Deutsch-Französische Kooperation zur Batteriezellenfertigung

/ 2981
PDF herunterladen
- 81 - Internationale Maßnahmen 1006 Soll      Soll 2017      Ist Titel Zweckbestimmung                                                             2018      Reste 2017    2016 Funktion 1 000 €      1 000 €    1 000 € Einnahmen Übrige Einnahmen 381 03 Verrechnungseinnahmen gemäß § 61 BHO außerhalb der Tit. 381 .1 und                                             -            -         (-) -890 381 .7 Ausgaben Zuweisungen und Zuschüsse (ohne Investitionen) 686 01 Internationaler Praktikantenaustausch                                                                        530          530        491 -523 Verpflichtungsermächtigung....................................................................... fällig im Haushaltsjahr 2019 bis zu............................................ 470 T€ Erläuterungen: Ausländischen jungen Fachkräften soll ein Praktikum in Deutschland ermöglicht werden. Junge deutsche Fachkräfte sollen durch ein Auslandspraktikum ihre be- rufliche Kompetenz erweitern. Gefördert werden Praktikantinnen- und Praktikan- tenprogramme anerkannter Organisationen. 686 02 Zuschüsse zur Ansiedlung internationaler Organisationen in Deutschland                                       350          350         50 -523 Erläuterungen: Die Mittel sind veranschlagt für Zuschüsse an den Globalen Treuhandfonds für Nutzpflanzenvielfalt (GTN) und das Regionalbüro des Europäischen Forstinstituts (EFI). 687 01 Maßnahmen zur Verstärkung der Außenhandelsbeziehungen im Agrar-                                           3 000         3 000      2 336 -523 und Ernährungsbereich Verpflichtungsermächtigung......................................................... 2 400 T€ davon fällig: im Haushaltsjahr 2019 bis zu................................................. 1 800 T€ im Haushaltsjahr 2020 bis zu.................................................... 600 T€ Haushaltsvermerk: 1. Die Ausgaben sind übertragbar. 2. Nach § 63 Abs. 3 Satz 2 BHO wird zugelassen, dass Veröffentlichun- gen und sonstiges Informationsmaterial gegen ermäßigtes Entgelt oder unentgeltlich an Dritte abgegeben werden.
1291

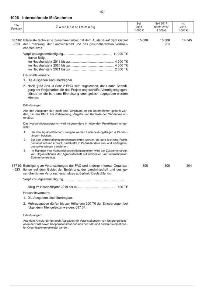
- 82 - 1006 Internationale Maßnahmen Soll      Soll 2017     Ist Titel Zweckbestimmung                                                         2018      Reste 2017   2016 Funktion 1 000 €      1 000 €   1 000 € 687 02 Bilaterale technische Zusammenarbeit mit dem Ausland auf dem Gebiet                                    15 000       15 000     14 545 -523 der Ernährung, der Landwirtschaft und des gesundheitlichen Verbrau-                                                     955 cherschutzes Verpflichtungsermächtigung....................................................... 11 000 T€ davon fällig: im Haushaltsjahr 2019 bis zu................................................. 4 500 T€ im Haushaltsjahr 2020 bis zu................................................. 4 500 T€ im Haushaltsjahr 2021 bis zu................................................. 2 000 T€ Haushaltsvermerk: 1. Die Ausgaben sind übertragbar. 2. Nach § 63 Abs. 3 Satz 2 BHO wird zugelassen, dass nach Beendi- gung der Projektarbeit für das Projekt angeschaffte Vermögensgegen- stände an die beratene Einrichtung unentgeltlich abgegeben werden können. Erläuterungen: Aus den Ausgaben darf auch eine Vergütung an ein Unternehmen gezahlt wer- den, das das BMEL bei Vorbereitung, Vergabe und Kontrolle der Maßnahme un- terstützt. Das Kooperationsprogramm wird insbesondere in folgenden Projekttypen umge- setzt: 1.    Bei den Agrarpolitischen Dialogen werden Entscheidungsträger in Partner- ländern beraten. 2.    Bei den Wirtschaftskooperationsprojekten werden die gute fachliche Praxis demonstriert und erprobt, Fachkräfte in Partnerländern aus- und weitergebil- det sowie Wissen transferiert. 3.    Im Rahmen von Verbandskooperationsprojekten wird die Zusammenarbeit von Organisationen der Agrarwirtschaft auf nationalen und internationalen Ebenen unterstützt. 687 03 Beteiligung an Veranstaltungen der FAO und anderer internat. Organisa-                                     300         300        204 -523 tionen auf dem Gebiet der Ernährung, der Landwirtschaft und des ge- sundheitlichen Verbraucherschutzes außerhalb Deutschlands Verpflichtungsermächtigung....................................................................... fällig im Haushaltsjahr 2019 bis zu............................................ 100 T€ Haushaltsvermerk: 1. Die Ausgaben sind übertragbar. 2. Mehrausgaben dürfen bis zur Höhe von 200 T€ der Einsparungen bei folgendem Titel geleistet werden: 687 04. Erläuterungen: Aus dem Ansatz dürfen auch Ausgaben für Veranstaltungen von Unterorganisati- onen der FAO sowie Kooperationsmaßnahmen der FAO und anderer internationa- ler Organisationen geleistet werden.
