VkBl Nr. 18 2022

Verkehrsblatt Nr. 18 2022

/ 24
PDF herunterladen
VkBl. Amtlicher Teil                                                   635                                                 Heft 18 – 2022

                                                                  Anhang

                                                Parameter zur Berechnung von Vref,avg

 Schiffstyp                                         A                                         B                                     C
 Massengutschiff                                 10,6585      DWT des Schiffes                                                  0,02706
 Gastankschiff                                    7,4462      DWT des Schiffes                                                  0,07604
 Tankschiff                                       8,1358      DWT des Schiffes                                                  0,05383
 Containerschiff                                  3,2395      DWT des Schiffes, wenn DWT ≤ 80 000; 80 000, wenn DWT > 80 000    0,18294
 Stückgutschiff                                   2,4538      DWT des Schiffes                                                  0,18832
 Kühlfrachtschiff                                 1,0600      DWT des Schiffes                                                  0,31518
 Tank-Massengutschiff                             8,1391      DWT des Schiffes                                                  0,05378
 LNG-Tankschiff                                  11,0536      DWT des Schiffes                                                  0,05030
 Ro-Ro-Frachtschiff (Fahrzeugtransportschiff)    16,6773      DWT des Schiffes                                                  0,01802
 Ro-Ro-Frachtschiff                               8,0793      DWT des Schiffes                                                  0,09123
 Ro-Ro-Fahrgastschiff                             4,1140      DWT des Schiffes                                                  0,19863
 Für Kreuzfahrten eingesetztes Fahrgastschiff     5,1240      GT des Schiffes                                                   0,12714
 mit unkonventionellem Antrieb

Parameter zur Berechnung von MCRavg oder MPPavg (= D × EF)

 Schiffstyp                                         D                                         E                                     F
 Massengutschiff                                 23,7510      DWT des Schiffes                                                  0,54087
 Gastankschiff                                   21,4704      DWT des Schiffes                                                  0,59522
 Tankschiff                                      22,8415      DWT des Schiffes                                                  0,55826
 Containerschiff                                  0,5042      DWT des Schiffes, wenn DWT ≤ 95 000; 95 000, wenn DWT > 95 000    1,03046
 Stückgutschiff                                   0,8816      DWT des Schiffes                                                  0,92050
 Kühlfrachtschiff                                 0,0272      DWT des Schiffes                                                  1,38634
 Tank-Massengutschiff                            22,8536      DWT des Schiffes                                                  0,55820
 LNG-Tankschiff                                  20,7096      DWT des Schiffes                                                  0,63477
 Ro-Ro-Frachtschiff (Fahrzeugtransportschiff)    262,7693     DWT des Schiffes                                                  0,39973
 Ro-Ro-Frachtschiff                              37,7708      DWT des Schiffes                                                  0,63450
 Ro-Ro-Fahrgastschiff                             9,1338      DWT des Schiffes                                                  0,91116
 Für Kreuzfahrten eingesetztes Fahrgastschiff     1,3550      GT des Schiffes                                                   0,88664
 mit unkonventionellem Antrieb

Berechnung der Parameter zum Berechnen von Vref,avg und MCRavg

Datenquellen

1   Die IHS Fairplay (IHSF) Datenbank wurde wie folgt ausgewertet:

      Schiffstyp                                        Schiffsgröße    Zeitraum der Ablieferung     Art des Antriebssystems   Anzahl der
                                                                                                                                Schiffe
      Massengutschiff                                ≥ 10 000 DWT       Vom 1. Januar 1999 bis zum   konventionell               2433
                                                                        1. Januar 2009
      Gastankschiff                                     ≥ 2 000 DWT                                  konventionell                292
      Tankschiff                                        ≥ 4 000 DWT                                  konventionell               3345
      Containerschiff                                ≥ 10 000 DWT                                    konventionell               2185
      Stückgutschiff                                    ≥ 3 000 DWT                                  konventionell               1673
      Kühlfrachtschiff                                  ≥ 3 000 DWT                                  konventionell                53
      Tank-Massengutschiff                              ≥ 4 000 DWT                                  konventionell               3351
      LNG-Tankschiff                                 ≥ 10 000 DWT                                    konventionell,               185
                                                                                                     unkonventionell


                                   Auszug aus dem Verkehrsblatt Amtlicher Teil
11

Heft 18 – 2022                                                      636                                     VkBl. Amtlicher Teil

      Schiffstyp                                     Schiffsgröße    Zeitraum der Ablieferung     Art des Antriebssystems   Anzahl der
                                                                                                                             Schiffe
      Ro-Ro-Frachtschiff (Fahrzeugtransportschiff)   ≥ 10 000 DWT                                 konventionell                301
      Ro-Ro-Frachtschiff                             ≥ 1 000 DWT     Vom 1. Januar 1998 bis zum   konventionell                188
                                                                     31. Dezember 2010
      Ro-Ro-Fahrgastschiff                            ≥ 250 DWT                                   konventionell                350
      Für Kreuzfahrten eingesetztes Fahrgastschiff   ≥ 25 000 GT     Vom 1. Januar 1999 bis zum   unkonventionell              93
      mit unkonventionellem Antrieb                                  1. Januar 2009


2    Datensätze, bei denen die „Dienstgeschwindigkeit“,                       Kennwert (EEDI) überein. Jedoch beinhaltet das
     die „Kapazität“ und/oder die „Gesamt kW des Haupt-                       „Gastankschiff“ hier nicht das „LNG-Tankschiff“. Die
     motors“ nicht oder mit Null angegeben sind, wurden                       Parameter für „LNG-Tankschiff“ sind gesondert an-
     nicht berücksichtigt.                                                    gegeben.
3    Die Schiffstypen stimmen mit denen in den Tabellen 1                                            ***
     und 2 der Entschließung MEPC.231(65) Richtlinien
     von 2013 für die Berechnung von Referenzlinien zur
     Verwendung in Verbindung mit dem Energieeffizienz-                   (VkBl. 2022 S. 630)




