4717e03210-grs-a-3985-februar-2020

Dieses Dokument ist Teil der Anfrage „Beratung: GRS (Gesellschaft für Anlagen- und Reaktorsicherheit)

/ 70
PDF herunterladen
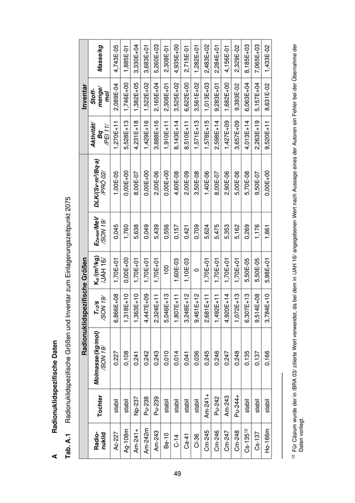
49 A Radionuklidspezifische  Daten  
Tab. A.1 Radionuklidspezifische Größen und Inventar zum Einlagerungszeitpunkt  2075  
Radionuk lidspezifische Größen  Inventar  
Radio - 
nuklid  Tochter  Molmasse/( kg/mol ) 
/SON  19/ T1/2/s 
/SON  19/ Kd /(m3/kg) 
/JAH  16/ EZerfall/MeV  
/SON  19/ DLK/(Sv∙m3/Bq∙a)  
/PRÖ  02/ Aktivität/  
Bq 
/PEI 11/ Stoff-
menge / 
mol Masse/ kg 
Ac-227 stabil  0,227  6,866E+08  1,70E+01  0,045  1,00E -05 1,270E+11  2,089E -04 4,743E -05 
Ag-108m  stabil  0,108  1,318E+10  0,00E+00  1,760  0,00E+00  5,528E+13  1,746E+00  1,885E -01 
Am-241+  Np-237 0,241  1,363E+10  1,70E+01  5,638  8,00E -07 4,231E+18  1,382E+05  3,330E+04  
Am-242m  Pu-238 0,242  4,447E+09  1,70E+01  0,049  0,00E+00  1,429E+16  1,522E+02  3,683E+01  
Am-243 Pu-239 0,243  2,324E+11  1,70E+01  5,439  2,00E -06 3,888E+16  2,165E+04  5,260E+03  
Be-10 stabil  0,010  5,046E+13  100 0,556  0,00E+00  1,910E+11  2,308E+01  2,308E -01 
C-14 stabil  0,014  1,807E+11  1,60E -03 0,157  4,60E -08 8,143E+14  3,525E+02  4,935E+00  
Ca-41 stabil  0,041  3,248E+12  1,10E -03 0,421  2,00E -09 8,510E+11  6,622E+00  2,715E -01 
Cl-36 stabil  0,036  9,461E+12  0 0,709  3,50E -08 1,571E+13  3,561E+02  1,282E+01  
Cm-245 Am-241+  0,245  2,681E+11  1,70E+01  5,624  1,40E -06 1,578E+15  1,013E+03  2,483E+02  
Cm-246 Pu-242 0,246  1,492E+11  1,70E+01  5,475  8,00E -07 2,598E+14  9,283E+01  2,284E+01  
Cm-247 Am-243 0,247  4,920E+14  1,70E+01  5,353  2,90E -06 1,427E+09  1,682E+00  4,156E -01 
Cm-248 Pu-244+  0,248  1,072E+13  1,70E+01  5,162  5,00E -06 3,657E+09  9,393E -02 2,329E -02 
Cs-13512 stabil  0,135  6,307E+13  5,50E -05 0,269  5,70E -08 4,013E+14  6,063E+04  8,185E+03  
Cs-137 stabil  0,137  9,514E+08  5,50E -05 1,176  9,50E -07 2,263E+19  5,157E+04  7,065E+03  
Ho-166m  stabil  0,166  3,784E+10  5,98E+01  1,861  0,00E+00  9,520E+11  8,631E -02 1,433E -02 
 
12  Für Cäsium wurde der in /BRA  03/ zitierte Wert verwendet, da bei dem in /JAH  16/ angegebenen Wert nach Aussage eines der Autoren ein Fehler bei der Übernahme der 
Daten vorliegt.
56

