Bundesamt
                                                                                       - Sachgebiet T23 -
                                              D-2017-292                             38144 Braunschweig
                                       FAA AD 2017-22-10 - Amdt. 19090               Fax: +49-531-2355-5298
                                                                                     email: ad@LBA.de

BOEING                                                                                      05.12.2017

Betroffenes Luftfahrtgerät:
Art des Luftfahrtgerätes:       Flugzeug
Inhaber der Musterzulassung:    The Boeing Company
Hersteller:                     The Boeing Company

Muster:                         BOEING 747

Baureihen:                      747-400, 747-400F und
                                747-8F

Werknummern:                    Gemäß Boeing Special Attention Service Bulletin 747- 25-3693 vom
                                10.11.2016.

Gerätenummer:                   2832, EASA.IM.A.196, FAA TCDS A20WE

Revisionsstand:
Originalausgabe
Airworthiness Directive der ausländischen Behörde:
FAA AD 2017-22-10 - Amdt. 19090

Genannte Airworthiness Directives unter dieser Rubrik, die nicht durch die EASA herausgegeben worden sind,
wurden durch die EASA über die Entscheidung Nr. 02/2003 übernommen und sind somit ebenfalls Airworthiness
Directives der EASA.
Die genannte Airworthiness Directive wird im Luftfahrt-Bundesamt unter der Nummer 2017-292 geführt.
Betrifft:
(ATA 25) Equipment / Furnishings - Fastener Assemblies - Replacement

Anmerkungen:
Gemäß M.A.303 und M.A.301 5.i) des Anhang I der Verordnung (EU) Nr. 1321/2014 (Teil-M) dürfen Luftfahr-
zeuge nach dem in der Lufttüchtigkeitsanweisung angegebenen Termin nur in Betrieb genommen werden,
wenn die angeordneten Maßnahmen ordnungsgemäß durchgeführt worden sind.
Die Europäische Agentur für Flugsicherheit (EASA) hat die oben referenzierte Lufttüchtigkeitsanweisung
FAA AD 2017-22-10 - Amdt. 19090 herausgegeben oder per Entscheidung Nr. 02/2003 übernommen.
Gemäß § 14 Abs. 2 der Betriebsordnung für Luftfahrtgerät (LuftBO) sind diese Lufttüchtigkeitsanweisun-
gen direkt in der Bundesrepublik Deutschland gültig und bedürfen keiner Umsetzung durch das Luftfahrt-
Bundesamt.
Mit Hilfe dieser Übersichtsseite veröffentlicht das Luftfahrt-Bundesamt ebenfalls die über § 14 Abs. 2 direkt
gültigen Lufttüchtigkeitsanweisungen der EASA in den Nachrichten für Luftfahrer und im Internet unter
www2.LBA.de/LTAs/. Dieser Service dient reinen Informationszwecken und liegt keinem Verwaltungsver-
fahren zu Grunde. Rechtsmittel sind damit ausgeschlossen.




D-2017-292                                     Seite 1 von 1                                          522/2017
3191

[Federal Register Volume 82, Number 225 (Friday, November 24, 2017)]
[Rules and Regulations]
[Pages 55757-55760]
From the Federal Register Online via the Government Publishing Office [www.gpo.gov]
[FR Doc No: 2017-23998]

––––––––––––––––––––––––––––––––––

DEPARTMENT OF TRANSPORTATION

Federal Aviation Administration

14 CFR Part 39

[Docket No. FAA-2017-0499; Product Identifier 2016-NM-205-AD; Amendment 39-19090; AD
2017-22-10]

RIN 2120-AA64

Airworthiness Directives; The Boeing Company Airplanes

AGENCY: Federal Aviation Administration (FAA), DOT.

ACTION: Final rule.

––––––––––––––––––––––––––––––––––

SUMMARY: We are adopting a new airworthiness directive (AD) for certain The Boeing Company
Model 747-400, 747-400F, and 747-8F series airplanes. This AD was prompted by reports of failure
of the fastener assemblies on the crew access ladder handrails. This AD requires replacing the
fastener assemblies. We are issuing this AD to address the unsafe condition on these products.

DATES: This AD is effective December 29, 2017.
    The Director of the Federal Register approved the incorporation by reference of a certain
publication listed in this AD as of December 29, 2017.

