Kostenverteilung und Struktur der Stromnetzentgelte

/ 16
PDF herunterladen
Deutscher Bundestag                                                                        Drucksache   19/2757 19. Wahlperiode                                                                                           13.06.2018 Vorabfassung - wird durch die lektorierte Version ersetzt. Antwort der Bundesregierung auf die Kleine Anfrage der Abgeordneten Ingrid Nestle, Oliver Krischer, Dr. Julia Verlinden, weiterer Abgeordneter der Fraktion BÜNDNIS 90/DIE GRÜNEN – Drucksache 19/2157 – Kostenverteilung und Struktur der Stromnetzentgelte Vorbemerkung der Fragesteller Die regionalen Unterschiede zwischen den Netznutzungsentgelten sind enorm und für Stromkunden nicht nachvollziehbar. Denn nach wie vor sind die Grund- lagen für die Festlegung der Netznutzungsentgelthöhe aus Sicht der Fragesteller nicht transparent. Die gesamte Netzentgeltstruktur ist im Kern seit Jahrzehnten unverändert und entstammt noch einer Zeit, in der zentrale Großkraftwerke die Versorgung mit Strom übernommen haben. So wirken sie in weiten Teilen als Hemmnis für In- vestitionen in technische Innovationen sowie für Maßnahmen zur erforderlichen Flexibilisierung des Stromsystems. Die Stromnetzentgelte sind zudem aus Sicht der Fragesteller ungerecht verteilt. Während Großverbrauchern erhebliche Privilegien eingeräumt werden, müssen Mittelstand und Privathaushalte immer höhere Entgelte entrichten. Es wird aus Sicht der Fragesteller immer deutlicher, dass der Umbau des Strom- versorgungssystems dringend eine grundlegende Neuausrichtung der Netzent- gelte erfordert. 1.   Welchen Anteil in Prozent haben die Haushalte an der jährlich in Deutsch- land verbrauchten Arbeitsmenge in Terawattstunden (TWh) Strom, und wel- chen Anteil bezahlen sie in Prozent an der Summe der jährlich in Deutsch- land erhobenen Netzentgelte? Nach der Energiebilanz für 2016 der Arbeitsgemeinschaft Energiebilanzen ver- brauchten die Haushalte 128,2 TWh Strom. Ihr Anteil beträgt damit 24,8 Prozent des Endenergieverbrauchs von Strom. Neuere Daten der Arbeitsgemeinschaft Energiebilanzen liegen noch nicht vor. Es liegen keine präzisen Daten darüber vor, welchen Anteil die privaten Haus- halte am jährlichen Netzentgeltaufkommen tragen. Generell entrichten die Haus- haltskunden Netzentgelte für Stromentnahmen in Niederspannung. Unter ande- rem weil in diese Netzentgelte die Kosten vorgelagerter Netzebenen einfließen, Die Antwort wurde namens der Bundesregierung mit Schreiben des Bundesministeriums für Wirtschaft und Energie vom 11. Juni 2018 übermittelt. Die Drucksache enthält zusätzlich – in kleinerer Schrifttype – den Fragetext.
1

Drucksache 19/2757                                      –2–                     Deutscher Bundestag – 19. Wahlperiode Vorabfassung - wird durch die lektorierte Version ersetzt. sind sie relativ am höchsten. Daraus ergibt sich, dass der Anteil von in Nieder- spannung angeschlossen Kunden an den Netzentgelten höher ist als ihr Anteil an der Gesamtstromabnahme. 2.   Wie hoch ist die Summe bzw. der prozentuale Anteil und die Schwankungs- breite über die einzelnen Netze der nach Stromnetzentgeltverordnung be- günstigten Kunden, insbesondere stromintensive Verbraucher, sogenannte atypische Verbraucher (beide entsprechend § 19 Absatz 2) sowie für unterbrech- bare Verbrauchseinrichtungen (entsprechend § 14a des Energiewirtschaftsgeset- zes – EnWG) an den Netzentgelten (bitte jeweils getrennt angeben)? Der Bundesregierung liegen vollständige Daten nur zu den Netzbetreibern in der Zuständigkeit der Bundesnetzagentur vor. Die Netzbetreiber in Zuständigkeit der Bundesnetzagentur haben für das Jahr 2018 insgesamt Entgeltermäßigungen nach § 19 Absatz 2 Satz 1 StromNEV in Höhe von ca. 330 Mio. Euro gemeldet (Plan- Werte). Der Anteil solcher