50 Radionuk lidspezifische Größen  Inventar  
Radio - 
nuklid  Tochter  Molmasse/( kg/mol ) 
/SON  19/ T1/2/s 
/SON  19/ Kd /(m3/kg) 
/JAH  16/ EZerfall/MeV  
/SON  19/ DLK/(Sv∙m3/Bq∙a)  
/PRÖ  02/ Aktivität/  
Bq 
/PEI 11/ Stoff-
menge / 
mol Masse/ kg 
I-129 stabil  0,129  4,951E+14  3,50E -05 0,194  5,60E -07 2,763E+13  3,277E+04  4,228E+03  
Mo-93 stabil  0,093  1,104E+11  1,70E -02 0,405  0,00E+00  6,446E+13  1,705E+01  1,585E+00  
Nb-94 stabil  0,094  6,307E+11  4,00E+00  2,045  3,10E -06 4,683E+15  7,076E+03  6,651E+02  
Ni-59 stabil  0,059  2,365E+12  9,30E -01 1,073  4,90E -09 3,548E+15  2,010E+04  1,186E+03  
Ni-63 stabil  0,063  3,154E+09  9,30E -01 0,067  1,10E -09 3,262E+17  2,464E+03  1,553E+02  
Np-237 U-233 0,237  6,761E+13  5,54E+01  4,958  4,70E -06 3,507E+14  5,680E+04  1,346E+04  
Pa-231 Ac-227 0,231  1,033E+12  5,00E+00  5,149  4,00E -05 1,493E+11  3,694E -01 8,534E -02 
Pd-107 stabil  0,107  2,050E+14  5,00E+00  0,034  1,90E -09 1,130E+14  5,549E+04  5,938E+03  
Pu-238 U-234 0,238  2,767E+09  2,26E+01  5,594  7,50E -07 2,777E+18  1,841E+04  4,381E+03  
Pu-239 U-235 0,239  7,603E+11  2,26E+01  5,244  9,80E -07 2,082E+17  3,793E+05  9,066E+04  
Pu-240 U-236 0,240  2,070E+11  2,26E+01  5,256  9,60E -07 4,583E+17  2,272E+05  5,454E+04  
Pu-242 U-238 0,242  1,183E+13  2,26E+01  4,985  9,40E -07 2,783E+15  7,885E+04  1,908E+04  
Pu-244+  Pu-240 0,244  2,523E+15  2,26E+01  4,665  3,00E -06 3,328E+11  2,011E+03  4,908E+02  
Ra-226+  stabil  0,226  5,049E+10  7,60E -04 4,870  3,00E -05 1,362E+11  1,647E -02 3,722E -03 
Rb-87 stabil  0,087  1,514E+18  100 0,283  1,30E -07 1,753E+10  6,359E+04  5,532E+03  
Se-79 stabil  0,079  1,514E+13  0,00E+00  0,151  3,40E -07 3,836E+13  1,391E+03  1,099E+02  
Sm-147 stabil  0,147  3,343E+18  5,98E+01  2,310  4,20E -07 4,208E+09  3,370E+04  4,954E+03  
Sm-151 stabil  0,151  2,933E+09  5,98E+01  0,077  3,20E -10 1,963E+17  1,379E+03  2,082E+02  
Sn-126 stabil  0,126  7,395E+12  1,10E+02  0,378  1,60E -05 4,866E+14  8,620E+03  1,086E+03  
Sr-90 stabil  0,090  9,032E+08  1,10E -03 0,546  1,80E -07 1,371E+19  2,966E+04  2,669E+03  
Tc-99 stabil  0,099  6,623E+12  5,54E+01  0,293  8,80E -09 1,177E+16  1,867E+05  1,848E+04
57

