Nachrichten für Luftfahrer 2012 Teil II (weicht ggf. von Druckversion ab)

/ 4407
PDF herunterladen
EASA AD No : 2012-0135


           EASA                                           AIRWORTHINESS DIRECTIVE
                                         AD No.: 2012-0135



                                        Date: 20 July 2012

                                       Note: This Airworthiness Directive (AD) is issued by EASA, acting in accordance with Regulation
                                       (EC) No 216/2008 on behalf of the European Community, its Member States and of the
                                       European third countries that participate in the activities of EASA under Article 66 of that
                                       Regulation.
 This AD is issued in accordance with EC 1702/2003, Part 21A.3B. In accordance with EC 2042/2003 Annex I, Part M.A.301, the
 continuing airworthiness of an aircraft shall be ensured by accomplishing any applicable ADs. Consequently, no person may operate an
 aircraft to which an AD applies, except in accordance with the requirements of that AD, unless otherwise specified by the Agency [EC
 2042/2003 Annex I, Part M.A.303] or agreed with the Authority of the State of Registry [EC 216/2008, Article 14(4) exemption].

      Design Approval Holder’s Name :                                         Type/Model designation(s) :
      AIRBUS                                                                  A380 Aeroplanes

     TCDS Number:                  EASA.A.110

     Foreign AD:                   Not applicable

     Supersedure:                  None


                                      Oxygen – Crew Oxygen / Rod Fitting and Cylinder Brackets of
      ATA 35
                                      Oxygen Box and Reverse Z Stop Fitting Screws – Modification


     Manufacturer(s):                 Airbus

     Applicability:                   Airbus A380-841, A380-842, and A380-861 aeroplanes, all manufacturer
                                      serial numbers , except aeroplanes on which both Airbus modifications 70498
                                      and 71229, or modifications 71089 and 71230 have been embodied in
                                      production.

     Reason:                          Possible interference was reported between the crew oxygen cylinder 11HT
                                      (and optional 13HT, if installed) located between Frame (FR)19 and FR20 at
                                      upper deck Right Hand (RH) and the surrounding aeroplane`s structure.
                                      This condition, if not detected and corrected, could lead to a contact between
                                      an oxygen cylinder and a surrounding structure with a possible consequence
                                      of oxygen cylinder damage and leakage at contact point and a loss of the
                                      crew oxygen system which, in case of depressurization, could lead to flight
                                      crew hypoxia, possibly resulting in loss of control of the aeroplane.
                                      For the reasons describe above, this AD requires a modification of the rod
                                      fitting and cylinder brackets of the oxygen box assembly and fasteners of Z
                                      Stop fitting located between FR19 and FR20 upper deck RH.

     Effective Date:                  03 August 2012

     Required Action(s)               Required as indicated, unless accomplished previously:
     and Compliance
                                      Within 13 months after the effective date of this AD, modify the cylinder
     Time(s):
                                      brackets of the oxygen box, and/or rod fitting of the oxygen box, and/or
                                      fasteners of the Z stop fitting located between FR19 and FR20 upper deck


CAP.00110-001 © European Aviation Safety Agency. All rights reserved.                                                              1/2
Proprietary document. Copies are not controlled. Confirm revision status through the EASA-Internet/Intranet.
3171

EASA AD No : 2012-0135
                                      RH, as applicable, in accordance with the accomplishment instructions of
                                      Airbus Service Bulletin (SB) A380-35-8007.

     Ref. Publications:               Airbus SB A380-35-8007 at original issue dated 06 December 2011.
                                      The use of later approved revisions of this document is acceptable for
                                      compliance with the requirements of this AD.

      Remarks :                       1. If requested and appropriately substantiated, EASA can approve
                                         Alternative Methods of Compliance for this AD.
                                      2. This AD was posted on 22 May 2012 as PAD 12-043 for consultation until
                                         19 June 2012. The Comment Response Document can be found at
                                         http://ad.easa.europa.eu.
                                      3. Enquiries regarding this AD should be referred to the Safety Information
                                         Section, Executive Directorate, EASA. E-mail ADs@easa.europa.eu.
                                      4. For any question concerning the technical content of the requirements in
                                         this AD, please contact:
                                         AIRBUS SAS - EIANA (Airworthiness Office),
                                         Telephone: +33 562110253 ; Fax:+33 562 110 307.
                                         E-mail: account.airworth-A380@airbus.com and/or
                                         Nabil.Tahiri@airbus.com and/or Sandra.Cuiec@airbus.com.