Ermäßigungen an den geplanten Erlösen der Netzbe- treiber in den einzelnen Netzgebieten liegt dabei in einer Spanne von null bis 15 Prozent. Die gemeldeten Entgeltermäßigungen nach § 19 Absatz 2 Satz 2 StromNEV belaufen sich auf ca. 520 Mio. Euro (Plan-Werte). Das Verhältnis der Ermäßigungen zu den Erlösen der Netzbetreiber in den einzelnen Netzgebieten liegt dabei in einer Spanne von null bis 48 Prozent, wobei es sich bei letzterem Wert nach Angaben der Bundesnetzagentur um eine außergewöhnliche örtliche Situation handelt. Weitere Informationen zu den angezeigten individuellen Netzentgelten enthält der jährliche Monitoringbericht der Bundesnetzagentur. Die Entgeltreduktionen im Sinne des § 14a EnWG belaufen sich nach den Mel- dungen der Netzbetreiber, die in die Zuständigkeit der Bundesnetzagentur fallen, im Jahr 2018 insgesamt auf ca. 386 Mio. Euro. Das Verhältnis der Entgeltreduk- tionen nach § 14a EnWG zu den Erlösen der Netzbetreiber in den jeweiligen Netzgebieten lässt sich nicht ermitteln, weil diese Entgeltreduktionen das Niveau der allgemeinen Netzentgelte beeinflussen und nicht über eine gesonderte Um- lage finanziert werden. 3.   Wie hoch ist die Summe bzw. der prozentuale Anteil der Privatkunden (Stan- dard-Lastprofil) und anderen nicht privilegierten Kunden an den Netzentgel- ten in der Niederspannung bzw. dessen Schwankungsbreite? Es liegen keine Anteile von Privatkunden an den Netzentgelten in der Nieder- spannung vor. Eine Annäherung kann nur über die Verbrauchsgruppe der Haus- haltkunden erfolgen, die üblicherweise über das Standard-Lastprofil in der Nie- derspannung abgerechnet werden. In dieser Verbrauchsgruppe sind auch Gewer- bebetriebe enthalten. Im Übrigen wird auf die Antwort zu Frage 1 verwiesen. 4.   Wie haben sich die Netzentgelte für unterschiedliche Kundengruppen (1 000 Kilowattstunden – kWh, 2 500 kWh, 5 000 kWh, 20 000 kWh und 80 000 kWh) innerhalb des Standard-Lastprofils sowie für größere ge- werbliche und industrielle Kunden seit 2013 entwickelt (bitte Durchschnitt bzw. Spreizung angeben)? Die Berechnung der genannten Abnahmefälle kann anhand der vorhandenen Da- tenbasis nicht erfolgen. Das Monitoring der Bundesnetzagentur bezieht sich auf andere, üblicherweise erhobene Abnahmefälle.
2

Deutscher Bundestag – 19. Wahlperiode                               –3–                                       Drucksache 19/2757 Vorabfassung - wird durch die lektorierte Version ersetzt. Die Datenabfrage der Bundesnetzagentur im Rahmen ihres Monitoring erfolgt für Gewerbekunden anhand des Abnahmefalls 50 000 kWh/a sowie für Haushaltkun- den seit 2016 anhand von Verbrauchsbändern; hierbei wird auf das repräsentative Verbrauchsband zwischen 2 500 bis 5 000 kWh Jahresstromverbrauch abgestellt. Bei Haushaltskunden war zuvor der Abnahmefall 3 500 kWh/a üblich. Für In- dustriekunden ergibt sich im Übrigen der Durchschnittswert für den Abnahmefall 24 GWh/a (ohne Reduktionsmöglichkeiten). Die Entwicklung der so erhobenen durchschnittlichen Netzentgelte ergibt sich aus der unten angefügten Grafik des Monitoringberichts 2017 der Bundesnetzagen- tur. Entwicklung der Netzentgelte (inkl. Abrechnung, Messung und Messstellenbetrieb) in ct/ kWh (ohne Umsatzsteuer) 7,3                                                                                               7,30 6,52     6,47     6,51     6,71 6,34 5,92      5,8     5,81              6,04 5,75 6,37                                                                                               6,19 5,61     5,65     5,77     5,85 5,49 5,08     4,99     4,89     4,89     5,11 2,12     2,06     2,26 1,65                                                  1,68     1,79     1,90 1,51    1,46     1,43     1,54     1,46 1. April 1. April 1. April 1. April 1. April 1. April 1. April 1. April 1. April 1. April 