VkBl Nr. 22 2021

Verkehrsblatt Nr. 22 2021

/ 37
PDF herunterladen
VkBl. Amtlicher Teil                                              1051                                                   Heft 22 – 2021

       lfd.                     Tatbestand                   Zuwiderhandlung gegen        Be- Ordnungswidrigkeit nach    Verwar- Geld-
     Nummer                                                  §§ der Verordnung           trof- § 6 Verordnung            nungs- buße
                                                                                        fener                             geld
                                                                                                                          Euro   Euro
        1                            2                                    3                 4              5               6       7
    46.300000 Erklettern oder Betreten von Fahrzeugen,       3 Absatz 2 Nummer 1        J       Nummer 2                   20     25
              schwimmenden Anlagen oder ihrer Fest-                                                                               bis
              macheeinrichtungen; sich Anhängen an                                                                                100
              diese
    46.400000 Berühren von Schifffahrtszeichen oder ihrer 3 Absatz 2 Nummer 2           J       Nummer 2                   35     50
              Festmachevorrichtungen                                                                                              bis
                                                                                                                                  200


                                 47.000000     Verordnung über die Sicherung von Strandschutzwerken auf der
                                               Nordseeinsel Borkum (Strandschutzwerk-Sicherungsverordnung
                                               Borkum – StrandschutzwerkSicherungsV)


       lfd.                     Tatbestand                   Zuwiderhandlung gegen        Be- Ordnungswidrigkeit nach    Verwar- Geld-
     Nummer                                                  §§ der Strandschutzwerk-    trof- § 5 StrandschutzwerkSi-   nungs- buße
                                                             SicherungsV                fener cherungsV                   geld   Euro
                                                                                                                          Euro
        1                            2                                    3                 4              5               6       7
    47.100000 Unerlaubtes Befahren der Berme, des            1 Absatz 1                 J       Nummer 1                   35      50
              Asphaltdeckwerks, einer Buhne mit                                                                                   bis
              Kraftfahrzeugen, einschließlich Krafträdern,                                                                        500
              Kleinkrafträdern und Mobilitätshilfen
    47.200000 Zuwiderhandeln einer vollziehbaren Auflage     2 Absatz 2 Satz 2          J       Nummer 2                   55     100
                                                                                                                                  bis
                                                                                                                                  500
    47.300000 Nicht Mitführen oder nicht oder nicht recht-   2 Absatz 2 Satz 3          J       Nummer 3                   10     50
              zeitiges Aushändigen des Bescheids über
              eine Ausnahmegenehmigung


                                 48.000000     Verordnung über den Schutz der Randdünen
                                               auf der Nordseeinsel Wangerooge
                                               (Dünenschutzverordnung Wangerooge – DünenSchV)