Nr. 158 Bekanntmachung der Entschließung                                  GESTÜTZT AUF Artikel 38 Buchstabe a des Übereinkom-
        des Ausschusses für den Schutz der                                mens über die Internationale Seeschifffahrts-Organisati-
        Meeresumwelt MEPC.334(76) „Richt-                                 on betreffend die Aufgaben, die dem Ausschuss für den
        linien von 2021 über Besichtigungen                               Schutz der Meeresumwelt durch internationale Überein-
                                                                          kommen zur Verhütung und Bekämpfung der Meeresver-
        im Hinblick auf den erreichten Ener-
                                                                          schmutzung durch Schiffe übertragen werden,
        gieeffizienz-Kennwert für vorhande-
        ne Schiffe (EEXI) und die Ausstellung                             IM HINBLICK DARAUF, dass er mit Entschließung
        von Zeugnissen darüber“,                                          MEPC.328(76) die revidierte Anlage VI von MARPOL von
        in deutscher Sprache                                              2021 angenommen hat, deren Inkrafttreten nach ihrer als
                                                                          am 1. Mai 2022 erfolgt erachteten Billigung am 1. Novem-
                           Hamburg, den 01. September 2022                ber 2022 erwartet wird,
                           Az.: 11-3-0
Durch die Dienststelle Schiffssicherheit der BG Verkehr                   INSBESONDERE IM HINBLICK DARAUF, dass die re-
wird hiermit die Entschließung des Ausschusses für den                    vidierte Anlage VI von MARPOL von 2021 Änderungen
Schutz der Meeresumwelt MEPC.334(76) „Richtlinien von                     enthält, die verbindliche zielorientierte technische und
2021 über Besichtigungen im Hinblick auf den erreichten                   betriebliche Maßnahmen zur Verringerung der Kohlen-
Energieeffizienz-Kennwert für vorhandene Schiffe (EEXI)                   stoffintensität der internationalen Schifffahrt betreffen,
und die Ausstellung von Zeugnissen darüber“, in deut-
scher Sprache amtlich bekannt gemacht.                                    DES WEITEREN IM HINBLICK DARAUF, dass Regel 5
                                                                          (Besichtigungen) der Anlage VI von MARPOL in ihrer zu-
                   Berufsgenossenschaft Verkehrswirtschaft                letzt geänderten Fassung verlangt, dass Schiffe, auf die
                                Post-Logistik                             Kapitel 4 anzuwenden ist, ebenfalls den Anforderungen
                             Telekommunikation                            zur Besichtigung und Ausstellung von Zeugnissen unter-
                       – Dienststelle Schiffssicherheit –                 liegen, wobei die von der Organisation entwickelten
                                      i. A.                               Richtlinien zu berücksichtigen sind,
                                  K. Krüger
                              Dienststellenleiter                         IN DER ERKENNTNIS, dass die zuvor genannten Ände-
                                                                          rungen der Anlage VI von MARPOL einschlägige Richtli-
                                                                          nien erfordern, die für eine einheitliche und wirksame Um-
            ENTSCHLIESSUNG MEPC.334(76)                                   setzung der Regeln sorgen und der Industrie hinreichende
             (angenommen am 17. Juni 2021)                                Vorlaufzeiten geben, sich vorzubereiten,

                                                                          NACH DER auf seiner sechsundsiebzigsten Tagung ER-
    RICHTLINIEN VON 2021 ÜBER BESICHTIGUNGEN
                                                                          FOLGTEN PRÜFUNG des Entwurfs der Richtlinien von
     IM HINBLICK AUF DEN ERREICHTEN ENERGIE-
                                                                          2021 über Besichtigungen im Hinblick auf den erreichten
       EFFIZIENZ-KENNWERT FÜR VORHANDENE
                                                                          Energieeffizienz-Kennwert für vorhandene Schiffe (EEXI)
      SCHIFFE (EEXI) UND DIE AUSSTELLUNG VON
                                                                          und die Ausstellung von Zeugnissen darüber,
               ZEUGNISSEN DARÜBER
DER AUSSCHUSS FÜR DEN SCHUTZ DER MEERES-                                  1   BESCHLIESST die Richtlinien von 2021 über Besichti-
UMWELT,                                                                       gungen im Hinblick auf den erreichten Energieeffizienz-


                                   Auszug aus dem Verkehrsblatt Amtlicher Teil
12

VkBl. Amtlicher Teil                                        637                                                          Heft 18 – 2022

     Kennwert für vorhandene Schiffe (EEXI) und die Aus-          2        Begriffsbestimmungen1
     stellung von Zeugnissen darüber, deren Wortlaut in
     der Anlage zu dieser Entschließung wiedergegeben         2.1          Der Ausdruck „Prüfer“ bezeichnet eine Verwaltung
     ist;                                                                  oder eine von dieser ordnungsgemäß ermächtigte
                                                                           Organisation, die die Besichtigung und Ausstellung
2    FORDERT die Verwaltungen AUF, die in der Anlage                       von Zeugnissen hinsichtlich des EEXI gemäß den
     wiedergegebenen Richtlinien bei der Erarbeitung und                   Regeln 5, 6, 7, 8 und 9 der Anlage VI von MARPOL
     Verabschiedung innerstaatlicher Rechtsvorschriften                    und gemäß diesen Richtlinien vornimmt.
     zur Inkraftsetzung und Durchführung der Bestimmun-
                                                              2.2          Der Ausdruck „Schiff desselben Typs“ bezeichnet
     gen in Regel 5 der Anlage VI von MARPOL zu berück-
                                                                           ein Schiff, dessen Schiffskörperform (ausgedrückt
     sichtigen;
                                                                           im Linienriss wie Längsschnitte und Spantenriss),
3    ERSUCHT die Vertragsparteien der Anlage VI von                        ausgenommen zusätzliche Teile des Schiffskörpers
     MARPOL und die anderen Mitgliedsregierungen, die                      wie Flossen, und dessen Hauptkennwerte mit der/
     in der Anlage wiedergegebenen Richtlinien Kapitä-                     denen des Basisschiffs übereinstimmt/überein-
     nen, Seeleuten, Schiffseignern, Schiffsbetreibern und                 stimmen.
     jeglichen anderen beteiligten Parteien zur Kenntnis zu
                                                              2.3          Der Ausdruck „Tankversuch“ bezeichnet Modell-
     bringen;
                                                                           schleppversuche, Modellpropulsionsversuche und
4    STIMMT DARIN ÜBEREIN, diese Richtlinien unter Be-                     Modellpropellerfreifahrtversuche. Mit Zustimmung
     rücksichtigung der bei ihrer Umsetzung gewonnenen                     des Prüfers können numerische Berechnungen als
     Erfahrungen und angesichts der von der Organisation                   den Modellpropellerfreifahrtversuchen gleichwertig
     gemäß Regel 25 Absatz 3 der Anlage VI von MARPOL                      anerkannt oder zur Ergänzung der durchgeführten
     bis zum 1. Januar 2026 abzuschließenden Überarbei-                    Tankversuche eingesetzt werden (z. B. zur Bewer-
     tung der EEXI-Regeln einer regelmäßigen Überprü-                      tung der Auswirkung zusätzlicher Teile des Schiffs-
     fung zu unterziehen.                                                  körpers wie Flossen usw. auf die Leistungswerte
                                                                           des Schiffes) oder als Ersatz für Modellversuche,
                                                                           sofern die Methodik und das verwendete numeri-
                         ANLAGE                                            sche Modell anhand von Probefahrten und/oder
                                                                           Modellversuchen mit dem Stamm-Schiffskörper
    RICHTLINIEN VON 2021 ÜBER BESICHTIGUNGEN                               validiert/kalibriert worden sind.
     IM HINBLICK AUF DEN ERREICHTEN ENERGIE-
       EFFIZIENZ-KENNWERT FÜR VORHANDENE                      2.4          Der Ausdruck „MARPOL“ bezeichnet die jeweils
      SCHIFFE (EEXI) UND DIE AUSSTELLUNG VON                               gültige Fassung des durch die diesbezüglichen
               ZEUGNISSEN DARÜBER                                          Protokolle von 1978 und 1997 geänderten Interna-
                                                                           tionalen Übereinkommens von 1973 zur Verhütung
                                                                           der Meeresverschmutzung durch Schiffe.
                   Inhaltsverzeichnis
                                                              2.5          Im Sinne dieser Richtlinien gelten die Begriffsbe-
1    Allgemeine Bestimmungen                                               stimmungen in der jeweils gültigen Fassung der
2    Begriffsbestimmungen                                                  Anlage VI von MARPOL.