1. April 1. April 2006     2007     2008     2009     2010     2011     2012     2013     2014     2015     2016     2017 Haushaltskunde 3.500 kWh ab 2016 Band DC                "Gewerbekunde" 50 MWh "Industriekunde" 24 GWh Für das Jahr 2017 lag die Spannweite bei den Netzentgelte für Haushaltkunden nach aktuellen Informationen von 3,1 Cent/kWh bis zu 13,6 Cent/kWh, wobei auf letzteres Netzgebiet nur sehr wenige Kunden entfielen. Für den Abnahmefall von 50 000 kWh/a (Gewerbekunden) lag die Spannweite im Jahr 2017 zwischen 2,8 Cent/kWh und 10,4 Cent/kWh. Die Bundesregierung hat in der Antwort auf die Kleine Anfrage der Fraktion BÜNDNIS 90/DIE GRÜNEN „Vergabe von Wegenutzungsrechten für Stromlei- tungen“ auf Bundestagsdrucksache 19/1460 darauf hingewiesen, dass ihr eine ak- tuelle vollständige bundesweite Erhebung der Netzentgelte für das Jahr 2018 noch nicht vorliegt. Nach auch weiterhin vorläufigen Auswertungen der Bundes- netzagentur liegen im Jahr 2018 die Netzentgelte für einen beispielhaften „Haushaltskunden“ (Niederspannung ohne Leistungsmessung, Verbrauch 3 500 kWh/a) bei Netzbetreibern in Zuständigkeit der Bundesnetzagentur im mengengewichteten Mittelwert bei 7,13 Cent/kWh, wobei eine Schwankungs- breite von 3,51 Cent/kWh bis zu 10,89 Cent/kWh festgestellt wurde. 5.   Wie haben sich in diesem Zeitraum die Grundpreise und die Arbeitspreise für die o. g. Kundengruppen entwickelt? Die Entwicklung der Grund- und Arbeitspreise für Kunden in der Niederspan- nung zeigt die nachfolgende Tabelle. Grundpreise gibt es typischerweise bei Kun- den in Niederspannung, bei denen keine Leistungsmessung erfolgt. Die Tabelle enthält ungewichtete arithmetische Mittelwerte für Netzbetreiber in Zuständig-
3

Drucksache 19/2757                                    –4–                   Deutscher Bundestag – 19. Wahlperiode Vorabfassung - wird durch die lektorierte Version ersetzt. keit der Bundesnetzagentur. Ungewichtet bedeutet, dass die Preisgestaltung gro- ßer Verteilernetzbetreiber in den Mittelwerten nicht im Verhältnis zu ihrer wirt- schaftlichen Bedeutung eingeflossen ist. Jahr                   2013       2014      2015      2016       2017      2018 Grundpreis [€/a]       13,74      15,89     19,93     25,35      38,36     40,60 Arbeitspreis           5,44       5,46      5,39      5,53       5,95      5,61 [Cent/kWh] 6.   Was genau versteht die Bundesregierung in der Stromnetzentgelt-Verord- nung unter einem „angemessenen Verhältnis“ von Grund- und Arbeitsprei- sen, und handelt es sich nach Ansicht der Bundesregierung noch um ein an- gemessenes Verhältnis, insbesondere da der Grundpreis für Geringverbrau- cher in einigen Netzen schon 50 Prozent der Netzkosten ausmacht, bzw. ab wann ist dieser unverhältnismäßig hoch im Vergleich zum Arbeitspreis? Das Netzentgelt besteht nach § 17 Absatz 2 Satz 1 StromNEV im Grundsatz aus einem Jahresleistungspreis in Euro pro Kilowatt und einem Arbeitspreis in Cent pro Kilowattstunde. Nach §17 Absatz 6 StromNEV ist für Entnahmestellen im Niederspannungsnetz mit einer jährlichen Entnahme von bis zu 100 000 Kilo- wattstunden bei Zählerstandsgangmessung oder einer anderen Form der Arbeits- messung anstelle des Leistungs- und Arbeitspreises ein Arbeitspreis in Cent pro Kilowattstunde festzulegen. Soweit zusätzlich ein monatlicher Grundpreis in Euro pro Monat festgelegt wird, haben Grundpreis und Arbeitspreis in einem an- gemessenen Verhältnis zueinander zu stehen. Das sich aus Grundpreis und Ar- beitspreis ergebende Entgelt muss danach in einem angemessenen Verhältnis zu jenem Entgelt stehen, das bei einer leistungsgemessenen Entnahme im Nieder- spannungsnetz auf der Grundlage der Arbeits- und Leistungswerte nach dem Standardlastprofil des Netznutzers entstehen würde. Die Bundesnetzagentur hat die Preisblätter für Kunden in der Niederspannung ohne Leistungsmessung ausgewertet. Der höchste Grundpreis eines Netzbetrei- bers liegt danach bei 96 Euro im Jahr. Bei den 20 Netzbetreibern mit den höchsten Grundpreisen verringert sich das Niveau auf 73 Euro im Jahr. Bisher sieht die Bundesnetzagentur bei dieser Preisstellung durch die Netzbetreiber keinen Anlass für ein behördliches Eingreifen. Die Bundesregierung wird das Thema weiter beobachten. 