ADDRESSES: For service information identified in this final rule, contact Boeing Commercial
Airplanes, Attention: Contractual & Data Services (C&DS), 2600 Westminster Blvd., MC 110-SK57,
Seal Beach, CA 90740-5600; telephone 562-797-1717; Internet https://www.myboeingfleet.com.
You may view this service information at the FAA, Transport Standards Branch, 1601 Lind Avenue
SW., Renton, WA. For information on the availability of this material at the FAA, call 425-227-1221.
It is also available on the Internet at http://www.regulations.gov by searching for and locating Docket
No. FAA-2017-0499.

Examining the AD Docket

     You may examine the AD docket on the Internet at http://www.regulations.gov by searching for
and locating Docket No. FAA-2017-0499; or in person at the Docket Management Facility between 9
a.m. and 5 p.m., Monday through Friday, except Federal holidays. The AD docket contains this final
rule, the regulatory evaluation, any comments received, and other information. The address for the
Docket Office (phone: 800-647-5527) is Docket Management Facility, U.S. Department of


                                                  1
3192

Transportation, Docket Operations, M-30, West Building Ground Floor, Room W12-140, 1200 New
Jersey Avenue SE., Washington, DC 20590.

FOR FURTHER INFORMATION CONTACT: Susan L. Monroe, Aerospace Engineer, Cabin
Safety and Environmental Systems Section, FAA, Seattle ACO Branch, 1601 Lind Avenue SW.,
Renton, WA; phone: 425-917-6457; fax: 425-917-6590; email: susan.l.monroe@faa.gov.

SUPPLEMENTARY INFORMATION:

Discussion

     We issued a notice of proposed rulemaking (NPRM) to amend 14 CFR part 39 by adding an AD
that would apply to certain The Boeing Company Model 747-400, 747-400F, and 747-8F series
airplanes. The NPRM published in the Federal Register on May 30, 2017 (82 FR 24595). The NPRM
was prompted by reports of failure of the fastener assemblies on the crew access ladder handrails.
The NPRM proposed to require replacing the fastener assemblies. We are issuing this AD to prevent
the fastener assemblies from coming loose on the crew access ladder handrails, which could result in
serious or fatal injury to personnel.

Comments

    We gave the public the opportunity to participate in developing this final rule. The following
presents the comments received on the NPRM and the FAA's response to each comment.

Request To Withdraw the NPRM

     United Parcel Service (UPS) requested that the NPRM be withdrawn. UPS pointed out that the
crew access ladder is stowed during flight and stated that failure of the ladder does not affect safety
of flight of the airplane. Therefore, UPS stated that the failure of the crew access ladder should not be
the subject of an AD as it is outside the scope of 14 CFR part 39.
     We do not agree with UPS's request. Title 14 part 39.5 states: “FAA issues an airworthiness
directive addressing a product when we find that: (a) An unsafe condition exists in the product; and
(b) The condition is likely to exist or develop in other products of the same type design.” This action
does fall within the scope of 14 CFR part 39 because an unsafe condition exists in a product that is
likely to exist in other products of the same design. In addition, the ladder is accessible to, and in
some cases may be used by, the flight crew during flight. Incapacitation of a flight crew member
during flight is considered a safety of flight issue. We have not changed this AD in this regard.

Requests To Revise Applicability To Match the Service Information

     Boeing requested that we remove the “Differences Between this Proposed AD and the Service
Information” section of the NPRM. Boeing explained that this information implies that airplanes
delivered with compliant rotable hardware could have the rotable hardware subsequently replaced
with non-compliant hardware. Boeing stated that this is very unlikely because compliant airplanes
have the compliant rotable hardware sealed within a permanent protective cover.
     UPS requested that we revise the applicability to remove Model 747-8F series airplanes, line
numbers (L/Ns) 1540 and on, specified in paragraphs (c)(2) and (c)(3) of the proposed AD. UPS
asserted that Boeing has confirmed that those airplanes will have the compliant parts installed during
production.
     We partially agree with the commenters' requests. We do not agree to remove the “Differences
Between this Proposed AD and the Service Information” section of the NPRM. This section is not
restated in the final rule, so no change is necessary in this regard.