CAP.00110-001 © European Aviation Safety Agency. All rights reserved.                                                            2/2
Proprietary document. Copies are not controlled. Confirm revision status through the EASA-Internet/Intranet.
3172

Lufttüchtigkeitsanweisung                                             Luftfahrt-Bundesamt
                                                                                                                             T23 LTA-Sachgebiet
                                                                                                                             38144 Braunschweig
                                                                D-2012-293                                                   Fax: +49-531-2355-725
                                                                                                                             email: ad@lba.de

CFM INTERNATIONAL                                                                  Datum der Bekanntgabe: 20.07.2012
Betroffenes Luftfahrtgerät:
Art des Luftfahrtgerätes:                       Flugmotor
Inhaber der Musterzulassung:                    CFM International
Hersteller:                                     SNECMA, General Electric

Muster:                                         CFM56-5
                                                CFM56-5B

Baureihen:                                      Alle CFM56-5 und CFM56-5B Baureihen

Werknummern:                                    Alle

                                                Die betroffenen Triebwerke sind in Airbus A318, A319, A320 und A321
                                                Flugzeugen installiert, aber nicht unbedingt auf diese beschränkt.

Gerätenummer:                                   6325, 6329, EASA.E.003, EASA.E.067

Revisionsstand:
Originalausgabe

Airworthiness Directive der ausländischen Behörde:
EASA AD 2012-0123 vom 09.07.2012

Betrifft:
(ATA 73) Engine Fuel and Control - Hydro-Mechanical Units - Operational Limitation

Maßnahmen und Fristen:
Detaillierte Informationen über die durchzuführenden Maßnahmen sind der genannten EASA Airworthiness
Directive und der genannten technischen Mitteilung des Herstellers zu entnehmen. Alle erforderlichen Maßnahmen
zur Abstellung des technischen Mangels müssen ordnungsgemäß, vollständig und innerhalb der vorgesehenen
Fristen auf Basis der genannten Bezugsdokumente durchgeführt werden. Alle Abweichungen von den Maßnahmen
und Fristen dieser Lufttüchtigkeitsanweisung bedürfen der vorherigen Zustimmung durch das Luftfahrt-Bundesamt.

Alle anzuwendenden Fristen sind der genannten EASA Airworthiness Directive zu entnehmen. Die Laufzeit aller
anzuwendenden Fristen beginnt mit dem Datum der Inkraftsetzung der genannten EASA Airworthiness Directive.
Diese Lufttüchtigkeitsanweisung entspricht hinsichtlich der durchzuführenden Maßnahmen und Fristen der
EASA AD 2012-0123 vom 09.07.2012.

Zugehörige technische Dokumente:
Hinweis: Die Anwendung von nachfolgenden Ausgaben bzw. Revisionsständen der genannten zugehörigen technischen Dokumente ist zulässig, wenn dies nach
der Airworthiness Directive der ausländischen Behörde ausdrücklich gestattet ist oder wenn diese von der ausländischen Behörde in Bezug auf die referenzierte
Airworthiness Directive genehmigt worden sind.

CFM International Service Bulletin CFM56-5 73-0182, Revision 6, vom 08.03.2012.
CFM International Service Bulletin CFM56-5B 73-0122, Revision 8, vom 08.03.2012.

Die sofortige Vollziehung dieses Bescheides wird gemäß § 80 Absatz 2 Satz 1 Nr. 4 der Verwaltungsgerichtsordnung (VwGO) angeordnet.

