VkBl Nr. 21 2007

Verkehrsblatt Nr. 21 2007

/ 49
PDF herunterladen
VkBl. Amtlicher Teil                                     659                                                      Heft 21 – 2007

      tung ihrer natürlichen Ressourcen ausübt, ist die      3.4     Ein größerer Umbau eines Schiffes kann, wenn er
      Verwaltung die Regierung des betreffenden Küs-                 das Bewuchsschutzsystem berührt, nach dem Er-
      tenstaates;                                                    messen der Verwaltung als Neubau betrachtet wer-
2.2   bezeichnet der Ausdruck „Bewuchsschutzsystem“                  den.
      eine Beschichtung, Farbe, Oberflächenbehandlung,       3.5     Nach Reparaturarbeiten ist im Allgemeinen eine Be-
      Oberfläche oder Vorrichtung, die an einem Schiff               sichtigung nicht notwendig. Werden bei Reparaturar-
      dazu benutzt wird, um die Anlagerung unerwünsch-               beiten jedoch ungefähr fünfundzwanzig (25) Prozent
      ter Organismen einzudämmen oder zu verhindern;                 oder mehr des Bewuchsschutzsystems berührt, so
2.3   bezeichnet der Ausdruck „Unternehmen“ den Ei-                  sollen diese als Austausch oder Ersatz des Be-
      gentümer des Schiffes oder irgendeine sonstige                 wuchsschutzsystems betrachtet werden.
      Stelle oder Person, wie den Geschäftsführer oder       3.6     Ist ein durch Anlage 1 des Übereinkommens gere-
      den Bareboat-Charterer, die vom Eigentümer des                 geltes nichtkonformes Bewuchsschutzsystem einer
      Schiffes die Verantwortung für den Betrieb des                 Reparatur und/oder Instandsetzung ausgesetzt, so
      Schiffes übernommen hat und die durch Übernah-                 muss es durch ein konformes Bewuchsschutzsys-
      me dieser Verantwortung zugestimmt hat, alle                   tem repariert oder ersetzt werden.
      durch den Internationalen Code für Maßnahmen zur
      Organisation eines sicheren Schiffsbetriebs und zur    4    Antrag auf Besichtigung
      Verhütung der Meeresverschmutzung auferlegten          4.1  Vor jeder Besichtigung soll vom Unternehmen bei
      Pflichten und Verantwortlichkeiten zu übernehmen;           der Verwaltung oder bei einer anerkannten Stelle ein
2.4   bezeichnet der Ausdruck „Bruttoraumzahl“ den                Antrag auf Besichtigung, mit den nachstehend auf-
      nach den Vermessungsregeln in Anlage 1 des Inter-           geführten, für das Internationale Zeugnis über ein
      nationalen Schiffsvermessungs-Übereinkommens                Bewuchsschutzsystem erforderlichen Angaben über
      von 1969 oder in einem etwaigen Nachfolge-Über-             das Schiff gestellt werden:
      einkommen berechnete Bruttoraumzahl;                        .1 der Name des Schiffes;
2.5   bezeichnet der Ausdruck „Auslandfahrt“ eine Reise           .2 das Unterscheidungssignal;
      eines Schiffes, das die Flagge eines Staates zu füh-        .3 der Registerhafen;
      ren berechtigt ist, zu oder von einem Hafen, einer
      Werft oder einem der Küste vorgelagerten Um-                .4 die Bruttoraumzahl;
      schlagplatz im Hoheitsbereich eines anderen Staa-           .5 die IMO-Nummer.
      tes;                                                   4.2 Jedem Antrag auf Besichtigung sollen eine Erklä-
2.6   bezeichnet der Ausdruck „Länge“ die Länge gemäß             rung und begleitende Angaben des Herstellers des
      der Begriffsbestimmung im Internationalen Frei-             Bewuchsschutzsystems beigefügt werden, die
      bord-Übereinkommen von 1966 in der Fassung des              Übereinstimmung des auf das Schiff aufgebrachten
      Protokolls von 1988 zu jenem Übereinkommen oder             oder aufzubringenden Bewuchsschutzsystems mit
      in einem etwaigen Nachfolge-Übereinkommen;                  den Anforderungen des Übereinkommens bestäti-
2.7   bezeichnet der Ausdruck „Schiff“ ein Fahrzeug be-           gen, (mit Bezeichnung in der in Bezug genommenen
      liebiger Art, das in der Meeresumwelt betrieben             Fassung des Übereinkommens). Eine solche Erklä-
      wird; er schließt Tragflächenboote, Luftkissenfahr-         rung soll die nachstehend aufgeführten Angaben zur
      zeuge, Unterwassergerät, schwimmendes Gerät,                Verfügung stellen, die in der Spezifikation der Be-
      feste und schwimmende Plattformen, schwimmen-               wuchsschutzsysteme, wie sie sich in Anhang 1 zu
      de Lagereinheiten (FSUs) sowie schwimmende Pro-             Anlage 4 des Übereinkommens findet, enthalten
      duktions-, Lager- und Verladeeinheiten (FPSOs) ein.         sind:
                                                                  .1 Art(en) des/der verwendeten Bewuchsschutz-
3     Wann sind Besichtigungen vorgeschrieben?                          systems/ Bewuchsschutzsysteme 1
3.1   Eine erstmalige Besichtigung soll durchgeführt wer-         .2 Name(n) des/der Hersteller(s) des/der Bewuchs-
      den                                                               schutzsystems/Bewuchsschutzsysteme
      .1 bei einem Neubau;                                        .3 Bezeichnung(en) und Farbe(n) des/der Be-
      .2 bei einem vorhandenen Schiff vor der erstma-                   wuchsschutzsystems/ Bewuchsschutzsysteme
           ligen Ausstellung des Internationalen Zeugnis-         .4 wirksame(r) Bestandteil(e) und dessen/deren
           ses über ein Bewuchsschutzsystem für Schif-                  Registriernummer(n) der Chemical Abstracts
           fe nach Regel 2 oder 3 von Anlage 4 des                      Service (CAS-Nummer(n))
           Übereinkommens.                                   Die vom Besichtiger benötigten Angaben über die Kon-
3.2   Zur Verringerung der Belastung für die Unterneh-       formität des Produkts mit dem Übereinkommen sollen
      men und sonstige Beteiligte kann die Erstbesichti-     aus einer Erklärung des Herstellers des Bewuchsschutz-
      gung des Bewuchsschutzsystems auf vorhandenen          systems hervorgehen, die auf dem Behälter des Be-
      Schiffen am besten in Verbindung mit einer Besich-     wuchsschutzsystems und/oder in den Begleitpapieren
      tigung im Trockendock durchgeführt werden.             (zum Beispiel in den Sicherheitsdatenblättern (Material
3.3   Eine Besichtigung soll immer dann durchgeführt
      werden, wenn ein Bewuchsschutzsystem geändert          1   Beispiele für geeignete Formulierungen könnten sein: „zinnorgan-
      oder ersetzt wird. Diese Besichtigungen sollen den         freie selbstabreibende Art“; „zinnorganfreie konventionelle Art“;
                                                                 „biozidfreie silikonartige Farbe“; „sonstige Art“. Bei Bewuchs-
      gleichen Bereich abdecken wie in Abschnitt 5.2 be-         schutzsystemen, die keine biozid wirksamen Bestandteile enthalten,
      schrieben.                                                 soll die Formulierung „biozidfrei“ verwendet werden.