7.   Hält die Bundesregierung es angesichts der zunehmenden Dezentralisierung und Flexibilisierung der Stromversorgung noch für gerechtfertigt, dass Stromkunden im Niederspannungsnetz für die höheren Spannungsebenen Netzentgelte übernehmen müssen, Großkunden am Höchstspannungsnetz je- doch nicht die Kosten für die darunterliegenden Spannungsebenen? Die Bundesregierung hält dies unter den heutigen Rahmenbedingungen für im Grundsatz gerechtfertigt. Im Übrigen enthält der Koalitionsvertrag zur Reform der Netzentgelte die Aussage: „Wir werden mit einer Reform der Netzentgelte die Kosten verursachergerecht und unter angemessener Berücksichtigung der Netzdienlichkeit verteilen und bei Stromverbrauchern unter Wahrung der Wett- bewerbsfähigkeit mehr Flexibilität ermöglichen.“ Das Bundesministerium für
4

Deutscher Bundestag – 19. Wahlperiode                 –5–                                Drucksache 19/2757 Vorabfassung - wird durch die lektorierte Version ersetzt. Wirtschaft und Energie bereitet einen solchen Prozess derzeit u. a. auf gutachter- licher Basis vor. Ob und welcher Anpassungsbedarf sich daraus ergibt, wird sich in diesem Prozess zeigen. 8.   Wie hoch wären die Netzentgelte in etwa pro kWh, wenn in allen Netzebe- nen bundesweit das gleiche Netzentgelt gezahlt werden müsste, und wie würde sich das auf die Stromrechnung des Durchschnittshaushalts auswir- ken? Nach dem Monitoringbericht 2017 der Bundesnetzagentur lag das durchschnitt- liche mengengewichtete Netzentgelt für Haushaltskunden (Abnahmeband zwi- schen 2 500 und 5 000 kWh) im Jahr 2017 bei 7,3 Cent/kWh. Ergänzend wird auf die Antwort zu Frage 4 verwiesen. Ein Grund dafür, dass die durchschnittlichen Verteilernetzentgelte im Jahr 2018 gesunken sind, dürfte in dem Inkrafttreten des Netzentgeltmodernisierungsgesetzes im Jahr 2017 liegen. Angesichts der knapp 900 Stromnetzbetreiber in der Bundesrepublik Deutschland ist eine detaillierte Betrachtung der Auswirkungen eines bundeseinheitlichen Verteilernetzentgelts bei Haushaltskunden nicht im Detail möglich. Nach Erhe- bungen der Bundesnetzagentur betrug das durchschnittliche mengengewichtete Netzentgelt für Haushaltkunden (mit einer Jahresarbeit von 3 500 kWh) bei Netz- betreibern in ihrer Zuständigkeit im Jahr 2017 in dem Gebiet der Regelzone von 50Hertz ca. 8,2 Cent/kWh, von TenneT ca. 8,0 Cent/kWh, von TransnetBW ca. 7,0 Cent/kWh und von Amprion ca. 6,5 Cent/kWh. Diese Werte liegen damit im Jahr 2017 in einer Schwankungsbreite von +0,9 bis zu -0,8 Cent/kWh um das bundesweite Durchschnittsentgelt von 7,3 Cent/kWh. Ergänzend wird auf die Antwort zu Frage 4 verwiesen. Auch aufgrund der mit dem Netzentgeltmodernisierungsgesetz beschlossenen Maßnahmen ist für das Jahr 2018 nach derzeitigem Kenntnisstand mit einer Verringerung der Schwan- kungsbreite zu rechnen. 9.   Wie hoch ist der jährliche konventionelle industrielle Eigenstromverbrauch in Terawattstunden (TWh) und wie hoch der daraus resultierende fehlende Beitrag zur Finanzierung der Netze in Euro? Exakte Aussagen zur Rückwirkung der Nichtzahlung von Netzentgelten durch Eigenversorger können nicht getroffen werden, weil die zugrundeliegenden Da- ten von der Bundesnetzagentur nicht erfasst werden. Um solche „fiktiven Netz- entgelte“ zu ermitteln, benötigte man die individuellen Leistungswerte der Eigen- erzeuger, die ohne die Eigenerzeugung – also bei zusätzlicher Entnahme der