BI14_x_L_HT_GG.pdf

Dieses Dokument ist Teil der Anfrage „Abiturprüfungen

/ 46
PDF herunterladen
Ministerium für Schule und Weiterbildung NRW BI LK HT 3 Seite 2 von 11 3. Materialgrundlage  Material A: Abbildung 1a bis 1c: verändert nach Wielgoss et al. 2012 Abbildung 1d: verändert nach: http://www.uni-goettingen.de/de/3240.html?cid=4322 Abbildung 1e: verändert nach: http://bioweb.uwlax.edu/bio203/s2008/boland_kirs/ Adaptations.htm  Material B: Abbildung 2: verändert nach See & Kho 1996 Abbildung 3: verändert nach: http://www.oired.vt.edu/ipmcrsp/SuccessStories/CocoaPod.html Tabelle 1: verändert nach Rosmana et al. 2010, Table 2  Material C: Abbildung 4, Tabelle 2 und Tabelle 3: verändert nach Wielgoss et al. 2012  Clough, Y., Putra, D. D., Pitopang, R. & Tscharntke, T. (2009). Local and landscape fac-            tors determine functional bird diversity in Indonesian cacao agroforestry. Biological Conservation 142, S. 1032 – 1041 Freudig, D. (2004): Lexikon der Biologie. Heidelberg: Spektrum, Akademischer Verlag Ho, C. T. & Khoo, K. C. (1997). Partners in biological control of cocoa pests: Mutualism between Dolichoderus thoracicus (Hymenoptera: Formicidae) and Cataenococcus hispidus (Hemiptera: Pseudococcidae). Bulletin of Entomological Research 87, S. 461 – 470 Hosang, M. L. A., Schulze, C. H., Tscharntke, T. & Buchori, D. (2010). The potential of artificial nesting sites for increasing the population density of the black cacoa ants. Indonesian Journal of Agriculture 3(1), S. 45 – 50 Rizali, A. (2012). Ant community structure and biological control in Indonesian cacao agroforestry: long-term changes, land-use management and precipitation gradients. Dissertation in the International Ph. D. Program for Agricultural Sciences in Goettin- gen (IPAG) at the Faculty of Agricultural Sciences, Georg-August-University Göttingen, Germany Rosmana, A., Shepard, M., Hebbar, P. & Mustari, A. (2010). Control of cocoa pod borer and phytophtora pod rot using degradable plastic pod sleeves and a nematode, Steinernema carpocapsae. Indonesien Journal of Agricultural Science 11, S. 41 – 47 See, Y. A. & Khoo, K. C. (1996). Influence of Dolichoderus thoracicus (Hymenoptera: Formicidae) on cocoa pod damage by Conopomorpha cramerella (Lepidoptera: Gracillariidae) in Malaysia. Bulletin of Entomological Research 86, S. 467 – 474 Way, M. J. (1992). Role of ants in pest management. Annual Review of Entomology 37, S. 479 – 503 Wielgoss, A. C., Clough, Y., Fiala, B., Rumede, A. & Tscharntke, T. (2012). A minor pest reduces yield losses by a major pest: plant-mediated herbivore interactions in Indonesian cacao. Journal of Applied Ecology 49, S. 465 – 473 http://www.uni-goettingen.de/de/3240.html?cid=4322 (Zugriff 21.01.2014) http://bioweb.uwlax.edu/bio203/s2008/boland_kirs/Adaptations.htm (Zugriff 21.01.2014) http://www.oired.vt.edu/ipmcrsp/SuccessStories/CocoaPod.html (Zugriff 21.01.2014) Nur für den Dienstgebrauch!
37