3    Anwendung                                                3            Anwendung
4    Verfahren für Besichtigungen und die Ausstellung von                  Diese Richtlinien müssen auf Schiffe Anwendung
     Zeugnissen                                                            finden, für die einem Prüfer ein Antrag auf eine Be-
                                                                           sichtigung für die Überprüfung des EEXI des Schif-
     4.1 Allgemeine Bestimmungen
                                                                           fes nach Regel 5 der Anlage VI von MARPOL vor-
     4.2 Überprüfung des erreichten EEXI                                   gelegt worden ist.

     4.3 Überprüfung des erreichten EEXI in Fällen eines      4            Verfahren für Besichtigungen und die
         größeren Umbaus                                                   Ausstellung von Zeugnissen
Anhang Muster einer Technischen EEXI-Akte                     4.1          Allgemeine Bestimmungen

1      Allgemeine Bestimmungen                                4.1.1 Der erreichte EEXI muss gemäß Regel 23 der An-
                                                                    lage VI von MARPOL und den Richtlinien von 2021
       Der Zweck dieser Richtlinien besteht darin, den              über die Methode zur Berechnung des erreichten
       Prüfern des Energieeffizienz-Kennwerts für vorhan-           Energieeffizienz-Kennwerts für vorhandene Schiffe
       dene Schiffe (Energy Efficiency Design Index, EEXI)          (EEXI) (Entschließung MEPC.333(76)) (EEXI-Be-
       bei der Durchführung der Besichtigung und Aus-               rechnungsrichtlinien) berechnet werden.
       stellung von Zeugnissen hinsichtlich des EEXI ge-
       mäß den Regeln 5, 6, 7, 8 und 9 der Anlage VI von      1
                                                                      Andere in diesen Richtlinien verwendete Begriffe haben die in den
       MARPOL zu helfen und Schiffseignern, Bauwerf-                  „Richtlinien von 2018 über die Methode zur Berechnung des erreich-
       ten, Herstellern und anderen interessierten Parteien           ten Energieeffizienz-Kennwerts EEDI für Schiffsneubauten“ (Ent-
       dabei zu helfen, die Verfahren für die Besichtigung            schließung MEPC.308(73) in ihrer jeweils gültigen Fassung) und in
                                                                      den „Richtlinien von 2021 über die Methode zur Berechnung des
       und Ausstellung von Zeugnissen hinsichtlich des                erreichten Energieeffizienz-Kennwerts für vorhandene Schiffe (EEXI)“
       EEXI zu verstehen.                                             (Entschließung MEPC.333(76)) festgelegte Bedeutung.


                              Auszug aus dem Verkehrsblatt Amtlicher Teil
13

Heft 18 – 2022                                             638                                          VkBl. Amtlicher Teil

4.1.2 Gegebenenfalls muss für die Berechnung des er-                    .8   falls erforderlich das Verfahren und die Metho-
      reichten EEXI die Anleitung von 2013 zur Behand-                       dik zur Schätzung der Leistungskurven, ein-
      lung innovativer Energieeffizienztechnologien bei                      schließlich der Dokumentation der Überein-
      der Berechnung und Überprüfung des erreichten                          stimmung mit den festgelegten Qualitätsnormen
      EEDI (MEPC.1/Rundschreiben 815) angewendet                             (z. B. ITTC 7.5-03-01-02 und ITTC 7.5-03-01-
      werden.                                                                04 in ihren neuesten Fassungen) und, im Fall
                                                                             der Verwendung numerischer Berechnungen,
4.1.3 Die im Überprüfungsverfahren verwendeten Infor-
                                                                             den Abgleich der numerischen Ausgangsdaten
      mationen können vertrauliche Informationen von
                                                                             mit dem Stammschiffskörper oder mit den aus-
      Antragstellern, einschließlich Werften, enthalten,
                                                                             gewählten Vergleichsschiffen;
      die den Schutz geistiger Eigentumsrechte (Intellec-
      tual Property Rights, IPR) erfordern. Im Falle, dass              .9   falls verfügbar, einen Probefahrtbericht ein-
      der Antragsteller eine Vertraulichkeitsvereinbarung                    schließlich der unter den in Absatz 2.2.2 der
      mit dem Prüfer möchte, müssen die zusätzlichen                         EEDI-Berechnungsrichtlinien festgelegten
      Informationen dem Prüfer unter einvernehmlich                          Seebedingungen ermittelten Probefahrtergeb-
      vereinbarten Bedingungen zur Verfügung gestellt                        nisse, die mittels des Tankversuchs kalibriert
      werden.                                                                worden sein können;
4.2   Überprüfung des erreichten EEXI                                   .10 für vor Inkrafttreten der EEDI-Vorschriften ge-
4.2.1 Zur Überprüfung des erreichten EEXI muss einem                        baute Schiffe, bei denen keine Geschwin-
      Prüfer ein Antrag auf eine Besichtigung und eine                      digkeits-Leistungskurve verfügbar ist, das
      technische EEXI-Akte mit allen für die Überprüfung                    Verfahren zur Berechnung von Vref,app gemäß
      erforderlichen Informationen sowie weiteren ein-                      Absatz 2.2.3.5 der EEXI-Berechnungsrichtlini-
      schlägigen Hintergrunddokumenten vorgelegt wer-                       en;
      den, es sei denn, der erreichte EEDI des Schiffes                 .11 die Brennstoffart;
      erfüllt den vorgeschriebenen EEXI.
                                                                        .12 den spezifischen Brennstoffverbrauch (specific
4.2.2 Die Technische EEXI-Akte muss mindestens in                           fuel consumption, SFC) der Haupt- und Hilfs-
      englischer Sprache abgefasst sein. Die Technische                     motoren gemäß Absatz 2.2.3 der EEXI-Berech-
      EEXI-Akte muss unter anderem die folgenden An-                        nungsrichtlinien;
      gaben enthalten:
                                                                        .13 für bestimmte Schiffstypen erforderlichenfalls
      .1   die Tragfähigkeit (deadweight tonnage, DWT)                      die Stromverbrauchstabelle2 gemäß den EEDI-
           oder Bruttoraumzahl (BRZ) bei Ro-Ro-Fahr-                        Berechnungsrichtlinien;
           gastschiffen und für Kreuzfahrten eingesetzten
           Fahrgastschiffen mit unkonventionellem An-                   .14 gegebenenfalls die dokumentierte Aufzeich-
           trieb;                                                           nung des durchschnittlichen Jahreswertes der
                                                                            Leistung von Hilfsmotoren im Seebetrieb, der
      .2   die installierte Nennleistung (MCR) der Haupt-
                                                                            vor dem Datum der Antragstellung für eine Be-
           und Hilfsmotoren;
                                                                            sichtigung zur Überprüfung des EEXI des
      .3   die gedrosselte installierte Leistung (MCRlim) in                Schiffes gemäß Absatz 2.2.2.3 der EEXI-Be-
           Fällen, in denen eine aufhebbare Drosselung                      rechnungsrichtlinien ermittelt wurde;
           der Wellen-/Motorleistung installiert ist;
                                                                        .15 gegebenenfalls das Verfahren zur Berechnung
      .4   die Schiffsgeschwindigkeit (Vref);                               von PAE,app gemäß Absatz 2.2.2.3 der EEXI-Be-
                                                                            rechnungsrichtlinien;
      .5   die geschätzte Schiffsgeschwindigkeit (Vref,app)
           für vor Inkrafttreten der EEDI-Vorschriften ge-              .16 die Hauptkennwerte, den Schiffstyp und die
           baute Schiffe, bei denen gemäß Absatz 2.2.3.5                    einschlägigen Angaben, um das Schiff einem
           der EEXI-Berechnungsrichtlinien die Ge-                          solchen Schiffstyp zuzuweisen, die Klassenzu-
           schwindigkeits-Leistungskurve nicht verfügbar                    satzzeichen sowie einen Überblick über das
           ist;                                                             Antriebssystem und das Stromversorgungs-
                                                                            system an Bord;
      .6   in Fällen, in denen Regel 22 der Anlage VI von
           MARPOL (erreichter EEDI) Anwendung findet,                   .17 sofern verfügbar, eine Beschreibung der Ener-
           eine genehmigte, unter der in Absatz 2.2 der                     giesparausrüstung;
           EEDI-Berechnungsrichtlinien angegebenen
           EEDI-Bedingung geltende Geschwindigkeits-                    .18 den berechneten Wert des erreichten EEXI ein-
           Leistungskurve, die in der technischen EEDI-                     schließlich der Zusammenfassung der Berech-
           Akte beschrieben ist;                                            nung, die mindestens alle Werte der Berech-