1292

- 83 - Internationale Maßnahmen 1006 Soll           Soll 2017                Ist Titel Zweckbestimmung                                                                               2018           Reste 2017               2016 Funktion 1 000 €             1 000 €             1 000 € 687 04 Zusammenarbeit mit der FAO und anderen internationalen Organisatio-                                                                   15 700             15 700               12 926 -523 nen im Agrar- und Ernährungsbereich Verpflichtungsermächtigung....................................................... 13 000 T€ davon fällig: im Haushaltsjahr 2019 bis zu................................................. 5 000 T€ im Haushaltsjahr 2020 bis zu................................................. 5 000 T€ im Haushaltsjahr 2021 bis zu................................................. 3 000 T€ Haushaltsvermerk: 1. Die Ausgaben sind übertragbar. 2. Einsparungen dienen bis zur Höhe von 200 T€ zur Deckung von Mehrausgaben bei folgendem Titel: 687 03. Erläuterungen: Bezeichnung                                                         1 000 € 1. Bilaterale Projekte zur Ernährungssicherung auf der Grundlage einer Rahmenvereinbarung mit der Ernährungs- und Landwirt- schaftsorganisation der Vereinten Nationen (FAO).........................                                   10 000 2. Förderung von Vorhaben der FAO im Bereich genetischer Res- sourcen und von Vorhaben anderer internationaler Organisatio- nen (z. B. Standards Trade Development Facility STDF)................                                        2 200 3. Zusammenarbeit mit internationalen Organisationen zur Förde- rung der nachhaltigen Waldbewirtschaftung und zur Vermeidung von Emissionen aus Entwaldung sowie Umsetzung der VN-Wald- übereinkunft im Ausland und Beitrag zum Finanzierungsmecha- nismus.............................................................................................          3 500 Zusammen............................................................................................            15 700 Mitveranschlagt sind die Kosten vorbereitender, begleitender und auswertender Maßnahmen. 687 05 Beiträge an nationale und internationale Organisationen                                                                               34 329             33 801               33 317 -523 Erläuterungen: Mitgliedsbeitrag                  Besondere der Bundesrepublik Deutschland             (freiwillige) (Pflichtleistungen)                Leistungen Bezeichnung der Organisation                                                                                                  außerhalb Rechtsgrundlage und Zweck der Mitgliedschaft                                                                                                 des Mitglieds-   Zusammen in Pro-       in Tausend-                           beitrags      Spalte 4 + 5 zent      Fremdwährung           in 1 000 €      in 1 000 €      in 1 000 € (gerundet)          (gerundet)     (gerundet) 1                                                        2                 3                  4               5               6 1.    Internationales Tierseuchenamt (OIE) in Paris.........................                             2,50                  -                 175                18           193 Rechtsgrundlage: Vereinbarung Zweck: Internationale Zusammenarbeit bei der Tierseuchen- bekämpfung 2.    Internationale Organisation für Rebe und Wein (OIV) in Paris.                                      4,00                  -                   80                 -            80 Rechtsgrundlage: Übereinkommen Zweck: Harmonisierung der Standards des Weinsektors 3.    Internationaler Rat für Meeresforschung (ICES) in Kopenha- gen............................................................................................    7,30           1 756 DKK                236                  -          236 Rechtsgrundlage: Vereinbarung Zweck: Internationale Zusammenarbeit auf den Gebieten der Erhaltung und Bewirtschaftung der lebenden Meeresschätze und des Meeresumweltschutzes 4.    Pflanzenschutzorganisation für Europa und den Mittelmeer- raum (EPPO) in Paris...............................................................                5,90                  -                 126                  -          126 Rechtsgrundlage: Gesetz Zweck: Internationale Zusammenarbeit auf dem Gebiet des Pflanzenschutzes