       lfd.                     Tatbestand                   Zuwiderhandlung gegen        Be- Ordnungswidrigkeit nach    Verwar- Geld-
     Nummer                                                  §§ der DünenSchV            trof- § 5 DünenSchV             nungs- buße
                                                                                        fener                             geld
                                                                                                                          Euro   Euro
        1                            2                                    3                 4              5               6       7
    48.100000 Unerlaubtes Betreten der Randdünen             1 Absatz 1 Nummer 1        J       Nummer 1                   10     50
    48.200000 Unerlaubtes Fahren mit Handwagen,              1 Absatz 1 Nummer 3        J       Nummer 2                   10     100
              sonstigen Wagen, Schubkarren oder
              Fahrzeugen aller Art außerhalb der hierfür
              vorgesehenen und besonders gekenn-
              zeichneten Dünenüberwege
    48.300000 Unerlaubtes Reiten, frei Herumlaufenlassen     1 Absatz 1 Nummer 6        J       Nummer 3                   10     100
              von Vieh oder Geflügel oder frei Weidenlas-
              sen von Vieh oder Geflügel
    48.400000 Unerlaubtes Spielen, Zelten oder Lagern        1 Absatz 1 Nummer 8        J       Nummer 4                   10     50
    48.500000 Zuwiderhandeln einer vollziehbaren Auflage 2 Absatz 2 Satz 2              J       Nummer 5                   55     100
                                                                                                                                  bis
                                                                                                                                  500
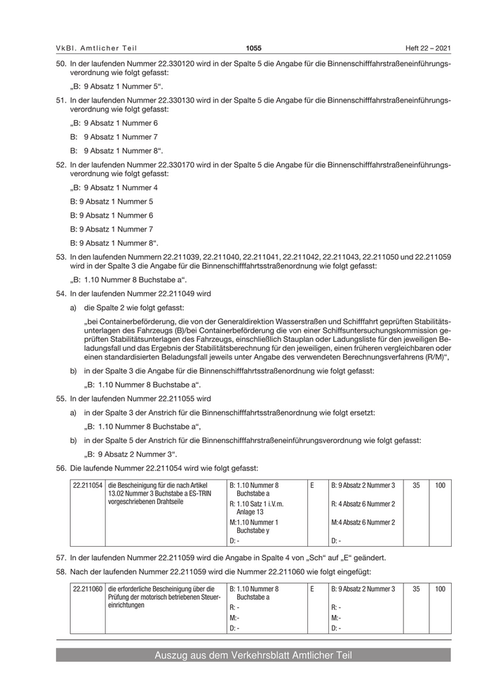
    48.600000 Nicht Mitführen oder nicht oder nicht recht-   2 Absatz 2 Satz 3          J       Nummer 6                   10     50
              zeitiges Aushändigen des Bescheids über
              eine Ausnahmegenehmigung


                                  Auszug aus dem Verkehrsblatt Amtlicher Teil
31

Heft 22 – 2021                                                       1052                                     VkBl. Amtlicher Teil

25. Die laufende Nummer 22.210260 wird wie folgt gefasst:

     22.210260 Führen eines Fahrzeugs, obwohl sich eine         B: 1.02 Nummer 7 Satz 2    Sch   B: 6 Nummer 1              -    350
               Menge von 0,25 mg/l oder mehr Alkohol in         R: 1.02 Nummer 7 Satz 2          R: 4 Absatz 4 Nummer 2a         bis
               der Atemluft oder 0,5 Promille oder mehr                                                                         2.500
               Alkohol im Blut oder eine Alkoholmenge im        M:1.02 Nummer 7 Satz 2           M:4 Absatz 4 Nummer 3
               Körper befindet, die zu einer solchen Atem-      D: 8.02a Nummer 1 Satz 2         D: 5 Absatz 6 Nummer 16a
               oder Blutalkoholkonzentration führt (B, R, M)/
               Führen eines Fahrzeugs unter Einwirkung
               von Alkohol (D)
               Führen eines Fahrzeugs, obwohl dieser
               unter der Wirkung eines berauschenden
               Mittels steht (B)

26. Die laufende Nummer 22.210330 wird wie folgt gefasst:

     22.210330 Vorübergehende Bestimmung des Kurses             B: 1.03 Nummer 4 Satz 3    J     B: 6 Nummer 2              -    350
               oder der Geschwindigkeit des Fahrzeugs,          R: 1.03 Nummer 4 Satz 2          R: 4 Absatz 2 Nummer 2a         bis
               obwohl sich eine Menge von 0,25 mg/l oder                                                                        2.500
               mehr Alkohol in der Atemluft oder 0,5 Pro-       M:1.03 Nummer 4 Satz 2           M:4 Absatz 2 Nummer 3
               mille oder mehr Alkohol im Blut oder eine        D: 8.02a Nummer 2 Satz 2         D: 5 Absatz 2 Nummer 10a
               Alkoholmenge im Körper befindet, die zu
               einer solchen Atem- oder Blutalkoholkon-
               zentration führt (B, R, M) oder unter der Wir-
               kung eines berauschenden Mittels steht (B)/
               Vorübergehende Bestimmung des Kurses
               oder der Geschwindigkeit des Fahrzeugs
               unter Einwirkung von Alkohol (D)

