Zinssubventionierte Darlehen der KfW an die Volksrepublik China

/ 8
PDF herunterladen
Deutscher Bundestag                                                                         Drucksache   19/4906 19. Wahlperiode                                                                                            09.10.2018 Vorabfassung - wird durch die lektorierte Version ersetzt. Antwort der Bundesregierung auf die Kleine Anfrage der Abgeordneten Otto Fricke, Dr. Christoph Hoffmann, Michael Georg Link, weiterer Abgeordneter und der Fraktion der FDP – Drucksache 19/4339 – Zinssubventionierte Darlehen der KfW an die Volksrepublik China Vorbemerkung der Fragesteller Die Volksrepublik China gehört zu den wichtigsten Wirtschaftspartnern der Bundesrepublik Deutschland. So ist die Volksrepublik China mittlerweile Deutschlands umsatzstärkster Handelspartner (Statistisches Bundesamt, Au- ßenhandel 2018). Nicht zuletzt deshalb kommt den deutsch-chinesischen Bezie- hungen eine besondere Bedeutung zu. Nicht zuletzt aufgrund der wirtschaftlichen Entwicklung der Volksrepublik China hat sich diese Beziehung in den letzten Jahren stark verändert. So ist die Volksrepublik China selbst mittlerweile zu einer der wichtigsten Volkswirt- schaften der Welt geworden und bereits seit Jahren Exportweltmeister. Analog hierzu hat sich auch die entwicklungspolitische Rolle der Volksrepublik China gewandelt, sodass diese nun selbst, unter anderem in Afrika, Entwicklungshilfe leistet. Laut Medienberichten will die Volksrepublik China in den kommenden drei Jahren 60 Mrd. US-Dollar allein für die Entwicklung in Afrika bereitstellen (www.welt.de/politik/ausland/article181408002/Neue-Seidenstrasse-Chinas- grosser-Sprung-nach-Afrika.html). Neben der Finanzierung von Infrastruktur- maßnahmen sollen hierbei insbesondere auch 15 Mrd. US-Dollar für Schenkun- gen bzw. Schuldenerlasse sowie zinslose Darlehen und Vorzugskredite bereit- gestellt werden. Somit fällt auf, dass trotz des starken Wirtschaftswachstums und der stark zu- nehmenden Aktivität der Volksrepublik China als Geberland im Bereich der Entwicklungszusammenarbeit, diese nach wie vor ein großer Empfänger von Zinssubventionszuschüssen und Darlehen der KfW ist. So erhielt die Volksre- publik China zwischen 2001 und 2017 Zinssubventionszuschüsse in Höhe von 38 870 292 Euro (Jährlicher Bericht an den Haushaltsausschuss 2018). Laut dem Bundesministerium für wirtschaftliche Zusammenarbeit und Ent- wicklung (BMZ) werden Zinssubventionsvorhaben generell schwerpunktmäßig im Rahmen der thematischen Fazilität DKTI (Deutsche Klimatechnologie Initi- ative) durchgeführt (BMZ 2018). Angesichts der wirtschaftlichen Stärke der Volksrepublik China und ihres eigenen Interesses am Klimaschutz ist nicht er- sichtlich, warum die chinesische Regierung umweltpolitische Programme nicht selbst unterstützt und vermeintlich auf Entwicklungshilfe aus Deutschland an- gewiesen zu sein scheint. Die Antwort wurde namens der Bundesregierung mit Schreiben des Bundesministeriums für wirtschaftliche Zusammen- arbeit und Entwicklung vom 5. Oktober 2018 übermittelt. Die Drucksache enthält zusätzlich – in kleinerer Schrifttype – den Fragetext.
1

