Nachrichten für Luftfahrer 2011 Teil I (weicht ggf. von Druckversion ab)

/ 1279
PDF herunterladen
Kapitel III                         Flughafenentgeltordnung


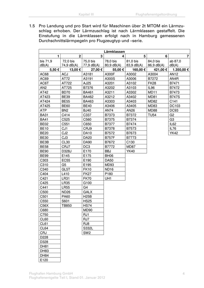
1.5 Pro Landung und pro Start wird für Maschinen über 2t MTOM ein Lärmzu-
    schlag erhoben. Der Lärmzuschlag ist nach Lärmklassen gestaffelt. Die
    Einstufung in die Lärmklassen erfolgt nach in Hamburg gemessenen
    Durchschnittslärmpegeln pro Flugzeugtyp und –serie.

                                              Lärmklassen
                 1            2             3            4             5              6                7
      bis 71,9       72,0 bis    75,0 bis     78,0 bis       81,0 bis       84,0 bis       ab 87,0
      dB(A)         74,9 dB(A)   77,9 dB(A)   80,9 dB(A)     83,9 dB(A)     86,9 dB(A)     dB(A)
             5,50 €      13,00 €      27,00 €      55,00 €       160,00 €       421,00 €     1.350,00 €
      AC68          ACJ          A3181        A300F          A3002          A3004          AN12
      AC69          AT72         A3191        A300S          A3006          B7272          AN4R
      AC6T          AT722        AJ25         A3201          A3102          FK28           B7471
      AN2           AT725        B7376        A3202          A3103          IL96           B7472
      AT42          BD70         BA461        A3211          A3302          MD11           B7473
      AT423         BE39         BA462        A3212          A3402          MD81           B747S
      AT424         BE55         BA463        A3303          A3403          MD82           C141
      AT425         BE60         BE40         A3406          A3405          MD83           DC103
      ATP           BN2          BJ40         AN74           AN26           MD88           DC93
      BA31          C414         C337         B7373          B7372          TU54           G2
      BA41          C525         C560         B7375          B7374                         G3
      BE02          C551         C650         B7377          B7474                         IL62
      BE10          CJ1          CRJ9         B7378          B7573                         IL76
      BE20          CJ2          DA10         B7572          B7673                         YK42
      BE30          CJ3          DA20         B757F          B7773
      BE3B          CL30         DA90         B7672          C130
      BE58          CRJ7         DC3          B7772          MD87
      BE90          D328J        E170         BBJ            YK40
      BE99          E145         E175         BH06
      C303          EC55         E190         DA50
      C310          G5           E195         MD93
      C340          GL5T         FK10         ND16
      C404          L410         FK27         P180
      C421          LR31         FK70         UH1
      C425          LR35         G100
      C441          LR55         G4
      C500          ND26         GALX
      C501          PA60         H25B
      C550          S601         HS25
      C56X          TB850        HS74
      C680                       MD90
      C750                       RJ1
      CL60                       RJ7
      CL61                       RJ8
      CL64                       S332L
      CRJ                        SW2
      D228
      D328
      DH81
      DH83
      DH84
      E120


Flughafen Hamburg GmbH                                                                             4
Flughafenentgelte Teil I, Stand 01. Januar 2012
1031

Kapitel III                        Flughafenentgeltordnung

                                              Lärmklassen
                  1            2            3            4            5            6            7
      bis 71,9       72,0 bis    75,0 bis     78,0 bis     81,0 bis     84,0 bis     ab 87,0
      dB(A)         74,9 dB(A)   77,9 dB(A)   80,9 dB(A)   83,9 dB(A)   86,9 dB(A)   dB(A)
             5,50 €      13,00 €      27,00 €      55,00 €     160,00 €     421,00 €   1.350,00 €
      E135
      EC35
      F2TH
      FK50
      G550
      JU52
      LR40
      LR45
      LR60
      LYNX
      MU2
      PA23
      PA31
      PA42
      PA46
      PA46T
      PAY4
      PAYE
      PL12
      PRM1
      SB20
      SF34
      SH33
      SH36
      SW3
      SW4
      TB700




      Hier nicht aufgeführte Luftfahrzeuge (aufgrund nicht ausreichender Mess-
      ergebnisse) werden in Abhängigkeit von der ICAO-Klassifizierung und dem
      MTOM           gemäß           folgender        Liste        eingruppiert:

                           ICAO-Annex 16 Chapter        ICAO-Annex 16 Chapter 2 oder LSL II
                           3,6,8,10 oder LSL III, VI,    und ohne Zulassung nach ICAO An-
                                    VIII, X                      nex 16, oder LSL

         Lärmklasse                  MTOM                               MTOM
               1         bis 30t
               2         bis 45t
               3         bis 75t
               4         bis 165t                       bis    5t
               5         bis 260t                       bis    15 t
               6         bis 320t                       bis    45t
               7         über 320t                      über   45t



Flughafen Hamburg GmbH                                                                       5
Flughafenentgelte Teil I, Stand 01. Januar 2012
1032

Kapitel III                        Flughafenentgeltordnung

1.6 Auf die unter 1.4 und 1.5 genannten Entgelte wird in der Zeit von 22.00
    Uhr bis 22.59 Uhr ein Zuschlag von 100% und in der Zeit von 23.00 Uhr
    bis 5.59 Uhr von 200% erhoben.

1.7 Die in den Absätzen 1.4 bis 1.6 genannten Entgelte ermäßigen sich bei
    Schulflügen um 50 %.
         Das ermäßigte Entgelt beträgt mindestens
                                     mit Lärmzeugnis                              5,00 EUR
                                     ohne Lärmzeugnis                            21,00 EUR

1.8 Schulflüge im Sinne von Absatz 1.7 sind Flüge, bei denen ein ziviler Flug-
    schüler im Rahmen seiner Ausbildung bei einem genehmigten Ausbil-
    dungsbetrieb (Luftfahrerschule) Bedingungen erfliegt, die zur Erlangung
    eines zivilen Luftfahrerscheins oder einer Berechtigung im Sinne der Ver-
    ordnung über Luftfahrtpersonal notwendig sind. Für die entgeltbezogene
    Berücksichtigung von Schulflügen sind als Nachweis das Beiblatt zum
    Luftfahrerschein (weiß) mit Lichtbild sowie einer dem durchgeführten Flug
    entsprechenden Lehrberechtigung oder der Flugauftrag für den Schüler
    mit Stempel, Unterschrift und Lizenznummer der Flugschule/des Lehrers,
    gültig für den durchgeführten Flug unmittelbar nach der Landung bei der
    Rampenkontrolle vorzulegen.

1.9 Pro Landung und pro Start wird ein emissionsabhängiges Entgelt erhoben.

         Luftfahrzeuge bis einschließlich 2.000 kg MTOM
         Das emissionsabhängige Entgelt beträgt pauschal 0,25 EUR pro Landung
         und 0,25 EUR pro Start.

         Luftfahrzeuge über 2.000 kg MTOM
         Das emissionsabhängige Entgelt beträgt 1,50 EUR pro Emissionswert und
         Landung sowie 1,50 EUR pro Emissionswert und Start, d.h. 3,00 EUR pro
         Emissionswert im standardisierten Lande- und Startvorgang („Landing
         and Take-Off-Zyklus“, LTO). Der Emissionswert ist der Messwert für das
         von einem Luftfahrzeug ausgestoßene Stickoxidäquivalent je Kilogramm.
         Die notwendigen Angaben zu Luftfahrzeug- und Triebwerkstypen werden
         anhand einer anerkannten Flottendatenbank ermittelt.
         Die Ermittlung des Emissionswertes erfolgt unter Anwendung der ERLIG1-
         Formel auf der Grundlage zertifizierter Stickoxid- (NOx) und Kohlenwasser-
         stoff- (HC) -Emissionen pro Triebwerk im LTO-Zyklus gemäß Vorschrift
         ICAO Annex 16, Volume II.




1
    ERLIG= Emission Related Landing Charges Investigation Group, ECAC


Flughafen Hamburg GmbH                                                                            6
Flughafenentgelte Teil I, Stand 01. Januar 2012
1033

Kapitel III                   Flughafenentgeltordnung


      Berechnungsformel:
      NOx, Luftfahrzeug [kg] = (Anzahl Triebwerke x ΣMode Zeit [s] x Treibstoffverbrauch
      [kg/s] x Emissionsfaktor [g /kg]) / 1000
      Sofern die Triebwerksemissionen für HC pro LTO-Zyklus den Zertifizie-
      rungswert von 19,6 g/kN überschreiten, wird der entsprechende NOx -Wert
      des Luftfahrzeugs mit einem Faktor a multipliziert:
      a = 1;                         wenn DpHC/Foo <= 19,6 g/kN
      a = (DpHC/Foo) / 19,6 g/kN ;   wenn DpHC/Foo > 19,6 g/kN mit amax = 4.