                              Auszug aus dem Verkehrsblatt Amtlicher Teil
21

Heft 21 – 2007                                           660                                  VkBl. Amtlicher Teil

Safety Data Sheets, MSDSs) oder ähnlichen Unterlagen)                   Überprüfung durchgeführt werden, um zu be-
zur Verfügung gestellt ist. Die begleitenden Unterlagen                 stätigen, dass das Bewuchsschutzsystem mit
und der betreffende Behälter sollen einander zuzuordnen                 den Anforderungen des Übereinkommens
sein.                                                                   übereinstimmt. Diese Überprüfung kann auf
                                                                        der Grundlage der Entnahme einer Probe
5     Durchführung der Besichtigungen                                   und/oder einer Erprobung und/oder verläss-
5.1   Besichtigungen bei Neubauten                                      licher Unterlagen beruhen, je nach dem, wie
      .1 Im Rahmen der Besichtigung soll überprüft                      dies aufgrund der Erfahrungen und der gege-
          werden, ob das Bewuchsschutzsystem nach                       benen Umstände als erforderlich angesehen
          der Spezifikation in den zusammen mit dem                     wird. Unterlagen zur Bestätigung können zum
          Antrag auf Besichtigung eingereichten Unterla-                Beispiel Sicherheitsdatenblätter (Material Safe-
          gen übereinkommenskonform ist. Die Besich-                    ty Data Sheets, MSDSs) oder ähnliche Unterla-
          tigung soll die Überprüfung einschließen, ob                  gen, eine Konformitätserklärung des Herstel-
          das Bewuchsschutzsystem identisch mit dem                     lers des Bewuchsschutzsystems, Rechnungen
          in dem Antrag auf Besichtigung spezifizierten                 der Werft oder des Herstellers des Bewuchs-
          Bewuchsschutzsystem ist.                                      schutzsystems sein. Für die Überprüfung des
                                                                        neuen Bewuchsschutzsystems gelten die Be-
      .2 Unter Berücksichtung der Erfahrungen und der                   stimmungen in Absatz 5.1.
          gegebenen Umstände soll die nach Absatz
          5.1.1 vorgeschriebene Feststellung eine oder             .3   Ist das bisherige Bewuchsschutzsystem ent-
          mehrere der nachstehenden Aufgaben ein-                       fernt worden, so soll zusätzlich zu den Bestim-
          schließen, je nach dem, wie dies zur Feststel-                mungen in Absatz 5.1 diese Entfernung über-
          lung der Konformität als erforderlich angese-                 prüft werden.
          hen wird:                                                .4   Ist eine Versiegelungsdeckschicht aufgebracht
          a) Überprüfung, ob die Produkt-Identitäts-                    worden, so soll eine Überprüfung durchgeführt
               merkmale auf den während des Aufbrin-                    werden, um zu bestätigen, dass die Bezeich-
               gens des Bewuchsschutzsystems verwen-                    nung, Art und Farbe der auf dem Schiff aufge-
               deten Behältern identisch sind mit denen                 brachten Versiegelungsdeckschicht mit den
               des Bewuchsschutzsystems, das im An-                     diesbezüglichen Angaben in dem Antrag auf
               trag auf Durchführung der Besichtigung                   Besichtigung übereinstimmen und dass das
               spezifiziert ist;                                        vorhandene Bewuchsschutzsystem von dieser
                                                                        Versiegelungsdeckschicht überzogen worden
          b) Entnahme einer Probe des Bewuchsschutz-
                                                                        ist. Zusätzlich gelten die Bestimmungen in Ab-
               systems;
                                                                        satz 5.1.
          c) Erprobung des Bewuchsschutzsystems;
                                                                   .5   Falls das vorhandene Bewuchsschutzsystem
          d) weitere vor Ort durchzuführende Überprü-                   unter die Maßnahmen zur Beschränkung des
               fungen.                                                  Einsatzes nach Anlage 1 des Übereinkommens
      .3 Die in Absatz 5.1.2 aufgeführten Überprü-                      fällt, so soll es spätestens bis zum 1. Januar
          fungsaufgaben sollen zu einem beliebigen                      2008 nach Absatz 5.2.3 entfernt oder nach Ab-
          Zeitpunkt vor, während oder nach dem Auf-                     satz 5.2.4 mit einer Versiegelungsdeckschicht
          bringen des Bewuchsschutzsystem auf das                       überzogen werden. Vor diesem Zeitpunkt darf
          Schiff durchgeführt werden, je nach dem, wie                  das vorhandene Bewuchsschutzsystem mit ei-
          dies zur Feststellung der Konformität als erfor-              nem nicht unter die Maßnahmen zur Beschrän-
          derlich angesehen wird. Diese Überprüfungen                   kung des Einsatzes nach Anlage 1 des Über-
          oder Erprobungen dürfen die Unversehrtheit,                   einkommens fallenden Bewuchsschutzsystem
          den Aufbau oder die Funktion des Bewuchs-                     überzogen werden, ohne dass das vorhandene
          schutzsystems nicht beeinträchtigen.                          Bewuchsschutzsystem entfernt oder versiegelt
5.2   Besichtigungen bei vorhandenen Schiffen, bei                      wird. Diese Möglichkeit soll im Internationalen
      denen ein neues Bewuchsschutzsystem aufge-                        Zeugnis über ein Bewuchsschutzsystem durch
      bracht werden soll                                                Ankreuzen des dafür vorgesehenen Kästchens
                                                                        angegeben werden. Für die Überprüfung des
      .1 Falls für das vorhandene Bewuchsschutzsys-
                                                                        neuen Bewuchsschutzsystems gelten die Be-
          tem durch ein Internationales Zeugnis über ein
                                                                        stimmungen in Absatz 5.1.
          Bewuchsschutzsystem bestätigt wird, dass
          das betreffende Bewuchsschutzsystem nicht          5.3   Besichtigungen bei vorhandenen Schiffen, die
          unter die Maßnahmen zur Beschränkung des                 lediglich ein Internationales Zeugnis über ein
          Einsatzes nach Anlage 1 des Übereinkommens               Bewuchsschutzsystem beantragen
          fällt, so gelten die Bestimmungen des Absat-             .1   Falls für das vorhandene Bewuchsschutzsys-
          zes 5.1.                                                      tem erklärt wird, dass es unter die Maßnahmen
      .2 Falls für das vorhandene Bewuchsschutzsys-                     zur Beschränkung des Einsatzes nach Anlage 1
          tem erklärt wird, dass es nicht unter die Maß-                des Übereinkommens fällt (dass es also verbo-
          nahmen zur Beschränkung des Einsatzes nach                    tene oder geregelte Bestandteile enthält), so
          Anlage 1 des Übereinkommens fällt, ohne dass                  kann auf Antrag ein Internationales Zeugnis
          dies durch ein Internationales Zeugnis über ein               über ein Bewuchsschutzsystem ausgestellt
          Bewuchsschutzsystem belegt ist, so soll eine                  werden, in dem vermerkt ist, dass das Be-