Ministerium für Schule und Weiterbildung NRW BI LK HT 3 Seite 3 von 11 4. Bezüge zu den Vorgaben 2014 1. Inhaltliche Schwerpunkte Ökologische Verflechtungen und nachhaltige Nutzung  Einfache Beziehungen zwischen Organismengruppen und abiotischen Habitatfaktoren – Angepasstheiten an Temperatur und Feuchtigkeit bei Tieren und Pflanzen – Toleranzbereich, physiologisches und ökologisches Optimum  Wechselbeziehungen, Populationsdynamik – Beziehungen zwischen Populationen: LOTKA-VOLTERRA-Regeln, Konkurrenz, Koexistenz  Verflechtungen in Lebensgemeinschaften – Biomasseproduktion, Trophieebenen, Energiefluss  Nachhaltige Nutzung und Erhaltung von Ökosystemen – Nachhaltige Bewirtschaftung (chemische Schädlingsbekämpfung, biologischer Pflanzenschutz) 2. Medien/Materialien  entfällt 5. Zugelassene Hilfsmittel  Wörterbuch zur deutschen Rechtschreibung Nur für den Dienstgebrauch!
38

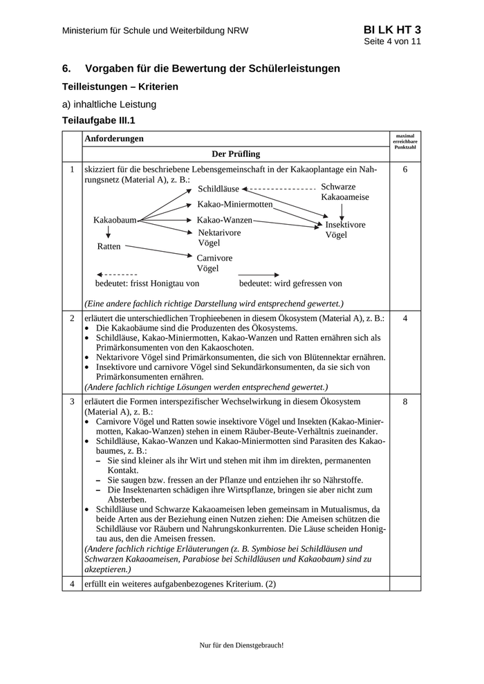
BI LK HT 3 Ministerium für Schule und Weiterbildung NRW Seite 4 von 11 6. Vorgaben für die Bewertung der Schülerleistungen Teilleistungen – Kriterien a) inhaltliche Leistung Teilaufgabe III.1 maximal erreichbare Punktzahl Anforderungen Der Prüfling 1 skizziert für die beschriebene Lebensgemeinschaft in der Kakaoplantage ein Nah- rungsnetz (Material A), z. B.: Schwarze Schildläuse Kakaoameise Kakao-Miniermotten Kakaobaum Ratten Kakao-Wanzen Nektarivore Vögel 6 Insektivore Vögel Carnivore Vögel bedeutet: frisst Honigtau von bedeutet: wird gefressen von (Eine andere fachlich richtige Darstellung wird entsprechend gewertet.) 2 erläutert die unterschiedlichen Trophieebenen in diesem Ökosystem (Material A), z. B.:  Die Kakaobäume sind die Produzenten des Ökosystems.  Schildläuse, Kakao-Miniermotten, Kakao-Wanzen und Ratten ernähren sich als Primärkonsumenten von den Kakaoschoten.  Nektarivore Vögel sind Primärkonsumenten, die sich von Blütennektar ernähren.  Insektivore und carnivore Vögel sind Sekundärkonsumenten, da sie sich von Primärkonsumenten ernähren. (Andere fachlich richtige Lösungen werden entsprechend gewertet.) 4 3 erläutert die Formen interspezifischer Wechselwirkung in diesem Ökosystem (Material A), z. B.:  Carnivore Vögel und Ratten sowie insektivore Vögel und Insekten (Kakao-Minier- motten, Kakao-Wanzen) stehen in einem Räuber-Beute-Verhältnis zueinander.  Schildläuse, Kakao-Wanzen und Kakao-Miniermotten sind Parasiten des Kakao- baumes, z. B.: – Sie sind kleiner als ihr Wirt und stehen mit ihm im direkten, permanenten Kontakt. – Sie saugen bzw. fressen an der Pflanze und entziehen ihr so Nährstoffe. – Die Insektenarten schädigen ihre Wirtspflanze, bringen sie aber nicht zum Absterben.  Schildläuse und Schwarze Kakaoameisen leben gemeinsam in Mutualismus, da beide Arten aus der Beziehung einen Nutzen ziehen: Die Ameisen schützen die Schildläuse vor Räubern und Nahrungskonkurrenten. Die Läuse scheiden Honig- tau aus, den die Ameisen fressen. (Andere fachlich richtige Erläuterungen (z. B. Symbiose bei Schildläusen und Schwarzen Kakaoameisen, Parabiose bei Schildläusen und Kakaobaum) sind zu akzeptieren.) 8 4 erfüllt ein weiteres aufgabenbezogenes Kriterium. (2) Nur für den Dienstgebrauch!
39