      Stickoxidäquivalent (= Emissionswert) des Luftfahrzeugs = a x NOx des
      Luftfahrzeugs.
      Der Emissionswert wird bis zur dritten Dezimale berücksichtigt.

      Grundlage für die Ermittlung der Emissionswerte sind die ICAO-Datenbank
      für Turbofan- und Jet-Triebwerke und die Datenbank der FOI Swedish De-
      fence Research Agency für Turboprop-Triebwerke.
      Sollten in diesen Emissionsdatenbanken für einen Triebwerkstypen keine
      oder abweichende Einträge vorhanden sein, so wird unabhängig von den
      jeweiligen Einsatzkriterien der höchste verzeichnete Emissionswert ange-
      setzt.
      Wenn für ein Flugzeug keine oder widersprüchliche Triebwerksinformatio-
      nen vorliegen, wird der höchste bekannte Emissionswert dieses Flugzeug-
      typs zugrunde gelegt.
      Sofern ein Triebwerk in keiner der verfügbaren Emissionsdatenbanken
      enthalten ist und auch kein Standardtriebwerk angesetzt werden kann,
      wird das Triebwerk anhand der Studie des Deutschen Zentrums für Luft-
      und Raumfahrt (DLR) vom 28. Februar 2005 bewertet.
      Für Bewegungen, für die nachträglich erhöhte Emissionswerte festgestellt
      werden, können Entgelte nachberechnet werden; verminderte Werte wer-
      den unverzüglich berücksichtigt. Es erfolgen keine rückwirkenden Erstat-
      tungen.
      Wenn bei der Leistungsabrechnung/Rechnungsstellung für ein Flugzeug
      kein Emissionswert vorliegt, beträgt das emissionsabhängige Entgelt pro
      Start und pro Landung 10% der unrabattierten Entgelte nach 1.4.

1.10 Auf die unter 1.4 und 1.5 genannten Entgelte werden für neue planmäßige
     City Pair Verbindungen (Basis: 3-Letter-Code gem. IATA, z.B. HAM - LON)
     von und nach Hamburg Rabatte gem. Ziffer 6 gewährt. Auf die unter 1.6
     und 1.9 genannten Entgelte werden keine Rabatte gewährt. Die Berech-
     nung der Zuschläge nach 1.6 erfolgt auf Basis unrabattierter Entgelte nach
     1.4 und 1.5.




Flughafen Hamburg GmbH                                                                 7
Flughafenentgelte Teil I, Stand 01. Januar 2012
1034

Kapitel III               Flughafenentgeltordnung

 2     Passagierentgelt

2.1 Im gewerblichen Luftverkehr ist zusätzlich zum Startentgelt ein Passagier-
    entgelt zu entrichten.

2.2 Das Passagierentgelt, das sich nach der Zahl der bei dem Start des Luft-
    fahrzeuges an Bord befindlichen Fluggäste bemißt, beträgt
      sofern die folgende Landung des Luftfahrzeuges auf einem Flugplatz in der
      Bundesrepublik Deutschland erfolgt
                                 für Zusteiger                     7,90 EUR
                                 für Transitfluggäste              5,53 EUR
      sofern die folgende Landung des Luftfahrzeuges auf einem außerhalb der
      Bundesrepublik Deutschland gelegenen Flugplatz der Europäischen Union
      oder Island, Norwegen oder der Schweiz erfolgt
                                 für Zusteiger                     7,90 EUR
                                 für Transitfluggäste              5,53 EUR


      sofern die folgende Landung des Luftfahrzeuges auf einem außerhalb der
      Europäischen Union gelegenen Flugplatz erfolgt
                                 für Zusteiger                     9,45 EUR
                                 für Transitfluggäste              6,62 EUR
      je Fluggast.

2.3 Transitfluggäste sind Passagiere, die Ihre Flugreise am Flughafen Ham-
    burg unterbrechen und mit demselben Flugzeug fortsetzen, mit dem sie
    angekommen sind.

2.4 In die Zahl der bei dem Start des Luftfahrzeuges an Bord befindlichen
    Fluggäste werden Kinder unter 2 Jahren ohne Anspruch auf eigenen Sitz-
    platz nicht einbezogen.