      .7   eine geschätzte, bei Verfügbarkeit eines Tank-
                                                               2
           versuchs und/oder numerischer Berechnungen              Die Stromverbrauchstabelle muss gesondert validiert werden, unter
                                                                   Berücksichtigung der in Anhang 2 der Richtlinien von 2014 über Be-
           aus diesen ermittelte Geschwindigkeits-Leis-            sichtigungen im Hinblick auf den Energieeffizienz-Kennwert (EEDI)
           tungskurve, die unter den EEDI-Bedingungen              und die Ausstellung von Zeugnissen darüber (Entschließung
           gilt oder bei einem davon abweichenden Tief-            MEPC.254(67) in der durch die Entschließungen MEPC.261(68) und
                                                                   MEPC.309(73) geänderten Fassung; konsolidierter Wortlaut:
           gang auf die EEDI-Bedingungen zu kalibrieren            MEPC.1/Circ.855/Rev.2, in der gegebenenfalls weiter geänderten
           ist;                                                    Fassung) wiedergegebenen Richtlinien.


                               Auszug aus dem Verkehrsblatt Amtlicher Teil
14

VkBl. Amtlicher Teil                                                 639                                            Heft 18 – 2022

             nungsparameter sowie das zur Ermittlung des               4.2.5 Ungeachtet der Absätze 4.2.3 und 4.2.4 muss der
             erreichten EEXI verwendete Berechnungsver-                      SFC in Fällen, in denen eine aufhebbare Drosse-
             fahren enthalten muss; und                                      lung der Wellen-/Motorleistung installiert ist, oder
                                                                             im Fall von Motoren, deren Technische NOx-Akte
        .19 für LNG-Tankschiffe:                                             keinen Prüfbericht enthält, gemäß Absatz 2.2.3 der
             .1   die Art und Gestaltung der Antriebsanlagen                 EEXI-Berechnungsrichtlinien berechnet werden.
                  (wie z. B. direkter Dieselantrieb, dieselelek-             Hierfür können Aufzeichnungen der tatsächlichen
                  trisch, Dampfturbine);                                     Leistung des Motors verwendet werden, wenn die-
                                                                             se für den Prüfer zufriedenstellend und annehmbar
             .2   das Fassungsvermögen der LNG-Lade-                         sind.
                  tanks in m³ und die Verdampfungsrate
                  (boil-off rate, BOR) gemäß Absatz 2.2.5.6.3          4.2.6 Der Prüfer kann vom Antragsteller nach Bedarf wei-
                  der EEDI-Berechnungsrichtlinien;                           tere Informationen gemäß Absatz 4.2.7 der EEDI-
                                                                             Besichtigungs- und Zertifizierungsrichtlinien zu-
             .3   die Wellenleistung an der Propellerwelle                   sätzlich zu den in der Technischen EEXI-Akte
                  hinter dem Getriebe bei voller Nennleis-                   enthaltenen anfordern, um das Verfahren zur Be-
                  tung des Motors (MPPMotor) und h(i) für die-               rechnung des erreichten EEXI zu prüfen.
                  selelektrischen Antrieb;
                                                                       4.2.7 In Fällen, in denen der Probefahrtbericht gemäß
             .4   in Fällen, in denen eine aufhebbare Dros-                  Absatz 4.2.2.9 vorgelegt wird, muss der Prüfer wei-
                  selung der Wellen-/Motorleistung installiert               tere Angaben vom Antragsteller anfordern, um zu
                  ist, die Wellenleistung an der Propellerwel-               bestätigen, dass:
                  le hinter dem Getriebe bei der abgesenk-
                  ten Leistung des Motors (MPPMotor,lim);                    .1   die Probefahrt gemäß den in den Absätzen
                                                                                  4.3.3, 4.3.4 und 4.3.7 der EEDI-Besichtigungs-
             .5   die höchste Dauerleistung der Dampfturbi-                       und Zertifizierungsrichtlinien angegebenen Be-
                  ne (MCRSteamTurbine);                                           dingungen durchgeführt wurde;
             .6   in Fällen, in denen eine aufhebbare Dros-                  .2   die Seeverhältnisse gemäß der Norm ISO
                  selung der Wellen-/Motorleistung installiert                    15016:2002 oder einer gleichwertigen Norm,
                  ist, die höchste gedrosselte Dauerleistung                      falls diese für den Prüfer zufriedenstellend und
                  der Dampfturbine (MCRSteamTurbine,lim); und                     annehmbar ist, gemessen wurden;
             .7   den spezifischen Brennstoffverbrauch der
                                                                             .3   die Schiffsgeschwindigkeit gemäß der Norm
                  Dampfturbine (SFCSteamTurbine) gemäß Ab-
                                                                                  ISO 15016:2002 oder einer gleichwertigen
                  satz 2.2.7.2 der EEDI-Berechnungsrichtli-
                                                                                  Norm, falls diese für den Prüfer zufriedenstel-
                  nien. Falls die Berechnung nicht vom Her-
                                                                                  lend und annehmbar ist, gemessen wurden;
                  steller verfügbar ist, darf SFCSteamTurbine vom
                                                                                  und
                  Antragsteller berechnet werden.
                                                                             .4   die gemessene Schiffsgeschwindigkeit, falls
        Der Anhang zu diesen Richtlinien liefert ein Muster
                                                                                  erforderlich, durch Berücksichtigung der Wir-
        einer technischen EEXI-Akte.
                                                                                  kungen von Wind, Tide, Wellen, Flachwasser
4.2.3 Der spezifische Brennstoffverbrauch (SFC) muss                              und Verdrängung gemäß der Norm ISO
      unter Zugrundelegung des unteren Norm-Heiz-                                 15016:2002 oder mit einer gleichwertigen Me-
      werts des ölhaltigen Brennstoffs auf den Wert der                           thode kalibriert wurde. Eine solche Methode
      Referenzbedingungen der ISO-Norm korrigiert wer-                            kann zulässig sein, sofern ihr Konzept für den
      den; es wird auf ISO 15550:2002 und ISO 3046-                               Prüfer transparent ist und es öffentlich verfüg-
      1:2002 verwiesen. Für den Nachweis des SFC                                  bar/zugänglich ist.
      muss dem Prüfer eine Kopie der genehmigten
                                                                       4.2.8 Die aus dem Tankversuch und/oder numerischen
      Technischen NOX-Akte und eine dokumentierte
                                                                             Berechnungen gewonnene geschätzte Geschwin-
      Zusammenfassung der Korrekturberechnungen
                                                                             digkeits-Leistungskurve und/oder die mittels des
      vorgelegt werden.
                                                                             Tankversuchs kalibrierten Probefahrtergebnisse
4.2.4 Für mit Zweistoffmotor(en) ausgestattete Schiffe,                      muss bzw. müssen auf Grundlage der gemäß den
      die LNG und ölhaltigen Brennstoff verwenden,                           EEDI-Besichtigungs- und Zertifizierungsrichtlinien
      muss der CF-Faktor für Gas (LNG) und der spezifi-                      einschlägigen Unterlagen, der festgelegten Quali-
      sche Brennstoffverbrauch (SFC) des gasförmigen                         tätsnormen (z. B. ITTC 7.5-03-01-02 und ITTC 7.5-
      Brennstoffs verwendet werden, unter Anwendung                          03-01-04 in ihren neuesten Fassungen) sowie des
      der in Absatz 4.2.3 der zuletzt geänderten Fassung                     Abgleichs der numerischen Ausgangsdaten mit
      der Richtlinien von 2014 über Besichtigungen im                        dem Stammschiffskörper oder mit den ausgewähl-
      Hinblick auf den Energieeffizienz-Kennwert (EEDI)                      ten Vergleichsschiffen überprüft werden.
      und die Ausstellung von Zeugnissen darüber3 (EE-
      DI-Besichtigungs- und Zertifizierungsrichtlinien)                4.2.9 In Fällen, in denen ein System zur aufhebbaren
      angegebenen Kriterien als Grundlage für die An-                        Drosselung der Wellen-/Motorleistung installiert ist,
      leitung der Verwaltung.                                                muss der Prüfer bestätigen, dass das System ge-
                                                                             mäß den Richtlinien von 2021 über die Drosselung
                                                                             der Wellen-/Motorleistung zur Einhaltung der EEXI-
3
    Entschließung MEPC.254(67), in der zuletzt geänderten Fassung.           Anforderungen und über die Nutzung einer Leis-