                                                    2
3193

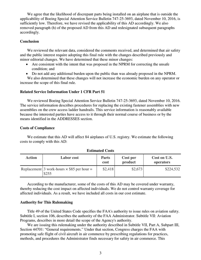
We agree that the likelihood of discrepant parts being installed on an airplane that is outside the
applicability of Boeing Special Attention Service Bulletin 747-25-3693, dated November 10, 2016, is
sufficiently low. Therefore, we have revised the applicability of this AD accordingly. We also
removed paragraph (h) of the proposed AD from this AD and redesignated subsequent paragraphs
accordingly.

Conclusion

     We reviewed the relevant data, considered the comments received, and determined that air safety
and the public interest require adopting this final rule with the changes described previously and
minor editorial changes. We have determined that these minor changes:
    • Are consistent with the intent that was proposed in the NPRM for correcting the unsafe
       condition; and
    • Do not add any additional burden upon the public than was already proposed in the NPRM.
     We also determined that these changes will not increase the economic burden on any operator or
increase the scope of this final rule.

Related Service Information Under 1 CFR Part 51

    We reviewed Boeing Special Attention Service Bulletin 747-25-3693, dated November 10, 2016.
The service information describes procedures for replacing the existing fastener assemblies with new
assemblies on the crew access ladder handrails. This service information is reasonably available
because the interested parties have access to it through their normal course of business or by the
means identified in the ADDRESSES section.

Costs of Compliance

    We estimate that this AD will affect 84 airplanes of U.S. registry. We estimate the following
costs to comply with this AD:

                                           Estimated Costs
   Action                 Labor cost                Parts         Cost per           Cost on U.S.
                                                     cost         product             operators
Replacement 3 work-hours × $85 per hour =              $2,418           $2,673                $224,532
            $255

     According to the manufacturer, some of the costs of this AD may be covered under warranty,
thereby reducing the cost impact on affected individuals. We do not control warranty coverage for
affected individuals. As a result, we have included all costs in our cost estimate.

Authority for This Rulemaking

    Title 49 of the United States Code specifies the FAA's authority to issue rules on aviation safety.
Subtitle I, section 106, describes the authority of the FAA Administrator. Subtitle VII: Aviation
Programs, describes in more detail the scope of the Agency's authority.
    We are issuing this rulemaking under the authority described in Subtitle VII, Part A, Subpart III,
Section 44701: “General requirements.” Under that section, Congress charges the FAA with
promoting safe flight of civil aircraft in air commerce by prescribing regulations for practices,
methods, and procedures the Administrator finds necessary for safety in air commerce. This


                                                   3
3194

regulation is within the scope of that authority because it addresses an unsafe condition that is likely
to exist or develop on products identified in this rulemaking action.
     This AD is issued in accordance with authority delegated by the Executive Director, Aircraft
Certification Service, as authorized by FAA Order 8000.51C. In accordance with that order, issuance
of ADs is normally a function of the Compliance and Airworthiness Division, but during this
transition period, the Executive Director has delegated the authority to issue ADs applicable to
transport category airplanes to the Director of the System Oversight Division.

Regulatory Findings

     This AD will not have federalism implications under Executive Order 13132. This AD will not
have a substantial direct effect on the States, on the relationship between the national government and
the States, or on the distribution of power and responsibilities among the various levels of
government.
     For the reasons discussed above, I certify that this AD:
     (1) Is not a “significant regulatory action” under Executive Order 12866,
     (2) Is not a “significant rule” under DOT Regulatory Policies and Procedures (44 FR 11034,
February 26, 1979),
     (3) Will not affect intrastate aviation in Alaska, and
     (4) Will not have a significant economic impact, positive or negative, on a substantial number of
small entities under the criteria of the Regulatory Flexibility Act.

List of Subjects in 14 CFR Part 39

    Air transportation, Aircraft, Aviation safety, Incorporation by reference, Safety.

Adoption of the Amendment

     Accordingly, under the authority delegated to me by the Administrator, the FAA amends 14 CFR
part 39 as follows:

PART 39–AIRWORTHINESS DIRECTIVES

1. The authority citation for part 39 continues to read as follows:

    Authority: 49 U.S.C. 106(g), 40113, 44701.