Drucksache 19/4906                                    –2–                   Deutscher Bundestag – 19. Wahlperiode Vorabfassung - wird durch die lektorierte Version ersetzt. 1.   Welche Strategie und Zielsetzung für die Zusammenarbeit mit der Volksre- publik China hat die Bundesregierung zu Beginn der 19. Wahlperiode in Be- zug auf die bilateralen Beziehungen und Entwicklungshilfe? 2.   Welches sind aus Sicht der Bundesregierung die zentralen Herausforderun- gen in der Zusammenarbeit beider Länder, und wie wird diesen begegnet? 3.   Wie bewertet die Bundesregierung abzielend auf Frage 1 und 2, die Zusam- menarbeit der beiden Staaten, und welche Konsequenzen zieht sie daraus für die Zukunft? Die Fragen 1 bis 3 werden gemeinsam beantwortet. Deutschland verbindet mit der Volksrepublik China (VR China) eine umfassende strategische Partnerschaft. Diese umfasst alle relevanten Bereiche der bilateralen und internationalen Zusammenarbeit. Seit 2011 – zuletzt am 9. Juli 2018 – finden regelmäßige Regierungskonsultatio- nen statt, an der die Kabinette beider Staaten unter Leitung der Regierungschefs teilnehmen. Zudem gibt es unterhalb der Ebene der Regierungschefs zahlreiche Dialogformate auf unterschiedlichen Ebenen, wie den bilateralen Rechtsstaatsdi- alog oder den Menschenrechtsdialog. Seit 2016 ist die VR China der weltweit größte Handelspartner Deutschlands und Deutschland größter Handelspartner der VR China in Europa. Das Wachstum der chinesischen Wirtschaft und die zunehmende wirtschaftliche Verflechtung beider Länder bieten deutschen Unternehmen zahlreiche Chancen. Gleichzeitig ist es ein zunehmend wichtiges Anliegen der Bundesregierung, sich für faire Marktzu- gangs- und Wettbewerbsbedingungen deutscher Unternehmen in der VR China einzusetzen, die in zahlreichen Bereichen nicht ausreichend gewährleistet sind. Die Bundesregierung setzt sich darüber hinaus für die Arbeitsbedingungen der Akteure des kulturellen und zivilgesellschaftlichen Austauschs ein, wie beispiel- weise der deutschen politischen Stiftungen oder der deutschen Wissenschaftsor- ganisationen. Trotz der insgesamt positiven Entwicklung unserer bilateralen Beziehungen be- stehen weiterhin grundsätzliche Meinungsunterschiede im Bereich der Rechts- staatlichkeit und Menschenrechte, insbesondere zu den persönlichen Freiheits- rechten. Es bleibt ein wichtiges Interesse Deutschlands, dass die VR China rechts- staatliche Strukturen und Sozialsysteme entwickelt, mehr politische und ökono- mische Gerechtigkeit, vor allem im Bereich der grundlegenden Freiheitsrechte, zulässt und Minderheitenfragen friedlich löst. Die VR China erhält seit 2010 keine Mittel der „klassischen“ bilateralen Entwick- lungszusammenarbeit mehr. Ziel der entwicklungspolitischen Zusammenarbeit ist die gemeinsame Gestaltung globaler nachhaltiger Entwicklung, insbesondere im Bereich Umwelt- und Klimaschutz. Aufgrund seiner Bedeutung beim Schutz und der Bereitstellung globaler öffentlicher Güter sowie seiner Mitwirkung an internationalen Prozessen, kommt China eine Schlüsselrolle bei der Lösung glo- baler Zukunftsfragen zu. Es liegt daher im Interesse Deutschlands, die VR China bei der Umsetzung des Pariser Klimaschutzabkommens und der Agenda 2030 zu unterstützen. Neue Finanzierungen werden nur noch über sogenannte Förderkre- dite d. h. mit Eigenmitteln der KfW durchgeführt.
2

Deutscher Bundestag – 19. Wahlperiode                 –3–                                Drucksache 19/4906 Vorabfassung - wird durch die lektorierte Version ersetzt. 4.   Wie bewertet die Bundesregierung die Tatsache, dass die Volksrepublik China, als Begünstigte von Zinssubventionszuschüssen durch die Bundesre- publik Deutschland und Darlehen der KfW, ihrerseits selbst im Rahmen der eigenen Maßnahmen zur Entwicklungszusammenarbeit Drittstaaten Schul- denerlasse, zinslose Darlehen und Vorzugskredite gewährt? Das BMZ kooperiert mit bestimmten Schwellenländern wie der VR China gezielt im Hinblick auf ihre wachsende Bedeutung als neue Geber, um so ihre Kompe- tenzen als Geber zu stärken und nachhaltige Strukturen für die Entwicklungszu- sammenarbeit aufzubauen. Differenzierte Instrumente berücksichtigen hierbei die höhere Leistungsfähigkeit solcher Länder. Mit China ist diese Zusammenar- beit daher seit 2010 auf Förderkredite beschränkt – ohne Mittel aus dem Bundes- haushalt. 5.   Erwägt die Bundesregierung angesichts der gesamtwirtschaftlichen Ent- wicklung der Volksrepublik China, diese ab 2020 von der DAC-Länderliste (DAC = Development Assistance Commitee) für Empfängerländer zu strei- chen? Die DAC-Länderliste des Entwicklungsausschusses der OECD DAC wird von diesem eigenständig und nach festen Kriterien erstellt und regelmäßig aktuali- siert. Streichungen erfolgen, sobald Länder drei Jahre in Folge die Schwelle zum Hocheinkommensland überschritten haben (gemäß Weltbank-Daten und -Klassi- fikation, Indikator Bruttonationaleinkommen/Kopf). 6.   Wie garantiert die Bundesregierung die Organisationsautonomie deutscher staatlicher und nichtstaatlicher Durchführungsorganisationen in der Volks- republik China? Die in der VR China mit Büros vertretenen staatlichen Durchführungsorganisati- onen Deutsche Gesellschaft für Internationale Zusammenarbeit (GIZ) GmbH und Kreditanstalt für Wiederaufbau (KfW) sind in der VR China durch völkerrecht- lich verbindliche Vereinbarungen zwischen der Bundesregierung und der Regie- rung der VR China abgesichert. Im Übrigen wird auf die Antwort zu Frage 7 ver- wiesen. 7.   Wie bewertet die Bundesregierung den Rechtsstatus der deutschen staatli- chen und nichtstaatlichen Durchführungsorganisationen in der Volksrepub- lik China? Der in der Antwort zu Frage 6 erläuterte völkerrechtlich abgesicherte Rechtssta- tus bietet eine gute Grundlage für die Arbeit der staatlichen Durchführungsorga- nisationen im Land. Die Büros der in der VR China tätigen politischen Stiftungen sind entsprechend dem chinesischen Recht registriert. Bei der praktischen Arbeit ergeben sich nach Einschätzung der politischen Stiftungen jedoch auch nach erfolgter Registrierung technisch-administrative Fragen aus dem chinesischen NRO-Gesetz, die deren Arbeit beeinträchtigen und bisher noch nicht abschließend geklärt sind. Die kirchlichen Träger sowie die privaten Träger setzen Projekte über lokale Part- nerorganisationen um, d. h. der deutsche Träger ist nicht selbst vor Ort tätig.
3