                                    Auszug aus dem Verkehrsblatt Amtlicher Teil
15

Heft 18 – 2022                                               640                                       VkBl. Amtlicher Teil

      tungsreserve (Entschließung MEPC.335(76)) sach-          1.2   Hauptabmessungen
      gerecht installiert und verplombt ist, und dass sich
      ein überprüftes Bordhandbuch (Onboard Manage-                   Länge über alles                              250,0 m
      ment Manual, OMM) für den Umgang mit der auf-
      hebbaren Drosselung der Wellen-/Motorleistung an                Länge zwischen den Loten                      240,0 m
      Bord des Schiffes befindet.                                     Breite auf Spant                              40,0 m
4.3   Überprüfung des erreichten EEXI im Falle eines                  Seitenhöhe auf Mallkanten                     20,0 m
      größeren Umbaus
                                                                      Zum Sommerfreibord korres-                    14,0 m
4.3.1 In Fällen, in denen ein größerer Umbau eines Schif-             pondierender Tiefgang auf Spant
      fes am oder nach dem Datum des Abschlusses der
      Besichtigung für die Überprüfung des EEXI nach                  Tragfähigkeit bei Tiefgang auf               150 000 t
      Regel 5.4.7 der Anlage VI von MARPOL erfolgt,                   Sommerfreibord
      muss der Schiffseigner einem Prüfer einen Antrag
      auf eine umfassende oder teilweise Besichtigung          1.3   Hauptmotor
      vorlegen, verbunden mit der auf Grundlage des
      durchgeführten Umbaus gründlich überarbeiteten                  Hersteller                                 XXX Industries
      Technischen EEXI-Akte und weiteren einschlägigen
                                                                      Typ                                            6J70A
      Hintergrunddokumenten.
4.3.2 Die Hintergrunddokumente müssen unter anderem                   Höchste Dauerleistung (MCRME)            15 000 kW × 80 rpm
      mindestens Folgendes umfassen:                                  Höchste gedrosselte Dauerleistung        9 940 kW × 70 rpm
                                                                      bei installierter Drosselung der
      .1   Einzelheiten des Umbaus;
                                                                      Motorleistung (MCRME,lim)
      .2   nach dem Umbau geänderte EEXI-Parameter
                                                                      Spez. Brennstoffverbrauch (SFC)             166,5 g/kWh
           sowie die technische Begründung für jeden                  bei 75 % von MCRME oder 83 % von
           einzelnen Parameter;                                       MCRME,lim
      .3   gegebenenfalls Gründe für weitere in der Tech-             Anzahl der Hauptmotoren                          1
           nischen EEXI-Akte vorgenommene Änderun-
           gen; und                                                   Brennstoffart                                 Dieselöl
      .4   den berechneten Wert des erreichten EEXI mit
                                                               1.4   Hilfsmotor
           einer Zusammenfassung der Berechnung, die
           mindestens alle bei der Ermittlung des erreich-
                                                                      Hersteller                                 XXX Industries
           ten EEXI verwendeten Werte der Berechnungs-
           parameter und das dabei verwendete Verfah-                 Typ                                           5J-200
           ren zur Berechnung enthalten muss.
                                                                      Höchste Dauerleistung (MCRAE)            600 kW × 900 rpm
4.3.3 Der Prüfer muss die überarbeitete Technische EE-
      XI-Akte und andere ihm vorgelegte Dokumente                     Spez. Brennstoffverbrauch (SFC)             220,0 g/kWh
      prüfen und das Verfahren zur Berechnung des er-                 bei 50 % von MCRAE
      reichten EEXI überprüfen, um sicherzustellen, dass              Anzahl der Hilfsmotoren                          3
      es technisch fundiert und angemessen ist und Re-
      gel 23 der Anlage VI von MARPOL und den EEXI-                   Brennstoffart                                 Dieselöl
      Berechnungsrichtlinien entspricht.
                                                               1.5   Schiffsgeschwindigkeit
4.3.4 Zur Überprüfung des erreichten EEXI nach dem
      größeren Umbau können nötigenfalls Geschwin-
                                                                      Schiffsgeschwindigkeit (Vref) (mit der      13,20 Knoten
      digkeitsversuche des Schiffes durchgeführt wer-
                                                                      installierten Leistungsdrosselung
      den.                                                            des Motors)