Begründung
Durch die vorgenannten Mängel ist die Lufttüchtigkeit des Luftfahrtgerätes derart beeinträchtigt, dass es nach Ablauf der genannten Fristen nur in Betrieb genom-
men werden darf, wenn die angeordneten Maßnahmen ordnungsgemäß durchgeführt worden sind. Im Interesse der Sicherheit des Luftverkehrs, das in diesem Fall
das Interesse des Adressaten am Aufschub der angeordneten Maßnahmen überwiegt, ist es erforderlich, die sofortige Vollziehung dieser Lufttüchtigkeitsanweisung
anzuordnen.
Rechtsbehelfsbelehrung:
Gegen diese Verfügung kann innerhalb eines Monats nach Bekanntgabe Widerspruch eingelegt werden. Der Widerspruch ist schriftlich oder zur Niederschrift beim
Luftfahrt-Bundesamt, Hermann-Blenk-Str. 26, 38108 Braunschweig einzulegen. Ein eventueller Widerspruch hat keine aufschiebende Wirkung. Das Verwaltungsge-
richt Braunschweig, Am Wendentor 7, 38100 Braunschweig, kann auf Antrag nach § 80 Abs. 5 VwGO die aufschiebende Wirkung jedoch ganz oder teilweise wie-
derherstellen bzw. anordnen.




D-2012-293                                                           Seite 1 von 1                                                                     375/2012
3173

EASA AD No : 2012-0123


            EASA                                         AIRWORTHINESS DIRECTIVE
                                          AD No.: 2012-0123



                                          Date: 09 July 2012

                                          Note: This Airworthiness Directive (AD) is issued by EASA, acting in accordance with
                                          Regulation (EC) No 216/2008 on behalf of the European Community, its Member States and
                                          of the European third countries that participate in the activities of EASA under Article 66 of
                                          that Regulation.

 This AD is issued in accordance with EC 1702/2003, Part 21A.3B. In accordance with EC 2042/2003 Annex I, Part M.A.301, the
 continuing airworthiness of an aircraft shall be ensured by accomplishing any applicable ADs. Consequently, no person may operate
 an aircraft to which an AD applies, except in accordance with the requirements of that AD, unless otherwise specified by the Agency
 [EC 2042/2003 Annex I, Part M.A.303] or agreed with the Authority of the State of Registry [EC 216/2008, Article 14(4) exemption]

      Type Approval Holder’s Name :                                          Type/Model designation(s) :
      CFM International SA                                                   CFM56-5 and -5B Engines

      TCDS Number :               EASA.E.003 and EASA.E.067

      Foreign AD :                Not applicable

      Supersedure :               None


                                       Engine Fuel and Control – Hydro-Mechanical Units – Operational
      ATA 73
                                       Limitation


      Manufacturer(s):                 SNECMA, General Electric

      Applicability:                   CFM International CFM56-5 and CFM56-5B engines, all Models, all serial
                                       numbers, when installed on an aeroplane operated under an air operator
                                       certificate issued by a national aviation authority of the Commonwealth of
                                       Independent States, i.e. Armenia, Azerbaijan, Belarus, Kazakhstan,
                                       Kyrgyzstan, Moldova, Russia, Tajikistan, Turkmenistan, Ukraine or
                                       Uzbekistan.
                                       These engines are known to be installed on, but not limited to, Airbus A318,
                                       A319, A320 and A321 aeroplanes.

      Reason:                          Over the past 18 months, some A320 family aeroplanes, operated
                                       predominantly using TS-1 fuel, have experienced in-flight shut downs (IFSD)
                                       resulting from hydro-mechanical unit (HMU) failures. TS-1 fuel is mainly
                                       supplied in countries belonging to the Commonwealth of Independent States.
                                       Investigation results have determined that these HMU failures were caused
                                       by corrosion and consequential seizure of the HMU delta-p valve. In addition,
                                       contaminants and corrosive catalysts have been detected within some TS-1
                                       fuel samples.
                                       This condition, if not corrected, could lead to an increased IFSD rate,
                                       increasing the risk of an emergency landing, possibly resulting in damage to
                                       the aeroplane and injury to the occupants.
                                       For the reasons described above, this AD prohibits the operational use of an
                                       HMU which has exceeded a certain number of hours in service.