                              Auszug aus dem Verkehrsblatt Amtlicher Teil
22

VkBl. Amtlicher Teil                                       661                                           Heft 21 – 2007

           wuchsschutzsystem entfernt oder mit einer                                 ANHANG
           Versiegelungsdeckschicht überzogen wird,
           wenn dies nach dem Übereinkommen erforder-
                                                                 Leitlinie für konforme Bewuchsschutzsysteme
           lich wird.
      .2   Falls für das vorhandene Bewuchsschutzsys-        Zur Übereinstimmung mit Anlage I des Übereinkommens
           tem erklärt wird, dass es nicht unter die Maß-    gelten geringe Mengen an zinnorganischen Verbindun-
           nahmen zur Beschränkung des Einsatzes nach        gen als chemische Katalysatoren als zugelassen (zum
           Anlage 1 des Übereinkommens fällt, so soll ei-    Beispiel in Form von ein- oder zweiwertigen zinnorgani-
           ne Überprüfung durchgeführt werden, um zu         schen Verbindungen), sofern diese lediglich in einer Kon-
           bestätigen, dass das Bewuchsschutzsystem          zentration vorhanden sind, durch die die Beschichtung
           mit den Anforderungen des Übereinkommens          keine Wirkung als Biozid entfaltet. Praktisch gesehen sol-
           übereinstimmt. Diese Überprüfung kann auf         len zinnorganische Verbindungen bei Verwendung als
           der Grundlage eines Prüfmusters und/oder ei-      Katalysatoren in keiner größeren Konzentration als 2 500
           ner Prüfung an Ort und Stelle und/oder ver-       Milligramm reines Zinn je Kilogramm Farbe in Trocken-
           lässlicher Unterlagen beruhen, wobei stets die    masse vorhanden sein.
           bisherigen Erfahrungen und die jeweiligen Be-
           gleitumstände zugrunde zu legen sind. Solche
           Unterlagen zur Bestätigung können zum Bei-
           spiel Sicherheitsdatenblätter (Material Safety
           Data Sheets, MSDSs) oder ähnliche Unterla-
           gen, eine Konformitätserklärung des Herstel-
           lers des Bewuchsschutzsystems, Rechnungen
           der Werft oder des Herstellers des Bewuchs-       (VkBl. 2007 S. 657)
           schutzsystems sein. Wird durch diese Angaben
           kein begründeter Zweifel erhoben, dass das
           aufgebrachte Bewuchsschutzsystem überein-
           kommenskonform ist, so kann auf dieser
           Grundlage ein Internationales Zeugnis über ein
           Bewuchsschutzsystem ausgestellt werden.
5.4   Besichtigungen bei Schiffen vor dem Inkrafttre-
      ten des Übereinkommens
      .1   Eine Verwaltung darf vor Inkrafttreten des
           Übereinkommens Besichtigungen von Schiffen
           nach Maßgabe dieser Richtlinien durchführen
           und kann sodann eine dementsprechende
           Konformitätsbescheinigung ausstellen.
                                                             Nr. 176 Richtlinien für die Entnahme kleiner
      .2   Schiffen, die durch eine solche Konformitäts-             Stichproben des Bewuchsschutz-
           bescheinigung eine vollständige Übereinstim-              systems an Schiffen
           mung ihres Bewuchsschutzsystems mit dem
           Übereinkommen belegen können, darf auf die-
           ser Grundlage vorbehaltlich der Erfüllung et-     Die Internationale Seeschifffahrts-Organisation (IMO) hat
           waiger zusätzlicher Anforderungen der Verwal-     im Oktober 2001 auf einer Konferenz das Internationale
           tung zum Zeitpunkt des Inkrafttretens des         Übereinkommen von 2001 über die Beschränkung des
           Übereinkommens ein Internationales Zeugnis        Einsatzes schädlicher Bewuchsschutzsysteme auf Schif-
           über ein Bewuchsschutzsystem ausgestellt          fen (AFS-Übereinkommen) verabschiedet. Dieses Über-
           werden.                                           einkommen ist völkerrechtlich noch nicht in Kraft ge-
                                                             treten. In Deutschland hat der Ratifizierungsprozess
6     Ausstellung oder Bestätigung eines Internationa-       begonnen.
      len Zeugnissen über ein Bewuchsschutzsystem            Am 18. Juli 2003 hat der Ausschuss für den Schutz der
6.1   Ein Internationales Zeugnis über ein Bewuchs-          Meeresumwelt der IMO (MEPC) die Richtlinien für die
      schutzsystem samt Spezifikation der Bewuchs-           Entnahme kleiner Stichproben des Bewuchsschutzsys-
      schutzsysteme soll                                     tems an Schiffen (MEPC.104(49)) angenommen. Diese
                                                             Richtlinien werden nachstehend bekannt gegeben. Sie
      .1   bei zufrieden stellendem Abschluss der erst-
                                                             sind ab dem Zeitpunkt anzuwenden, an dem das AFS-
           maligen Besichtigung ausgestellt werden;
                                                             Übereinkommen für Deutschland gilt.
      .2   soll im Falle der Anerkennung eines von einer
           anderen Vertragspartei ausgestellten Interna-     Bonn, den 12. Oktober 2007
           tionalen Zeugnisses über ein Bewuchsschutz-       WS 24/6247.5/3-2
           system ausgestellt werden;
      .3   soll bei zufrieden stellendem Abschluss einer                              Bundesministerium für Verkehr,
           Besichtigung nach dem Austausch oder Ersatz                                 Bau- und Stadtentwicklung
           eines Bewuchsschutzsystems bestätigt wer-                                          Im Auftrag
           den.                                                                                 Kolbeck



                              Auszug aus dem Verkehrsblatt Amtlicher Teil
23

Heft 21 – 2007                                           662                                  VkBl. Amtlicher Teil