27. Die laufenden Nummern 22.210340 bis 22.210360 werden wie folgt gefasst:

     22.210340 Ausüben anderer für die sichere Teilnahme        B: 1.03 Nummer 4 Satz 3    B     B: 6 Nummer 2              -    500
               des Fahrzeugs am Verkehr notwendige              R: -                             R: -                            bis
               Tätigkeiten, obwohl sich eine Menge von                                                                          2.500
               0,25 mg/l oder mehr Alkohol in der Atemluft      M:-                              M:-
               oder 0,5 Promille oder mehr Alkohol im Blut      D: -                             D: -
               oder eine Alkoholmenge im Körper befindet,
               die zu einer solchen Atem- oder Blutalko-
               holkonzentration führt oder unter der Wir-
               kung eines berauschenden Mittels steht
     22.210350 Nicht sicherstellen, dass niemand (B)/           B: 1.03 Nummer 5 Satz 1    Sch   B: 6 Nummer 3              -    500
               Anordnen oder zulassen, dass jemand              R: 1.03 Nummer 4 Satz 2          R: 4 Absatz 4 Nummer 2b         bis
               (R, M, D) vorübergehend den Kurs oder die                                                                        2.500
               Geschwindigkeit des Fahrzeugs bestimmt,          M:1.03 Nummer 4 Satz 2           M:4 Absatz 4 Nummer 4
               obwohl sich eine Menge von 0,25 mg/l oder        D: 8.02a Nummer 2 Satz 2         D: 5 Absatz 6 Nummer 16b
               mehr Alkohol in dessen Atemluft oder
               0,5 Promille oder mehr Alkohol in dessen
               Blut oder eine Alkoholmenge in dessen
               Körper befindet, die zu einer solchen Atem-
               oder Blutalkoholkonzentration führt (B, R, M)
               oder unter der Wirkung eines berauschen-
               den Mittels steht (B)/der unter Einfluss von
               Alkohol steht (D)
     22.210360 Nicht sicherstellen, dass ein Mitglied der       B: 1.03 Nummer 5 Satz 1    Sch   B: 6 Nummer 3              -    500
               Besatzung außerhalb der Bestimmung von           R: -                             R: -                            bis
               Kurs und Geschwindigkeit keine anderen                                                                           2.500
               für die sichere Teilnahme des Fahrzeugs am       M:-                              M:-
               Verkehr notwendige Tätigkeiten ausübt, ob-       D: -                             D: -
               wohl sich eine Menge von 0,25 mg/l oder
               mehr Alkohol in dessen Atemluft oder
               0,5 Promille oder mehr Alkohol in dessen
               Blut oder eine Alkoholmenge in dessen
               Körper befindet, die zu einer solchen Atem-
               oder Blutalkoholkonzentration führt oder
               unter der Wirkung eines berauschenden
               Mittels steht


                                   Auszug aus dem Verkehrsblatt Amtlicher Teil
32

VkBl. Amtlicher Teil                                              1053                                                  Heft 22 – 2021

28. Nach der laufenden Nummer 22.211720 wird die folgenden Nummer 22.211730 wie folgt eingefügt:

    22.211730 Nicht, nicht richtig oder nicht rechtzeitig für B: 1.17 Nummer 1 Satz 1   Sch   B: 5 Absatz 5 Nummer 12     -      250
              eine Benachrichtigung der nächsten Dienst- R: -                                 R: -                               bis
              stelle sorgen (B)                                                                                                  750
                                                              M:-                             M:-
                                                              D: -                            D: -

