/ 159
PDF herunterladen
Erfassung der Zahlungen an externe Berater 
gern. Beschlüssen des HA vom 28.06.2006, RPA vom 10.03.2017 und des HA vom 13.02.2019 
Vertragsvolumen über 50.000 € 
A C D E F G H I j J K 
Kap./7Itel 
(nur 9 Zahlen 
erfassen) a) Vertragsmeck (stichwortartig) 
b) Benennung des Rahmenvertrags (ggf.) 
c) Normsetzung (ja/nein) 
d) Laufzelt (Monat/Jahr - Monat/Jahr) Name des Auftragnehmers / 
keine Zustimmung zur 
Namensnennung Aus- 
schrei- 
bung 
(ja/neln) Vertrags- 
volumen 
in € Honorar 
nach 
Aufwand/ 
Stunden 
0a) Ausgaben in 
2018 
in € Verpflichtungen in E 
(nur Zahlen) Summe 
G bis J 
2019 2020 . 2021 
1211 526 02 a) Beratungs- und Unterstützungsleistungen für 
maritime Satelliten KommUnikations- und 
Navigationssysteme 
b) RV Nr. 62322.6/1-DLR des BMVI 
c) Normsetzung (nein) 
d) Laufzeit: 01/2018 - 12/2020 Deutsches Zentrum für Luft- 
und Raumfährt ja 107.100 ja 0 35.700 35.700 0 71.400 
1211 526 02 a) Entwicklung von bestimmten technischen 
Anforderungen zur Nachrüstung von 
stickoxidreduzierenden 
Abgasnachbehandlungssystemen für schwere 
Kommunalfahrzeuge • 
b).---
c) Normsetzung (nein) • 
d) Laufzeit 06/2018 - 09/2018 TÜV Nord Mobilität GmbH & 
Co. KG 50.742 0 50.742 0 0 50.742 
1211 526 02 a) Erarbeitung einer neuen Beurteilüngsrichtlinie für 
den gesamten Geschäftsbereich
b) ---
c) Normsetzung (nein) .  . 
d) Laufzeit: 11/2018 - 12/2019 0+P Consult GmbH 60.000 7.088 52.912 0 0 60.000 
1211 526 02 a) Gutachten zum Prüfverfahren Einhaltung NOX- 
Grenzwert Pkw 
b) --
c) Normsetzung (nein) 
d) Laufzeit: 11/2018 - 03/2019 TUV Nord Mobilität GmbH & 
Co. KG ja 75.732 ja 0 75.732 0 0 75.732 
1211 526 02 a) IT-Grundsatzentscheidungen für ein 
verkehrsträgerübergreifendes Monitoring und 
Berichtswesen für große Infrastrukturprojekte 
b) RV Nr. 20405 des BVA 
c) Normsetzung (nein) 
d) Laufzeit: 09/2018 - 01/2019 Orphoz GmbH & Co. KG 498.729 95.855 402.874 0 0 498.729 
1211 526 02 a) Projektmonitoring Digitale Kapazitätssteigerung (DK) 
71 
b) 
c) Normsetzung (nein) 
d) Laufzeit: 03/2017- 09/2019 , ARGE PMO II GbR ja 186.830 ja 51.254 89.811 0 0 141:065 
10 von 17
118

Erfassung der Zahlungen an externe Berater 
gern. Beschlüssen des HA vom 28.06.2006, RPA vom 10.03.2017 und des HA vom 13.02.2019 
Vertragsvolumen über 50.000 € 
A C D E F G H I I J K 
Kapfleet 
'(nur 9 Zahlen 
erfassen) a) Vertragszweck (stichwortartig) 
b) Benennung des Rahmenvertrags (ggf.) 
c) Normsetzung (ja/nein) 
d) Laufzelt (Monat/Jahr - Monat/Jahr) Name des Auftragnehmers'! 
keine Zustimmung zur 
Namensnennung Aus. 