§ 39.13 [Amended]

2. The FAA amends § 39.13 by adding the following new airworthiness directive (AD):




                                                    4
3195

AIRWORTHINESS
                 FAA                                   DIRECTIVE
                 Aviation Safety
                                                       www.faa.gov/aircraft/safety/alerts/
                                                       www.gpoaccess.gov/fr/advanced.html


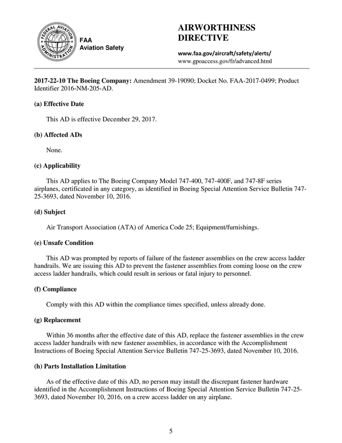
2017-22-10 The Boeing Company: Amendment 39-19090; Docket No. FAA-2017-0499; Product
Identifier 2016-NM-205-AD.

(a) Effective Date

    This AD is effective December 29, 2017.

(b) Affected ADs

    None.

(c) Applicability

     This AD applies to The Boeing Company Model 747-400, 747-400F, and 747-8F series
airplanes, certificated in any category, as identified in Boeing Special Attention Service Bulletin 747-
25-3693, dated November 10, 2016.

(d) Subject

    Air Transport Association (ATA) of America Code 25; Equipment/furnishings.

(e) Unsafe Condition

    This AD was prompted by reports of failure of the fastener assemblies on the crew access ladder
handrails. We are issuing this AD to prevent the fastener assemblies from coming loose on the crew
access ladder handrails, which could result in serious or fatal injury to personnel.

(f) Compliance

    Comply with this AD within the compliance times specified, unless already done.

(g) Replacement

     Within 36 months after the effective date of this AD, replace the fastener assemblies in the crew
access ladder handrails with new fastener assemblies, in accordance with the Accomplishment
Instructions of Boeing Special Attention Service Bulletin 747-25-3693, dated November 10, 2016.

(h) Parts Installation Limitation

    As of the effective date of this AD, no person may install the discrepant fastener hardware
identified in the Accomplishment Instructions of Boeing Special Attention Service Bulletin 747-25-
3693, dated November 10, 2016, on a crew access ladder on any airplane.




                                                   5
3196

(i) Alternative Methods of Compliance (AMOCs)

     (1) The Manager, Seattle ACO Branch, FAA, has the authority to approve AMOCs for this AD,
if requested using the procedures found in 14 CFR 39.19. In accordance with 14 CFR 39.19, send
your request to your principal inspector or local Flight Standards District Office, as appropriate. If
sending information directly to the manager of the certification office, send it to the attention of the
person identified in paragraph (j) of this AD. Information may be emailed to: 9-ANM-Seattle-ACO-
AMOC-Requests@faa.gov.
     (2) Before using any approved AMOC, notify your appropriate principal inspector, or lacking a
principal inspector, the manager of the local flight standards district office/certificate holding district
office.
     (3) An AMOC that provides an acceptable level of safety may be used for any repair,
modification, or alteration required by this AD if it is approved by the Boeing Commercial Airplanes
Organization Designation Authorization (ODA) that has been authorized by the Manager, Seattle
ACO Branch, to make those findings. To be approved, the repair method, modification deviation, or
alteration deviation must meet the certification basis of the airplane, and the approval must
specifically refer to this AD.
     (4) For service information that contains steps that are labeled as Required for Compliance (RC),
the provisions of paragraphs (i)(4)(i) and (i)(4)(ii) of this AD apply.
     (i) The steps labeled as RC, including substeps under an RC step and any figures identified in an
RC step, must be done to comply with the AD. If a step or substep is labeled “RC Exempt,” then the
RC requirement is removed from that step or substep. An AMOC is required for any deviations to RC
steps, including substeps and identified figures.
     (ii) Steps not labeled as RC may be deviated from using accepted methods in accordance with
the operator's maintenance or inspection program without obtaining approval of an AMOC, provided
the RC steps, including substeps and identified figures, can still be done as specified, and the airplane
can be put back in an airworthy condition.

(j) Related Information

    For more information about this AD, contact Susan L. Monroe, Aerospace Engineer, Cabin
Safety and Environmental Systems Section, FAA, Seattle ACO Branch, 1601 Lind Avenue SW.,
Renton, WA; phone: 425-917-6457; fax: 425-917-6590; email: susan.l.monroe@faa.gov.