                        ANHANG                                 2     Leistungskurve
                                                                     (Beispiel 1; Fall eines den EEDI-Vorschriften unter-
      MUSTER EINER TECHNISCHEN EEXI-AKTE                             liegenden Schiffes)
1     Angaben                                                        Eine genehmigte, in der Technischen EEDI-Akte
1.1   Allgemeine Angaben                                             enthaltene Geschwindigkeits-Leistungskurve ist in
                                                                     Abbildung 2.1 dargestellt.
       Schiffseigner                  XXX Shipping Line              (Beispiel 2; Fall eines vor Inkrafttreten der EEDI-
       Bauwerft                   XXX Shipbuilding Company           Vorschriften gebauten Schiffes)
       Baunummer                           12345                     Eine aus dem Tankversuch und/oder, sofern ver-
       IMO-Nr.                            94112XX                    fügbar, numerischen Berechnungen gewonnene
                                                                     geschätzte Geschwindigkeits-Leistungskurve ist
       Schiffstyp                     Massengutschiff                ebenfalls in Abbildung 2.1 dargestellt.


                              Auszug aus dem Verkehrsblatt Amtlicher Teil
16

VkBl. Amtlicher Teil                                           641                                                   Heft 18 – 2022

                                                                  3              Überblick über das Antriebssystem und das
                                                                                 Stromversorgungssystem
                                                                  3.1            Antriebssystem
                                                                  3.1.1 Hauptmotor
                                                                                 Siehe Absatz 1.3 dieses Anhangs.
                                                                  3.1.2 Propeller

                                                                                  Typ                               Festpropeller
                                                                                  Durchmesser                          7,0 m
                                                                                  Flügelzahl                             4
                                                                                  Anzahl der Propeller                   1

                                                                  3.2            Stromversorgungssystem
                                                                  3.2.1 Hilfsmotoren
                                                                                 Siehe Absatz 1.4 dieses Anhangs.
                                                                  3.2.2 Hauptgeneratoren

                                                                                  Hersteller                        XXX Electric

     Abbildung 2.1: Leistungskurve                                                Nennleistung                  560 kW (700 kVA)
                                                                                                                   × 900 rpm
     (Beispiel 3; Fall eines vor Inkrafttreten der EEDI-Vor-                      Spannung                           AC 450 V
     schriften gebauten Schiffes mit einem auf einen ab-
     weichenden Tiefgang kalibrierten Probefahrtergebnis)                         Anzahl der Generatoren                 3

     Eine aus dem Tankversuch und/oder, sofern ver-
     fügbar, numerischen Berechnungen gewonnene
     geschätzte Geschwindigkeits-Leistungskurve für
     den Ballasttiefgang, die auf den Entwurfstiefgang
     kalibriert ist, ist in Abbildung 2.2 dargestellt.

             16000




             14000

                                                                                  C       B
                                                                                                                    Entwurfstiefgang
             12000
                      PS,service                                                                                    Modellversuch
                                                                                                                    Entwurfstiefgang
                                                                             D                   A                  Probefahrt
    BHP/kw




             10000                                                                                                  Ballaesttiefgang
                                                                                                                    Modellversuch
                                                                                                                    Ballaesttiefgang
                                                                                                                    Probefahrt
             8000




             6000


                                                                           VS,service
             4000
                 10                11         12        13            14                 15              16
                                               Geschwindigkeit/Knoten

     Abbildung 2.2: Leistungskurve


                                        Auszug aus dem Verkehrsblatt Amtlicher Teil
17

Heft 18 – 2022                                            642                                  VkBl. Amtlicher Teil

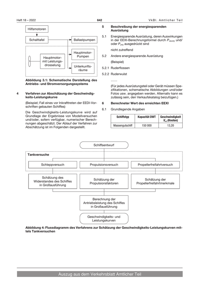
                                                              5     Beschreibung der energiesparenden
        Hilfsmotoren                                                Ausrüstung
                                                              5.1   Energiesparende Ausrüstung, deren Auswirkungen
         Schalttafel                     Ballastpumpen              in der EEXI-Berechnungsformel durch PAEeff(i) und/
                                                                    oder Peff(i) ausgedrückt sind
                                                                    nicht zutreffend
                                         Hauptmotor-
                                           Pumpen             5.2   Andere energiesparende Ausrüstung
                  Hauptmotor-
                  mit Leistungs-                                    (Beispiel)
                   drosselung            Unterkunfts-
                                                              5.2.1 Ruderflossen
                                           räume
                                                              5.2.2 Ruderwulst
      Abbildung 3.1: Schematische Darstellung des                   ……
      Antriebs- und Stromversorgungssystems
                                                                    (Für jedes Ausrüstungsteil oder Gerät müssen Spe-
                                                                    zifikationen, schematische Abbildungen und/oder
4     Verfahren zur Abschätzung der Geschwindig-                    Fotos usw. angegeben werden. Alternativ kann es
      keits-Leistungskurve                                          zulässig sein, den Verkaufskatalog beizufügen.)
      (Beispiel; Fall eines vor Inkrafttreten der EEDI-Vor-   6     Berechneter Wert des erreichten EEXI
      schriften gebauten Schiffes)
                                                              6.1   Grundlegende Angaben
      Die Geschwindigkeits-Leistungskurve wird auf
      Grundlage der Ergebnisse von Modellversuchen                       Schiffstyp    Kapazität DWT   Geschwindigkeit
      und/oder, sofern verfügbar, numerischer Berech-                                                    Vref (Knoten)
      nungen abgeschätzt. Der Ablauf der Verfahren zur
                                                                     Massengutschiff      150 000           13,20
      Abschätzung ist im Folgenden dargestellt.