             Entschließung MEPC.104(49)                                              Anlage
            Angenommen am 18. Juli 2003
                                                               Richtlinien für die Entnahme kleiner Stichproben
Richtlinien für die Entnahme kleiner Stichproben des              von Bewuchsschutzsystemen an Schiffen
         Bewuchsschutzsystems an Schiffen
                                                             Inhaltsverzeichnis
Der Ausschuss für den Schutz der Meeresumwelt,
   gestützt auf Artikel 38(a) des Übereinkommens über        1 Allgemeines
   die Internationale Seeschifffahrts-Organisation unter       Zweck
   Hinweis auf Artikel 38 Buchstabe a des Übereinkom-          Aufbau der Richtlinien
   mens über die Internationale Seeschifffahrts-Organi-
   sation betreffend die Aufgaben des Ausschusses für        2 Begriffsbestimmungen
   den Schutz der Meeresumwelt, die ihm durch interna-
   tionale Übereinkommen zur Verhütung und Bekämp-           3 Sicherheit des Personals bei der Probenentnahme
   fung der Meeresverschmutzung übertragen worden              Gesundheit
   sind;
                                                               Sicherheit
   sowie unter Hinweis darauf, dass die im Oktober 2001
   abgehaltene Internationale Konferenz von 2001 über        4 Stichproben und Analyse
   die Beschränkung des Einsatzes schädlicher Be-              Verfahrensweise bei der Probenentnahme
   wuchsschutzsysteme auf Schiffen das Internationale
   Übereinkommen von 2001 über die Beschränkung                Technische Aspekte
   des Einsatzes schädlicher Bewuchsschutzsysteme              Strategie und Anzahl der Probenentnahmen
   auf Schiffen (im folgenden als das „AFS-Übereinkom-         Analyse
   men“ bezeichnet) nebst vier Konferenzentschließun-
   gen angenommen hat;                                       5 Schwellenwerte und Toleranzgrenzen
   in Kenntnis der Tatsache, dass Artikel 11 Abs. 1 des        Schwellenwerte
   AFS-Übereinkommens vorschreibt, dass die Schiffe,           Toleranzbereich
   für die dieses Abkommen gilt, in allen Häfen, Werften
   oder der Küste vorgelagerten Umschlagplätzen einer        6 Bestimmung der Übereinstimmung
   Vertragspartei durch von dieser Vertragspartei er-
   mächtigten Bediensteten überprüft werden können,          7 Dokumentation und Aufzeichnung der Daten
   damit festgestellt werden kann, ob das Schiff diesem
   Übereinkommen entspricht und dass diese Überprü-          Anhang:                Mögliche Verfahrensweisen für
   fung auch die Entnahme einer kleinen Stichprobe des                              die Entnahme kleiner Stichpro-
   Bewuchsschutzsystem des Schiffes umfasst,                                        ben und Analysen von Bewuchs-
                                                                                    schutzsystemen an Schiffen –
   ferner in Kenntnis der Tatsache, dass sich Artikel 11                            zinnorganische Verbindungen
   Abs. 1 des AFS-Übereinkommens auf die von der Or-
   ganisation auszuarbeitenden Richtlinien bezieht und       Verfahren 1
   dass nach Konferenzentschließung 2 die Organisation       Anhang zu Verfahren 1: Protokoll über das Verfahren zur
   dringend um die Ausarbeitung dieser Richtlinien er-                              Entnahme einer kleinen Stichpro-
   sucht wird, damit sie vor dem Inkrafttreten des Über-                            be zur Übereinstimmung mit dem
   einkommens angenommen werden,                                                    Übereinkommen in Bezug auf das
                                                                                    Vorhandensein von als Biozid wir-
   ferner in Kenntnis der Tatsache, dass durch die Ent-
                                                                                    kenden zinnorganischen Verbin-
   schließungen MEPC.102(48) und MEPC.105(49) die
                                                                                    dungen in Bewuchsschutzsyste-
   Organisation die „Richtlinien für die Besichtigung von
                                                                                    men auf Schiffskörpern
   Bewuchsschutzsystemen an Schiffen und für die Er-
   teilung von Zeugnissen über solche Besichtigungen“        Verfahren 2
   und die „Richtlinien für die Überprüfung von Be-          Anhang zu Verfahren 2: Protokoll über die Probenentnah-
   wuchsschutzsystemen an Schiffen“ ausgearbeitet                                   me und Analyse von Bewuchs-
   hat, und                                                                         schutzsystemen auf Schiffs-
                                                                                    körpern – zinnorganische Verbin-
   nach Prüfung der auf der 11. Sitzung des Unteraus-
                                                                                    dungen
   schusses „Flaggenstaatliche Implementierung“ abge-
   gebenen Empfehlung                                        1   Allgemeines
   1. nimmt die Richtlinien für die Entnahme kleiner         Zweck
       Stichproben des Bewuchsschutzsystems an Schif-
                                                             1.1 Artikel 11 des Internationalen Übereinkommens von
       fen an, deren Wortlaut in der Anlage zu dieser Ent-
                                                                 2001 über die Beschränkung des Einsatzes schäd-
       schließung enthalten ist;
                                                                 licher Bewuchssysteme auf Schiffen, im Folgenden
   2. fordert die Regierungen auf, die Richtlinien sobald        bezeichnet als „das Übereinkommen“, und Ent-
       wie möglich oder jedenfalls dann anzuwenden,              schließung MEPC.102(48) Richtlinien für Besichti-
       wenn das Übereinkommen für sie anwendbar                  gungen von Bewuchsschutzsystemen an Schiffen
       wird; und                                                 und die Ausstellung von Zeugnissen verweisen zur
   3. empfiehlt eine regelmäßige Überprüfung der Richt-          Überprüfung und Besichtigung auf die Probenent-
       linien.                                                   nahme als Verfahrensweise zur Feststellung, ob das



                              Auszug aus dem Verkehrsblatt Amtlicher Teil
24

VkBl. Amtlicher Teil                                       663                                              Heft 21 – 2007

      Bewuchsschutzsystem eines Schiffes dem Über-             1.7   Für den Fall, dass weitere Bewuchsschutzsysteme
      einkommen entspricht.                                          unter die Maßnahmen zur Beschränkung des Ein-
1.2   Die „Richtlinien für die Entnahme kleiner Stichpro-            satzes nach dem Übereinkommen fallen werden,
      ben von Bewuchsschutzsystemen an Schiffen“, im                 oder im Hinblick auf neu gewonnene Erfahrungen
      Folgenden bezeichnet als „die Richtlinien“, bestim-            kann die künftige Überprüfung oder Änderung die-
      men Verfahren für Probenentnahmen zur Unterstüt-               ser Richtlinien erforderlich werden.
      zung der Wirksamkeit von Besichtigungen und
      Überprüfungen, um sicherzustellen, dass das Be-          2     Begriffsbestimmungen
      wuchsschutzsystem eines Schiffes das Überein-
                                                               Im Sinne dieser Richtlinien
      kommen einhält und dadurch:
                                                               2.1   bezeichnet der Ausdruck „Verwaltung“ die Regie-
      .1   den Verwaltungen und anerkannten Organisa-                rung eines Staates, unter dessen Zuständigkeit das
           tionen bei der einheitlichen Anwendung der                Schiff betrieben wird. Bei einem Schiff, das berech-
           Bestimmungen des Übereinkommens hilft;                    tigt ist, die Flagge eines Staates zu führen, ist die
      .2   den Kontrollbeamten des Hafenstaats Leitli-               Verwaltung die Regierung dieses Staates. Bei fest-
           nien über Verfahrensweisen und Erledigung bei             en oder schwimmenden Plattformen, die zur Erfor-
           der Entnahme kleiner Stichproben gemäß Arti-              schung und Ausbeutung des an die Küste angren-
           kel 11 Abs. 1 Buchstabe b des Übereinkom-                 zenden Meeresbodens und Meeresuntergrunds
           mens gibt und                                             eingesetzt sind, über die der Küstenstaat Hoheits-
      .3   den Unternehmen, Schiffbauern, Herstellern                rechte zum Zwecke der Erforschung und Ausbeu-
           von Bewuchsschutzsystemen und ebenso al-                  tung ihrer natürlichen Ressourcen ausübt, ist die
           len anderen interessierten Beteiligten hilft, den         Verwaltung die Regierung des betreffenden Küs-
           Ablauf der im Sinne des Übereinkommens er-                tenstaats;
           forderlichen Probenentnahme zu verstehen.           2.2   bezeichnet der Ausdruck „Bewuchsschutzsystem“
                                                                     eine Beschichtung, Farbe, Oberflächenbehandlung,
1.3   Allerdings müssen Überprüfungen oder Besichti-
                                                                     Oberfläche oder Vorrichtung, die an einem Schiff
      gungen nicht unbedingt immer die Probenentnah-
                                                                     dazu benutzt wird, um die Anlagerung unerwünsch-
      me von Bewuchsschutzsystemen umfassen.
                                                                     ter Organismen einzudämmen und zu verhindern;
1.4   Diese Richtlinien gelten für Besichtigungen und          2.3   bezeichnet der Ausdruck „Schwellenwert“ die Kon-
      Überprüfungen von Schiffen, die diesem Überein-                zentrationsgrenze der zu untersuchenden Chemika-
      kommen unterliegen.                                            lie, bei deren Unterschreitung die Übereinstimmung
1.5   Der einzige Zweck der in diesen Richtlinien be-                mit dem Übereinkommen angenommen wird;
      schriebenen Maßnahmen zur Probenentnahme ist             2.4   bezeichnet der Ausdruck „Unternehmen“ den Ei-
      die Feststellung der Übereinstimmung mit den Be-               gentümer des Schiffes oder irgendeine sonstige
      stimmungen des Übereinkommens. Infolgedessen                   Stelle oder Person, wie den Geschäftsführer oder
      beziehen sich solche Maßnahmen auf keine Berei-                den Bareboat-Charterer, die vom Eigentümer des
      che, die nicht durch das Übereinkommen geregelt                Schiffes die Verantwortung für den Betrieb des
      werden (selbst wenn sich solche Bereiche auf die               Schiffes übernommen hat und die durch Übernah-
      Leistungsfähigkeit eines Bewuchsschutzsystems                  me dieser Verantwortung zugestimmt hat, alle
      auf dem Schiffskörper beziehen; die handwerkliche              durch den Internationalen Code für Maßnahmen
      Qualität bei der Aufbringung des Systems einge-                zur Organisation eines sicheren Schiffsbetriebs
      schlossen).                                                    und zur Verhütung der Meeresverschmutzung auf-
                                                                     erlegten Pflichten und Verantwortlichkeiten zu
Aufbau der Richtlinien                                               übernehmen;
1.6   Diese Richtlinien enthalten:                             2.5   bezeichnet der Ausdruck „Länge“ gemäß der Be-
      .1   einen Hauptteil, der sich auf allgemeine As-              griffsbestimmung im Internationalen Freibord-Über-
           pekte der „Verfahren zur Probenentnahme“ im               einkommen von 1966 in der Fassung des Protokolls
           Zusammenhang mit der Regelung der unter                   von 1988 zu jenem Übereinkommen oder in einem
           die Maßnahmen zur Beschränkung des Einsat-                etwaigen Nachfolge-Übereinkommen;
           zes nach dem Übereinkommens fallenden Be-           2.6   bezeichnet der Ausdruck „Toleranzbereich“ den nu-
           wuchsschutzsysteme bezieht und                            merischen Bereich, der dem Schwellenwert hinzu-
      .2   Anhänge, die die einzelnen Verfahren im Zu-               gefügt wird und den Bereich anzeigt, in dem er-
           sammenhang mit der Probenentnahme und                     mittelte Konzentrationen über dem Schwellenwert
           der Analyse der unter die Maßnahmen zur Be-               auf Grund der anerkannten analytischen Ungenau-
           schränkung des Einsatzes nach dem Überein-                igkeit zulässig sind, und somit nicht die Annahme
           kommens fallenden Bewuchsschutzsysteme                    der Übereinstimmung beeinträchtigt.
           beschreiben. Diese Anhänge dienen lediglich
           als Beispiele für Probenentnahmen und analy-        3     Sicherheit des Personals bei der Probenentnahme
           tische Methoden; es können auch andere Ver-
           fahren der Probenentnahme, die nicht in einem       Gesundheit
           dieser Anhänge beschrieben werden, vorbe-           3.1   Personen, die die Probenentnahme durchführen,
           haltlich der Zustimmung der Verwaltung oder               sollten sich dessen bewusst sein, dass Lösungs-
           des Hafenstaates angewendet werden.                       mittel oder andere Materialien, die für die Proben-