Flughafen Hamburg GmbH                                                            8
Flughafenentgelte Teil I, Stand 01. Januar 2012
1035

Kapitel III                        Flughafenentgeltordnung




 3     Terminalentgelt GAT

3.1 Für die Benutzung der Fluggasteinrichtungen im General Aviation Termi-
    nal durch Besatzung und Passagiere ist ein Terminalentgelt zu entrichten.
    Ein Passagierentgelt kommt nicht zur Anwendung.


3.2 Das Terminalentgelt wird bei jeder Landung, unabhängig von der tatsäch-
    lichen Inanspruchnahme der Leistungen, abhängig vom MTOM des Flug-
    zeuges mit den folgenden Entgelten berechnet:
                              bis                 2,0 t MTOM              11,25 EUR
                              bis                 5,7 t MTOM              28,65 EUR
                              bis                 14,0 t MTOM             40,40 EUR
                              bis                 20,0 t MTOM             51,15 EUR
                              über                20,0 t MTOM           100,20 EUR




 4     Positionsentgelt

4.1 Für die Abstellung der Luftfahrzeuge auf dem Flughafen ist ein Mietzins
    (Positionsentgelt) an den Flughafenunternehmer zu entrichten.

4.2 Die Höhe des Positionsentgelts wird nach der zugelassenen Höchstab-
    flugmasse des Luftfahrzeuges bemessen. - siehe 1.3 –

4.3 Für den Zeitraum von 00.00 Uhr bis 04.59 Uhr wird kein Positionsentgelt
    erhoben.

4.4 Tagesabstellung
      Das Positionsentgelt beträgt für jede angefangenen 15 Minuten für Luft-
      fahrzeuge mit einer Höchstabflugmasse
                                                  bis 3.000 kg             0,35 EUR
                                über 3.000 kg bis 5.000 kg                 0,55 EUR
                                über 5.000 kg bis 7.000 kg                 0,75 EUR


        über 7.000 kg für jede angefangenen 1.000 kg
                              der Höchstabflugmasse                        0,10 EUR


      Das Mindestpositionsentgelt beträgt                                  3,85 EUR

Flughafen Hamburg GmbH                                                                     9
Flughafenentgelte Teil I, Stand 01. Januar 2012
1036

Kapitel III                        Flughafenentgeltordnung

4.5   Auf die unter 4.4 genannten Entgelte werden für neue planmäßige City
      Pair Verbindungen (Basis: 3-Letter-Code gem. IATA, z.B. HAM - LON) von
      und nach Hamburg Rabatte gem. Ziffer 6 gewährt.

4.6 Dauerabstellung
      Auf Vorfeld 2 kann für die Abstellung von Luftfahrzeugen mit einer
      Spannweite von kleiner als 24m, die keiner Abfertigung bedürfen, zwi-
      schen Luftfahrzeughalter und Flughafenunternehmer ein Mietvertrag ge-
      schlossen werden.


                MTOM                        Monatsentgelt               12 Monate
                 bis 3t                             442,80 EUR               3.796,35 EUR
                 bis 5t                             554,25 EUR               4.739,70 EUR
                 bis 7t                             592,60 EUR               5.078,65 EUR
         über 7t pro angef. t                        75,65 EUR                  649,60 EUR


 5     Unterstellentgelt

5.1 Die Luftfahrzeughalter haben für die stundenweise Unterstellung ihrer
    Luftfahrzeuge auf dem Flughafen einen Mietzins (Unterstellentgelt) an den
    Flughafenunternehmer zu entrichten. Die Höhe des Mietzinses (Unterstell-
    entgelt) wird nach
      der zugelassenen Höchstabflugmasse,
      der Dauer der Unterstellung,
      der Halle und
      der Jahreszeit bemessen.

5.2 Der Mietzins (Unterstellentgelt) für die stundenweise Unterstellung von
    Luftfahrzeugen aller Mietklassen beträgt für

                                              April bis September    Oktober bis März
                                             Halle       Halle    Halle      Halle
                                             F, H, K     L        F, H, K    L
      je angefangene Stunde und
      angefangene Tonne MTOM
                                             0,70 EUR   0,70 EUR     1,05 EUR    0,75 EUR
      für die ersten fünf Tonnen
      MTOM
      je angefangene Stunde und
      angefangene Tonne MTOM
                                             0,45 EUR   0,45 EUR     0,65 EUR    0,50 EUR
      ab der sechsten Tonne
      MTOM




Flughafen Hamburg GmbH                                                                     10
Flughafenentgelte Teil I, Stand 01. Januar 2012
1037