51 Radionuk lidspezifische Größen  Inventar  
Radio - 
nuklid  Tochter  Molmasse/( kg/mol ) 
/SON  19/ T1/2/s 
/SON  19/ Kd /(m3/kg) 
/JAH  16/ EZerfall/MeV  
/SON  19/ DLK/(Sv∙m3/Bq∙a)  
/PRÖ  02/ Aktivität/  
Bq 
/PEI 11/ Stoff-
menge / 
mol Masse/ kg 
Th-229 stabil  0,229  2,485E+11  5,54E+01  5,167  1,70E -05 4,247E+11  2,528E -01 5,789E -02 
Th-230 Ra-226+  0,230  2,378E+12  5,54E+01  4,769  3,70E -05 5,175E+11  2,948E+00  6,780E -01 
Th-232 stabil  0,232  4,431E+17  5,54E+01  4,081  1,10E -04 2,719E+11  2,886E+05  6,695E+04  
U-232 stabil  0,232  2,173E+09  2,05E+01  5,413  5,40E -06 5,154E+13  2,683E -01 6,224E -02 
U-233 Th-229 0,233  5,021E+12  2,05E+01  4,909  3,90E -06 5,802E+13  6,978E+02  1,626E+02  
U-234 Th-230 0,234  7,742E+12  2,05E+01  4,858  1,40E -06 1,105E+15  2,049E+04  4,794E+03  
U-235 Pa-231 0,235  2,220E+16  2,05E+01  4,679  3,30E -06 2,143E+13  1,139E+06  2,678E+05  
U-236 Th-232 0,236  7,386E+14  2,05E+01  4,573  5,60E -07 1,398E+14  2,473E+05  5,836E+04  
U-238 U-234 0,238  1,409E+17  2,05E+01  4,270  7,10E -07 1,310E+15  4,420E+08  1,052E+08  
Zr-93 stabil  0,093  4,730E+13  1,09E+01  0,091  3,70E -08 1,578E+15  1,788E+05  1,663E+04  
stabil   0,001  1,000E+80  1,00E+05   3,70E -08 0,000E+00  0,000E+00  0,000E+00
58

52 
Abb. A.1 Zeitlicher Verlauf der Aktivität der für die Gesamtaktivität an hochradioaktiven Abfällen wesentlichen Radionuklide
59

53 Literaturverzeichnis 
/BAL  07a/ Baltes, B., Röhlig, K. -J., Kindt, A.: Dosis und Risiko als Bewertungsgrößen 
für die Langzeitsicherheit eines  Endlagers. Gesellschaft für Anlagen - und 
Reaktorsicherheit (GRS) mbH, GRS -A-Bericht, GRS -A-3373, 116 S.: Köln, 
Mai 2007.  
/BAL  07b/ Baltes, B., Röhlig, K. -J., Kindt, A.: Sicherheitsanforderungen an die Endla-
gerung hochradioaktiver Abfälle in tiefen geologi schen Formationen, Ent-
wurf der GRS. Gesellschaft für Anlagen-  und Reaktorsicherheit (GRS) 
mbH, GRS -A-3358, 48 S.: Köln, Januar 2007.  
/BAL  08/ Baltes, B., Becker, A., Kindt, A.: Strategie zum Nachweis der Langzeitsi-
cherheit eines Endlagers. Gesellschaft für  Anlagen-  und Reaktorsicherheit 
(GRS) mbH, GRS -A-3405, 73 S., Januar 2008.  
/BEC  97/ Becker, A., Fischer, H., Hofer, E., Kloos, M., Krzykacz, B., Martens, K. -H., 
Röhlig, K. -J.: Evaluation of elements responsible for the effective engaged 
dose rates associat ed with the final Storage of radioactive waste 
(EVEREST project), Volume 3a: Salt formation, site in Germany. European 
Commission (EC), Nuclear Science and Technology, EUR 17449/3a EN, 
429 S., ISBN 92- 828-0531- x, EUR -OP: Luxembourg, 1997.  
/BIPM  18/ Bureau International des Poids et Mesures (BIPM): Resolutions adopted. 
26th Conference on Weights and Measures (CGPM), Versailles, 13. -  16. 
November 2018, 16 S., 2018.  
/BMU  12/ Bundesministerium für Umwelt, Naturschutz und Reaktorsicherheit (BMU): 
Allgemeine Ver waltungsvorschrift zu § 47 der Strahlenschutzverordnung, 
Ermittlung der Strahlenexposition durch die Ableitung radioaktiver Stoffe 
aus kerntechnischen Anlagen oder Einrichtungen. Bundesanzeiger AT 
05.09.2012 B1: Bonn, 28. August 2012.  
/BMU  18/ Bundesminist erium für Umwelt, Naturschutz, und nukleare Sicherheit 
(BMU): Verzeichnis radioaktiver Abfälle, Bestand zum 31. Dezember 2017 
und Prognose. 84 S.: Bonn, August 2018.
60