      Effective Date:                  23 July 2012


CAP.00110-001 © European Aviation Safety Agency. All rights reserved.                                                                 1/2
Proprietary document. Copies are not controlled. Confirm revision status through the EASA-Internet/Intranet.
3174

EASA AD No : 2012-0123


      Required Action(s)               Required as indicated, unless accomplished previously:
      and Compliance
                                       (1) From 24 months after the effective date of this AD, do not operate an
      Time(s):
                                           engine with an HMU that has accumulated more than 10 000 hours, to
                                           be determined in accordance with the following criteria, whichever occurs
                                           later, (a), (b) or (c):
                                            (a) engine hours since new,
                                            (b) engine hours since last HMU overhaul,
                                            (c) engine hours since last HMU maintenance in accordance with
                                                Section 3 Accomplishment Instructions of CFM International SB
                                                CFM56-5B 73-0122 (any revision), or CFM International SB CFM56-
                                                5 73-0182 (any revision), as applicable to engine type.
                                       (2) From the effective date of this AD, do not install an HMU on an engine,
                                           and do not install an engine on an aircraft, where the HMU accumulated
                                           time in service, determined as required by paragraph (1) of this AD,
                                           exceeds 10 000 engine hours.
                                       (3) The actions of paragraphs (1) and (2) of this AD are not required if it can
                                           be shown that the HMU has not been operated with more than 50% of
                                           TS-1 fuel during any 12-month period, either since new, since overhaul,
                                           or since last maintenance in accordance with Section 3 Accomplishment
                                           Instructions of CFM International SB CFM56-5B 73-0122 (any revision),
                                           or CFM International SB CFM56-5 73-0182 (any revision), as applicable
                                           to engine type, whichever occurs later.

      Ref. Publications:               CFM International S.A. SB CFM56-5B 73-0122 Revision 8, and
                                       SB CFM56-5 73-0182 Revision 6, both dated 08 March 2012.
                                       The use of later approved revisions of these documents is acceptable for
                                       compliance with the requirements of this AD.

      Remarks :                        1. If requested and appropriately substantiated, EASA can approve
                                          Alternative Methods of Compliance for this AD.
                                       2. This AD was posted on 26 April 2012 as PAD 12-035 for consultation
                                          until 24 May 2012. The Comment Response Document can be found at
                                          http://ad.easa.europa.eu.
                                       3. Enquiries regarding this AD should be referred to the Safety Information
                                          Section, Executive Directorate, EASA. E-mail ADs@easa.europa.eu.
                                       4. For any question concerning the technical content of the requirements in
                                          this AD, please contact CFM SA Customer Support Centre,
                                          Telephone : +33 1 64 14 88 66, Fax : +33 1 64 79 85 55
                                          E-mail : snecma.csc@snecma.fr,
                                           or
                                          CFM Inc. Aviation Operations Centre,
                                          Telephone: +1 513-552-3272, or +1 877-432-3272,
                                          E-mail : geae.aoc@ge.com.




CAP.00110-001 © European Aviation Safety Agency. All rights reserved.                                                         2/2
Proprietary document. Copies are not controlled. Confirm revision status through the EASA-Internet/Intranet.
3175

Lufttüchtigkeitsanweisung                                               Luftfahrt-Bundesamt
                                                                                                                             T23 LTA-Sachgebiet
                                                                                                                             38144 Braunschweig
                                                                D-2012-294                                                   Fax: +49-531-2355-725
                                                                                                                             email: ad@lba.de

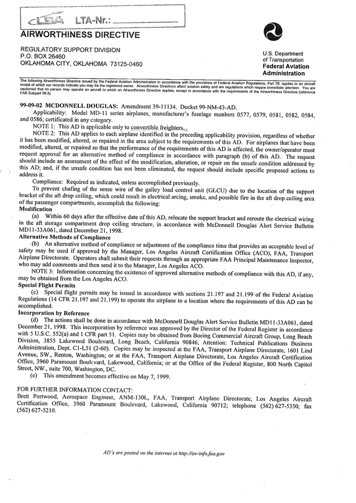
MCDONNELL DOUGLAS                                                                  Datum der Bekanntgabe: 23.07.2012
Betroffenes Luftfahrtgerät:
Art des Luftfahrtgerätes:                       Flugzeug
Inhaber der Musterzulassung:                    The Boeing Company
Hersteller:                                     McDonnell Douglas
Muster:                                         McDonnell Douglas DC-10
Baureihen:                                      MD-11/ MD-11F
Werknummern:                                    Manufacturer's Fuselage Numbers (MSN) 0447 bis 0464, 0466 bis 0552 und
                                                0554 bis 0618
Gerätenummer:                                   2835