Ministerium für Schule und Weiterbildung NRW BI LK HT 3 Seite 5 von 11 Teilaufgabe III.2 Anforderungen Der Prüfling maximal erreichbare Punktzahl 1 fasst die in Material B dargestellten Untersuchungsergebnisse zusammen (Abbildung 2), z. B.:  An ameisenreichen Kakaobäumen sind deutlich weniger Kakaoschoten geschädigt oder befallen.  Der Befall durch Kakao-Miniermotten ist im Vergleich um etwa die Hälfte oder etwas mehr reduziert.  Die Anwesenheit der Ameisen scheint sich noch stärker auf die Schädigung durch Ratten auszuwirken. Hier ist die Schädigung stets über die Hälfte, oft um mehr als 70 % reduziert. 5 2 fasst die in Material B dargestellten Untersuchungsergebnisse zusammen (Tabelle 1), z. B.:  Die unbehandelten Kontroll-Kakaoschoten sind am stärksten geschädigt, und ihre Kakaobohnen erzielen das geringste Gesamt-Trockengewicht pro Kakaoschote.  Mit abbaubarer Folie umwickelte Kakaoschoten zeigen nur 8,5 % Schädigung, und ihre Kakaobohnen erzielen etwa ein doppelt so hohes Gesamt-Trockengewicht wie die unbehandelten Kakaoschoten.  Die Behandlung mit Fadenwürmern reduziert die Schädigung auf 4,9 %, wobei die Bohnen mit 45 g das gleiche Gesamt-Trockengewicht erzielen wie jene in den mit abbaubarer Folie umwickelten Kakaoschoten.  Mit abbaubarer Folie umwickelte und mit Fadenwürmern gespritzte Kakaoschoten wurden nicht geschädigt. Demenentsprechend zeigen diese Bohnen mit 74,8 g das höchste Gesamt-Trockengewicht pro Kakaoschote. 5 3 beurteilt die Eignung der in Tabelle 1 aufgeführten Maßnahmen zur Schädlings- bekämpfung, z. B.:  Abbaubare Folienumhüllungen und Fadenwürmer als einzelne Maßnahmen sind etwa gleich gut zur Schädlingsbekämpfung geeignet, da das durchschnittliche Gesamt-Trockengewicht aller absatzfähigen Kakaobohnen pro Kakaoschote identisch ist.  Der gleichzeitige Schutz mit abbaubarer Folienumhüllung und Fadenwürmern ist effektiver als jede einzelne Maßnahme für sich, weil keine Kakaoschoten mehr geschädigt wurden und das durchschnittliche Gesamt-Trockengewicht aller absatz- fähigen Kakaobohnen pro Kakaoschote erheblich größer ist. 4 4 erfüllt ein weiteres aufgabenbezogenes Kriterium. (2) Nur für den Dienstgebrauch!
40