29. Die laufende Nummer 22.211730 wird
    a)   zur laufenden Nummer 22.211740,
    b) in der Spalte 5 wird die Angabe für die Binnenschifffahrtsstraßeneinführungsverordnung wie folgt gefasst:
         „B: 5 Absatz 5 Nummer 14“.
30. In der laufenden Nummer 22.211720 wird in der Spalte 5 die Angabe für die Binnenschifffahrtsstraßeneinführungs-
    verordnung wie folgt gefasst:
    „B: 5 Absatz 3 Nummer 3, Absatz 5 Nummer 13“.
31. In der laufenden Nummer 22.211810 wird in der Spalte 5 die Angabe für die Binnenschifffahrtsstraßeneinführungs-
    verordnung wie folgt gefasst:
    „B: 5 Absatz 5 Nummer 15“.
32. In der laufenden Nummer 22.211910 wird in der Spalte 5 die Angabe für die Binnenschifffahrtsstraßeneinführungs-
    verordnung wie folgt gefasst:
    „B: 5 Absatz 5 Nummer 16“.
33. In der laufenden Nummer 22.212010 wird in der Spalte 5 die Angabe für die Binnenschifffahrtsstraßeneinführungs-
    verordnung wie folgt gefasst:
    „B: 5 Absatz 5 Nummer 17“.
34. In der laufenden Nummer 22.212110 wird in der Spalte 5 die Angabe für die Binnenschifffahrtsstraßeneinführungs-
    verordnung wie folgt gefasst:
    „B: 5 Absatz 5 Nummer 18“.
35. In der laufenden Nummer 22.212210 wird in der Spalte 5 die Angabe für die Binnenschifffahrtsstraßeneinführungs-
    verordnung wie folgt gefasst:
    „B: 5 Absatz 5 Nummer 19“.
36. In der laufenden Nummer 22.212220 wird in der Spalte 5 die Angabe für die Binnenschifffahrtsstraßeneinführungs-
    verordnung wie folgt gefasst:
    „B: 5 Absatz 5 Nummer 20“.
37. In der laufenden Nummer 22.212510 wird in der Spalte 5 die Angabe für die Binnenschifffahrtsstraßeneinführungs-
    verordnung wie folgt gefasst:
    „B: 5 Absatz 5 Nummer 21, 22“.
38. In den laufenden Nummer 22.280910 und 22.280940 wird in der Spalte 5 die Angabe für die Binnenschifffahrts-
    straßeneinführungsverordnung wie folgt gefasst:
    „B: 5 Absatz 5 Nummer 23“.
39. In der laufenden Nummer 22.330210 wird in der Spalte 5 die Angabe für die Binnenschifffahrtsstraßeneinführungs-
    verordnung wie folgt gefasst:
    „B: 5 Absatz 5 Nummer 24“.
40. In den laufenden Nummer 22.211001, 22.211008, 22.211002, 22.211011, 22.211013, 22.211022, 22.211009,
    22.2110210, 22.211012, 22.211014, 22.211017, 22.211021 wird in der Spalte 3 die Angabe für die Binnenschiff-
    fahrtsstraßenordnung wie folgt gefasst:
    „B: 1.10 Nummer 7 Buchstabe a“.
41. In der laufenden Nummer 22.211003 wird:
    a)   in der Spalte 2 die Angabe „oder Fahrtenbuch“ gestrichen,
    b) in der Spalte 3 die Angabe für die Binnenschifffahrtsstraßenordnung wie folgt gefasst:
         „B: 1.10 Nummer 7 Buchstabe a“.


                                 Auszug aus dem Verkehrsblatt Amtlicher Teil
33

Heft 22 – 2021                                                   1054                                  VkBl. Amtlicher Teil

42. In der laufenden Nummer 22.211004 wird:
    a)   in der Spalte 2 die Angabe „Für B bebußt nach lfd. Nr. 23.250300“ gestrichen,
    b) in der Spalte 3 der Anstrich für die Binnenschifffahrtsstraßenordnung wie folgt ersetzt:
         „B: 1.10 Nummer 7 Buchstabe a“,
    c)   In der Spalte 5 der Anstrich für die Angabe für die Binnenschifffahrtseinführungsverordnung wie folgt ersetzt:
         „B: 9 Absatz 1 Nummer 1“.
43. In der laufenden Nummer 22.211027 wird:
    a)   in der Spalte 3 der Anstrich für die Binnenschifffahrtsstraßenordnung wie folgt ersetzt:
         „B: 1.10 Nummer 7 Buchstabe a“,
    b) in der Spalte 5 der Anstrich für die Binnenschifffahrstraßeneinführungsverordnung wie folgt ersetzt:
         „B: 9 Absatz 1 Nummer 1“.
44. Die laufende Nummer 22.211019 wird wie folgt gefasst:

     22.211019 die Prüfbescheinigung über tragbare         B: 1.10 Nummer 7         Sch   B: 9 Absatz 1 Nummer 1   15   75
               Feuerlöscher (R, M) und fest installierte      Buchstabe a
               Feuerlöschanlagen (R, M, B)                 R: 1.10 Satz 1 i.V. m.         R: 4 Absatz 4 Nummer 7
                                                              Anlage 13
                                                           M:1.10 Nummer 1                M:4 Absatz 4 Nummer 9
                                                              Buchstabe r
                                                           D: -                           D: -

45. Die laufende Nummer 22.211020 wird wie folgt gefasst:

     22.211020 die Prüfbescheinigung über Krane            B: 1.10 Nummer 7         Sch   B: 9 Absatz 1 Nummer 1   25   75
                                                              Buchstabe a
                                                           R: 1.10 Satz 1 i.V. m.         R: 4 Absatz 4 Nummer 7
                                                              Anlage 13
                                                           M:1.10 Nummer 1                M:4 Absatz 4 Nummer 9
                                                              Buchstabe s
                                                           D: -                           D: -

46. Die laufende Nummer 22.211026 wird wie folgt gefasst:

     22.211026 die Bescheinigung für die nach Artikel      B: 1.10 Nummer 7         Sch   B: 9 Absatz 1 Nummer 1   15   75
               13.02 Nummer 3 Buchstabe a ES-TRIN             Buchstabe a
               vorgeschriebenen Drahtseile                 R: 1.10 Satz 1 i.V. m.         R: 4 Absatz 4 Nummer 7
                                                              Anlage 13
                                                           M:1.10 Nummer 1                M:4 Absatz 4 Nummer 9
                                                              Buchstabe y
                                                           D: -                           D: -

47. In der laufenden Nummer 22.211060 wird
    a)   in der Spalte 3 die Angabe für die Binnenschifffahrtsstraßenordnung wie folgt gefasst:
         „B: 1.10 Nummer 9 Buchstabe a“,
    b) in der Spalte 5 die Angabe für die Binnenschifffahrstraßeneinführungsverordnung wie folgt gefasst:
         „B: 9 Absatz 1 Nummer 2“.
48. In der laufenden Nummer 22.211100 wird in der Spalte 5 die Angabe für die Binnenschifffahrstraßeneinführungs-
    verordnung wie folgt gefasst:
    „B: 9 Absatz 1 Nummer 3“.
49. In der laufenden Nummer 22.330110 wird in der Spalte 5 die Angabe für die Binnenschifffahrstraßeneinführungs-
    verordnung wie folgt gefasst:
    „B: 9 Absatz 1 Nummer 4“.


                                   Auszug aus dem Verkehrsblatt Amtlicher Teil
34

VkBl. Amtlicher Teil                                            1055                                            Heft 22 – 2021

50. In der laufenden Nummer 22.330120 wird in der Spalte 5 die Angabe für die Binnenschifffahrstraßeneinführungs-
    verordnung wie folgt gefasst:
    „B: 9 Absatz 1 Nummer 5“.
51. In der laufenden Nummer 22.330130 wird in der Spalte 5 die Angabe für die Binnenschifffahrstraßeneinführungs-
    verordnung wie folgt gefasst:
    „B: 9 Absatz 1 Nummer 6
    B: 9 Absatz 1 Nummer 7
    B: 9 Absatz 1 Nummer 8“.
52. In der laufenden Nummer 22.330170 wird in der Spalte 5 die Angabe für die Binnenschifffahrstraßeneinführungs-
    verordnung wie folgt gefasst:
    „B: 9 Absatz 1 Nummer 4
    B: 9 Absatz 1 Nummer 5
    B: 9 Absatz 1 Nummer 6
    B: 9 Absatz 1 Nummer 7
    B: 9 Absatz 1 Nummer 8“.
53. In den laufenden Nummern 22.211039, 22.211040, 22.211041, 22.211042, 22.211043, 22.211050 und 22.211059
    wird in der Spalte 3 die Angabe für die Binnenschifffahrtsstraßenordnung wie folgt gefasst:
    „B: 1.10 Nummer 8 Buchstabe a“.
54. In der laufenden Nummer 22.211049 wird
    a)   die Spalte 2 wie folgt gefasst:
         „bei Containerbeförderung, die von der Generaldirektion Wasserstraßen und Schifffahrt geprüften Stabilitäts-
         unterlagen des Fahrzeugs (B)/bei Containerbeförderung die von einer Schiffsuntersuchungskommission ge-
         prüften Stabilitätsunterlagen des Fahrzeugs, einschließlich Stauplan oder Ladungsliste für den jeweiligen Be-
         ladungsfall und das Ergebnis der Stabilitätsberechnung für den jeweiligen, einen früheren vergleichbaren oder
         einen standardisierten Beladungsfall jeweils unter Angabe des verwendeten Berechnungsverfahrens (R/M)“,
    b) in der Spalte 3 die Angabe für die Binnenschifffahrtsstraßenordnung wie folgt gefasst:
         „B: 1.10 Nummer 8 Buchstabe a“.
55. In der laufenden Nummer 22.211055 wird
    a)   in der Spalte 3 der Anstrich für die Binnenschifffahrtsstraßenordnung wie folgt ersetzt:
         „B: 1.10 Nummer 8 Buchstabe a“,
    b) in der Spalte 5 der Anstrich für die Binnenschifffahrstraßeneinführungsverordnung wie folgt gefasst:
         „B: 9 Absatz 2 Nummer 3“.
56. Die laufende Nummer 22.211054 wird wie folgt gefasst:

    22.211054 die Bescheinigung für die nach Artikel      B: 1.10 Nummer 8         E   B: 9 Absatz 2 Nummer 3     35     100
              13.02 Nummer 3 Buchstabe a ES-TRIN             Buchstabe a
              vorgeschriebenen Drahtseile                 R: 1.10 Satz 1 i.V. m.       R: 4 Absatz 6 Nummer 2
                                                             Anlage 13
                                                          M:1.10 Nummer 1              M:4 Absatz 6 Nummer 2
                                                             Buchstabe y
                                                          D: -                         D: -

57. In der laufenden Nummer 22.211059 wird die Angabe in Spalte 4 von „Sch“ auf „E“ geändert.
58. Nach der laufenden Nummer 22.211059 wird die Nummer 22.211060 wie folgt eingefügt:

    22.211060 die erforderliche Bescheinigung über die    B: 1.10 Nummer 8         E   B: 9 Absatz 2 Nummer 3     35     100
              Prüfung der motorisch betriebenen Steuer-      Buchstabe a
              einrichtungen                               R: -                         R: -
                                                          M:-                          M:-
                                                          D: -                         D: -


                                Auszug aus dem Verkehrsblatt Amtlicher Teil
35

Heft 22 – 2021                                                    1056                                      VkBl. Amtlicher Teil

59. Nach der Nummer 22.211060 wird die Nummer 22.211061 wie folgt eingefügt:

     22.211033 die erforderliche Bescheinigung über die      B: 1.10 Nummer 8          E      B: 9 Absatz 2 Nummer 3   35   100
               Prüfung des in der Höhe verstellbaren         Buchstabe a
               Steuerhauses                                  R: -                             R: -
                                                             M:-                              M:-
                                                             D: -                             D: -