Revisionsstand:
Originalausgabe

Airworthiness Directive der ausländischen Behörde:
FAA AD 99-09-01 - Amdt. 39-11133

Betrifft:
(ATA 24) Electrical Power - AC Generation and Control - Inspection

Maßnahmen und Fristen:
Detaillierte Informationen über die durchzuführenden Maßnahmen sind der genannten FAA Airworthiness Directive
und der genannten technischen Mitteilung des Herstellers zu entnehmen. Alle erforderlichen Maßnahmen zur
Abstellung des technischen Mangels müssen ordnungsgemäß, vollständig und innerhalb der vorgesehenen Fristen
auf Basis der genannten Bezugsdokumente durchgeführt werden. Alle Abweichungen von den Maßnahmen und
Fristen dieser Lufttüchtigkeitsanweisung bedürfen der vorherigen Zustimmung durch das Luftfahrt-Bundesamt.

Alle anzuwendenden Fristen sind der genannten FAA Airworthiness Directive zu entnehmen. Die Laufzeit aller
anzuwendenden Fristen beginnt mit dem Datum der Inkraftsetzung der genannten FAA Airworthiness Directive.
Diese Lufttüchtigkeitsanweisung entspricht hinsichtlich der durchzuführenden Maßnahmen und Fristen der
FAA AD 99-09-01 - Amdt. 39-11133.

Zugehörige technische Dokumente:
Hinweis: Die Anwendung von nachfolgenden Ausgaben bzw. Revisionsständen der genannten zugehörigen technischen Dokumente ist zulässig, wenn dies nach
der Airworthiness Directive der ausländischen Behörde ausdrücklich gestattet ist oder wenn diese von der ausländischen Behörde in Bezug auf die referenzierte
Airworthiness Directive genehmigt worden sind.

McDonnell Douglas Alert Service Bulletin MD11-24A139 vom 23.11.1998

Die sofortige Vollziehung dieses Bescheides wird gemäß § 80 Absatz 2 Satz 1 Nr. 4 der Verwaltungsgerichtsordnung (VwGO) angeordnet.

Begründung
Durch die vorgenannten Mängel ist die Lufttüchtigkeit des Luftfahrtgerätes derart beeinträchtigt, dass es nach Ablauf der genannten Fristen nur in Betrieb genom-
men werden darf, wenn die angeordneten Maßnahmen ordnungsgemäß durchgeführt worden sind. Im Interesse der Sicherheit des Luftverkehrs, das in diesem Fall
das Interesse des Adressaten am Aufschub der angeordneten Maßnahmen überwiegt, ist es erforderlich, die sofortige Vollziehung dieser Lufttüchtigkeitsanweisung
anzuordnen.
Rechtsbehelfsbelehrung:
Gegen diese Verfügung kann innerhalb eines Monats nach Bekanntgabe Widerspruch eingelegt werden. Der Widerspruch ist schriftlich oder zur Niederschrift beim
Luftfahrt-Bundesamt, Hermann-Blenk-Str. 26, 38108 Braunschweig einzulegen. Ein eventueller Widerspruch hat keine aufschiebende Wirkung. Das Verwaltungsge-
richt Braunschweig, Am Wendentor 7, 38100 Braunschweig, kann auf Antrag nach § 80 Abs. 5 VwGO die aufschiebende Wirkung jedoch ganz oder teilweise wie-
derherstellen bzw. anordnen.




D-2012-294                                                           Seite 1 von 1                                                                     343/1999
3176


                                            
                                                
                                                3177
                                            
                                        

Lufttüchtigkeitsanweisung                                               Luftfahrt-Bundesamt
                                                                                                                             T23 LTA-Sachgebiet
                                                                                                                             38144 Braunschweig
                                                                D-2012-295                                                   Fax: +49-531-2355-725
                                                                                                                             email: ad@lba.de