Ministerium für Schule und Weiterbildung NRW BI LK HT 3 Seite 6 von 11 Teilaufgabe III.3 Anforderungen 1 2 3 4 5 6 Der Prüfling beschreibt die in Material C (Abbildung 4) dargestellten Ergebnisse der Untersu- chungen mit Kakao-Miniermotten und Kakao-Wanzen, sinngemäß:  Die Anzahl geernteter Kakaoschoten steigt von Februar bis Juni an und fällt dann wieder ab.  Die Anzahl der Kakaoschoten, die nur von der Kakao-Miniermotte befallen wurde, ist größer als die Anzahl derer, die nur von der Kakao-Wanze befallen wurde.  Es konnte im Vergleich hierzu nur eine geringe Anzahl von Kakaoschoten fest- gestellt werden, die von beiden Arten befallen war.  Von Februar bis Juni sind weniger Schoten von beiden Schädlingen gleichzeitig als von der Kakao-Wanze allein befallen. Danach sind mehr Schoten von beiden als nur von der Kakao-Wanze befallen. beschreibt die in Material C (Tabelle 2) dargestellten Ergebnisse der Untersuchungen mit Kakao-Miniermotten und Kakao-Wanzen, z. B.:  Das durchschnittliche Gesamt-Trockengewicht der Kakaobohnen pro Kakao- schote aus nicht befallenen Kakaoschoten und aus Kakaoschoten, die von der Kakao-Wanze befallen waren, unterscheidet sich nur gering (32,5 g im Vergleich zu 32,3 g).  Im Gegensatz dazu ist das durchschnittliche Gesamt-Trockengewicht der Bohnen pro Kakaoschote aus Kakaoschoten, die von der Kakao-Miniermotte befallen waren, wesentlich geringer (nur 21,5 g). beschreibt die in Material C (Tabelle 3) dargestellten Ergebnisse der Untersuchungen mit Kakao-Miniermotten und Kakao-Wanzen, z. B.:  Alle nicht von Kakao-Wanzen befallenen Kakaoschoten werden im Experiment durch Kakao-Miniermotten befallen.  Ist die Kakaoschote bereits von Kakao-Wanzen befallen, werden nur 25 von 38 Schoten durch Kakao-Miniermotten befallen, und die Kakao-Miniermotten legen deutlich weniger Eier auf den Schoten ab. erläutert auch mithilfe der Informationen in Material A die Ergebnisse, z. B.:  Die Kakao-Miniermotte ist der Hauptschädling der Kakaobohnen, da ihre Larven mehr Schoten befallen als die Kakao-Wanzen und dadurch das Gesamt-Trocken- gewicht der Bohnen pro Kakaoschote um etwa ein Drittel senken.  Der Befall durch Kakao-Miniermotten hat eine wesentlich stärkere Auswirkung auf das Gesamt-Trockengewicht der Bohnen pro Kakaoschote, da sie Fruchtfleisch fressen und so die Anzahl und Qualität der Kakaobohnen verringern. (Andere fachlich richtige Lösungen werden entsprechend gewertet.) erläutert auch mithilfe der Informationen in Material A die Ergebnisse, z. B.:  Der Befall durch die Kakao-Wanze hat auf das Gesamt-Trockengewicht der Kakaobohnen nur einen geringen Einfluss: Es wird nur die Schale der Schoten beeinträchtigt, aber nicht die Bohnen selbst.  Die Kakao-Miniermotte legt wahrscheinlich deshalb weniger Eier auf den durch Kakao-Wanzen befallenen Schoten ab, weil deren Oberfläche vernarbt und ver- härtet ist, sodass die Larven schlechter durch die verhärtete Schale ins Frucht- fleisch eindringen können. (Andere fachlich richtige Lösungen werden entsprechend gewertet.) erfüllt ein weiteres aufgabenbezogenes Kriterium. (2) Nur für den Dienstgebrauch! maximal erreichbare Punktzahl 4 3 3 6 6
41