60. Die laufende Nummer 22.211060 wird zur laufenden Nummer 22.211062.
61. In den laufenden Nummern 22.220510 und 22.220520 wird in der Spalte 3 die Angabe für die Binnenschifffahrts-
    straßenordnung wie folgt gefasst:
    „B: 2.07 Nummer 2 Buchstabe d i. V. m. 2.05 Nummer 1, dieser auch i. V. m. Nummer 3 Satz 2“.
62. In der laufenden Nummer 22.262200 wird in der Spalte 3 in der Angabe für die Binnenschifffahrtsstraßenordnung
    „Satz 1“ gestrichen.
63. In der laufenden Nummer 22.324100 wird in der Spalte 3 die Angabe für die Binnenschifffahrtsstraßenordnung
    „21.26 Nummer 2 Buchstabe e i. V. m. 21.24 Nummer 1 bis 4, 6 Satz 1“ durch „21.29 Nummer 2 Buchstabe e“
    ersetzt.
64. In der laufenden Nummer 22.306100 werden in der Spalte 3 die Wörter „15.29 Nummer 1 Buchstabe b Doppel-
    buchstabe aa i. V. m. 15.06 Nummer 1 Satz 1, Nummer 2 bis 10“ durch die Wörter „15.29 Nummer 1 Buchstabe b
    Doppelbuchstabe aa i. V. m. 15.06 Nummer 1 Satz 1, Nummer 2 Satz 2, Nummer 3 bis 9, Nummer 10 Satz 1 bis 3,
    Nummer 11 oder Nummer 12“ ersetzt.
65. In der laufenden Nummer 22.262960 wird in der Spalte 3 die Angabe für die Binnenschifffahrtsstraßenordnung wie
    folgt gefasst:
    „B: 6.35 Nummer 1 i. V. m. 6.29 Nummer 6 Satz 6, dieser auch i. V. m. 6.29a“.
66. In der laufenden Nummer 22.262950 wird in der Spalte 3 die Angabe für die Binnenschifffahrtsstraßenordnung wie
    folgt gefasst:
    „B: 6.35 Nummer 4 i. V. m. 6.29 Nummer 6 Satz 5 oder Nummer 8 Satz 2, dieser auch i. V. m. 6.29a“.
67. In der laufenden Nummer 22.262827 wird in der Spalte 3 die Angabe für die Binnenschifffahrtsstraßenordnung wie
    folgt gefasst:
    „B: 6.35 Nummer 4 i. V. m. 6.28 Nummer 18 Satz 2, 6.29 Nummer 6 Satz 5 oder Nummer 8 Satz 2, diese jeweils
        auch i. V. m. 6.29a“.
68. Die laufende Nummer 22.319100 wird wie folgt gefasst:

     22.319100 Nicht einhalten der Vorschriften über die     11.29 Nummer 1 Buchstabe Sch     29 Absatz 1 Nummer 1     25   150
               Benutzung der Schleusen, Bootsschleusen       b Doppelbuchstabe dd        +P
               oder Bootsumsetzanlagen oder über das         i.V. m. 11.19 Nummer 1, 2
               Verhalten bei der Benutzung von Schleusen,    12.29 Nummer 1 Buchstabe         29 Absatz 1 Nummer 2
               Bootsschleusen oder Bootsumsetzanlagen        b Doppelbuchstabe ee
               oder nicht sicherstellen, dass diese einge-   i.V. m. 12.19 Nummer 1
               halten werden                                 Satz 2, Nummer 2, 3 Satz 1,
               auf                                           2, Nummer 4
               Neckar,                                       20.29 Nummer 1 Buchstabe         29 Absatz 1 Nummer 3
               Main,                                         b Doppelbuchstabe dd
                                                             i.V. m. 20.19 Satz 1, auch
               Main-Donau-Kanal,                             i.V. m. Satz 2
               Saar (Schleuse Kanzem, Serrig, Mettlach,      12.29 Nummer 2 Buchstabe Sch     29 Absatz 2              20   75
               Rehlingen)                                    b Doppelbuchstabe dd
                                                             i.V. m. 12.19 Nummer 5

69. In den laufenden Nummern 22.211016, 22.211034, 22.211035, 22.211044 und 22.211045 wird:
    a)   in der Spalte 3 wird die Angabe für die Binnenschifffahrtsstraßenordnung wie folgt ersetzt:
         „B: -“,
    b) In der Spalte 5 wird die Angabe für die Binnenschifffahrtseinführungsverordnung wie folgt ersetzt:
         „B: -“.


                                  Auszug aus dem Verkehrsblatt Amtlicher Teil
36

VkBl. Amtlicher Teil                                      1057                                            Heft 22 – 2021

70. In der laufenden Nummer 22.211058 wird in der Spalte 3 die Angabe für die Binnenschifffahrtstraßenordnung wie
    folgt gefasst:
     „B: 1.10 Nummer 5 Satz 2 i. V. m. Satz 1
          1.10 Nummer 6 Satz 2 i. V. m. Satz 1“.
71. In der laufenden Nummer 22.211043 wird:
     a)   in der Spalte 3 die Angabe für die Rheinschifffahrtspolizeiverordnung wie folgt ersetzt:
          „R: -“,
     b) in der Spalte 5 die Angabe für die Rheinschifffahrtspolizeieinführungsverordnung wie folgt ersetzt:
          „R: -“.
Die Änderungen treten am Tag nach der Verkündung in Kraft.