MCDONNELL DOUGLAS                                                                  Datum der Bekanntgabe: 23.07.2012
Betroffenes Luftfahrtgerät:
Art des Luftfahrtgerätes:                       Flugzeug
Inhaber der Musterzulassung:                    The Boeing Company
Hersteller:                                     McDonnell Douglas
Muster:                                         McDonnell Douglas DC-10
Baureihen:                                      MD-11/ MD-11F
Werknummern:                                    Manufacturer's fuselage number (MSN) 0577, 0579, 0581, 0582, 0584 und
                                                0586
Gerätenummer:                                   2835

Revisionsstand:
Originalausgabe

Airworthiness Directive der ausländischen Behörde:
FAA AD 99-09-02 - Amdt. 39-11134

Betrifft:
(ATA 33) Lights - Galley Load Control Unit wiring - Relocation

Maßnahmen und Fristen:
Detaillierte Informationen über die durchzuführenden Maßnahmen sind der genannten FAA Airworthiness Directive
und der genannten technischen Mitteilung des Herstellers zu entnehmen. Alle erforderlichen Maßnahmen zur
Abstellung des technischen Mangels müssen ordnungsgemäß, vollständig und innerhalb der vorgesehenen Fristen
auf Basis der genannten Bezugsdokumente durchgeführt werden. Alle Abweichungen von den Maßnahmen und
Fristen dieser Lufttüchtigkeitsanweisung bedürfen der vorherigen Zustimmung durch das Luftfahrt-Bundesamt.

Alle anzuwendenden Fristen sind der genannten FAA Airworthiness Directive zu entnehmen. Die Laufzeit aller
anzuwendenden Fristen beginnt mit dem Datum der Inkraftsetzung der genannten FAA Airworthiness Directive.
Diese Lufttüchtigkeitsanweisung entspricht hinsichtlich der durchzuführenden Maßnahmen und Fristen der
FAA AD 99-09-02 - Amdt. 39-11134.

Zugehörige technische Dokumente:
Hinweis: Die Anwendung von nachfolgenden Ausgaben bzw. Revisionsständen der genannten zugehörigen technischen Dokumente ist zulässig, wenn dies nach
der Airworthiness Directive der ausländischen Behörde ausdrücklich gestattet ist oder wenn diese von der ausländischen Behörde in Bezug auf die referenzierte
Airworthiness Directive genehmigt worden sind.

McDonnell Douglas Alert Service Bulletin MD11-33A061 vom 21.12.1998

Die sofortige Vollziehung dieses Bescheides wird gemäß § 80 Absatz 2 Satz 1 Nr. 4 der Verwaltungsgerichtsordnung (VwGO) angeordnet.

Begründung
Durch die vorgenannten Mängel ist die Lufttüchtigkeit des Luftfahrtgerätes derart beeinträchtigt, dass es nach Ablauf der genannten Fristen nur in Betrieb genom-
men werden darf, wenn die angeordneten Maßnahmen ordnungsgemäß durchgeführt worden sind. Im Interesse der Sicherheit des Luftverkehrs, das in diesem Fall
das Interesse des Adressaten am Aufschub der angeordneten Maßnahmen überwiegt, ist es erforderlich, die sofortige Vollziehung dieser Lufttüchtigkeitsanweisung
anzuordnen.
Rechtsbehelfsbelehrung:
Gegen diese Verfügung kann innerhalb eines Monats nach Bekanntgabe Widerspruch eingelegt werden. Der Widerspruch ist schriftlich oder zur Niederschrift beim
Luftfahrt-Bundesamt, Hermann-Blenk-Str. 26, 38108 Braunschweig einzulegen. Ein eventueller Widerspruch hat keine aufschiebende Wirkung. Das Verwaltungsge-
richt Braunschweig, Am Wendentor 7, 38100 Braunschweig, kann auf Antrag nach § 80 Abs. 5 VwGO die aufschiebende Wirkung jedoch ganz oder teilweise wie-
derherstellen bzw. anordnen.