1293

- 84 - 1006 Internationale Maßnahmen Soll           Soll 2017                Ist Titel Zweckbestimmung                                                                              2018           Reste 2017               2016 Funktion 1 000 €             1 000 €             1 000 € Noch zu Titel 687 05 Mitgliedsbeitrag                  Besondere der Bundesrepublik Deutschland             (freiwillige) (Pflichtleistungen)                Leistungen Bezeichnung der Organisation Rechtsgrundlage und                                                                                                    außerhalb Zweck der Mitgliedschaft                                                                                                des Mitglieds-   Zusammen in Pro-       in Tausend-                           beitrags      Spalte 4 + 5 zent      Fremdwährung           in 1 000 €      in 1 000 €      in 1 000 € (gerundet)          (gerundet)     (gerundet) 1                                                       2                 3                  4               5               6 5.   Ernährungs- und Landwirtschaftsorganisation der Vereinten Nationen (FAO) in Rom............................................................. 7,10                         19 500 USD             18 499                  -        18 499 Rechtsgrundlage: Vereinbarung Zweck: Internationale Zusammenarbeit zur Verbesserung der Ernährungslage und zur Förderung der Landwirtschaft, Re- formkosten................................................................................            -                 -              13 719                  -        13 719 6.   Internationaler Verband zum Schutz von Pflanzenzüchtungen (UPOV) in Genf......................................................................... 7,90                        268 CHF               250                  -           250 Rechtsgrundlage: Gesetz Zweck: Internationale Zusammenarbeit auf dem Gebiet des gewerblichen Rechtsschutzes für Pflanzensorten 7.   Cartagena Protokoll zur Biosicherheit in Montreal.................... 9,30                                          260 USD               247                  -           247 Rechtsgundlage: Gesetz Zweck: Sicherstellung eines angemessenen Schutzniveaus bei der sicheren Weitergabe, Handhabung und Verwendung der durch Biotechnologie hervorgebrachten, lebenden, verän- derten Organismen. 8.   Kommission zur Erhaltung der lebenden Meeresschätze der Antarktis, (CCAMLR), Hobart/Tasmanien................................. 3,80                                         126 AUD                 86                 -            86 Rechtsgrundlage: Gesetz Zweck: Internationale Zusammenarbeit bei der Erhaltung der Fauna und Flora der Antarktis 9.   Internationale Walfangkommission (IWC) in Cambridge (Eng- land).......................................................................................... 4,00                  74 GBP                86                 -            86 Rechtsgrundlage: Gesetz Zweck: Intern. Zusammenarbeit zur Erhaltung der Wale 10.  Bioversity International, Rom (ECPGR).................................... 10,20                                         -                   52                 -            52 Rechtsgrundlage: Vereinbarung Zweck: Internationale Zusammenarbeit zur Erhaltung pflan- zengenetischer Ressourcen 11.  Ministerkonferenz zum Schutz der Wälder in Europa (MCPFE) - Forest Europe......................................................... 16,00                                  -                 110                  -           110 Rechtsgrundlage: Vereinbarung Zweck: Pan-europäische Zusammenarbeit bei der Erhaltung und Bewirtschaftung der Wälder 12.  Organisation für wirtschaftliche Zusammenarbeit und Ent- wicklung (OECD) - Part II Aktivitäten........................................                         -                 -                 214                  -           214 Rechtsgrundlage: Gesetz Zweck: wirtschaftliche Zusammenarbeit und Entwicklung 13.  Internationaler Vertrag für pflanzengenetische Ressourcen für Landwirtschaft und Ernährung (ITPGR), Rom..........................                                   -                 -                     -             250            250 Rechtsgrundlage: Gesetz Zweck: Erhaltung und nachhaltige Nutzung pflanzengeneti- scher Ressourcen sowie Aufteilung der sich aus der Nutzung ergebenden Vorteile 14.  Sonstiges..................................................................................           -                 -                 181                  -           181 Zusammen........................................................................................                                            34 061               268         34 329 Differenzen durch Rundung möglich
1294

- 85 - Internationale Maßnahmen 1006 Soll     Soll 2017      Ist Titel Zweckbestimmung                                                       2018     Reste 2017    2016 Funktion 1 000 €     1 000 €    1 000 € 687 06 Internationale nachhaltige Waldbewirtschaftung                                                       5 500        6 500      4 305 -523                                                                                                                      500 Verpflichtungsermächtigung......................................................... 4 200 T€ davon fällig: im Haushaltsjahr 2019 bis zu.................................................  1 600 T€ im Haushaltsjahr 2020 bis zu.................................................  1 600 T€ im Haushaltsjahr 2021 bis zu.................................................  1 000 T€ Haushaltsvermerk: 1. Die Ausgaben sind übertragbar. 2. Nach § 63 Abs. 3 Satz 2 BHO wird zugelassen, dass nach Beendi- gung der Projektarbeit für das Projekt angeschaffte Vermögensgegen- stände an die beratene Einrichtung unentgeltlich abgegeben werden können. Erläuterungen: Es sollen bilaterale Forstprojekte zur Umsetzung einer nachhaltigen Waldbewirt- schaftung in Partnerländern gefördert werden. Es können auch Vorhaben - einschließlich wissenschaftlicher Betreuung und Er- gebnispräsentation - der Bundesforschungsinstitute im Rahmen der Zweckbestim- mung des Tit. 687 06 gefördert werden. Aus dem Titelansatz dürfen auch Personal- und Sachkosten der Projektträger ge- leistet werden. Aus dem Ansatz darf auch eine Vergütung an ein Unternehmen gezahlt werden, das das BMEL bei Vorbereitung, Vergabe und Kontrolle der Maßnahmen unter- stützt. Besondere Finanzierungsausgaben 981 03 Verrechnungsausgaben gemäß § 61 BHO außerhalb der Tit. 981 .1 und                                        -            -         (-) -890 981 .7
1295

- 86 - 1010 Sonstige Bewilligungen Veränderung Soll             Soll                      Ausgabereste     Ist gegenüber Überblick zum Kapitel 1010                                            2018             2017                          2017        2016 2017 1 000 €          1 000 €                       1 000 €     1 000 € 1 000 € Einnahmen Verwaltungseinnahmen...........................................              3 168            3 267            -99                      5 703 Übrige Einnahmen..................................................           1 831            2 395           -564                      2 555 Gesamteinnahmen..................................................            4 999            5 662           -663                      8 258 Ausgaben Sächliche Verwaltungsausgaben............................                         -               -              -                         47 Zuweisungen und Zuschüsse (ohne Investitionen).                            16 403           80 855        -64 452          2 795       16 938 Ausgaben für Investitionen......................................             1 195            1 218            -23           481          635 Besondere Finanzierungsausgaben.......................                   -104 153          -57 232        -46 921                           - Gesamtausgaben....................................................        -86 555           24 841       -111 396          3 276       17 620 davon nicht flexibilisiert...........................................     -86 555           24 841       -111 396          3 276       17 620 Verpflichtungsermächtigung im Haushalt 2018 Verpflichtungsermächtigung....................................               2 850 davon fällig: im Haushaltsjahr 2019 bis zu..................................               2 450 im Haushaltsjahr 2020 bis zu..................................                 200 im Haushaltsjahr 2021 bis zu..................................                 200
1296

- 87 - Sonstige Bewilligungen 1010 Soll      Soll 2017      Ist Titel Zweckbestimmung                                      2018      Reste 2017    2016 Funktion 1 000 €      1 000 €    1 000 € Einnahmen Verwaltungseinnahmen 119 09 Vermischte Einnahmen                                                                 3 000         3 000      5 425 -523 Erläuterungen: Für Rückzahlungen unverwendeter Zuschüsse, Zinsen für unverwendete Zu- schüsse und Verkaufserlöse für aus Zuschüssen beschaffte Gegenstände. 129 01 Ablieferung der Zinseinkünfte des Zweckvermögens, das von der Land-                     168          267        278 -522 wirtschaftlichen Rentenbank verwaltet wird Erläuterungen: Wirtschaftsplan siehe Anlage zum Kapitel 1010. Gemäß § 2 Abs. 3 des Gesetzes über das Zweckvermögen des Bundes bei der Landwirtschaftlichen Rentenbank - ZweckVG (Art. 1 des Gesetzes vom 12. Au- gust 2005, BGBl. I S. 2363) sind alle Einnahmen, Ausgaben und Verpflichtungs- ermächtigungen des Zweckvermögens in einem Wirtschaftsplan als Anlage zu Kap. 1010 darzustellen. 129 02 Einnahmen aus dem Zweckvermögen, das von der Postbank verwaltet                           -            -          - -521 wird 129 03 Einnahmen aus von der Landwirtschaftlichen Rentenbank verwalteten                         -            -          - -521 Bundesmitteln 132 01 Erlöse aus der Veräußerung von beweglichen Sachen                                         -            -          - -165 133 01 Einnahmen aus Veräußerung von Vermögenswerten                                             -            -          - -812 Übrige Einnahmen 152 01 Zinsen aus Darlehen zur Förderung der Flurbereinigung                                    35           35         17 -521 162 01 Zinsen von Mitteln, die von der Postbank verwaltet werden                                 4           10          6 -521 Erläuterungen: Einnahmen aus Darlehen zur Förderung der ländlichen Siedlung, die der Bund vor Erlass des Bundesvertriebenengesetzes und des Siedlungsförderungsgeset- zes bereitgestellt hat. Außerdem sind hier die Einnahmen aus der Gewährung von Darlehen für die Siedlung im Ausland veranschlagt. 162 03 Zinsen aus Darlehen für besondere agrarstrukturelle Maßnahmen                            35           15         59 -521
1297

- 88 - 1010 Sonstige Bewilligungen Soll      Soll 2017      Ist Titel Zweckbestimmung                                 2018      Reste 2017    2016 Funktion 1 000 €      1 000 €    1 000 € 162 04 Zinsen aus verschiedenen Darlehen                                                 -            -           - -523 162 07 Zinsen aus Darlehen für die Kutterfischerei                                      20           20          5 -532 162 10 Zinsen aus Darlehen für die Förderung der Wiedereinrichtung und Mo-              23           35         27 -521 dernisierung bäuerlicher Familienbetriebe in dem in Art. 3 des Einigungs- vertrages genannten Gebiet 172 01 Tilgung von Darlehen zur Förderung der Flurbereinigung                          300          330        219 -521 182 01 Tilgung von Mitteln, die von der Postbank verwaltet werden                       34           50         66 -521 Erläuterungen: Siehe Erläuterungen zu Tit. 162 01. 182 03 Tilgung von Darlehen für besondere agrarstrukturelle Maßnahmen                  515        1 000      1 014 -521 Haushaltsvermerk: Aus den Einnahmen dürfen die für die Verwaltung durch Banken nach den bis 1972 geltenden einschlägigen Richtlinien bzw. Erlassen zu zah- lenden Verwaltungskosten einschließlich Umsatzsteuer geleistet werden. 