                                                                                              Generaldirektion
                                                                                         Wasserstraßen und Schifffahrt
                                                                                                  Im Auftrag
                                                                                                Dr. Erdmann



(VkBl. 2021 S.1037)



Nr. 213 Ersatzneubau der Straßenbrücke                              lastet und anthropogen überprägt. Das Vorhaben be-
        Havelhausen, HOW-km 22,94 –                                 trifft keine besonders wertvollen Funktionselemente.
        Bekanntgabe der Feststellung über                      3.   Art und Merkmale der möglichen Auswirkungen
        das Nichtbestehen einer Pflicht zur
        Durchführung einer Umweltverträg-                           Mögliche Auswirkungen des Vorhabens ergeben sich
        lichkeitsprüfung für den Ersatzneu-                         insbesondere auf die Schutzgüter Tiere, Pflanzen und
        bau der Straßenbrücke Havelhausen,                          biologische Vielfalt (Verlust von Vegetationsflächen
        HOW-km 22,94 gem. § 5 Abs. 2 UVPG                           sowie Habitatflächen für Brutvögel) sowie das
                                                                    Schutzgut Boden (Neuversiegelung von natürlichen
Die Erforderlichkeit zur Durchführung einer Vorprüfung im           Böden). Die genannten Auswirkungen auf diese
Einzelfall ergibt sich aufgrund von § 5 Abs. 1 i. V. m. § 9         Schutzgüter sowie die Auswirkungen auf die übrigen
Abs. 2 S. 1 Nr. 2 UVPG.                                             Schutzgüter sind aufgrund ihres Ausmaßes, ihrer
                                                                    Dauer und Häufigkeit sowie der Wiederherstellbarkeit
                                                                    als nicht erheblich nachteilig zu bewerten.
                             I.
Für das o. g. Vorhaben wurde nach Durchführung einer           Es ist nach überschlägiger Prüfung daher nicht zu erwar-
Vorprüfung festgestellt, dass keine Pflicht zur Durchfüh-      ten, dass das Vorhaben erheblich nachteilige Umweltaus-
rung einer Umweltverträglichkeitsprüfung besteht.              wirkungen hervorruft.


                             II.                                                          III.

Die wesentlichen Gründe dieser Feststellung sind:              Die Feststellung ist gemäß § 5 Abs. 3 Satz 1 UVPG nicht
                                                               selbständig anfechtbar. Die der Feststellung zugrunde-
1.   Merkmale des Vorhabens                                    liegenden Unterlagen können bei der Generaldirektion
     Gegenstand der Vorprüfung ist der Ersatzneubau der        Wasserstraßen und Schifffahrt, Gerhart-Hauptmann-
     o. g. Straßenbrücke, der das vorhandene Kreuzungs-        Str. 16, 39108 Magdeburg nach vorheriger Terminverein-
     bauwerk an gleicher Stelle ersetzen wird. Der Flä-        barung eingesehen werden.
     chenbedarf beträgt insgesamt ca. 1,38 ha, davon
     werden ca. 580 m² anlagebedingt in Anspruch ge-           Magdeburg, den 01. November 2021
     nommen. Bau- und anlagebedingt werden insgesamt           Az.: 3800R25-422.03/HOW-005-01
     ca. 0,75 ha natürliche Biotope (Laubwald, Gehölze
     sowie Gras- und Staudenfluren) in Anspruch genom-                                        Generaldirektion
     men. Es gehen dauerhaft Brut- und Nahrungshabita-                                   Wasserstraßen und Schifffahrt
     te von Brutvögeln sowie Jagdhabitate von Fleder-                                             Im Auftrag
     mäusen verloren.                                                                           U. Schädlich
2.   Standort des Vorhabens
     Das Untersuchungsgebiet ist durch die vorhandenen
     Verkehrsflächen sowie das Brückenbauwerk vorbe-           (VkBl. 2021 S. 1057)


                                  Auszug aus dem Verkehrsblatt Amtlicher Teil
37