Ei- generzeugungsmengen aus dem öffentlichen Netz – anfallen würden. Informati- onen darüber liegen nicht vor. Zu einem „fehlenden Beitrag zur Finanzierung“ kommt es nicht, weil die für alle Stromkunden kalkulierten Netzentgelte dies ausgleichen. Nach den Schätzungen der Übertragungsnetzbetreiber im Rahmen der Ermittlung der EEG-Umlage werden derzeit rund 10 Prozent der gesamten Stromverbrauchs- menge in Deutschland in der privaten und gewerblichen Eigenversorgung ver- braucht. Würde es keine Eigenversorgung geben und der Strom in vollem Um- fang aus den Netzen entnommen werden, könnten die Netzentgelte demnach auf Basis einer solchen sehr groben Abschätzung rund 10 Prozent niedriger liegen.
5

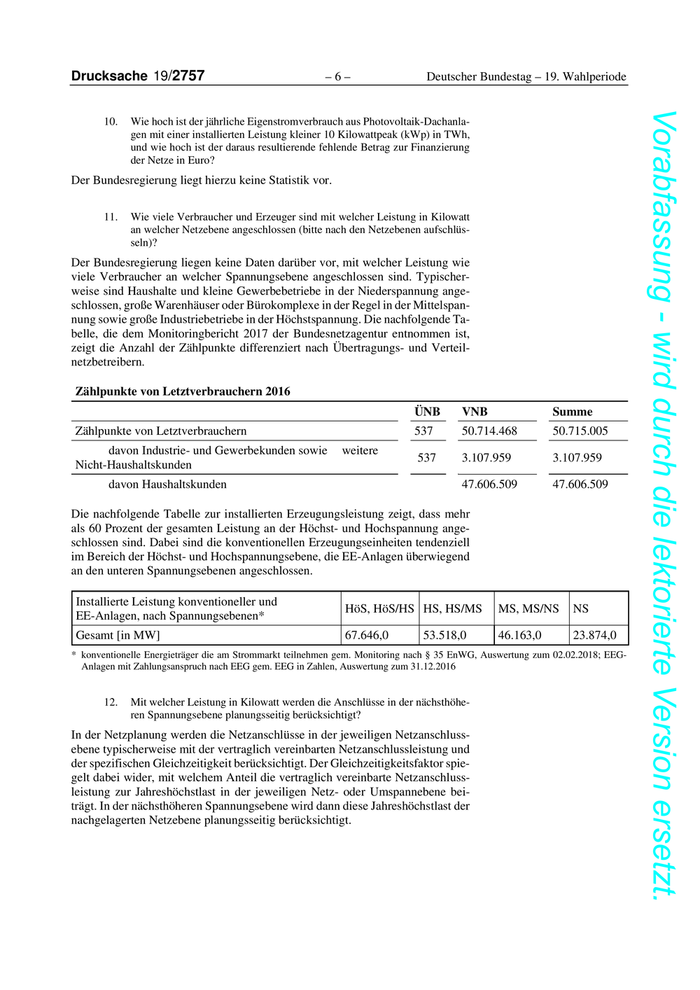
Drucksache 19/2757                                      –6–                   Deutscher Bundestag – 19. Wahlperiode Vorabfassung - wird durch die lektorierte Version ersetzt. 10.   Wie hoch ist der jährliche Eigenstromverbrauch aus Photovoltaik-Dachanla- gen mit einer installierten Leistung kleiner 10 Kilowattpeak (kWp) in TWh, und wie hoch ist der daraus resultierende fehlende Betrag zur Finanzierung der Netze in Euro? Der Bundesregierung liegt hierzu keine Statistik vor. 11.   Wie viele Verbraucher und Erzeuger sind mit welcher Leistung in Kilowatt an welcher Netzebene angeschlossen (bitte nach den Netzebenen aufschlüs- seln)? Der Bundesregierung liegen keine Daten darüber vor, mit welcher Leistung wie viele Verbraucher an welcher Spannungsebene angeschlossen sind. Typischer- weise sind Haushalte und kleine Gewerbebetriebe in der Niederspannung ange- schlossen, große Warenhäuser oder Bürokomplexe in der Regel in der Mittelspan- nung sowie große Industriebetriebe in der Höchstspannung. Die nachfolgende Ta- belle, die dem Monitoringbericht 2017 der Bundesnetzagentur entnommen ist, zeigt die Anzahl der Zählpunkte differenziert nach Übertragungs- und Verteil- netzbetreibern. Zählpunkte von Letztverbrauchern 2016 ÜNB       VNB                 Summe Zählpunkte von Letztverbrauchern                                            537       50.714.468          50.715.005 davon Industrie- und Gewerbekunden sowie             weitere 537       3.107.959           3.107.959 Nicht-Haushaltskunden davon Haushaltskunden                                                         47.606.509          47.606.509 Die nachfolgende Tabelle zur installierten Erzeugungsleistung zeigt, dass mehr als 60 Prozent der gesamten Leistung an der Höchst- und Hochspannung ange- schlossen sind. Dabei sind die konventionellen Erzeugungseinheiten tendenziell im Bereich der Höchst- und Hochspannungsebene, die EE-Anlagen überwiegend an den unteren Spannungsebenen angeschlossen. Installierte Leistung konventioneller und HöS, HöS/HS HS, HS/MS             MS, MS/NS        NS EE-Anlagen, nach Spannungsebenen* Gesamt [in MW]                                             67.646,0         53.518,0         46.163,0         23.874,0 * konventionelle Energieträger die am Strommarkt teilnehmen gem. Monitoring nach § 35 EnWG, Auswertung zum 02.02.2018; EEG- Anlagen mit Zahlungsanspruch nach EEG gem. EEG in Zahlen, Auswertung zum 31.12.2016 12.   Mit welcher Leistung in Kilowatt werden die Anschlüsse in der nächsthöhe- ren Spannungsebene planungsseitig berücksichtigt? In der Netzplanung werden die Netzanschlüsse in der jeweiligen Netzanschluss- ebene typischerweise mit der vertraglich vereinbarten Netzanschlussleistung und der spezifischen Gleichzeitigkeit berücksichtigt. Der Gleichzeitigkeitsfaktor spie- gelt dabei wider, mit welchem Anteil die vertraglich vereinbarte Netzanschluss- leistung zur Jahreshöchstlast in der jeweiligen Netz- oder Umspannebene bei- trägt. In der nächsthöheren Spannungsebene wird dann diese Jahreshöchstlast der nachgelagerten Netzebene planungsseitig berücksichtigt.