schrei- 
bung 
(ja/nein) Vertrags- 
volumen 
In E Honorar 
nach 
Aukvand/ 
Stunden 
(Ja) Ausgaben In 
2018 
In E Verpflichtungen In E 
(nur Zahlen) Summe 
G bis J 
2019 _ 2020 2021 
1211 526 02 a) Erstellung eines Nutzungskonzeptes für das Areal 
der Schiffshebewerke in Niederfinow 
b) --
c)Norrnsetzung (nein) 
d) Laufzeit: 09/2018 - 09/2019 keine Zustimmung zur 
Namensnennung ja 71.329 ja 19.992 51.337 0 0 71.329 
1211 526 02 ä) Objektüberwachung - Bauüberwachung; Abnahme 
und Dokumentation der Bauausführung f.d. Pilotbetrieb 
"Sicheres Ausleiten der Standkontrollen des BAG" • 
b) Vertrag Nr. 151/2016 des BAG 
c) Normsetzung (nein) 
d) Laufzeit: 07/2016 - 06/2019". AVTZonsult GmbH ja 81.139 ja 15.203 7.534 0 0 22.737 
1211 526 02 a) Studie Sicherheitsmodell Seeschiffe 12)
b) —
c) Normsetzung (nein) 
d) Laufzeit: 06/2016 - 12/2018 admaris GmbH, DNV GL SE 225.678 102.040 82.261 0 0 184.301 
1211 526 02 a) Rechtsberatung im Zusammenhang mit der 
Umsetiung des Staatsyertrages zwischen Deutschland 
und Dänemark über die Errichtung einer festen 
Fehmambeltquerung 
b) --- .
c) Normsetzung (nein) 
d) Laufzeit: - Beiten Burkhardt 
Rechtsanwaltsgesellschaft 
mbH 
- ja max 50.000 
pro Jahr ja 0 0 0 0 0 
1211 526 02 a) Seeschifffahrtspolitik 13)
b) -- 
c) Normsetzung (nein) 
d) Laufzeit: 01/2015 - 12/2018 Ernst & Young GmbH 
Wirtschaftsprüfungsgesellsch 
aft ja 564.000 ja, 49.433 0 0 0 49.433 
1211 526 02 a) Rechtliche Beratung Galileo Bodenkontrollzentrum 
14) 
b) --- . 
c) Normsetzung (nein) _ 
d) Laufzeit: 05/2017 - 12/2019 Beiten Burkhardt 
Rechtsanwaltsgesellschaft 
mbH ja 122.101 ja 48.031 0 0 0 48.031 
11 von 17
119

Erfassung der Zahlungen an externe Berater 
gern., Beschlüssen des HA vom 28.06.2006, RPA vom 10.03.2017 und des HA vom 13.02.2019 
Vertragsvolumen über 50,000 € 
A C D E F G H 1 I J K 
Kap./Titel 
(nur 9 Zahlen 
erfassen) a) Vortragszweck (stichwortartig) 
b) Benennung des Rahmenvertrags (ggf.) 
c) Normsetzung (ja/nein) 
d) Laufzeit (Monat/Jahr - Monat/Jahr) Name des Auftragnehmers / 
keine Zustimmung zur 
Namensnennung Aus- 
schrei- 
bung 
(ja/nein) Vertrags- 
volumen 
in E Honorar 
nach 
Aufwand/ 
Stunden 
(je) Ausgaben In 
2018 
In E Verpflichtungen In E 
(nur Zahlen) Summe 
G bis J 
2019 2020 2021 
1211 526 02 a) Entwicklung eines risikobasierten Vorschlags für 
Sicherheitsanforderungen zur Verwendung von 
Schiffsbrennstoffen mit niedrigem Flammpunkt 
b) ---
c) Normsetzung (nein) 
d) Laufzeit: 11/2017 - 05/2018 DNV GL SE ja 210.831 ja ' ' 210.831 0 0 0 210.831 
1211 526 02 a) Beratungsleistungen zu allgemeinen umwelt- und 
klimarelevanten kraftfahrzeugtechnischen 
Fragestellungen 
b) RV Nr. 17105 des BMVI 
c) Normsetzung (nein)