54 /BMU  19/ Bundesministerium für Umwelt, Naturschutz und nukleare Sicherheit 
(BMU): Referent enentwurf, Verordnungen über die sicherheitstechnischen 
Anforderungen an die Entsorgung hochradioaktiver Abfälle. 49 S.: Berlin, 
11. Juli 2019.  
/BMUB  15/ Bundesministerium für Umwelt, Naturschutz, Bau und Reaktorsicherheit 
(BMUB): Programm für eine verantw ortungsvolle und sichere Entsorgung 
bestrahlter Brennelemente und radioaktiver Abfälle, Nationales Entsor-
gungsprogramm. 26 S., August 2015.  
/BOE  00/ Boese, B., Hirsekorn, R. -P., Storck, R.: Vergleich der Rechenprogramme 
LOPOS und MARNIE. Gesellschaft für A nlagen-  und Reaktorsicherheit 
(GRS) mbH, GRS -169: Braunschweig, 1. Oktober 2000.  
/BRA  03/ Bradbury, M. H., Baeyens, B.: Far -Field Sorption Data Bases for Perfor-
mance Assessment of a High- Level Radioactive Waste Repository in an 
Undisturbed Opalinus Clay Host Rock. Nationale Genossenschaft für die 
Lagerung radioaktiver Abfälle (NAGRA), Nagra Technischer Bericht, NTB 
02-19, 134 S.: Wettingen, März 2003.  
/DBE  16/ DBE TECHNOLOGY GmbH (DBETEC): Gutachten Flächenbedarf für ein 
Endlager für wärmeentwickelnde, hoch  radioaktive Abfälle, (FEHRA). Mate-
rial für die Kommission Lagerung hoch radioaktiver Abfallstoffe, K -MAT 58, 
92 S.: Peine, 2016.  
/FIS 10/ Fischer -Appelt, K., Baltes, B.: Abwägungsmethodik für den Vergleich von 
Endlagersystemen in unterschiedlichen Wirtsgesteinsformationen - Anlei-
tung zur Anwendung der Abwägungsmethodik, Abschlussbericht zum Vor-
haben 3607R02589 VerSi „Evaluierung der Vorgehensweise“. Gesellschaft 
für Anlagen-  und Reaktorsicherheit (GRS) mbH, GRS -A-3536: Köln, 1. De-
zember 2010.  
/FIS 13/ Fischer-Appelt, K., Baltes, B., Buhmann, D., Larue, P. -J., Mönig, J.: Syn-
thesebericht für die VSG, Bericht zum Arbeitspaket 13, Vorläufige Sicher-
heitsanalyse für den Standort Gorleben. GRS -290, 424 S., ISBN 978- 3-
939355- 66-3, Gesellschaft für Anlagen-  und Reak torsicherheit (GRS) mbH: 
Köln, 2013.
61