6

Deutscher Bundestag – 19. Wahlperiode                  –7–                                Drucksache 19/2757 Vorabfassung - wird durch die lektorierte Version ersetzt. 13.   Welchen gesetzgeberischen oder regulatorischen Anpassungsbedarf sieht die Bundesregierung, um eine verursachungsgerechte und sozial verträgliche Netzentgeltstruktur zu etablieren, die zugleich Anreize für den kostenopti- mierten Netzbetrieb etwa zur Flexibilität setzt? Auf die Antwort zu Frage 7 wird verwiesen. 14.   Teilt die Bundesregierung die Ansicht, dass die heutige Netzentgeltsystema- tik einen Anreiz bietet, den Ausbau erneuerbarer Energien vor Ort zu brem- sen, um die lokalen Netzentgelte gegenüber anderen Regionen niedrig zu halten, und wie gedenkt sie dies zu ändern? Die Bundesregierung teilt diese Ansicht nicht. Die Höhe der örtlichen Netzent- gelte ist generell von einer Vielzahl von Faktoren abhängig. Sie werden aus den Kosten des örtlichen Netzbetreibers und den Kosten für den Bezug aus den vor- gelagerten Netzebenen gebildet. Als örtliche Kosten fließen die eigenen Kosten des Netzbetreibers ein. Diese sind geprägt durch die Versorgungsaufgabe, aber zum Beispiel auch durch das Alter der Netzinfrastruktur. Neben den Kapitalkos- ten fallen zudem Personal- und Dienstleistungskosten für den Betrieb und die In- standhaltung der Netzinfrastruktur des örtlichen Netzbetreibers an. Maßgeblich sind die Kosten des örtlichen Netzbetreibers zudem von den Kosten vorgelagerter Netzbetreiber beeinflusst, also von Dritten, die in die örtlichen Netzentgelte ein- fließen. Grundsätzlich ist richtig, dass die Dimensionierung der Stromverteilernetze nicht nur vom Stromabsatz der Endkunden abhängt, sondern auch vom Umfang der Stromeinspeisung. Daher können auch ein Anschluss von Erneuerbare-Energien- Anlagen und insbesondere dadurch bedingter örtlicher Netzausbau zusätzliche Kosten mit sich bringen, die über die Netzentgelte finanziert werden und in den betroffenen Netzgebieten zu höheren Netzentgelten führen. Einen Beitrag zur unterschiedlichen Höhe der Verteilernetzentgelte leisten im Übrigen auch die Zahlungen für sog. vermiedene Netzentgelte. Durch das Netzentgeltmodernisierungsgesetz wurden hier Änderungen herbeigeführt, die bereits im Jahr 2018 zu einer ersten kostendämpfenden Wirkung geführt haben. Auf die Antwort zu Frage 17 wird ergänzend verwiesen. 15.   Gibt es entsprechende Planungen der Bundesregierung, die Stromnetzent- gelte umzustrukturieren, damit netzdienliche Flexibilität der Verbraucher angereizt wird? Falls ja, wann und in welcher Form beabsichtigt sie die erforderlichen Maß- nahmen auf den Weg zu bringen, und falls nein, warum nicht? Auf die Antwort zu Frage 7 wird verwiesen. 16.   Welche Technologien könnten nach Ansicht der Bundesregierung die Kos- ten des Netzausbaus in den Übertragungs- und Verteilernetzen senken, und wie gedenkt die Bundesregierung deren Einsatz anzureizen? In diesem Zusammenhang ist zwischen den verschiedenen Spannungsebenen der Stromversorgungsnetze zu unterscheiden. Die BMWi-Verteilernetzstudie aus dem Jahr 2014 hat einen Investitionsbedarf in die deutschen Verteilernetze von ca. 23 Mrd. Euro bis 2032 aufgrund von erzeu- gungsgetriebenem Netzausbau ermittelt (Szenario „EEG 2014“). Dabei wurde ein erhebliches Einsparpotenzial durch den Einsatz innovativer Planungskonzepte
7

Drucksache 19/2757                                   –8–                   Deutscher Bundestag – 19. Wahlperiode Vorabfassung - wird durch die lektorierte Version ersetzt. und intelligenter Technologien errechnet. So können danach durch eine sog. Spit- zenkappung in der Netzplanung (3 Prozent pro Wind- und PV-Anlage) die jähr- lichen Zusatzkosten, die der energiewendebedingte Netzausbau verursacht, bis zum Jahr 2032 um ca. 15 Prozent reduziert werden. Die gesetzliche Vorausset- zung für diese Maßnahme wurde in § 11 Absatz 2 EnWG umgesetzt. Neben dem erzeugungsgetriebenen Netzausbau wird zukünftig auch ein verbrauchsseitiger Netzausbaubedarf aufgrund des Netzanschluss neuer, flexibel Strom abnehmen- der, Verbrauchseinrichtungen wie Ladesäulen für Elektromobile oder Wärme- pumpen zunehmen. Mit welchen Maßnahmen dieser zusätzliche Netzausbaube- darf begrenzt werden kann, wird derzeit in einer Studie des BMWi: „Digitalisie- rung der Energiewende: Topthema 2“ ermittelt. Im Bereich der Übertragungsnetzebene kommt, neben den Vorhaben zum Netz- ausbau und zur Netzverstärkung, der Nutzung von Technologien zur höheren Netzauslastung erhebliche Bedeutung zu. In vielen Fällen ist der Einsatz von Technologien (z. B. Freileitungsmonitoring und Hochtemperaturbeseilung) be- reits geplant oder in der Umsetzung. Um weitere Maßnahmen identifizieren zu können, bedarf es eines kontinuierlichen Monitorings, welche