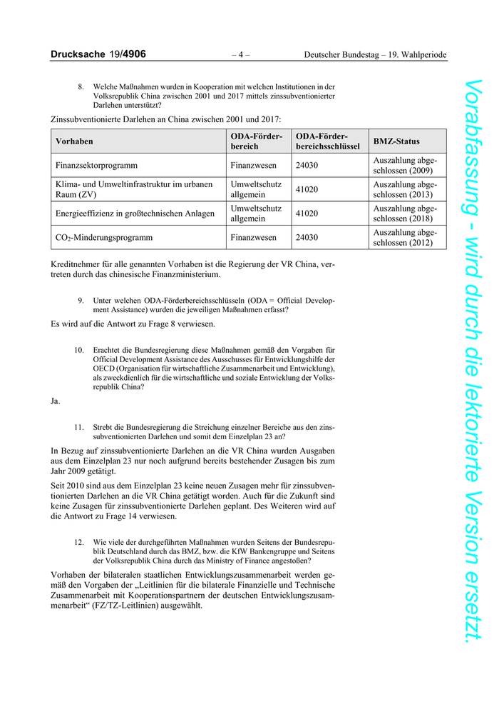
Drucksache 19/4906                                     –4–                    Deutscher Bundestag – 19. Wahlperiode Vorabfassung - wird durch die lektorierte Version ersetzt. 8.   Welche Maßnahmen wurden in Kooperation mit welchen Institutionen in der Volksrepublik China zwischen 2001 und 2017 mittels zinssubventionierter Darlehen unterstützt? Zinssubventionierte Darlehen an China zwischen 2001 und 2017: ODA-Förder-         ODA-Förder- Vorhaben                                                                                      BMZ-Status bereich             bereichsschlüssel Auszahlung abge- Finanzsektorprogramm                                  Finanzwesen         24030 schlossen (2009) Klima- und Umweltinfrastruktur im urbanen             Umweltschutz                            Auszahlung abge- 41020 Raum (ZV)                                             allgemein                               schlossen (2013) Umweltschutz                            Auszahlung abge- Energieeffizienz in großtechnischen Anlagen                               41020 allgemein                               schlossen (2018) Auszahlung abge- CO2-Minderungsprogramm                                Finanzwesen         24030 schlossen (2012) Kreditnehmer für alle genannten Vorhaben ist die Regierung der VR China, ver- treten durch das chinesische Finanzministerium. 9.   Unter welchen ODA-Förderbereichsschlüsseln (ODA = Official Develop- ment Assistance) wurden die jeweiligen Maßnahmen erfasst? Es wird auf die Antwort zu Frage 8 verwiesen. 10.   Erachtet die Bundesregierung diese Maßnahmen gemäß den Vorgaben für Official Development Assistance des Ausschusses für Entwicklungshilfe der OECD (Organisation für wirtschaftliche Zusammenarbeit und Entwicklung), als zweckdienlich für die wirtschaftliche und soziale Entwicklung der Volks- republik China? Ja. 11.   Strebt die Bundesregierung die Streichung einzelner Bereiche aus den zins- subventionierten Darlehen und somit dem Einzelplan 23 an? In Bezug auf zinssubventionierte Darlehen an die VR China wurden Ausgaben aus dem Einzelplan 23 nur noch aufgrund bereits bestehender Zusagen bis zum Jahr 2009 getätigt. Seit 2010 sind aus dem Einzelplan 23 keine neuen Zusagen mehr für zinssubven- tionierten Darlehen an die VR China getätigt worden. Auch für die Zukunft sind keine Zusagen für zinssubventionierte Darlehen geplant. Des Weiteren wird auf die Antwort zu Frage 14 verwiesen. 12.   Wie viele der durchgeführten Maßnahmen wurden Seitens der Bundesrepu- blik Deutschland durch das BMZ, bzw. die KfW Bankengruppe und Seitens der Volksrepublik China durch das Ministry of Finance angestoßen? Vorhaben der bilateralen staatlichen Entwicklungszusammenarbeit werden ge- mäß den Vorgaben der „Leitlinien für die bilaterale Finanzielle und Technische Zusammenarbeit mit Kooperationspartnern der deutschen Entwicklungszusam- menarbeit“ (FZ/TZ-Leitlinien) ausgewählt.
4