55 /JAH  16/ Jahn, S., Mrugalla, S., Stark, L.: Endlagerstandortmodell SÜD (AnSichT), 
Teil II: Zusammenstellung von Gesteinseigenschaften für den Langzeitsi-
cherheitsnachweis, Ergebnisbericht. Bundesanstalt für Geowissenscha ften 
und Rohstoffe (BGR), 146 S.: Hannover, 8. Januar 2016.  
/KAR  99/ Karsten Pruess, Curt Oldenburg, George Moridis: TOUGH2 User's Guide, 
Version 2. Lawrence Berkeley National Laboratory (LBNL), 1999.  
/KOC  16/ Kock, I., Frieling, G., Navarro, M.: Fluidströmung und Radionuklidtransport 
in komplexen Endlagerbergwerken, Synthesebericht Teil 1/2, Zweiphasen-
fluss in einem salinaren Endlager am Beispiel des ERAM. GRS -399, ISBN 
978-3-944161 -80-8, Gesellschaft für Anlagen-  und Reaktorsicherheit (GRS) 
gGmbH: Köln, 2016.  
/KOM  16/ Kommission Lagerung hoch radioaktiver Abfallstoffe: Abschlussbericht, 
Verantwortung für die Zukunft -  Ein faires und transparentes Verfahren für 
die Auswahl eines nationalen Endlagerstandortes. Drucksache der Kom-
mission Lagerung hoch radioakt iver Abfallstoffe, K -Drs. 268, 683 S.: Berlin, 
30. August 2016.  
/LAM  97/ Lambers, L.: Rechnungen von Modellfällen mit dem Programmcode 
MARNIE. Gesellschaft für Anlagen-  und Reaktorsicherheit (GRS) mbH, 
GRS -A-2497: Köln, 1. August 1997.  
/LAR  10/ Larue, P. -J.: VerSi Endlagerung im Tonstein, Entwicklung eines syntheti-
schen Tonsteinstandortes“ Teil 2, Standortcharakterisierung, Teilbericht 
des Abschlussberichtes zum Vorhaben 3607R02538 „planerische Grund-
satzfragen“. Gesellschaft für Anlagen-  und Reak torsicherheit (GRS) mbH, 
GRS -A-3535, 107 S.: Köln, 1. Januar 2010.  
/LAR  13/ Larue, P. -J., Baltes, B., Fischer, H., Frieling, G., Kock, I., Navarro, M., Se-
her, H.: Radiologische Konsequenzenanalyse, Bericht zum Arbeitspaket 
10, Vorläufige Sicherheitsanalyse für den Standort Gorleben. GRS -289, 
267 S., ISBN 978- 3-939355- 65-6, Gesellschaft für Anlagen-  und Reaktorsi-
cherheit (GRS) mbH: Köln, 2013.
62

56 /MAR  99/ Martens, K. -H., Fischer, H., Hofer, E., Krzykacz -Hausmann, B.: Stochastic 
and deterministic analyses for a generic repository in rock salt in the EU -
Project SPA "Spent Fuel Performance Assessment". Gesellschaft für Anla-
gen- und Reaktorsicherheit (GRS) mbH, Schriftenreihe Reaktorsicherheit 
und Strahlenschutz, BMU 2000- 550, GRS -A-2716: Köln, 1. Januar 1999.  
/MAR  02/ Martens, K. -H., Fischer, H., Romstedt, P.: Beschreibung des Rechenpro-
grammes MARNIE. Gesellschaft für Anlagen-  und Reaktorsicherheit (GRS) 
mbH, GRS -A-3027, 135 S.: Köln, 1. Januar 2002.  
/MAS 16/ Maßmann, J.: Endlagerstandortmodell SÜD (AnSichT), Teil I II: Auswahl 
von Gesteins - und Fluideigenschaften für numerische Berechnungen im 
Rahmen des Langzeitsicherheitsnachweises, Ergebnisbericht. Bundesan-
stalt für Geowissenschaften und Rohstoffe (BGR), 20 S.: Hannover, 15. 
Juni 2016.  
/NAV  18/ Navarro, M.: User Manual, TOUGH2- GRS Version 2, TOUGH2- MP-GRS 
Version 0. Gesellschaft für Anlagen-  und Reaktorsicherheit (GRS) gGmbH, 
2018.  
/NOW  13/ Nowak, T., Maßmann, J.: Endlagerstandortmodell Nord (AnSichT), Teil III: 
Auswahl von Gesteins - und Fluideigenschaften für numerische Modellbe-
rechnungen im Rahmen des Langzeitsicherheitsnachweises, Projekt An-
Sicht - Methodenentwicklung und Anwendung eines Sicherheitsnachweis-
konzeptes für einen generischen HAW -Endlagerstandort im Tonstein. 
Bundesanstalt für Geowissenschaften und Rohstoffe (BGR), 31 S.: Hanno-
ver, 18. Januar 2013.  
/PEI 11/ Peiffer, F., McStocker, B., Gründler, D., Ewig, F., Thomauske, B., Havenith, 
A., Kettler, J.: Abfallspezifikation und Mengengerüst. Basis Ausstieg aus 
der Kernenergienutzung (Juli 2011), Bericht zum  Arbeitspaket 3, Vorläufige 
Sicherheitsanalyse für den Standort Gorleben. GRS -278, 89 S., ISBN 978 -
3-939355- 54-0, Gesellschaft für Anlagen-  und Reaktorsicherheit (GRS) 
mbH: Köln, 2011.  
/PRÖ  02/ Pröhl, G., Gering, F.: Dosiskonversionsfaktoren zur Berechnung der Strah-
lenexposition in der Nachbetriebsphase von Endlagern nach dem Entwurf
63