Ministerium für Schule und Weiterbildung NRW BI LK HT 3 Seite 7 von 11 Teilaufgabe III.4 Anforderungen Der Prüfling maximal erreichbare Punktzahl 1 beurteilt den Einsatz von Insektiziden in Kakaoplantagen zur Reduzierung des Befalls mit Schädlingen, z. B.:  Chemische Schädlingsbekämpfung mit Insektiziden tötet die Insekten auf den Schoten ab. Deshalb werden dadurch die Kakao-Wanzen, Ameisen und Schild- läuse dezimiert. Vor allem die Kakao-Wanzen sind betroffen, da die Insektizide gesprüht werden, sobald die Kakao-Wanzen auf den Schoten erscheinen.  Die Kakao-Miniermotten werden durch Insektizide wahrscheinlich nur in sehr geringem Maße dezimiert. Dies hat zwei Ursachen: Zum einen werden Insektizide vor der Eiablage der Motten gespritzt, und zum anderen bohren sich die Larven nach dem Schlüpfen sofort ins Fruchtfleisch, wo sie durch die Insektizide nicht mehr geschädigt werden können.  Der Einsatz von Insektiziden erhöht wahrscheinlich die Schädigung durch Kakao- Miniermotten, da die Populationsdichte der Ameisen, Schildläuse und Kakao- Wanzen gesenkt wird. Damit fallen Nahrungskonkurrenten weg. Außerdem legen die Kakao-Miniermotten deutlich mehr Eier auf Schoten ab, die nicht durch Kakao-Wanzen befallen sind.  Außerdem könnte eine Dezimierung der Ameisen auch zu einer Erhöhung der Schädigung durch Ratten führen.  Ein Insektizideinsatz erscheint aus den genannten Gründen daher nicht sinnvoll. (Andere fachlich richtige Lösungen werden entsprechend gewertet.) 8 2 leitet aus den Materialien A bis C eine ökologisch und wirtschaftlich sinnvolle Stra- tegie zur Ertragssteigerung der Kakaobohnen ab, z. B.:  Die Kakao-Wanze sollte nicht bekämpft werden, da sie den Befall durch die Hauptschädlinge, die Kakao-Miniermotten, deutlich reduziert.  Die Besiedlungsdichte der Ameisen sollte erhöht werden. Sie eignen sich zur biologischen Schädlingsbekämpfung. Aus diesem Grund sollten auch Schild- läuse, die mit den Ameisen in Mutualismus leben, nicht bekämpft werden. Sie schädigen außerdem die Schoten und Bohnen nicht.  Ergänzend erscheint auch der Einsatz von Fadenwürmern zur biologischen Schädlingsbekämpfung sinnvoll.  Der Einsatz abbaubarer Folien erscheint ökologisch sinnvoll und steigert auch den Ertrag an Kakaobohnen. Jedoch erscheint es nicht wirtschaftlich, jede Kakao- schote jedes Kakaobaums der gesamten Plantage in eine abbaubare Plastikfolie einzuwickeln, da dies einen enormen zusätzlichen Arbeitsbedarf bedeuten würde. (Andere fachlich richtige Lösungen werden entsprechend gewertet.) 4 3 erfüllt ein weiteres aufgabenbezogenes Kriterium. (2) b) Darstellungsleistung Anforderungen Der Prüfling     führt seine Gedanken schlüssig, stringent und klar aus. strukturiert seine Darstellung sachgerecht. verwendet eine differenzierte und präzise Sprache. gestaltet seine Arbeit formal ansprechend. Nur für den Dienstgebrauch! maximal erreichbare Punktzahl 9
42

BI LK HT 3 Ministerium für Schule und Weiterbildung NRW Seite 8 von 11 7. Bewertungsbogen zur Prüfungsarbeit Name des Prüflings:____________________________________ Kursbezeichnung:____________ Schule: _____________________________________________ Teilaufgabe III.1 Anforderungen Lösungsqualität Der Prüfling maximal erreichbare Punktzahl 1 skizziert für die … 6 2 erläutert die unterschiedlichen … 4 3 erläutert die Formen … 8 4 erfüllt ein weiteres aufgabenbezogenes Kriterium: (2) …………………………………………………………….. …………………………………………………………….. Summe III.1 Teilaufgabe EK 2 ZK DK 18 Teilaufgabe III.2 Anforderungen Lösungsqualität Der Prüfling 1 fasst die in … 5 2 fasst die in … 5 3 beurteilt die Eignung … 4 4 erfüllt ein weiteres aufgabenbezogenes Kriterium: (2) …………………………………………………………….. …………………………………………………………….. Summe III.2 Teilaufgabe 2 maximal erreichbare Punktzahl 14 EK = Erstkorrektur; ZK = Zweitkorrektur; DK = Drittkorrektur Nur für den Dienstgebrauch! EK ZK DK
43