d) Laufzeit: 12/2017 - 12/2019  
-1 ja 142.800 ja 55.547 19.040 24.276 0 98.863 
1211 526 02 a) Lotsenstelle Fonds Nachhaltige Mobilität - Vergabe 
von Beratungsleistungen 
b) ---
c) Normsetzung (nein) 
d) Laufzeit: 12/2017 - 06/2018 PD - Berater der öffentlichen 
Hand GmbH ja 530.074 ja 464.605 0 0 0 464.605 
1211 526 02 a) Beratung bei der Durchführung von insgesamt vier 
weiteren Betreibermodellen (OPP-Projekte) im 
Bundesfernstraßenbau 
b) -- 
c) Normsetzung (nein) 
d) Laufzeit: 06/2004 - vsl. 2020 ARGE Investitionsbank 
Schleswig-Holstein / Schüßlei,
Plan Ingenieurgesellschaft 
mbH ja 15.000.000 ja 167.087 200.000 200.000 150.000 717.087 
1211 526 02 a) Erfassung von Kontroll- und Wartungstätigkeiten im 
Rahmen der Streckenwartung / Streckenkontrolle 1)
b) ---
c) Normsetzung (nein) 
d) Laufzeit: 06/2015 - 12/2018 keine Zustimmung zur 
Namensnennung 57.894 863 0 0 0 863 
1211 526 02 a) Beratung bei der Klärung besonders komplexer 
Fragestellungen im Zuge der Vertragsdurchführung der 
OPP-Pilotprojekte 2) 
b) -- 
c) Normsetzung (nein ) 
d) Laufzeit: 12/2013 - vsl. 2019 (projektabhängig) ARGE Investitionsbank 
Schleswig-Holstein / Schüßler 
Plan Ingenieurgesellschaft - 
mbH ja 1.500.000 ja 192.997 122.000 0 0 314.997 
12 von 17
120

Erfassung der Zahlungen an externe Berater 
gern. Beschlüssen des HA vorn 28.06.2006, RPA vom 10.03.2017 und des HA vorn 13.02.2019 
Vertragsvolumen über 50.000 € 
A C D E F G H l 1 1 J K 
Kap.frifel 
(nur 9 Zahlen 
erfassen) a) Vertragszweck (stichwortartig) 
b) Benennung des Rahmenvertrags (ggf.) 
c) Normsetzung (ja/nein) 
d) Laufzeit (Monat/Jahr - Monat/Jahr) Name des Auftragnehmers / 
keine Zustimmung zur 
Namensnennung Aus- 
schrei- 
bung 
(ja/nein) Vertrags- 
volumen 
In E Honorar 
nach 
Aufwand/ 
Stunden 
Ga) Ausgaben In 
2018 
in E Verpflichtungen in E 
(nur Zahlen) Summe
G bis J 
2019 2020 2021 
1211 526 02 a) Beratung bei der Vorbereitung und Durchführung der 
Vergabeverfahren von vier Projekten der zweiten 
Staffel von OPP-Projekten im Bundesfemstraßenbau 
b) --
c) Normsetzung (nein) 
d) Laufzeit: 0212011 - vsl. 2020 (projektabhängig) AMNRA-Rechtsanwalts- 
gesellschaft mbH ja 7.046.942 ja 405.776 400.000 350.000 0 1.155.776 
1211 526 02 a) Beratung bei der Planung und Vorbereitung der 
Gestaltung des Veränderungsprozesses im Rahmen 
der Reform der Bundesfemstraßenverwaltung - Bereich 
Organisation 15)
b) ---
c) Normsetzung (nein) 
d) Laufzeit: 09/2015 - 07/2017 GvW Graf von Westphalen 
Rechtsanwälte Steuerberater 
Partnerschaft MbB ja 2.700.000 ja 24.841 0 0 0 24.841 
1211 526 02 a) Ingenieurtechnische Begleitung/Beratung des BMVI 
bei der Umsetzung von ÖPP-Projekten im 
Bundesfernstraßenbau . 