Teilabschnitte im Netz bereits Netzoptimierungsmaßnahmen nutzen und für welche Teilabschnitte eine kurzfristige Umsetzung solcher Maßnahmen geplant ist. Zur Kompensation entstehender Kosten und zur Gewährleistung der Systemsicherheit kann es in den Jahren von 2020 bis 2030 sinnvoll sein, Netzausbaumaßnahmen umzusetzen, die zwar im Zieljahr des Netzentwicklungsplans (NEP) 2017-2030 nicht von signifi- kanter Bedeutung sind, aber in dem genannten Zeitraum gleichwohl vorteilhaft sind. Dabei kommen folgerichtig allerdings nur solche Maßnahmen in Betracht, die sich planerisch und baulich schnell umsetzen lassen, ihrerseits keine erhebli- chen Umweltauswirkungen haben und keine wesentlichen raumplanerischen Konflikte verursachen. Im NEP 2017 bis 2030 haben die Übertragungsnetzbetrei- ber erstmals 13 solcher Maßnahmen vorgeschlagen, von denen neun durch die Bundesnetzagentur auf ihre wirtschaftliche Vorteilhaftigkeit geprüft und bestätigt wurden. 17.   Wie wird sich die Streichung der vermiedenen Netznutzungsentgelte für So- lar- und Windstrom auf die Höhe der Netzentgelte auswirken, und inwieweit wird sich dadurch die EEG-Umlage erhöhen? Die mit dem Netzentgeltmodernisierungsgesetz beschlossenen Maßnahmen ha- ben die Höhe der Verteilernetzentgelte im Jahr 2018 gedämpft und daher positive Effekte für die Netznutzer gezeigt. Nach der Auswertung vorliegender Daten wird für die Netzbetreiber in Zuständigkeit der Bundesnetzagentur für das Jahr 2018 über alle Spannungsebenen mit Kosten für vermiedene Netzentgelten in Höhe von ca. 1,3 Mrd. Euro gerechnet (Planwert). Dies ist eine bundesweite Kostenentlastung der Verteilernetze gegenüber dem Jahr 2017 in Höhe von 1,1 Mrd. Euro. Im Jahr 2017 betrugen die Kosten aus diesen Zahlungen noch 2,4 Mrd. Euro (Planwert). Demgegenüber sind die in die erfassten Verteilernetze eingespeisten Mengen, auf die vermiedene Netzentgelte anfallen, von 207 TWh auf 217 TWh gestiegen (ebenfalls Planwerte). Hinzu kommen Einspareffekte, die sich in den Netzgebieten der Netzbetreiber ergeben, deren Regulierung nicht in die Zuständigkeit der Bundesnetzagentur, sondern der Landesregulierungsbe- hörde fallen. Hinsichtlich der Auswirkungen auf die Höhe der EEG-Umlage kann auf Basis aktueller Zahlen eine grobe Näherungsrechnung erfolgen: Im Jahr 2017 betrugen die vermiedenen Netzentgelte für volatile Erzeugung (Wind- und Solarkraft) nach Prognosen der Übertragungsnetzbetreiber rund 550 Mio. Euro. Diese Zahlungen
8

Deutscher Bundestag – 19. Wahlperiode                –9–                                Drucksache 19/2757 Vorabfassung - wird durch die lektorierte Version ersetzt. werden, beginnend im Jahr 2018, über drei Jahre abgeschmolzen. Pro Jahr ergibt sich damit eine durchschnittliche Verminderung der vermiedenen Netzentgelte von 150 bis 200 Mio. Euro. Der für die EEG-Umlage anzulegende Letztverbrauch wird für das Jahr 2018 auf rund 350 Mrd. TWh prognostiziert. Überschlä- gig ergibt sich daraus ein jährlich steigender Finanzierungsbedarf von ca. 0,05 Cent/kWh für die Jahre 2018 bis 2020. Im Ergebnis beträgt der zusätzliche Finanzierungsbedarf in der EEG-Umlage ab 2020 somit ca. 0,15 Cent/kWh. 18.   Zu welchen finanziellen Be- und Entlastungen führen bzw. führten die ver- miedenen Netznutzungsentgelte je Durchschnittshaushalt und Jahr ab dem 1. Januar 2018 (perspektivisch ab 2019) in den Regelzonen? Bezüglich der Auswirkungen der Änderungen durch das Netzentgeltmodernisie- rungsgesetzes auf die Höhe der Netzentgelte für Haushaltskunden kann derzeit über die Antwort auf Frage 17 hinaus keine konkretere Aussage getroffen wer- den. Es liegen keine Informationen darüber vor, wie sich die Netzentgelte ohne die Änderungen im Jahr 2018 in den einzelnen Netzgebieten entwickelt hätten. Die Änderungen bei den vermiedenen Netzentgelten wirken nicht regelzonenbe- zogen, sondern bundesweit einheitlich. Sie können jedoch in den einzelnen Netz- gebieten zu unterschiedlich hohen Kostenentlastungen führen, und zwar abhängig einerseits von dem Umfang dezentraler Einspeisung und andererseits von dem Umfang der Stromabnahme im jeweiligen Netzgebiet, auf das die Netzkosten ver- teilt werden können. Allgemein lässt sich sagen: Kunden in Netzgebieten mit ei- nem hohem Umfang volatiler Stromeinspeisung dürften in besonderem Maße von der Abschmelzung der vermiedenen Netzentgelte profitieren. Da es sich bei der- artigen Netzgebieten oft um Gebiete mit einer geringeren Stromabnahme und in aller Regel um solche mit einem höheren Netzentgeltniveau handelt, sind die Än- derungen auch ein Beitrag zur Angleichung des Netzentgeltniveaus im Verteiler- netz. Im Unterschied zu den Änderungen bei den Netzentgelten sind die in der Antwort zu Frage 17 dargestellten Auswirkungen auf die EEG-Umlage bundes- weit einheitlich. 