(k) Material Incorporated by Reference

     (1) The Director of the Federal Register approved the incorporation by reference (IBR) of the
service information listed in this paragraph under 5 U.S.C. 552(a) and 1 CFR part 51.
     (2) You must use this service information as applicable to do the actions required by this AD,
unless the AD specifies otherwise.
     (i) Boeing Special Attention Service Bulletin 747-25-3693, dated November 10, 2016.
     (ii) Reserved.
     (3) For service information identified in this AD, contact Boeing Commercial Airplanes,
Attention: Contractual & Data Services (C&DS), 2600 Westminster Blvd., MC 110-SK57, Seal
Beach, CA 90740-5600; telephone 562-797-1717; Internet https://www.myboeingfleet.com.
     (4) You may view this service information at the FAA, Transport Standards Branch, 1601 Lind
Avenue SW., Renton, WA. For information on the availability of this material at the FAA, call 425-
227-1221.
     (5) You may view this service information that is incorporated by reference at the National
Archives and Records Administration (NARA). For information on the availability of this material at
NARA, call 202-741-6030, or go to: http://www.archives.gov/federal-register/cfr/ibr-locations.html.


                                                    6
3197

Issued in Renton, Washington, on October 19, 2017.
Jeffrey E. Duven,
Director, System Oversight Division,
Aircraft Certification Service.




                                                7
3198

Lufttüchtigkeitsanweisung                         Luftfahrt-Bundesamt
                                                                                        - Sachgebiet T23 -
                                               D-2017-293                             38144 Braunschweig
                                     EASA AD 2017-0240 vom 05.12.2017                 Fax: +49-531-2355-5298
                                                                                      email: ad@LBA.de

DASSAULT AVIATION                                                                           07.12.2017

Betroffenes Luftfahrtgerät:
Art des Luftfahrtgerätes:        Flugzeug
Inhaber der Musterzulassung:     Dassault Aviation
Hersteller:                      Dassault Aviation

Muster:                          FALCON 7X, FALCON 900EX, FALCON 2000EX
Baureihen:                       Falcon 7X, Falcon 900EX und Falcon 2000EX

Werknummern:                     Betroffen sind alle Falcon 7X Flugzeuge, ausgenommen derjenigen, an denen
                                 die Dassault Modifikation (Mod) M1254 oder Mod M1705 bei der Flugzeug-
                                 Herstellung oder gemäß Dassault Service Bulletin (SB) F7X-322 eingerüstet
                                 worden ist.

                                 Betroffen sind alle Falcon 2000EX Flugzeuge, an denen die Dassault Mod
                                 M1691 bei der Flugzeug-Herstellung eingerüstet worden ist, ausgenommen
                                 derjenigen, an denen die Dassault Modifikation (Mod) M3849 bei der Flugzeug-
                                 Herstellung oder gemäß Dassault SB F2000EX-322 oder SB F2000EX-323
                                 eingerüstet worden ist.

                                 Betroffen sind alle Falcon 900EX Flugzeuge, an denen die Dassault Mod
                                 M3083 bei der Flugzeug-Herstellung eingerüstet worden ist, ausgenommen
                                 derjenigen, an denen die Dassault Modifikation (Mod) M6002 bei der Flugzeug-
                                 Herstellung oder gemäß Dassault SB F900EX-422 oder SB F900EX-423
                                 eingerüstet worden ist.

Gerätenummer:                    2843, 2862, EASA.A.008, EASA.A.062, EASA.A.155

Revisionsstand:
Originalausgabe
Airworthiness Directive der ausländischen Behörde:
EASA AD 2017-0240 vom 05.12.2017

Genannte Airworthiness Directives unter dieser Rubrik, die nicht durch die EASA herausgegeben worden sind,
wurden durch die EASA über die Entscheidung Nr. 02/2003 übernommen und sind somit ebenfalls Airworthiness
Directives der EASA.
Die genannte Airworthiness Directive wird im Luftfahrt-Bundesamt unter der Nummer 2017-293 geführt.
Betrifft:
(ATA 34) Navigation - Barometric Setting - Operational Limitations / Master Minimum Equipment List - Amendment