                                                        Schiffsentwurf

        Tankversuche


                 Schleppversuch                      Propulsionsversuch                Propellerfreifahrtversuch



                 Schätzung des
                                                       Schätzung der                        Schätzung der
            Widerstandes des Schiffes
                                                     Propulsionsfaktoren               Propellerfreifahrtmerkmale
               in Großausführung



                                                       Berechnung der
                                                Antriebsleistung des Schiffes
                                                     in Großausführung


                                                   Geschwindigkeits- und
                                                     Leistungskurven

      Abbildung 4: Flussdiagramm des Verfahrens zur Schätzung der Geschwindigkeits-Leistungskurven mit-
      tels Tankversuchen




                              Auszug aus dem Verkehrsblatt Amtlicher Teil
18

VkBl. Amtlicher Teil                                                                          643                                             Heft 18 – 2022

6.2   Hauptmotor                                                                                Nr. 159 Bekanntmachung der Entschließung
                                                                                                        des Ausschusses für den Schutz der
          MCRME MCRME,lim                   PME          Brenn-           CFME      SFCME               Meeresumwelt MEPC.335(76) „Richt­
                                                                                                                                      „Richt-
          (kW)   (kW)                      (kW)          stoffart                  (g/kWh)
                                                                                                        linien von 2021 über das System zur
          15 000             9 940        8 250              Diesel-     3,206      166,5               Drosselung der Wellen­/Motorleistung
                                                                                                                        Wellen-/Motorleistung
                                                               öl                                       zur Einhaltung der EEXI­Anforderun­
                                                                                                                           EEXI-Anforderun-
6.3   Hilfsmotoren
                                                                                                        gen und über die Nutzung einer Leis­
                                                                                                                                        Leis-
                                                                                                        tungsreserve“, in deutscher Sprache
               PAE               Brennstoff-                     CFAE              SFCAE
              (kW)                   art                                         (g/kWh)                                Hamburg, den 01. September 2022
                                                                                                                        Az.: 11-3-0
               625                     Dieselöl                 3,206             220,0
                                                                                                Durch die Dienststelle Schiffssicherheit der BG Verkehr
6.4   Eisklasse                                                                                 wird hiermit die Entschließung des Ausschusses für den
                                                                                                Schutz der Meeresumwelt MEPC.335(76) „Richtlinien von
      nicht zutreffend
                                                                                                2021 über das System zur Drosselung der Wellen-/Motor-
6.5   Innovative elektrische Energieeffizienztechnologie                                        leistung zur Einhaltung der EEXI-Anforderungen und über
                                                                                                die Nutzung einer Leistungsreserve“, in deutscher Spra-
      nicht zutreffend
                                                                                                che amtlich bekannt gemacht.
6.6   Innovative mechanische Energieeffizienztechnolo-
      gie                                                                                                         Berufsgenossenschaft Verkehrswirtschaft
                                                                                                                               Post-Logistik
      nicht zutreffend
                                                                                                                            Telekommunikation
6.7   Kapazitätskorrekturfaktor                                                                                       – Dienststelle Schiffssicherheit –
                                                                                                                                     i. A.
      nicht zutreffend                                                                                                           K. Krüger
6.8   Berechneter Wert des erreichten EEXI                                                                                   Dienststellenleiter
      EEXI =
      ⎛              ⎞⎛                                    ⎞                                                  ENTSCHLIESSUNG MEPC.335(76)
      ⎜ ∏ Mj = 1 f j ⎟ ⎜ ∑nME
                          i = 1 PME(i) × CFME(i) × SFCME(i) +(PAE × CFAE × SFCAE)
                                                           ⎟
      ⎝              ⎠⎝                                    ⎠                                                   (angenommen am 17. Juni 2021)
                              fi × fc × fl × Capacity × fw × Vref × fm
                                                                                                     RICHTLINIEN VON 2021 ÜBER DAS SYSTEM ZUR
          ⎧⎛                                                             ⎞                ⎫          DROSSELUNG DER WELLEN­/MOTORLEISTUNG
                                                                                                                      WELLEN-/MOTORLEISTUNG
                                nPTI          neff
          ⎨ ⎜ ∏ Mj = 1 f j   × ∑ PPTI(i) -∑ f                × PAEeff(i) ⎟ × CFAE × SFCAE ⎬
          ⎩⎝
                                i=1           i = 1 eff(i)
                                                                         ⎠                ⎭          ZUR EINHALTUNG DER EEXI­ANFORDERUNGEN
                                                                                                                          EEXI-ANFORDERUNGEN
      +                                                                                                     UND ÜBER DIE NUTZUNG EINER
                              fi × fc × fl × Capacity × fw × Vref × fm
                                                                                                                 LEISTUNGSRESERVE
           ⎛ neff                                   ⎞
           ⎜ ∑i = 1 feff(i) × Peff(i) × CFME × SFCME⎟                                               DER AUSSCHUSS FÜR DEN SCHUTZ DER MEERES-
           ⎝                                        ⎠
      -                                                                                             UMWELT,
          fi × fc × fl × Capacity × fw × Vref × fm
                                                                                                    GESTÜTZT AUF Artikel 38 Buchstabe a des Übereinkom-
        1 × (8250 × 3,206 × 166,5) + (625 × 3,206 × 220,0) + 0 - 0                                  mens über die Internationale Seeschifffahrts-Organisati-
      =
                 1 × 1 × 1 × 150000 × 1 × 13,20 × 1                                                 on betreffend die Aufgaben, die dem Ausschuss für den
                                                                                                    Schutz der Meeresumwelt durch internationale Überein-
      = 2,45 (g - CO22 /ton × mile)                                                                 kommen zur Verhütung und Bekämpfung der Meeresver-
      erreichter EEXI: 2,45 g­CO
                            g-CO2 /Tonne × Seemeile                                                 schmutzung durch Schiffe übertragen werden,
                                                                                                 IM HINBLICK DARAUF, dass er mit Entschließung
                                             ***                                                 MEPC.328(76) die revidierte Anlage VI von MARPOL von
                                                                                                 2021 angenommen hat, deren Inkrafttreten nach ihrer als
                                                                                                 am 1. Mai 2022 erfolgt erachteten Billigung am 1. Novem-
(VkBl. 2022 S. 636)                                                                              ber 2022 erwartet wird,
                                                                                                 INSBESONDERE IM HINBLICK DARAUF, dass die re-
                                                                                                 vidierte Anlage VI von MARPOL von 2021 Änderungen
                                                                                                 enthält, die verbindliche zielgerichtete technische und
                                                                                                 betriebliche Maßnahmen zur Verringerung der Kohlen-
                                                                                                 stoffintensität der internationalen Schifffahrt betreffen,
                                                                                                    DES WEITEREN IM HINBLICK DARAUF, dass Schiffe mit
                                                                                                    einem System zur Drosselung der Wellen-/Motorleistung
                                                                                                    ausgerüstet werden dürfen, um die Regel 25 (Vorge-
                                                                                                    schriebener EEXI) einzuhalten,
                                                                                                    IN DER ERKENNTNIS, dass die zuvor genannten Ände-
                                                                                                    rungen der Anlage VI von MARPOL einschlägige Richtli-