182 04 Tilgung von verschiedenen Darlehen                                                -            -          2 -523 182 07 Tilgung von Darlehen für die Kutterfischerei                                    300          300        185 -532 182 10 Tilgung von Darlehen für die Förderung der Wiedereinrichtung und Mo-            565          600        955 -521 dernisierung bäuerlicher Familienbetriebe in dem in Art. 3 des Einigungs- vertrages genannten Gebiet 381 03 Verrechnungseinnahmen gemäß § 61 BHO außerhalb der Tit. 381 .1 und                -            -         (-) -890 381 .7 Ausgaben Zuweisungen und Zuschüsse (ohne Investitionen) 622 01 Zuschüsse zur Verbilligung von Zinsen für Darlehen zur einzelbetriebli-           -            -           - -521 chen Investitionsförderung in dem in Art. 3 des Einigungsvertrages ge- nannten Gebiet
1298

- 89 - Sonstige Bewilligungen 1010 Soll      Soll 2017      Ist Titel Zweckbestimmung                                                      2018      Reste 2017    2016 Funktion 1 000 €      1 000 €    1 000 € 632 01 Erstattung von Zweckausgaben der Länder beim Vollzug des Atomgeset-                                    35           35          - -342 zes und des Strahlenschutzvorsorgegesetzes Erläuterungen: Nach Art. 104 a Abs. 2 Grundgesetz ist der Bund verpflichtet, die Ausgaben zu tragen, die den Ländern beim Vollzug des Atomgesetzes und der dazu ergange- nen Rechtsregelungen entstehen. Dem BMEL obliegt nach dem Strahlenschutz- vorsorgegesetz (StrVG) die Kontrolle der radioaktiven Belastung bestimmter Le- bensmittel, sowohl bei der Einfuhr aus Drittländern in die Gemeinschaft als auch bei einem radiologischen Notstand. 671 01 Vergütung an Banken für die Verwaltung von Bundesmitteln                                              400          500        453 -521 683 01 Hilfen für landwirtschaftliche Betriebe auf Grund von Marktkrisen                                       -      58 000           - -522 Erläuterungen: Gemäß Artikel 2 Satz 1 der Delegierten Verordnung (EU) 2016/1613 der Kommis- sion vom 8. September 2016 über eine außergewöhnliche Anpassungsbeihilfe für Milcherzeuger und Landwirte in anderen Tierhaltungssektoren (ABl. L 242 vom 9. September 2016, S. 10) können die Mitgliedstaaten unter den dort genannten Bedingungen eine zusätzliche Unterstützung bis zu einer Höhe von maximal 100 Prozent des im Anhang festgesetzten Betrags gewähren. Weniger wegen Auslaufen der Hilfsmaßnahmen. 683 04 Maßnahmen zur Anpassung und Entwicklung der Fischereiflotte                                        2 200         4 200         14 -532                                                                                                                   2 186 Verpflichtungsermächtigung......................................................... 1 700 T€ davon fällig: im Haushaltsjahr 2019 bis zu................................................. 1 300 T€ im Haushaltsjahr 2020 bis zu.................................................... 200 T€ im Haushaltsjahr 2021 bis zu.................................................... 200 T€ Haushaltsvermerk: 1. Die Ausgaben sind übertragbar. 2. Die Ausgaben sind mit folgendem Titel gegenseitig deckungsfähig: 892 01. 3. Die Verpflichtungsermächtigung ist mit der Verpflichtungsermäch- tigung bei folgendem Titel gegenseitig deckungsfähig: 892 01. Erläuterungen: Aufgrund unionsrechtlicher und nationaler Regelungen sollen Zuschüsse gewährt werden für: 1. Begleitmaßnahmen bei vorübergehender Einstellung der Fangtätigkeit, 2. Nachwuchsförderung an Bord von Fischereifahrzeugen, 3. ggf. andere gemeinschaftsrechtlich zulässige Anpassungsmaßnahmen. 684 01 Zuschüsse an Einrichtungen außerhalb der Bundesverwaltung - Betrieb -                             12 188       16 540      15 426 -523 Haushaltsvermerk: Die Erläuterungen sind hinsichtlich der Ausgabenansätze der einzelnen Zuwendungsempfänger / Einrichtungen gemäß § 26 Abs. 3 BHO ver- bindlich. Abweichungen bedürfen der Einwilligung des Bundesministe- riums der Finanzen.