Deutscher Bundestag – 19. Wahlperiode                 –5–                                Drucksache 19/4906 Vorabfassung - wird durch die lektorierte Version ersetzt. Die in der Antwort zu Frage 8 genannten Maßnahmen wurden von der Partner- seite (chinesisches Finanzministerium) vorgeschlagen. Die Bundesregierung und der Kooperationspartner haben die Entwicklungsmaßnahmen für die Zusammen- arbeit einvernehmlich ausgewählt. 13.   Wie bewertet die Bundesregierung die Geldpolitik der chinesischen Zentral- bank vor dem Hintergrund der Gewährung von zinssubventionierten Darle- hen der KfW? Die Bundesregierung sieht keinen direkten Zusammenhang zwischen der Geld- politik der chinesischen Zentralbank und zinssubventionierten Darlehen der KfW an die VR China, die letztmals 2009 zugesagt wurden. Während eine Zentralbank bei der Gestaltung ihrer Geldpolitik und der auf die heimische Währung gerichteten Leitzinsen i. d. R. die gesamte Wirtschaft bzw. die Beeinflussung gesamtwirtschaftlicher Aggregate im Blick hat, haben zinssub- ventionierte Darlehen der KfW i. d. R. einen projektspezifischen Fokus und wer- den im vorliegenden Fall nicht in der chinesischen Landeswährung, sondern im Wesentlichen in Euro ausgereicht. 14.   Zu welchen Bedingungen kann sich die Bundesregierung eine Abschmel- zung der zinssubventionierten Darlehen der KfW vorstellen, bzw. welche Zielsetzung soll zuvor erreicht werden? In Bezug auf die Zusammenarbeit mit der VR China sind die letzten Zusagen für zinssubventionierte Darlehen 2009 erfolgt. Diese Zusagen werden eingehalten, das heißt, dass die entsprechenden Projekte planmäßig bis zum vorgesehenen Ab- schluss umgesetzt werden. Neue Zusagen sind nicht vorgesehen. Des Weiteren wird auf die Antwort zu Frage 11 verwiesen. 15.   Sind die umweltpolitischen Maßnahmen, die mittels der zinssubventionier- ten Darlehen der KfW in der Volksrepublik China gefördert werden, aus Sicht der Bundesregierung besonders förderungswürdig? Wenn ja, warum? Die vereinbarten Vorhaben aus Zusagen bis 2009 leisten einen wichtigen Beitrag zum Klimaschutz. Sie tragen in erheblichen Umfang dazu bei, Treibhausgase ein- zusparen, den Einsatz fossiler Primärrohstoffe (Erdöl) und die Luftverschmut- zung vor allem in Ballungsräumen zu verringern. 16.   Hat die Volksrepublik China im Hinblick auf ihre Klimapolitik eine aus Sicht der Bundesregierung unterstützungswürdige Vorreiterrolle in Asien inne? Die VR China spielt aufgrund ihrer geopolitischen und wirtschaftlichen Bedeu- tung eine zentrale Rolle für den internationalen Klimaschutz. Das Land setzt sich bilateral wie international für die Umsetzung des Übereinkommens von Paris und der Agenda 2030 ein.
5


                                            
                                                
                                                6
                                            
                                        


                                            
                                                
                                                7
                                            
                                        

Satz: Satzweiss.com Print, Web, Software GmbH, Mainzer Straße 116, 66121 Saarbrücken, www.satzweiss.com Druck: Printsystem GmbH, Schafwäsche 1-3, 71296 Heimsheim, www.printsystem.de Vertrieb: Bundesanzeiger Verlag GmbH, Postfach 10 05 34, 50445 Köln, Telefon (02 21) 97 66 83 40, Fax (02 21) 97 66 83 44, www.betrifft-gesetze.de ISSN 0722-8333
8