19.   Wie wird sich die die bundesweite Vereinheitlichung der Übertragungs- netzentgelte im Zeitraum von 2019 bis 2021 auf die Höhe der Netzentgelte in den vier Übertragungsnetzzonen auswirken, und welche Differenz gibt es im Schnitt zwischen den heutigen Entgelten typischer Haushaltskunden (Verbrauch 3 500 kWh/a) in den vier Regelzonen (wenn keine Daten vorlie- gen, bitte die Differenz zwischen hohen und niedrigen Netzentgelten unab- hängig von der Regelzone aufzeigen)? Die bundesweite Vereinheitlichung der Übertragungsentgelte erfolgt schrittweise ab dem Jahr 2019 um jeweils 20 Prozent und wird zu Beginn des Jahres 2023 abgeschlossen sein. Welche konkreten jährlichen Änderungen daraus auf die Höhe der Übertragungsnetzentgelte in den vier Übertragungsnetzgebieten folgen, hängt auch von der künftigen Kostenentwicklung in diesen vier Netzgebieten bzw. der künftigen Entwicklung der Erlösobergrenzen der vier Übertragungsnetz- betreiber ab, die in die Bildung des bundeseinheitlichen Übertragungsnetzentgelts einfließen. Die Änderungen in Bezug auf die Höhe der Übertragungsnetzentgelte in den vier Gebieten in den letzten Jahren zeigen, dass sich substanzielle Ände- rungen der Übertragungsnetzentgelte in den einzelnen Gebieten ergeben können. Derzeit kann vor diesem Hintergrund noch nicht vorhergesagt werden, wie hoch das individuelle Übertragungsnetzentgelt in den vier Gebieten im Jahr 2019 sein wird. Daher kann auch noch keine Aussage dazu getroffen werden, welche kon-
9

Drucksache 19/2757                                    – 10 –                 Deutscher Bundestag – 19. Wahlperiode Vorabfassung - wird durch die lektorierte Version ersetzt. krete Änderung in welcher Höhe dadurch eintreten wird, dass ein Fünftel der Er- lösobergrenzen im Jahr 2019 einem bundeseinheitlichen Entgeltbildungsmecha- nismus unterliegen wird. Da auf die Kosten des Übertragungsnetzes im Schnitt derzeit ca. ein Viertel der gesamten Netzkosten entfällt, entfaltet die schrittweise Vereinheitlichung der Übertragungsnetzentgelte eine entsprechende anteilige Wirkung auf die Höhe der Netzentgelte für Haushaltskunden. 20.   Sieht die Bundesregierung in den geltenden Regelungen zu individuellen Netzentgelten für stromintensive Letztverbraucher nach § 19 Absatz 2 Satz 2 der Stromnetzentgeltverordnung (StromNEV) ein Hemmnis für fle- xibles (markt- und/oder netzdienliches) Abnahmeverhalten, wenn nein wa- rum nicht? 21.   Wann ist mit der Umsetzung der im Weißbuch „Ein Strommarkt für die Energiewende“ (S. 71) angekündigten Eckpunkte zu einer Anpassung des § 19 Absatz 2 Satz 2 StromNEV zu rechnen? 22.   Welche Hindernisse sprechen gegen eine baldige Anpassung des § 19 Ab- satz 2 Satz 2? Die Fragen 20 bis 22 werden gemeinsam beantwortet. Wie im Weißbuch „Ein Strommarkt für die Energiewende“ dargelegt, kann der Umstand, dass § 19 Absatz 2 Satz 2 StromNEV auf eine gleichmäßige Stromab- nahme durch eine bestimmte Anzahl von Benutzungsstunden abstellt, entspre- chende Anreize für das Verbrauchsverhalten der Unternehmen geben, die die Vo- raussetzungen für ein individuelles Netzentgelt erreichen wollen. Ein solches Ab- nahmeverhalten zielt in Zeiten starker EE-Einspeisung nicht auf gegebenenfalls netzdienliche bzw. Angebot und Nachfrage ausgleichende Flexibilität. Das individuelle Netzentgelt war bis vor wenigen Tagen Gegenstand eines lau- fenden Beihilfeverfahrens der Europäischen Kommission, dessen Ergebnis auch Auskunft über die Rahmenbedingungen für ein solches individuelles Netzentgelt gibt. Dies ist ein zentraler Faktor für die künftige Gestaltung der genannten Vor- schrift. Die Entscheidung der Europäischen Kommission wurde jetzt getroffen. Auf die Pressemitteilung der Europäischen Kommission wird verwiesen. Die Bundesregierung wird nunmehr analysieren, welche Schlussfolgerungen sich aus dieser Entscheidung sowie aufgrund einer sich ändernden Marktsituation für die Ausgestaltung des § 19 Absatz 2 StromNEV und für künftige Änderungen ergeben. 23.   Wie ermöglicht die Bundesregierung, mit Blick auf den zunehmenden Aus- bau an Wind- und Sonnenstrom, kurzfristiges flexibles Verhalten der Nutzer nach § 19 Absatz 2 Satz 1 StromNEV „atypischer Netznutzung“, wenn die vom Netzbetreiber festgelegten Hochlastzeitfenster für die besonderen Netz- entgelte mit einem Kalenderjahr im Voraus festgelegt werden? Derzeit haben Letztverbraucher einen Anspruch auf ein reduziertes Netzentgelt auf Basis von § 19 Absatz 2 Satz 1 StromNEV in Verbindung mit einer Festle- gung der Bundesnetzagentur vom 11. Dezember 2013 (BK4-13-739), wenn sie in den vom Netzbetreiber festgelegten Hochlastzeitfenstern im Vergleich zu den üb- rigen Netznutzern eine Lastabsenkung aufweisen (atypische Netznutzung).
10

Zur nächsten Seite