Kapitel III              Flughafenentgeltordnung

5.3 Die Mindestabrechnungsdauer der Unterstellung beträgt 8 Stunden.




 6     Rabattprogramm für neue Strecken

Zielsetzung für die Förderung neuer Strecken ist es, das Gesamtangebot am
Flughafen Hamburg für die Reisenden noch attraktiver zu gestalten. Das ist vor
allem durch die Einführung neuer Nonstop-Ziele möglich. Mit dem Rabattpro-
gramm für neue Strecken unterstützt die Flughafen Hamburg GmbH die Flug-
gesellschaften in der kostenintensiven Startphase neuer City Pairs, um ein
nachhaltiges Wachstum am Hamburg Airport herbeizuführen.


6.1 Nimmt eine Fluggesellschaft eine neue Nonstop-Verbindung auf, die nicht
    am Flughafen Hamburg besteht, bietet die Flughafen Hamburg GmbH ein
    an nachfolgende Regeln gebundenes Rabattprogramm an.

6.2 Für die Start- und Landeentgelte unter Punkt 1.10 sowie die Positionsent-
    gelte unter Punkt 4.4 werden Ermäßigungen gewährt.

6.3 Die Förderung bezieht sich auf ein neues planmäßiges City Pair von und
    nach Hamburg, welches im jeweiligen Förderungsjahr über einen Zeit-
    raum von mindestens vier zusammenhängenden Monaten mit durch-
    schnittlich zwei Umläufen pro Woche bedient werden muss. Die Basis für
    eine Strecke bildet der IATA-3-Letter-City-Code, beispielsweise HAM-LON.
    Zum Zeitpunkt der Beantragung der Förderung darf diese Strecke weder
    von der beantragenden Fluggesellschaft noch von einer anderen Flugge-
    sellschaft regelmäßig bedient werden.



6.4 Für eine Förderung sind folgende Schritte notwendig:

            Die Fluggesellschaft teilt ihre Teilnahme der Flughafen Hamburg
             GmbH schriftlich mit und weist die Buchbarkeit nach.

            Die Flughafen Hamburg GmbH teilt die Förderungszusage schriftlich
             mit.

            Der Flugbetrieb auf der neuen Strecke wird binnen sechs Monaten
             aufgenommen (siehe Ziffer 6.8 und 6.9).

6.5 Förderung von Interkontinental- und Kontinentalverbindungen

      a) Eine Interkontinentalverbindung wird über einen Zeitraum von drei Jah-
      ren beginnend mit dem Datum des Erstfluges gefördert. Die Definition ei-
      ner Interkontinentalverbindung ist in Punkt 6.10 hinterlegt. Die Förderung


Flughafen Hamburg GmbH                                                           11
Flughafenentgelte Teil I, Stand 01. Januar 2012
1038

Kapitel III                Flughafenentgeltordnung

      beträgt 100% im ersten, 75% im zweiten und 50% im dritten Jahr auf die
      unter 6.2 genannten Entgelte.

      b) Eine Kontinentalverbindung wird über einen Zeitraum von zwei Jahren
      beginnend mit dem Datum des Erstfluges gefördert. Die Definition einer
      Kontinentalverbindung ist in Punkt 6.10 hinterlegt. Die Förderung beträgt
      75% im ersten, 50% im zweiten Jahr auf die unter 6.2 genannten Entgelte.



                                                  Jahr
           Verbindungsart                 1        2      3
           interkontinental             100%      75%    50%
           kontinental                  75%       50%     X



6.6 Das Rabattprogramm ist auf unbestimmte Zeit gültig. Eine Aufhebung des
    Rabattprogramms wird spätestens sechs Monate zum Ende eines Kalen-
    derjahres in den Nachrichten für Luftfahrer (NfL) seitens des Flughafens
    veröffentlicht. Soweit eine Förderzusage vor Aufhebung des Rabattpro-
    gramms schriftlich erteilt wurde, läuft der Förderzeitraum wie in Ziffern 6.
    bis 6.10 dargestellt über zwei bzw. drei Jahre.

6.7 Im Sinne des Urteils betreffend den Flughafen Charleroi vom 12.2.2004
    darf die durch den Flughafen Hamburg gewährte Förderung 50% der In-
    vestitionskosten der Fluggesellschaft für die neue Verbindung nicht über-
    steigen. Deshalb muss die beantragende Fluggesellschaft die Kosten und
    die erwarteten Verkehrsmengen in geeigneter Form nachweisen. Das da-
    für notwendige Verfahren wird individuell vereinbart.