b) Abruf aus RV Nr. 1681 des BMVI 
c) Normsetzung (nein) 
d) Laufzeit: 05/2017 - vsl. 2021 (projektabhängig) Schüßler-Plan 
Ingenieurgesellschaft mbH ja 981.750 ja 89.041 150.000 150.000 150.000 539.041 
1211 526 02 a) Rechtliche Begleitung/Beratung des BMVI bei der 
Umsetzung von ÖPP-Projekten im 
Bundesfernstraßenbau 
b) Abruf aus RV Nr. 1664 des BMVI 
c) Normsetzung (nein) 
d) Laufzeit: 04/2017 - vsl. 2021 (projektabhängig) Norton Rose Fulbright LLP ja 2.770.320 ja 528.672 500.000 500.000 500.000 2.028.672 
13 von 17
121

Erfassung der Zahlungen an externe Berater 
gern. Beschlüssen des HA vom 28.06.2006, RPA vom 10.03.2017 und des HA vom 13.02.2019 
Vertragsvolumen über 50.000 € 
A C D E F G H f 1 i J K 
Kapfile' 
(nur 9 Zahlen 
erfassen) a) Vertragszweck (stichwortartig) 
b) Benennung des Rehmenvertrags (ggf.) 
c) Normsetzung (ja/nein) 
d) Laufzeit (Monat/Jahr - Monat/Jahr) Name des Auftragnehmers / 
keine Zustimmung zur 
Namensnennung Aus- 
schrei- 
bung 
(ja/nein) Vertrags- 
volumen 
In € Honorar 
nach 
Aufwand/ 
Stunden 
(ja) Ausgaben in 
2018 
in E Verpflichtungen In E 
(nur Zahlen) Summe 
G bis J 
2019 2020 2021 
1211 526 02 a) Erstellung eines rechtlichen Gutachtens zur 
Beurteilung der Prozessrisiken des KG im 
Zusammenhang mit einer Klage des KN, gerichtet auf 
die Anpassung der Regelungen zur Vergütung des KN 
bei dem ÖPP-Projekt BAB A 1 Bremen - Hamburg 16)
b) — 
c) Normsetzung (nein) 
d) Laufzeit: 07/2017 - 12/2017 KPMG 
Rechtsanwaltsgesellschaft 
mbH ja 196.350 ja 5.331 0 0 0 5.331 
1211 526 02 a) Individuelle Unterstützung der 
Projektveranwortlichen der Pilotprojekte bei der 
Konzeption, Implementierung und Durchführung eines 
Risikomanagements nach ISO31000 bzw. DIN EN 
31010 bei Pilotprojekten 17)
b) ---
c) Normsetzung (nein) • 
d) Laufzeit: 04/2016 - 04/2021, ARGE SSF Ingenieure AG / 
RiskConsult GmbH 670.490 158.059 150.000 150.000 0 458.059 
14 von 17
122

Erfassung der Zahlungen an externe Berater 
gern. Beschlüssen des HA vom 28.06.2006, RPA vom 10.03.2017 und des HA vom 13.02.2019 
Vertragsvolumen über 50.000 € 
A C D E F G H I I J K 
Kap.Mtel 
(nur 9 Zahlen 
erfassen) a) Vertragszweck (stichwortartig) 
b) Benennung des Rahmenvertrags (ggf.) 
c) Normsetzung (ja/nein) 
d) Laufzeit (Monat/Jahr - Monat/Jahr) Name des Auftragnehmers / 
keine Zustimmung zur 
Namensnennung Aus- 
schrei- 
bung 
(Ja/nein) Vertrags- 
volumen 
In E Honorar 
nach 
Aufwand/ 
Stunden 
(Ja) Ausgaben In 
2018 
in E Verpflichtungen In E 
(nur Zahlen) Summe — 
G bis J 
2019 2020 2021 
1211 526 02 a) Untersuchungen, Analysen und Bewertungen zur 
Optimierung der Auftragsverwaltung im Bereich der. 