57 der Allgemeinen Verwaltungsvorschrift zu §47 Strahlenschutzverordnung in 
Anlehnung an die Vorgehensweise im Rahmen der Planfeststellung, Plan-
feststellungsverfahren zur Stilllegung des Endlagers für radioaktive Abfälle 
Morsleben, Verfahrensunterlage. Forschungszentrum Umwelt und Gesund-
heit, Institut für Strahlenschutz (GSF), P 162, 84 S.: Neuherberg, 1. Januar 
2002.  
/REI 16/ Reiche, T.: RepoTREND, Das Programmpaket zur integriert en Langzeitsi-
cherheitsanalyse von Endlagersystemen, Version 4.5 (Stand März 2016). 
GRS -Bericht, GRS -413, 46 S., ISBN 978- 3-944161- 95-2, Gesellschaft für 
Anlagen-  und Reaktorsicherheit (GRS) gGmbH: Braunschweig, April 2016.  
/SEH  13/ Seher, H.: Zusammenstell ung der Inventare zur Modellierung, Memo im Ar-
beitspaket 10, Vorläufige Sicherheitsanalyse für den Standort Gorleben. 
Gesellschaft für Anlagen-  und Reaktorsicherheit (GRS) mbH: Köln, 1. März 
2013.  
/SON  19/ Sonzogni, A.: Interactive Chart of Nuclides. National Nuclear Data Center 
(NNDC), Brookhaven National Laboratory, erreichbar unter https://
www.nndc.bnl.gov /nudat2/ , abgerufen am 7. Oktober 2019.  
/SSV 18/ Verordnung über den Schutz vor Schäden durch ionisierende Strahlen 
(Strahlenschutzverordnung - StrlSchV) in der Fassung vom 20. Juli 2001 
(BGBl. I 2001, Nr. 38, S. 1714; 2002 I S. 1459), zuletzt geändert 29. No-
vember 2018.  
/STA 17/ Gesetz zur Suche und Auswahl eines Standortes für ein Endlager für hoch-
radioaktive Abfälle (Standortauswahlgesetz –  StandA G) in der Fassung 
vom 5. Mai 2017 (BGBl. I 2017, Nr. 26, S. 1074- 1100), zuletzt geändert 20. 
Juli 2017 (BGBl. I 2017, Nr. 52, S. 2808– 2838).  
/THO  16a/ Thomauske, B., Kudla, W.: Zeitbedarf für das Standortauswahlverfahren 
und für die Errichtung eines Endlagers. Kommission Lagerung hoch radio-
aktiver Abfallstoffe, K -Drs. 267, 17 S.: Berlin, 22. Juni 2016.
64

58 /THO  16b/ Thomauske, B.: Abschätzung des Zeitbedarfs bis zur Inbetriebnahme des 
Endlagers. Kommission Lagerung hoch radioaktiver Abfallstoffe, Drucksa-
che der  Kommission Lagerung hoch radioaktiver Abfallstoffe, AG3 -119, 5 
S.: Berlin, 3. April 2016.
65

Zur nächsten Seite