Anmerkungen:
Gemäß M.A.303 und M.A.301 5.i) des Anhang I der Verordnung (EU) Nr. 1321/2014 (Teil-M) dürfen Luftfahr-
zeuge nach dem in der Lufttüchtigkeitsanweisung angegebenen Termin nur in Betrieb genommen werden,
wenn die angeordneten Maßnahmen ordnungsgemäß durchgeführt worden sind.
Die Europäische Agentur für Flugsicherheit (EASA) hat die oben referenzierte Lufttüchtigkeitsanweisung
EASA AD 2017-0240 vom 05.12.2017 herausgegeben oder per Entscheidung Nr. 02/2003 übernommen.
Gemäß § 14 Abs. 2 der Betriebsordnung für Luftfahrtgerät (LuftBO) sind diese Lufttüchtigkeitsanweisun-
gen direkt in der Bundesrepublik Deutschland gültig und bedürfen keiner Umsetzung durch das Luftfahrt-
Bundesamt.
Mit Hilfe dieser Übersichtsseite veröffentlicht das Luftfahrt-Bundesamt ebenfalls die über § 14 Abs. 2 direkt
gültigen Lufttüchtigkeitsanweisungen der EASA in den Nachrichten für Luftfahrer und im Internet unter
www2.LBA.de/LTAs/. Dieser Service dient reinen Informationszwecken und liegt keinem Verwaltungsver-
fahren zu Grunde. Rechtsmittel sind damit ausgeschlossen.


D-2017-293                                     Seite 1 von 1                                            526/2017
3199

EASA AD No.: 2017-0240


                                                                  Airworthiness Directive
                                                                  AD No.: 2017-0240
                                                                  Issued:          05 December 2017
                                                                  Note: This Airworthiness Directive (AD) is issued by EASA, acting in accordance with
                                                                  Regulation (EC) 216/2008 on behalf of the European Union, its Member States and of the
                                                                  European third countries that participate in the activities of EASA under Article 66 of that
                                                                  Regulation.

         This AD is issued in accordance with Regulation (EU) 748/2012, Part 21.A.3B. In accordance with Regulation (EU) 1321/2014 Annex I, Part M.A.301,
         the continuing airworthiness of an aircraft shall be ensured by accomplishing any applicable ADs. Consequently, no person may operate an aircraft to
         which an AD applies, except in accordance with the requirements of that AD, unless otherwise specified by the Agency [Regulation (EU) 1321/2014
         Annex I, Part M.A.303] or agreed with the Authority of the State of Registry [Regulation (EC) 216/2008, Article 14(4) exemption].


         Design Approval Holder’s Name:                                                  Type/Model designation(s):
         DASSAULT AVIATION                                                               Falcon 7X, 2000EX and 900EX aeroplanes

         Effective Date:                 19 December 2017
         TCDS Number(s): EASA.A.155, EASA.A.062 and EASA.A.008
         Foreign AD:                     Not applicable
         Supersedure:                    None


         ATA 34 – Navigation – Barometric Setting – Operational Limitations / Master
         Minimum Equipment List – Amendment


         Manufacturer(s):
         Dassault Aviation (Dassault)

         Applicability:
         Falcon 7X aeroplanes, all serial numbers (SN), except those that have embodied Dassault
         modification (Mod) M1254 or Mod M1705 in production, or Dassault Service Bulletin (SB) F7X-322
         in service.

         Falcon 2000EX aeroplanes, all SN that have embodied Dassault Mod M1691 in production, except
         those that have embodied Dassault Mod M3849 in production, or Dassault SB F2000EX-322 or SB
         F2000EX-323 in service.

         Falcon 900EX aeroplanes, all SN that have embodied Dassault Mod M3083 in production, except
         those that have embodied Dassault Mod M6002 in production, or Dassault SB F900EX-422 or SB
         F900EX-423 in service.

         Reason:
         An occurrence was reported where, during approach, a Dassault 7X aeroplane experienced an
         unexpected change of barometric setting values, on both pilot and co-pilot sides, also having some


                                  TE.CAP.00110-005 © European Aviation Safety Agency. All rights reserved. ISO9001 Certified.                  Page 1 of 4
                                  Proprietary document. Copies are not controlled. Confirm revision status through the EASA-Internet/Intranet.
An agency of the European Union
3200

Zur nächsten Seite