Bundesfernstraßen 1)
b) --
c) Normsetzung (nein) 
d) Laufzeit: 05/2016 - 12/2020 , ARGE Schüßler-Plan / Alfen 
Consult 475.548 0 200.000 220.000 0 420.006' 
1211 526 02 a) Beratungs- und Unterstützungsleistungen für das 
BMVI im Rahmen der Diskussion von Maßnahmen zur 
Verminderung von Treibhausgasemissionen in der 
Seeschifffahrt (IMO) 2)
b) — 
c) Normsetzung (nein) 
d) Laufzeit: 07/2017 - 12/2019 CE Deift ja 350.000 ja 69.916 140.000 0 0 209.916 
1213 532 01 a) Unterstützungsdienstleistungen im Windows-Umfeld 
(Beratung und Umsetzung) 18)
b)--
c) Normsetzung (nein) 
d) Laufzeit: 09/2014 - 09/2018 keine Zustimmung zur 
Namensnennung ja 320.000 ja 211.006 0 0 0 211.006 
1214 54711, a) Steuerberatung - vorrangig Umsatzsteuer und 
Körperschaftssteuer bei der Bundesanstalt für
Straßenwesen 
b) --
c) Normsetzung (nein) 
d) Laufzeit 05/2017 - 04/2022 Rödl & Partner GmbH ja 115.000 ja 8.812 20.000 20.000 20.000 68.812 
1214 53201 a) Konzeption und Entwurf eines Datenmodells für 
Verkehrsstatistik -Datenbank 
b) Abruf aus RV Nr. 20070 3PM des KdB 
c) Normsetzung (nein) 
d) Laufzeit: 08/2018 - 02/2019 keine Zustimmung zur 
Namensnennung ja 71.254 ja 29.739 41.515 0 0 71.254 
1218 539 09 a) Projektmanagement zur Optimierung des 
Personalcontrollings in der GDWS 
b) RV Nr. B2.21 - 9915/12: W1 Los 2 des BVA
c) Normsetzung (nein) 
d) Laufzeit: 01/2016 - 05/2018 keine Zustimmung zur 
Namensnennung 
--ja 547.371 ja 15.954 0 0 0 15.954 
15 von 17
123

Erfassung der Zahlungen an externe Berater 
gern. Beschlüssen des HA vom 28.06.2006, RPA vom 10.03.2017 und des HA vom 13.02.2019 
Vertragsvolumen über 50.000 
A C D E F G i H I J K 
Kap./Titel 
(nur 9 Zahlen 
erfassen) a) Vertragszweck (stichwortartig) 
b) Benennung des Rahmenvertrags (ggf.) 
c) Normsetzung (ja/nein) 
d) Laufzeit (Monat/Jahr • Monat/Jahr) Name des Auftragnehmers / 
keine Zustimmung zur 
Namensnennung Aus- 
schrei- 
bung 
(ja/nein) Vertrags- 
volumen 
in E Honorar 
nach 
Aufwand/ 
Stunden 
(Ja) Ausgaben in 
2018 
in E Verpflichtungen in E 
(nur Zahlen) Summe 
G bis J 
2019 2020 2021 
1218 812 02 a) Einheitliches Prozessmanagement und 
Prozessoptimierung für die WSV, BAW sowie BfG und 
Implementierung in elektronische 
Dokumentenmanagement- und ERP-Systeme 
b) RV Nr. 20404 des BVA 
c) Normsetzung (nein) 
d) Laufzeit: 12/2017 - 06/2019 keine Zustimmung zur 
Namensnennung ja 1.763.580 ja 520.534 1.243.046 > 0 0 1.763.580 
1219 539 09 a) Beraterleistung im Steuerrecht und in der 
Finanzbuchhaltung im Rahmen des BSH-Projektes 
"Erarbeitung eines Konzeptes zur rechtskonformen 
Behandlung von Leistungen/ Produkten des BSH, die 
unter einen Betrieb gewerblicher Art bzw. die 
Umsatzsteuerpflicht fallen"; 
b) — 
c) Normsetzung (nein) 
d) Laufzeit: 04/2017 - 02/2019 Trinavis GmbH & Co. KG ja 290.884 ja 56.578 113.422 31.043 0 201.043 
1219 539 09 a) Weiterentwicklung der KLR 1)
b) Abruf aus RV Nr. 2954 des BVA 
c) Normsetzung (nein) 
d) Laufzeit: 11/2017 - 03/2019 Sopra Steria Consulting AG ja 157.080 ja 124.236 32.844 0 0 157.080 
1219 539 09 a) Umsetzung des Gesetzes zur Förderung der 
elektronischen Verwaltung im BSH (E-Govemment-
Gesetzt-EGOVG) 1)
b) Abruf aus RV Nr. 2909 des BVA 
c) Normsetzung (nein) 
d) Laufzeit: 02/2017 - 12/2019 Sopra Steria Consulting AG ja 731.375 ja 108.607 403.449 0 0 512.056 
45.320.458 
217.567 15 Verträge 
unter 50.000 € 
45.538.025 
1) Die Änderung der Laufzeit gegenüber der Vorjahresmeldung resultiert aus der Verlängerung des Vertrags. 