                                                  Auszug aus dem Verkehrsblatt Amtlicher Teil
19

Heft 18 – 2022                                               644                                 VkBl. Amtlicher Teil

nien erfordern, die für eine einheitliche und wirksame Um-     0     Allgemeines
setzung der Regeln sorgen und der Industrie hinreichende
                                                                     Der Zweck dieser Richtlinien besteht darin, techni-
Vorlaufzeiten geben sich vorzubereiten,
                                                                     sche und betriebliche Bedingungen bereitzustellen,
NACH DER auf seiner sechsundsiebzigsten Tagung ER-                   die das SHaPoLi-/EPL-System bei der Einhaltung
FOLGTEN Prüfung des Entwurfs der Richtlinien von 2021                der EEXI-Anforderungen und bei der Nutzung einer
über das System zur Drosselung der Wellen-/Motorleis-                Leistungsreserve durch vorhandene Schiffe erfüllen
tung zur Einhaltung der EEXI-Anforderungen und über die              muss. Angesichts der Tatsache, dass der Aus-
Nutzung einer Leistungsreserve,                                      schuss derzeit über Richtlinien über das SHaPoLi-/
                                                                     EPL-System im Rahmen der EEDI-Anforderungen
1    BESCHLIESST die Richtlinien von 2021 über das Sys-              für neue Schiffe berät, können diese Richtlinien aber
     tem zur Drosselung der Wellen-/Motorleistung zur                gegebenenfalls nach einer entsprechenden Ent-
     Einhaltung der EEXI-Anforderungen und über die                  scheidung des Ausschusses unter Berücksichti-
     Nutzung einer Leistungsreserve, deren Wortlaut in der           gung der Umstände und technischen Grenzen vor-
     Anlage zu dieser Entschließung wiedergegeben ist;               handener Schiffe zu einer gemeinsamen Fassung
2    FORDERT die Verwaltungen AUF, die in der Anlage                 von EEXI- und EEDI-Richtlinien konsolidiert werden.
     wiedergegebenen Richtlinien bei der Erarbeitung und
     Verabschiedung innerstaatlicher Rechtsvorschriften        1     Begriffsbestimmungen
     zur Inkraftsetzung und Durchsetzung der in den Re-        1.1   Der Ausdruck „Wellenleistung“ bezeichnet die von
     geln 23 und 25 der Anlage VI von MARPOL festgeleg-              der Propellerwelle an die Propellernabe übertrage-
     ten Anforderungen zu berücksichtigen;                           ne mechanische Leistung. Sie entspricht dem Pro-
3    ERSUCHT die Vertragsparteien der Anlage VI von                  dukt von Drehmoment und Drehzahl der Welle. Im
                                                                     Falle von mehreren Propellerwellen bezeichnet die
     MARPOL und die anderen Mitgliedsregierungen, die
                                                                     Wellenleistung die Summe der von allen Propeller-
     in der Anlage wiedergegebenen Richtlinien Kapitä-
                                                                     wellen übertragenen Leistungen.
     nen, Seeleuten, Schiffseignern, Schiffsbetreibern und
     jeglichen anderen Beteiligten zur Kenntnis zu bringen;    1.2   Der Ausdruck „Motorleistung“ bezeichnet die vom
                                                                     Motor an die Propellerwelle übertragene Leistung.
4    STIMMT DARIN ÜBEREIN, diese Richtlinien unter Be-
                                                                     Im Falle von mehreren Motoren bezeichnet die Mo-
     rücksichtigung der bei ihrer Umsetzung gewonnenen               torleistung die Summe der von den Motoren an die
     Erfahrungen und angesichts der von der Organisation             Propellerwellen übertragenen Leistungen.
     gemäß Regel 25 Absatz 3 der Anlage VI von MARPOL
     bis zum 1. Januar 2026 abzuschließenden Überprü-          1.3   Der Ausdruck „System zur aufhebbaren Drosse-
     fung der EEXI-Regeln einer regelmäßigen Überprü-                lung der Wellenleistung“ (im Folgenden abgekürzt
     fung zu unterziehen;                                            als „SHaPoLi“ = Shaft Power Limitation) bezeichnet
                                                                     ein überprüftes und zugelassenes System für die
5    MERKT AN, dass die Richtlinien gegebenenfalls nach              Drosselung der maximalen Wellenleistung mit tech-
     einer entsprechenden Entscheidung des Ausschus-                 nischen Mitteln, die nur vom Kapitän oder vom nau-
     ses unter Berücksichtigung der Umstände und tech-               tischen Wachoffizier zum Zweck der Schiffssicher-
     nischen Grenzen vorhandener Schiffe mit möglichen               heit oder zur Rettung von Leben auf See aufgehoben
     zukünftigen Richtlinien über das System zur Drosse-             werden kann. (Siehe Abbildung 1 für eine Darstel-
     lung der Wellen-/Motorleistung im Rahmen der EEDI-              lung des Motor-Lastdiagramms.)
     Anforderungen konsolidiert werden können.
                                                               1.4   Der Ausdruck „System zur aufhebbaren Drosse-
                                                                     lung der Motorleistung“ (im Folgenden abgekürzt
                         ANLAGE                                      als „EPL“ = Engine Power Limitation) bezeichnet
                                                                     ein überprüftes und zugelassenes System für die
    RICHTLINIEN VON 2021 ÜBER DAS SYSTEM ZUR                         Drosselung der maximalen Motorleistung mit tech-
    DROSSELUNG DER WELLEN­/MOTORLEISTUNG                             nischen Mitteln, die nur vom Kapitän oder vom nau-
    ZUR EINHALTUNG DER EEXI­ANFORDERUNGEN                            tischen Wachoffizier zum Zweck der Schiffssicher-
           UND ÜBER DIE NUTZUNG EINER                                heit oder zur Rettung von Leben auf See aufgehoben
                LEISTUNGSRESERVE                                     werden kann. (Siehe Abbildung 1 für eine Darstel-
                                                                     lung des Motor-Lastdiagramms.)
                   Inhaltsverzeichnis                          1.5   Der Ausdruck „Leistungsreserve“ bezeichnet die
0    Allgemeines                                                     Wellen-/Motorleistung oberhalb der gedrosselten
                                                                     Leistung, die im Normalbetrieb nicht genutzt werden
1    Begriffsbestimmungen                                            kann, ausgenommen in dem Fall, dass die SHaPoLi/
2    Technische Anforderungen an das SHaPoLi-/EPL-                   EPL zum Zweck der Schiffssicherheit aufgehoben ist.
     System                                                    1.6   Der Ausdruck „MARPOL“ bezeichnet die jeweils
3    Nutzung einer Leistungsreserve durch die Aufhebung              gültige Fassung des durch die diesbezüglichen
     der Drosselung der Wellen-/Motorleistung                        Protokolle von 1978 und 1997 geänderten Interna-
                                                                     tionalen Übereinkommens von 1973 zur Verhütung
4    Bordhandbuch (OMM) für den Umgang mit der                       der Meeresverschmutzung durch Schiffe.
     SHaPoLi/EPL
                                                               1.7   Im Sinne dieser Richtlinien gelten die Begriffsbe-
5    Nachweis der Vorschriftsmäßigkeit des SHaPoLi-/                 stimmungen in der jeweils gültigen Fassung der
     EPL-Systems                                                     Anlage VI von MARPOL.


                              Auszug aus dem Verkehrsblatt Amtlicher Teil
20

Zur nächsten Seite