1299

- 90 - 1010 Sonstige Bewilligungen Soll          Soll 2017          Ist Titel Zweckbestimmung                                                                             2018          Reste 2017        2016 Funktion 1 000 €          1 000 €        1 000 € Noch zu Titel 684 01 Erläuterungen: Finanzierungs-         Soll          Soll          Ist anteil in Prozent      2018          2017        2016 Adresse und Bezeichnung mit      ohne Eigenmittel        1 000 €       1 000 €     1 000 € 1                                                              2        3           4             5             6 Institutionelle Förderung/Zuschüsse an Einrichtungen gemäß § 26 Abs. 3 BHO 1.1     aid infodienst Ernährung, Landwirtschaft, Verbraucherschutz e. V. i. L., Bonn............................................................................................ 100,00 100,00                     30         5 140          5 011 - aus Kap. 1010 Tit. 684 01..............................................................                                              30         5 057          4 896 - aus Kap. 1010 Tit. 893 01..............................................................                                                -           83            115 1.2     Kuratorium für Technik und Bauwesen in der Landwirtschaft e. V. (KTBL), Darmstadt............................................................................               96,56 100,00            6 145         6 072          6 055 - aus Kap. 1010 Tit. 684 01..............................................................                                           6 068         6 018          5 982 - aus Kap. 1010 Tit. 893 01..............................................................                                              77            54             73 1.4     Zentrum für Betriebswirtschaft im Gartenbau e. V. (ZBG)................                                     48,77    50,00            198           198            184 - aus Kap. 1010 Tit. 684 01 1.5     Kuratorium für Waldarbeit und Forsttechnik e. V. (KWF)..................                                    37,44    50,00            776           776            774 - aus Kap. 1010 Tit. 684 01..............................................................                                             733           733            732 - aus Kap. 1010 Tit. 893 01..............................................................                                              43            43             42 1.6     Fachagentur Nachwachsende Rohstoffe e. V. (FNR).......................                                      94,79    94,60          2 636         2 043          1 823 - aus Kap. 1010 Tit. 684 01..............................................................                                           2 591         2 035          1 817 - aus Kap. 1010 Tit. 893 01..............................................................                                              45             8              6 1.7     Schutzgemeinschaft Deutscher Wald e. V........................................                              92,24 100,00              600           600            316 - aus Kap. 1010 Tit. 684 01 1.8     Bundesverband der Regionalbewegung e. V...................................                                  83,75 100,00              250             -              - - aus Kap. 1010 Tit. 684 01 1.10 Deutscher Verband für Landschaftspflege (DVL) e. V., Ansbach.....                                              89,00 100,00              445           376            270 - aus Kap. 1010 Tit. 684 01 Zusammen ..................................................................................................                                11 080        15 205        14 433 - Summe Tit. 684 01 ...................................................................................                                    10 915        15 017        14 197 - Summe Tit. 893 01 ...................................................................................                                       165           188            236 Projektförderung 2.2     Deutscher Pflügerrat e. V. (DPR), Weißenhorn................................                                                            3             3              3 2.3     Verband Deutscher Landwirtschaftlicher Untersuchungs- und For- schungsanstalten (VDLUFA), Darmstadt..........................................                                                         32            32             32 2.4     Stiftung für Begabtenförderung der deutschen Landwirtschaft e. V., Bonn.................................................................................................                                  65            65             60 2.5     Deutsche Welthungerhilfe, Komitee der "Weltkampagne gegen den Hunger" der Ernährungsund Landwirtschaftsorganisation der Ver- einten Nationen (FAO), Bonn............................................................                                                56            56             56 2.6     Deutsche Gesellschaft für Züchtungskunde e. V. (DGfZ), Bonn......                                                                      64            64             63 2.7     Verein Futtermitteltest (VFT), Bonn..................................................                                                 850           850            814 2.8     Bundesverband der Regionalbewegung e. V...................................                                                               -          250              - 2.10 Deutsche Gartenbauwissenschaftliche Gesellschaft e. V., Hanno- ver.....................................................................................................                                3             3              1 2.11 Agrarsoziale Gesellschaft e. V., Göttingen.......................................                                                        200           200            200 Zusammen ..................................................................................................                                 1 273         1 523          1 229 Insgesamt ..................................................................................................                               12 353        16 728        15 662 - Summe Tit. 684 01 ...................................................................................                                    12 188        16 540        15 426 - Summe Tit. 893 01 ...................................................................................                                       165           188            236 Wirtschaftspläne zu 1.2 und 1.6 siehe Anlage zum Kapitel 1010. Zu 2.10: Bis einschließlich 2012 veranschlagt im Kap. 1002 Tit. 686 71. Zu 2.11: Bis einschließlich 2012 veranschlagt im Kap. 1002 Tit. 686 71. Zu 1.1: Liquiditätsausgaben für den aid e. V. i. L
1300

Zur nächsten Seite