BI LK HT 3 Ministerium für Schule und Weiterbildung NRW Seite 9 von 11 Teilaufgabe III.3 Anforderungen Lösungsqualität Der Prüfling maximal erreichbare Punktzahl 1 beschreibt die in … 4 2 beschreibt die in … 3 3 beschreibt die in … 3 4 erläutert auch mithilfe … 6 5 erläutert auch mithilfe … 6 6 erfüllt ein weiteres aufgabenbezogenes Kriterium: (2) …………………………………………………………….. …………………………………………………………….. Summe II.3 Teilaufgabe EK ZK DK 22 Teilaufgabe III.4 Anforderungen Lösungsqualität Der Prüfling maximal erreichbare Punktzahl 1 beurteilt den Einsatz … 8 2 leitet aus den … 4 3 erfüllt ein weiteres aufgabenbezogenes Kriterium: (2) …………………………………………………………….. …………………………………………………………….. Summe III.4 Teilaufgabe 12 Summe der III.1, III.2, III.3 und III.4 Teilaufgabe 66 EK ZK DK Darstellungsleistung Anforderungen Lösungsqualität Der Prüfling     führt seine Gedanken … strukturiert seine Darstellung … verwendet eine differenzierte … gestaltet seine Arbeit … Summe Darstellungsleistung maximal erreichbare Punktzahl 9 9 Summe insgesamt (inhaltliche und Darstellungsleistung) Nur für den Dienstgebrauch! 75 EK ZK DK
44

BI LK HT 3 Ministerium für Schule und Weiterbildung NRW Seite 10 von 11 Festlegung der Gesamtnote (Bitte nur bei der letzten bearbeiteten Aufgabe ausfüllen.) Lösungsqualität maximal erreichbare Punktzahl Übertrag der Punktsumme aus der ersten bearbeiteten Aufgabe 75 Übertrag der Punktsumme aus der zweiten bearbeiteten Aufgabe 75 Punktzahl der gesamten Prüfungsleistung 150 EK ZK DK aus der Punktsumme resultierende Note Note ggf. unter Absenkung um ein bis zwei Notenpunkte gemäß § 13 Abs. 2 APO-GOSt Paraphe ggf. arithmetisches Mittel der Punktsummen aus EK und ZK: ___________ ggf. arithmetisches Mittel der Notenurteile aus EK und ZK: _____________ Die Klausur wird abschließend mit der Note: ________________________ (____ Punkte) bewertet. Unterschrift, Datum: Nur für den Dienstgebrauch!
45

BI LK HT 3 Ministerium für Schule und Weiterbildung NRW Seite 11 von 11 Grundsätze für die Bewertung (Notenfindung) Für die Zuordnung der Notenstufen zu den Punktzahlen ist folgende Tabelle zu verwenden: Note Punkte Erreichte Punktzahl sehr gut plus 15 150 – 143 sehr gut 14 142 – 135 sehr gut minus 13 134 – 128 gut plus 12 127 – 120 gut 11 119 – 113 gut minus 10 112 – 105 befriedigend plus 9 104 – 98 befriedigend 8 97 – 90 befriedigend minus 7 89 – 83 ausreichend plus 6 82 – 75 ausreichend 5 74 – 68 ausreichend minus 4 67 – 58 mangelhaft plus 3 57 – 49 mangelhaft 2 48 – 40 mangelhaft minus 1 39 – 30 ungenügend 0 29 – 0 Nur für den Dienstgebrauch!
46