D-2012-295                                                           Seite 1 von 1                                                                     344/1999
3178


                                            
                                                
                                                3179
                                            
                                        

Lufttüchtigkeitsanweisung                                               Luftfahrt-Bundesamt
                                                                                                                             T23 LTA-Sachgebiet
                                                                                                                             38144 Braunschweig
                                                                D-2012-296                                                   Fax: +49-531-2355-725
                                                                                                                             email: ad@lba.de

ROLLS-ROYCE                                                                        Datum der Bekanntgabe: 26.07.2012
                                                                                                                             DRINGEND!
Betroffenes Luftfahrtgerät:
Art des Luftfahrtgerätes:                       Flugmotor
Inhaber der Musterzulassung:                    Rolls-Royce plc
Hersteller:                                     Rolls-Royce plc
Muster:                                         Trent 1000
Baureihen:                                      Trent 1000-A, 1000-C, 1000-D, 1000-E, 1000-G und 1000-H
Werknummern:                                    Alle

                                                Die betroffenen Triebwerke sind in Boeing 787 Flugzeugen installiert, aber nicht
                                                unbedingt auf diese beschränkt.

Gerätenummer:                                   EASA.E.036

Revisionsstand:
Originalausgabe

Airworthiness Directive der ausländischen Behörde:
EASA Emergency AD 2012-0137-E vom 25.07.2012

Betrifft:
(ATA 72) Engine - Gearbox Assembly - Replacement

Maßnahmen und Fristen:
Detaillierte Informationen über die durchzuführenden Maßnahmen sind der genannten EASA Airworthiness
Directive und der genannten technischen Mitteilung des Herstellers zu entnehmen. Alle erforderlichen Maßnahmen
zur Abstellung des technischen Mangels müssen ordnungsgemäß, vollständig und innerhalb der vorgesehenen
Fristen auf Basis der genannten Bezugsdokumente durchgeführt werden. Alle Abweichungen von den Maßnahmen
und Fristen dieser Lufttüchtigkeitsanweisung bedürfen der vorherigen Zustimmung durch das Luftfahrt-Bundesamt.

Alle anzuwendenden Fristen sind der genannten EASA Airworthiness Directive zu entnehmen. Die Laufzeit aller
anzuwendenden Fristen beginnt mit dem Datum der Inkraftsetzung der genannten EASA Airworthiness Directive.
Diese Lufttüchtigkeitsanweisung entspricht hinsichtlich der durchzuführenden Maßnahmen und Fristen der
EASA Emergency AD 2012-0137-E vom 25.07.2012.

Zugehörige technische Dokumente:
Hinweis: Die Anwendung von nachfolgenden Ausgaben bzw. Revisionsständen der genannten zugehörigen technischen Dokumente ist zulässig, wenn dies nach
der Airworthiness Directive der ausländischen Behörde ausdrücklich gestattet ist oder wenn diese von der ausländischen Behörde in Bezug auf die referenzierte
Airworthiness Directive genehmigt worden sind.

-keine-
Die sofortige Vollziehung dieses Bescheides wird gemäß § 80 Absatz 2 Satz 1 Nr. 4 der Verwaltungsgerichtsordnung (VwGO) angeordnet.

Begründung
Durch die vorgenannten Mängel ist die Lufttüchtigkeit des Luftfahrtgerätes derart beeinträchtigt, dass es nach Ablauf der genannten Fristen nur in Betrieb genom-
men werden darf, wenn die angeordneten Maßnahmen ordnungsgemäß durchgeführt worden sind. Im Interesse der Sicherheit des Luftverkehrs, das in diesem Fall
das Interesse des Adressaten am Aufschub der angeordneten Maßnahmen überwiegt, ist es erforderlich, die sofortige Vollziehung dieser Lufttüchtigkeitsanweisung
anzuordnen.
Rechtsbehelfsbelehrung:
Gegen diese Verfügung kann innerhalb eines Monats nach Bekanntgabe Widerspruch eingelegt werden. Der Widerspruch ist schriftlich oder zur Niederschrift beim
Luftfahrt-Bundesamt, Hermann-Blenk-Str. 26, 38108 Braunschweig einzulegen. Ein eventueller Widerspruch hat keine aufschiebende Wirkung. Das Verwaltungsge-
richt Braunschweig, Am Wendentor 7, 38100 Braunschweig, kann auf Antrag nach § 80 Abs. 5 VwGO die aufschiebende Wirkung jedoch ganz oder teilweise wie-
derherstellen bzw. anordnen.




D-2012-296                                                           Seite 1 von 1                                                                     407/2012
3180

Zur nächsten Seite