                               Auszug aus dem Verkehrsblatt Amtlicher Teil
25

Heft 21 – 2007                                                        664                                         VkBl. Amtlicher Teil

        entnahme verwendet werden, schädlich sein kön-                            Bewuchsschutzsystem aufgebracht ist) soll vermie-
        nen. Nasse Farbe, von der eine Stichprobe genom-                          den werden. Die Probenentnahme neben oder unter
        men wird, kann ebenfalls schädlich sein. In diesen                        Bereichen, bei denen das Bewuchsschutzsystem
        Fällen sollen das Sicherheitsdatenblatt für das Lö-                       beschädigt ist, soll ebenfalls vermieden werden.
        sungsmittel oder die Farbe gelesen und geeignete                          Nachdem eine Entnahmestelle auf dem Schiffskör-
        Vorsichtsmaßnahmen getroffen werden. Dies bein-                           per ausgewählt wurde, soll jeglicher Bewuchs mit
        haltet normalerweise das Tragen langer lösungs-                           Wasser und einem weichen Schwamm/Lappen vor
        mittelbeständiger Handschuhe aus geeignetem                               der Probenentnahme entfernt werden (um eine
        undurchlässigem Material, zum Beispiel Nitrilkaut-                        Kontaminierung der Probe zu vermeiden). Nach
        schuk.                                                                    Möglichkeit soll die Probenentnahme, wenn sie im
3.2     Die bei der Probenentnahme vom Schiffskörper                              Trockendock erfolgt, nach dem Abwaschen des
        entfernten Mengen trockener Bewuchsschutzfarbe                            Schiffskörpers mit Wasser durchgeführt werden.
        sind normalerweise zu klein, um bedeutende ge-                      4.3   Die Materialien, die für Verfahren zur Entnahme klei-
        sundheitliche Auswirkungen zu verursachen.                                ner Stichproben verwendet werden, sollen idealer-
                                                                                  weise billig, weit verfügbar und daher leicht zu-
Sicherheit                                                                        gänglich sein, unabhängig von den Bedingungen
3.3 Der Zugang zu Schiffen zur Durchführung einer si-                             und Örtlichkeiten für die Probenentnahmen.
     cheren Probenentnahme kann sich als schwierig er-                      4.4   Das Verfahren zur Probenentnahme soll idealer-
     weisen. Wenn ein Schiff längsseits festgemacht ist,                          weise leicht und zuverlässig durchgeführt werden
     müssen die Personen, die die Probenentnahme                                  können. Personen, die Probenentnahmen durch-
     durchführen, sicherstellen, dass sie einen sicheren                          führen, sollen geeignete Schulungen in den Verfah-
     Zugang zum Erreichen des Schiffskörpers, wie zum                             ren erhalten.
     Beispiel von den Plattformen, Krankörben, Hubar-
     beitsbühnen und Landstegen, haben. Sie müssen                          Technische Aspekte
     sicherstellen, dass sie durch Geländer oder einen                      4.5 Das Verfahren zur Probenentnahme soll die Art des
     Klettergurt geschützt werden oder andere Vor-                              auf dem Schiff verwendeten Bewuchsschutzsys-
     sichtsmaßnahmen treffen, damit sie nicht zwischen                          tems berücksichtigen.
     dem Kai und dem Schiff ins Wasser fallen. Im Zwei-
                                                                            4.6 Farbmuster zur Analyse während der Besichtigung
     felsfall soll bei der Probenentnahme eine Rettungs-
                                                                                und der Ausstellung von Zeugnissen können ent-
     weste oder unter Umständen eine Sicherheitsleine
                                                                                weder als nasse Farbe 2 aus Farbbehältern oder als
     angelegt werden.
                                                                                trockener Farbfilm vom Schiffskörper entnommen
3.4 Der Zugang zu Schiffen im Trockendock soll auf si-                          werden.
     chere Art und Weise erfolgen. Ein Gerüst soll sicher
     aufgebaut werden und Hubarbeitsbühnen oder                             Strategie und Anzahl der Probenentnahmen
     Auslegerbühnen sollen ordnungsgemäß errichtet                          4.7 Die Strategie der Probenentnahme hängt von der
     und instand gehalten werden, wenn sie als Zugang                            Genauigkeit des Verfahrens, den analytischen Erfor-
     benutzt werden. Es soll ein System geben, um die                            dernissen, den Kosten und der erforderlichen Zeit
     Anwesenheit eines Prüfers im Dockbereich zu pro-                            sowie dem Zweck der Probenentnahme ab. Die An-
     tokollieren, und er soll vorzugsweise begleitet wer-                        zahl der Farbeinzelproben, die von jeder Probe zu
     den. Sicherheitsgeschirr soll in den Körben der                             nehmen sind, soll so hoch sein, dass eine bestimm-
     Hubarbeitsbühnen getragen werden, wenn diese                                te Menge als Ersatz / zur Aufbewahrung für den Fall
     benutzt werden.                                                             von Streitigkeiten zurückbehalten werden kann. Bei
                                                                                 Trockenproben sollen dreifache Farbmuster an je-
4    Stichproben und Analysen                                                    dem Entnahmepunkt in unmittelbarer Nähe zueinan-
                                                                                 der auf dem Schiffskörper entnommen werden (z. B.
Verfahrensweise bei der Probenentnahme
                                                                                 im Abstand von 10 cm zueinander).
4.1 Während der Probenentnahme soll darauf geachtet
                                                                            4.8 In den Fällen, in denen festgestellt wird, dass auf
     werden, dass die Unversehrtheit und die Funktions-
                                                                                 dem Schiffskörper mehr als ein Bewuchsschutzsys-
     fähigkeit des Bewuchsschutzsystems nicht beein-
                                                                                 tem vorhanden ist, zu dem Zugang möglich ist, soll-
     trächtigt werden.
                                                                                 ten Proben von jeder Art des Systems entnommen
4.2 Die Probenentnahme in Bereichen, in denen die Be-                            werden:
     wuchsschutzbeschichtung sichtbar beschädigt ist 1
     oder im Blockmarkierungsbereich auf dem Flach-                       2   Zur Vermeidung der Kontaminierung sollen Proben nasser Farbe aus
     boden des Schiffes (auf dem nicht das unversehrte                        neu geöffneten Farbbehältern entnommen werden. Die Farbe soll
                                                                              umgerührt werden, um vor der Probenentnahme für eine gleichmä-
                                                                              ßige Konsistenz zu sorgen und alle Geräte sollen vor ihrer Benut-
1   Bei Instandsetzungen werden die Bewuchsschutzbeschichtungen               zung gereinigt werden. Flüssige Farbproben sollen in entsprechend
    auf Schiffskörpern oft beschädigt. Das Ausmaß des Schadens                versiegelten Verpackungen aufbewahrt werden, die nicht auf die
    schwankt von Schiff zu Schiff und beschädigte Bereiche sind deut-         Probe reagieren und sie nicht kontaminieren. Bei Beschichtungen
    lich erkennbar. Typischerweise lässt sich der Schaden auf be-             aus mehreren Komponenten (bei denen vor Aufbringung der Be-
    stimmte Bereiche beschränken, z. B. Ankerkettenschaden (Bugbe-            schichtung die Mischung mehrerer Komponenten vor Ort erforder-
    reich), Fenderschaden (senkrechte Seiten des Schiffskörpers),             lich ist), soll von jeder Komponente eine Probe genommen und das
    „Durchrostungsbereiche“ (tiefer liegender Rost verursacht Fehlfunk-       erforderliche Mischverhältnis aufgezeichnet werden. Wird eine Pro-
    tionen an der Beschichtung) oder in manchen Fällen kleinere Schä-         be nasser Farbe aus einem Behälter genommen, sind nähere Anga-
    den verstreut über größere Bereiche des Schiffskörpers (in der Re-        ben der Farbe zu verzeichnen, zum Beispiel nähere Angaben, die für
    gel bei älteren Schiffen, bei denen die ursprüngliche Beschichtung        die IAFS-Bescheinigung erforderlich sind, zusammen mit der Char-
    mehrfach neu beschichtet wurde).                                          gennummer für das Produkt.