2) Die Erhöhung des Vertragsvolumens gegenüber der Vorjahresmeldung resultiert aus der Verlängerung des Vertrags. 
3) Im Rahmen der vertraglichen Verlängerungsoption wurde die Laufzeit bis aktuell 09/2018 verlängert. Es ist eine Neuausschreibung vorgesehen. 
Die Mehrausgaben resultieren aus dem Einsatz von IT-Spezialisten, welche im Rahmen von Incidents zur schnellen Fehlerbehebung im Rechenzentrum benötigt wurden. 
16 von 17
124

Erfassung der Zahlungen an externe Berater 
gern. Beschlüssen des HA vom 28.06.2006, RPÄ vom 10.03.2017 und des HA vom 13.02.2019 
Vertragsvolumen über 50.000 € 
A C D E F G H I I J K 
Kap./Titel 
(nur 9 Zahlen 
erfassen) a) Vertragszweck (stichwortartig) 
b) Benennung des Rahmenvertrags (ggf.) 
c) Normsetzung Ga/nein) 
d) Laufzelt (Monat/Jahr - Monat/Jahr) Name des Auftragnehmers / 
keine Zustimmung zur 
Namensnennung Aus- 
schrei- 
bong 
(ja/nein) Vertrags- 
volumen 
in E Honorar 
nach 
Aufwand/ 
Stunden 
(ja) Ausgaben in 
2018 
In € Verpflichtungen In E 
(nur Zahlen) Summe 
G bis J 
2019 1 2020 2021 
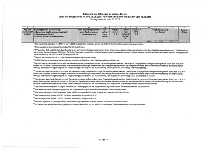
4) Die ursprüngliche Laufzeit von 01/2013 bis 01/2014 wurde jährlich verlängert, aktuell bis 12/2018. Es ist eine Neuausschreibung vorgesehen. 
5) Die angegebene. Gesamtlaufzeit basiert auf den Einzelaufträgen. 
• 6) RV zwischen BAG und Toll Collect zur Erstellung von technischen Umsetzungskonzepten für die erforderlichen Systemerhaltungsmaßnahmen für das LKW-Mautsystem Deutschland. Der Darstellung 
der externen Beraterleistungen 2018 (betr. Toll Collect) liegt eine neue juristische Bewertung zugrunde. Zum Anderen werden in dieser Meldung 2018 die einzelnen Verträge aufgeführt, demgegenüber 
stellte die Meldung von 2017 nur eine Sammelposition dar. 
7) Der Fall war versehentlich nicht in die Vorjahresmeldung aufgenommen worden. 
81 In 2017 sind keine Haushaltsmittel abgeflossen, weshalb der Fall nicht in der Vorjahresmeldung enthalten war. 
9) Bei dem Vertrag handelt es sich um eine Rahmenvereinbarung, auf deren Grundlage Einzelaufträge erteilt werden. Das in Spalte E angegebene Vertragsvolumen gibt den Stand zum 23.9.2019 
wieder. Die Ausgaben und Verpflichtungen im Rahmen der Einzelaufträge überschreiten die damalige Wertungssumme des Vergabeverfahrens, da eine konkrete Abschätzung des erforderlichen 
Umfangs an Beraterleistungen aufgrund des Projektumfangs zum Zeitpunkt der Ausschreibung nicht möglich war. Der Vertrag wird derzeit beendet. 