6.8 Eine Strecke wird nicht gefördert, wenn die beantragende Fluggesellschaft
    oder eine mit der beantragenden Fluggesellschaft gem. §15 Aktiengesetz
    oder in einer Allianz verbundene Gesellschaft innerhalb eines Zeitraums
    von einem Jahr vor dem Datum der Beantragung diese Strecke bedient
    hat. Eine Förderung ist ebenfalls nicht möglich, wenn zwischen dem Zeit-
    raum der Beantragung und der Streckenaufnahme mehr als sechs Monate
    vergangen sind.

6.9 Einstellen von geförderten Strecken

      a) Wird eine geförderte Strecke während des Förderungszeitraums nach-
      weislich aus wirtschaftlichen Gründen eingestellt und gleichzeitig eine
      neue gleichwertige Strecke, die die Voraussetzungen für eine Förderung
      erfüllt, aufgenommen, so kann der Flughafen die Förderungshöhe und -
      dauer auf die neue Strecke übertragen und anrechnen.




Flughafen Hamburg GmbH                                                             12
Flughafenentgelte Teil I, Stand 01. Januar 2012
1039

Kapitel III                Flughafenentgeltordnung

      b) Kommt es innerhalb des Förderungszeitraums zur ersatzlosen Einstel-
      lung einer geförderten Strecke, erhält die geförderte Gesellschaft und alle
      gem. §15 Aktiengesetz oder in einer Allianz verbundenen Unternehmen
           keine weitere Förderung auf dieser Strecke,
           keine weiteren Förderungen für neue Strecken für einen Zeitraum
             von einem Jahr ab Einstellungsdatum.

      c) Wird eine geförderte Strecke nicht innerhalb eines Zeitraums von sechs
      Monaten nach Datum der Beantragung aufgenommen, erhält die geförder-
      te Gesellschaft und alle gem. §15 Aktiengesetz oder in einer Allianz ver-
      bundenen Unternehmen
           keine weitere Förderung auf dieser Strecke,
           keine weiteren Förderungen für neue Strecken für einen Zeitraum
             von 18 Monaten ab dem Datum der Beantragung einer nicht auf-
             genommenen Strecke.

      d) Gewährte Förderungen auf bestehenden anderen Strecken sind von den
      Punkten 6.9. a) bis c) nicht betroffen.

      e) Eine Strecke gilt nicht als eingestellt, wenn sie lediglich für einen defi-
      nierten Zeitraum nicht bedient, das City Pair danach aber wieder planmä-
      ßig angeflogen wird. Der Förderzeitraum beginnend mit dem Datum des
      Erstfluges läuft während der Unterbrechung fort und verlängert sich da-
      durch nicht.

6.10 Eine Kontinentalstrecke im Sinne von Ziffer 6.5 b) ist eine Flugverbindung
     zu einer Destination, die in folgenden Ländern liegt:

      Ägypten, Albanien, Algerien, Armenien, Aserbaidschan, Belgien, Bosnien
      und Herzegowina, Bulgarien, Dänemark, Deutschland, Estland, Finnland,
      Frankreich, Georgien, Griechenland, Großbritannien, Irland, Island, Israel,
      Italien, Kroatien, Lettland, Libanon, Litauen, Luxemburg, Libyen, Malta,
      Marokko, Mazedonien, Moldawien, Montenegro, Niederlande, Norwegen,
      Österreich, Polen, Portugal, Rumänien, Russische Förderation, Schweden,
      Schweiz, Serbien, Slowakei, Slowenien, Spanien, Syrien, Tschechische
      Republik, Tunesien, Türkei, Ungarn, Ukraine, Weißrussland, Zypern.

      Interkontinentalstrecken im Sinne von Ziffer 6.5 a) sind Verbindungen zu
      Destinationen in Ländern, die nicht in dieser Liste enthalten sind.




 7     Streckenbezogenes Wachstumsprogramm (SWP)


Zielsetzung für das streckenbezogene Wachstumsprogramm (SWP) ist es,
nachhaltiges Passagierwachstum am Flughafen Hamburg zu fördern. An die-
sem Programm können alle Fluggesellschaften teilnehmen, die im Förderungs-
jahr (=n) mindestens 2000 Passagiere auf der zu fördernden Strecke ab Ham-


Flughafen Hamburg GmbH                                                             13
Flughafenentgelte Teil I, Stand 01. Januar 2012
1040

Zur nächsten Seite