                                     Auszug aus dem Verkehrsblatt Amtlicher Teil
26

VkBl. Amtlicher Teil                                         665                                           Heft 21 – 2007

      .1   zu Besichtigungszwecken oder für gründliche-              quantitativer Hinsicht erfolgen, damit die Schwel-
           re Überprüfungen gemäß Artikel 11 Abs. 2 des              lenwerte innerhalb der vorgegebenen Toleranz
           Übereinkommens, soll zum Nachweis der Über-               exakt bestätigt werden können. Auf der Grundlage
           einstimmung des Bewuchsschutzsystems die                  dieser Daten soll ein spezifischer Toleranzbereich
           Anzahl der Entnahmestellen repräsentative Be-             für die Verbindung abgeleitet und in der Beschrei-
           reiche des Schiffskörpers widerspiegeln; und              bung der Methode für die Verbindung festgelegt
      .2   zu Überprüfungszwecken gemäß Artikel 11                   werden. Im allgemeinen soll der Toleranzbereich
           Abs. 1 des Übereinkommens sollen Entnahme-                nicht höher sein als die Standardabweichung unter
           stellen auf dem Schiffskörper gewählt werden,             typischen Prüfungsbedingungen und soll unter kei-
           die repräsentative Bereiche erfassen, in denen            nen Umständen über 30% liegen.
           das Bewuchsschutzsystem intakt ist. In Abhän-
           gigkeit von der Größe des Schiffes und der Zu-      6     Bestimmung der Übereinstimmung
           gänglichkeit des Schiffskörpers sollen mindes-
                                                               6.1   Es wird von der Übereinstimmung mit der Anlage 1
           tens vier Entnahmestellen in gleichem Abstand
                                                                     des Übereinkommens ausgegangen, wenn das Be-
           entlang der Länge des Schiffskörpers verteilt
                                                                     wuchsschutzsystem zinnorganische Verbindungen
           werden. Wird die Probenentnahme im Trocken-
                                                                     in einer Größenordnung enthält, die keine biozide
           dock vorgenommen, sollen die Flachbodenbe-
                                                                     Wirkung auslöst. In der Praxis sollen zinnorganische
           reiche des Schiffskörpers zusätzlich zu den
                                                                     Verbindungen nicht über 2.500 mg (gemessen als
           senkrechten Seiten beprobt werden, da in die-
                                                                     Sn) pro Kilo Trockenfarbe vorhanden sein.
           sen verschiedenen Bereichen unterschiedliche
           Bewuchsschutzssysteme vorhanden sein kön-           6.2   Die Übereinstimmung hängt wesentlich von den Er-
           nen.                                                      gebnissen der Stichprobe und der nachfolgenden
                                                                     Analyse ab. Da jede Methode der Probenentnahme
Analyse                                                              und Analyse ihre bestimmte Genauigkeit hat, kann ei-
4.9   Die Analyse des Bewuchsschutzsystems soll idea-                ne verbindungsspezifische Toleranzgrenze in Grenz-
      lerweise zu minimalem analytischem Arbeitsauf-                 fällen bei Konzentrationen, die sich sehr nah am
      wand und wirtschaftlichen Kosten führen.                       Schwellenwert bewegen, angewendet werden.
4.10 Die Analyse soll von einem anerkannten Labor, das         6.3   Im allgemeinen wird von einer Übereinstimmung
     die ISO-Norm 17025 erfüllt, oder einer anderen ent-             ausgegangen, wenn die Ergebnisse der Proben
     sprechenden Einrichtung nach dem Ermessen der                   unterhalb des Schwellenwerts liegen.
     Verwaltung oder des Hafenstaates vorgenommen
     werden.                                                   7     Dokumentation und Aufzeichnung der Daten
4.11 Das Analyseverfahren sollte zügig durchgeführt            7.1   Die Ergebnisse des Verfahrens zur Entnahme von
     werden, damit die Ergebnisse schnell den zur                    Stichproben sollen vollständig in einem für jede Me-
     Durchsetzung des Übereinkommens ermächtigten                    thode konzipierten Protokoll dokumentiert werden.
     Bediensteten mitgeteilt werden können.                          Beispiele hierfür sind in den Anhängen zu diesen
4.12 Die Analyse soll zu eindeutigen Ergebnissen führen,             Richtlinien enthalten.
     die in Maßeinheiten gemäß dem Übereinkommen               7.2   Diese Protokolle sollen vom Probenehmer ausge-
     und der damit verbundenen Richtlinien ausgedrückt               füllt und der zuständigen Behörde des Hafenstaates
     werden. So sollen zum Beispiel die Ergebnisse für               oder der Verwaltung vorgelegt werden.
     zinnorganische Verbindungen ausgedrückt werden
     in: mg Zinn (Sn) pro kg Trockenfarbe.