10) Bei den Verträgen handelt es sich um eine Rahmenvereinbarung, auf deren Grundlage Einzelaufträge erteilt werden. Das in Spalte E angegebene Vertragsvolumen gibt den Stand zum 23.9.2019 
wieder. Die Ausgaben und Verpflichtungen im Rahmen-der Einzelaufträge überschreiten die damalige Wertungssumme des Vergabeverfahrens, da eine konkrete Abschätzung des erforderlichen 
Umfangs an Beraterleistungen aufgrund des Projektumfangs zum Zeitpunkt der Ausschreibung nicht möglich war. Der Vertrag wurde zwischenzeitlich beendet. 
lf) Bei den Verträgen handelt es sich um eine Rahmenvereinbarung, auf deren Grundlage Einzelaufträge erteilt werden. Das in Spalte E angegebene Vertragsvolumen gibt den Stand zum 23.9.2019 
wieder, Die Ausgäben und Verpflichtungen im Rahmen der Einzelaufträge überschreiten die damalige Wertungssumme des Vergabeverfahrens, da eine konkrete Abschätzung des erforderlichen 
Umfangs an Beraterleistungen aufgrund des Projektumfangs zum Zeitpunkt der Ausschreibung nicht möglich war. Die Verträge wurden zwischenzeitliCh beendet. 
12) Die abweichenden Angaben zu Beginn und Ende der Laufzeit gegenüber der Vorjahresmeldung sind auf einen redaktionellen Fehler zurückzuführen. 
13) Der abweichende Laufzeitbeginn gegenüber der Vorjahresmeldung ist auf einen redaktionellen Fehler zurückzuführen. 
14) Der Leistungszeitraum (Vertragslaufzeit) endet mit Erbringung der Leistung und erstreckt sich voraussichtlich bis 12/2020. 
15) Die Vertragslaufzeit endete 07/2017. Der letzte Mittelabfluss erfolgte in 03/2018. 
18) Die Vertragslaufzeit endete 12/2017. Der letzte Mittelabfluss erfolgte in 01/2018. 
17) Der Leistungszeitraum (Vertragslaufzeit) endet mit Erbringung der Leistung und erstreckt sich voraussichtlich bis 04/2021. 
.18) Im Rahmen der vertraglichen Verlängerungsoption wurde die Laufzeit bis aktuell 09/2018 verlängert. Es ist eine Neuausschreibung vorgesehen. 
17 von 17
125


                                            
                                                
                                                126
                                            
                                        

Einzelplan! Ressort: 14 / BMVg 
Bericht 
über den Einsatz externer Berater im Haushaltsjahr 2018 
Ausschussdrucksache: 19(8)3252 
Berichterstatter: MdB Dr. Reinhard Brandl 
MdB Dennis Rohde 
MdB Martin Hohmann 
MdB Karsten Klein 
MdB Michael Leutert 
MdB Dr. Tobias Lindner 
Ausgaben im Haushaltsjahr 2018 (in EUR): 7.081.956 
Fallzahlen im Haushaltsjahr 2018: 11 
Vorbemerkungen gemäß Ziffer 2a der Ausschussdrucksache 19(8)3252 
Gegenstand der externen Beratung ist eine entgeltliche Leistung, die dem Ziel dient, im Hin-
blick auf konkrete Entscheidungssituationen des Auftraggebers praxisorientierte Handlungs-
empfehlungen zu entwickeln und zu bewerten, den Entscheidungsträgern zu vermitteln und 
ggf. ihre Umsetzung zu begleiten. 
Externe Beratungsleistungen sind für strategisch relevante Projekte des Ressorts vorgesehen. 
Bei der Veranschlagung der benötigten Mittel im Einzelplan 14 (Kapitel 1413 Titel 531 01 -
„Beratungsleistungen zur Optimierung der Bundeswehr") wird berücksichtigt, dass die Bun-
deswehr eine situationsgerechte Verfügbarkeit von externer Expertise für praxisorientierte.
127

Zur nächsten Seite
„Beraterbericht 2018“ FragDenStaat.de