ANMERKUNG: Die Methoden für die Probenentnahme
           von Verbindungen und für die Analyse
           werden in den Anhängen zu diesen
           Richtlinien beschrieben.
                                                                                        Anhang

5     Schwellenwerte und Toleranzgrenzen                             Mögliche Verfahrensweisen für die Entnahme
Schwellenwerte                                                     kleiner Stichproben und Analysen von Bewuchs-
                                                                              schutzsystemen an Schiffen
5.1   Die Analyse soll in quantitativer Hinsicht erfolgen,                 – zinnorganische Verbindungen –
      damit die Schwellenwerte innerhalb der vorgegebe-
      nen Toleranz exakt bestätigt werden können.
5.2   In den Fällen, in denen die Einhaltung oder Nicht-       Verfahren 1
      einhaltung annehmbarer Grenzwerte nicht klar ist,        1    Zweck dieses Verfahrens im Hinblick auf die
      sollten weitere Stichproben oder andere Verfahren             Entnahme kleiner Stichproben und auf Analysen
      zur Probenentnahme in Betracht gezogen werden.                von Bewuchsschutzsystemen
                                                               1.1 Dieses Verfahren wurde zur Beschreibung einer
Toleranzbereich                                                     schnellen Verfahrensweise zur Feststellung entwi-
5.3   Die statistische Zuverlässigkeit für jedes Verfahren          ckelt, ob Bewuchsschutzsysteme auf Schiffskör-
      zur Entnahme kleiner Stichproben (für Verbindun-              pern zinnorganische Verbindungen enthalten, die
      gen) soll dokumentiert werden. Die Analyse soll in            als Biozide wirken. Dieses Verfahren wurde so ent-



                              Auszug aus dem Verkehrsblatt Amtlicher Teil
27

Heft 21 – 2007                                            666                                  VkBl. Amtlicher Teil

      wickelt, dass Versiegelungen nicht beeinträchtigt             .1   während des gesamten Entnahmeverfahrens
      werden und jedes darunter liegende bewuchshem-                     und der Analyse sollen Kontrollproben ent-
      mende Mittel (oder Grundierung) nicht beim Verfah-                 nommen werden, um mögliche Kontamination
      ren zur Probenentnahme entnommen wird. Dieses                      nachzuweisen;
      Verfahren empfiehlt sich nicht für Bewuchsschutz-
      systeme auf Siliziumbasis.
                                                                    .2   die Masse der Glasfaserauflagen wird mit einer
1.2   Dieses Verfahren beruht auf einer Analyse in zwei                  Genauigkeit von mindestens 1 mg gewogen.
      Schritten. In einem ersten Schritt wird die Gesamt-                Das Gewicht soll für jede Probe dokumentiert
      menge an Zinn als Indikator für eine zinnorganische                werden;
      Verbindung ermittelt. Der zweite Schritt, die Ermitt-
      lung spezifischer zinnorganischer Verbindungen, ist
                                                                    .3   das Gewebe soll unmittelbar vor der Probenent-
      nur erforderlich, wenn das Ergebnis des ersten
                                                                         nahme gründlich mit Isopropylalkohol (0,7 ml
      Schritts positiv ist.
                                                                         pro Probe) angefeuchtet werden;

2     Probenentnahmegerät und Materialien                           .4   nachdem eine Entnahmestelle auf dem Schiffs-
2.1   Das Probenentnahmegerät ist so konstruiert, dass                   körper ausgewählt wurde, soll jeglicher vorhan-
      dadurch nur die obere Farbschicht entfernt wird,                   dener Bewuchs mit Wasser und einem weichen
      die darunter liegende Farbe (Versiegelung, Grund-                  Schwamm/Lappen vor Entnahme der Probe
      ierung usw.) soll intakt bleiben. Das Ergebnis wird                des Bewuchsschutzsystems entfernt werden
      erzielt durch Verwendung einer beweglichen Schei-                  (um die Kontaminierung der Probe zu vermei-
      be (exzentrische Rotation), die mit einem Schleif-                 den). Nach Möglichkeit soll die Probenentnah-
      material wie Quarz oder Glasfasergewebe be-                        me, wenn sie im Trockendock durchgeführt
      schichtet ist. Das Schleifmaterial muss zur                        wird, nach der Reinigung des Schiffskörpers
      Verwendung als Trägersubstanz für die beseitigte                   mit Wasser erfolgen;
      Farbe geeignet sein.
2.2   Das Gerät erfüllt folgende Anforderungen:                     .5   danach wird das Probenentnahmegerät über
                                                                         einen Zeitraum von 5 Sekunden vor dem An-
      .1   das Gerät muss unabhängig von einem ortsfes-                  schalten des Geräts an die zu prüfende Fläche
           ten Stromverorgungsgerät arbeiten. Das Gerät                  gehalten;
           kann von einem Elektromotor (batteriebetrie-
           ben) oder mechanisch von einer laufwerk-
           ähnlichen Feder angetrieben werden, voraus-              .6   das Probenentnahmegerät wird eingeschaltet
           gesetzt sie ist in der Lage, die Bewegung über                und durch die kreisförmige Bewegung des
           den erforderlichen Zeitraum aufrechtzuerhal-                  Glasfasergewebes gegen die Oberfläche des
           ten;                                                          Schiffs wird Farbe entfernt;

      .2   die angewendete Kraft muss während des Ein-
           satzes konstant bleiben und der Bereich zur              .7   das Probenentnahmegerät sollte für einen
           Entfernung der Farbe muss festgelegt sein;                    angemessenen Zeitraum auf die Oberfläche
                                                                         des Schiffskörpers aufgebracht werden, da-
      .3   das Schleifmaterial muss inert gegenüber che-                 mit die Auflage mindestens 20 mg Farbe auf-
           mischen Lösungsmitteln und Säuren sein und                    nehmen kann. Wenn die Farbe der Auflage
           darf nur Spuren von Zinn oder Zinnverbindun-                  nach der Probenentnahme der Farbe der Be-
           gen enthalten; und                                            schichtung des Schiffskörpers entspricht,
      .4   die Menge der entfernten Farbe nach einem                     wurde in der Regel eine ausreichende Probe
           üblichen Einsatz des Geräts muss nachweis-                    entnommen;
           bar mehr als 20 mg pro Probe betragen.
2.3   Das im folgenden Kapitel beschriebene Gerät hat               .8   das Analyseverfahren in zwei Schritten erfor-
      sich für das Verfahren zur Entnahme einer kleinen                  dert, dass jede Probe dreifach zu entnehmen ist.
      Stichprobe als geeignet erwiesen. Es kann aller-                   Zwei dieser Muster sollen als Muster „A“ und
      dings auch jedes andere Gerät verwendet werden,                    Muster „B“ zu bezeichnet werden. Zusätzlich
      vorausgesetzt dieses Gerät erfüllt nachweisbar alle                soll ein drittes Muster zur Aufbewahrung/als Er-
      oben aufgeführten Anforderungen.                                   satz entnommen werden. Diese Muster sollen
                                                                         so nah wie möglich nebeneinander, jedoch nicht
2.4   Das hier beschriebene Probenenentnahmegerät be-                    überlappend, entnommen werden und
      steht aus einer Polyäthylen-Scheibe, auf die mit Hil-
      fe eines O-Rings Glasfasergewebe aufgebracht
      werden kann. Die Scheibe wird auf einer exzen-                .9   nach Beendigung der Probenentnahme sollen
      trisch rotierenden Achse bewegt.                                   die Glasfaserauflagen trocknen und erneut ge-
                                                                         wogen werden.

3     Probenentnahmeverfahren                                 3.2   Die Proben sollten in sachgerecht versiegelten Ver-
3.1   Das Probenentnahmeverfahren soll wie folgt durch-             packungen aufbewahrt werden, die nicht mit der
      geführt werden:                                               Probe reagieren oder sie kontaminieren.



                               Auszug aus dem Verkehrsblatt Amtlicher Teil
28

VkBl. Amtlicher Teil                                   667                                            Heft 21 – 2007




                     Schaubild A: Schematischer Querschnitt des Probenentnahmegeräts



Die angegebenen Punkte A und B werden gegen die            5     Analyseverfahren
Oberfläche gedrückt. Die mit dem Glasfasergewebe be-
deckte Polyäthylen-Scheibe wird mit einer Schwingungs-     5.1   Die beiden Bestandteile, aus denen sich das Analy-
weite von 2 r (r = 1,0 cm) auf der Oberfläche bewegt.            severfahren zusammensetzt, werden im Ablaufdia-
                                                                 gramm B dargestellt. Die beiden Bestandteile oder
Spezifische Angaben:                                             Schritte sind wie folgt:
Auf die Farboberfläche
                                                                 .1   (SCHRITT 1) –   Analyse des Musters A auf
aufgebrachte Kraft:              25N (Newton)
                                                                                      Vorhandensein von Zinn
Effektiver Durchmesser                                                                und
der Scheibe                      5 cm
Umdrehungshäufigkeit             6 Umdrehungen/s                 .2   (SCHRITT 2) –   kosten- und zeitintensivere
                                                                                      Analyse des Musters B, die
Verwendetes Lösungsmittel:       Isopropylalkohol                                     nur durchgeführt wird, wenn
                                 (0,8 ml pro Probe).                                  Schritt 1 zu positiven Ergeb-
                                                                                      nissen führt. Diese Prüfung
4     Strategie der Probenentnahme                                                    beinhaltet die Analyse zinn-
                                                                                      organischer Verbindungen
4.1   Die Probenentnahme ist gemäß Nummer 4 der                                       mittels Gas-Chromatogra-
      Richtlinien durchzuführen.                                                      phie/Massenspektrometrie
4.2   In den meisten Fällen ist die Zugänglichkeit aller                              (GC/MS) nach der Derivati-
      Teile des Schiffskörpers zu Prüfungszwecken nicht                               sierung und liefert spezifische
      gegeben. Eine Mindestanzahl von acht unabhängi-                                 Angaben über die jeweiligen
      gen Proben soll von verschiedenen zugänglichen                                  Arten zinnorganischer Verbin-
      Teilen des Schiffskörpers entnommen werden.                                     dungen.



                             Auszug aus dem Verkehrsblatt Amtlicher Teil
29

Heft 21 – 2007                                              668                                   VkBl. Amtlicher Teil

Schritt 1: Untersuchung des Gesamtzinngehalts in               Toleranzbereich
           Muster „A“                                          6.2 Der Toleranzbereich liegt bei 500 mg Zinn pro kg
Analyse des Musters „A“                                             Trockenfarbe (20%) zusätzlich zum Schwellenwert.
5.2 Muster „A“ wird auf die Masse des Gesamtzinnge-            Zinnorganische Verbindungen, die als Biozide oder
     halts pro Kilogramm Trockenfarbe (oder Zinnmas-
                                                               Katalysatoren wirken
     se pro Probe) durch Anwendung der induktiv ge-
     koppelten Plasma-Massenspektrometrie analysiert,          6.3 Wie im Anhang zu Entschließung MEPC.102(48) an-
     nachdem das Material durch Aufschließen mit Kö-                gegeben, soll zur Bestimmung der Übereinstim-
     nigswasser löslich gemacht wurde. Es soll darauf               mung mit Anlage 1 des Übereinkommens darauf
     hingewiesen werden, dass jedes andere wissen-                  hingewiesen werden, dass kleine Mengen zinnorga-
     schaftlich anerkannte Verfahren zur Zinnanalyse                nischer Verbindungen, die als chemische Katalysa-
     (wie z. B. AAS, RFA und ICP-OES) zulässig ist.                 toren wirken (wie zum Beispiel monosubstituierte
                                                                    und disubstituierte zinnorganische Verbindungen)
Schritt 2: Charakterisierung zinnorganischer Verbin-                zulässig sind, vorausgesetzt, sie wirken nicht als
           dungen in Muster „B“                                     Biozide.
Analyse des Musters „B“                                        6.4 Anorganische Verunreinigungen in den Bestandtei-
5.3 Sollte die Analyse des Musters „A“ zu positiven Er-             len der Farben sollen berücksichtigt werden.
     gebnissen führen, sollen die zinnorganischen Ver-         6.5 Derzeit kommen weder zinnorganische Katalysato-
     bindungen in Muster „B“ identifiziert und quantifi-            ren noch anorganische Verunreinigungen in Kon-
     ziert werden. Muster „B“ kann unter Anwendung                  zentrationen vor, die nahe beim Schwellenwert
     des folgenden Verfahrens analysiert werden:                    (2.500 mg Sn/kg Trockenfarbe) oder höher liegen.
     .1 Lösungsmittelextraktion von Muster „B“ unter-               Allerdings kamen zinnorganhaltige Verbindungen,
           stützt durch Behandlung im Ultraschallbad;               soweit sie in der Farbe als Biozide vorhanden waren,
     .2 Derivatisierung mit Äthylmagnesiumbromid;                   in Konzentrationen bis zu 50.000 mg Sn/kg Tro-
                                                                    ckenfarbe vor. Daher ist die Unterscheidung zwi-
     .3 Reinigung des Extrakts;
                                                                    schen Bewuchsschutzsystemen, die zinnorganische
     .4 Analyse mittels hochauflösender Gaschromo-                  Verbindungen enthalten, die als Biozide wirken, und
           tographie/Massenspektrometrie (GC/MS) und                Bewuchsschutzsystemen, die diese Verbindungen
     .5 Quantifizierung unter Verwendung von Tripro-                nicht oder nicht in Konzentrationen enthalten, in de-
           pylzinn als Standardsubstanz.                            nen sie als Biozide wirken, zuverlässig möglich.
5.4 Jede gleichermaßen zuverlässige Methode zur che-
     mischen Identifizierung und Quantifizierung von
     zinnorganischen Verbindungen ist zulässig.                7    Bestimmung der Übereinstimmung
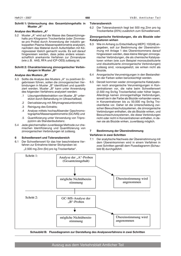
                                                               Verfahren in zwei Schritten
6     Schwellenwert und Toleranzbereich
                                                               7.1 Der analytische Nachweis der Übereinstimmung mit
6.1   Der Schwellenwert für das hier beschriebene Ver-              dem Übereinkommen wird in einem Verfahren in
      fahren zur Entnahme kleiner Stichproben ist:                  zwei Schritten gemäß dem Flussdiagramm (Schau-
        „2.500 mg Zinn (Sn) pro kg Trockenfarbe“.                   bild B) durchgeführt.

        Schritt 1:
                                     Analyse der „A“-Proben
                                       (Gesamtzinngehalt)




                                     mögliche Nichtüberein-                           Übereinstimmung wird
                                           stimmung                                       angenommen

        ------------------------------------------------------------------------------------------------------------

        Schritt 2:                     GC-MS-Analyse der
                                          „B“-Proben



                                     mögliche Nichtüberein-                           Übereinstimmung wird
                                           stimmung                                   angenommen


            Schaubild B: Flussdiagramm zur Darstellung des Analyseverfahrens in zwei Schritten



                              Auszug aus dem Verkehrsblatt Amtlicher Teil
30

Zur nächsten Seite