Deutsch-Französische Kooperation zur Batteriezellenfertigung

/ 2981
PDF herunterladen
- 101 - Zentral veranschlagte Verwaltungseinnahmen 1011 und -ausgaben Soll      Soll 2017      Ist Titel Zweckbestimmung                                                                    2018      Reste 2017    2016 Funktion 1 000 €      1 000 €    1 000 € Flexibilisierte Ausgaben Zusammenstellung der flexibilisierten Ausgaben nach § 5 HG Aus Hauptgruppe 4 und Titel 634 .3.........................................................                        23 062       17 753      14 655 1 884 Aus Hauptgruppe 5..................................................................................                16 324       18 662      14 860 6 999 Zusammen...............................................................................................            39 386       36 415      29 515 8 883 F 424 01 Zuführung an die Versorgungsrücklage                                                                                  1 500         1 400      1 496 -011 F 441 01 Beihilfen aufgrund der Beihilfevorschriften                                                                           3 300         3 300      3 268 -840 F 443 01 Fürsorgeleistungen und Unterstützungen einschließlich Inanspruchnah-                                                  1 200         1 200      1 167 -840 me von besonderen Fachdiensten/-kräften F 452 02 Unfallversicherung Bund und Bahn                                                                                      1 300         1 200      1 227 -223 F 526 01 Gerichts- und ähnliche Kosten                                                                                            200          145        219 -011 Erläuterungen: Bezeichnung                                                       1 000 € 1. Bundesministerium..........................................................................             135 2. Geschäftsbereich............................................................................              65 Zusammen............................................................................................       200 Nebentätigkeitsvergütungen werden nicht gezahlt. F 526 02 Sachverständige, Ausgaben für Mitglieder von Fachbeiräten und ähnli-                                                     674          667        566 -011 chen Ausschüssen Erläuterungen: Kosten für die Inanspruchnahme von Sachverständigen bei speziellen Fachfra- gen, die im Zusammenhang mit gesetzgeberischen oder sonstigen Maßnahmen des Ministeriums geklärt werden müssen. Bezeichnung                                                       1 000 € Sachverständige 1. Sachverständige Bundesministerium für Ernährung und Landwirt- schaft (BMEL)..................................................................................        203 2. Sachverständige Julius Kühn-Institut (JKI)......................................                           1 3. Sachverständige Friedrich Loeffler-Institut (FLI).............................                             1 4. Sachverständige Max Rubner-Institut (MRI)...................................                              10 5. Sachverständige Johann Heinrich von Thünen-Institut (TI)............                                      15 6. Sachverständige Bundesamt für Verbraucherschutz und Lebens- mittelsicherheit (BVL)......................................................................             43 7. Sachverständige Bundessortenamt (BSA)......................................                                1 Zusammen............................................................................................       274
1311

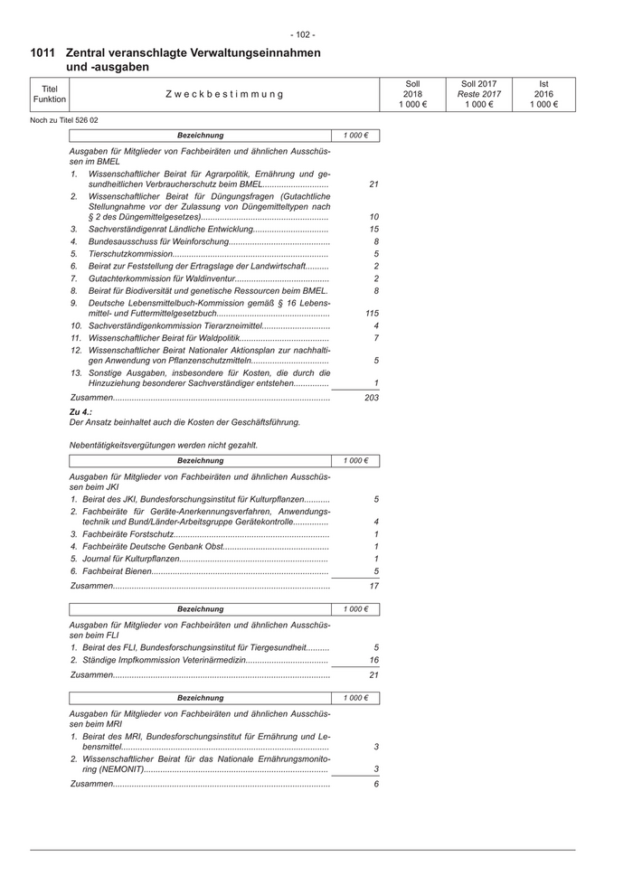
- 102 - 1011 Zentral veranschlagte Verwaltungseinnahmen und -ausgaben Soll   Soll 2017    Ist Titel Zweckbestimmung                                                                   2018   Reste 2017  2016 Funktion 1 000 €   1 000 €  1 000 € Noch zu Titel 526 02 Bezeichnung                                                      1 000 € Ausgaben für Mitglieder von Fachbeiräten und ähnlichen Ausschüs- sen im BMEL 1. Wissenschaftlicher Beirat für Agrarpolitik, Ernährung und ge- sundheitlichen Verbraucherschutz beim BMEL............................                                   21 2. Wissenschaftlicher Beirat für Düngungsfragen (Gutachtliche Stellungnahme vor der Zulassung von Düngemitteltypen nach § 2 des Düngemittelgesetzes)......................................................                       10 3. Sachverständigenrat Ländliche Entwicklung................................                                   15 4. Bundesausschuss für Weinforschung...........................................                                 8 5. Tierschutzkommission..................................................................                       5 6. Beirat zur Feststellung der Ertragslage der Landwirtschaft..........                                         2 7. Gutachterkommission für Waldinventur........................................                                 2 8. Beirat für Biodiversität und genetische Ressourcen beim BMEL.                                                8 9. Deutsche Lebensmittelbuch-Kommission gemäß § 16 Lebens- mittel- und Futtermittelgesetzbuch................................................                     115 10. Sachverständigenkommission Tierarzneimittel.............................                                    4 11. Wissenschaftlicher Beirat für Waldpolitik......................................                             7 12. Wissenschaftlicher Beirat Nationaler Aktionsplan zur nachhalti- gen Anwendung von Pflanzenschutzmitteln.................................                                  5 13. Sonstige Ausgaben, insbesondere für Kosten, die durch die Hinzuziehung besonderer Sachverständiger entstehen...............                                         1 Zusammen............................................................................................         203 Zu 4.: Der Ansatz beinhaltet auch die Kosten der Geschäftsführung. Nebentätigkeitsvergütungen werden nicht gezahlt. Bezeichnung                                                      1 000 € Ausgaben für Mitglieder von Fachbeiräten und ähnlichen Ausschüs- sen beim JKI 1. Beirat des JKI, Bundesforschungsinstitut für Kulturpflanzen...........                                       5 2. Fachbeiräte für Geräte-Anerkennungsverfahren, Anwendungs- technik und Bund/Länder-Arbeitsgruppe Gerätekontrolle...............                                        4 3. Fachbeiräte Forstschutz..................................................................                    1 4. Fachbeiräte Deutsche Genbank Obst.............................................                               1 5. Journal für Kulturpflanzen...............................................................                    1 6. Fachbeirat Bienen...........................................................................                 5 Zusammen............................................................................................           17 Bezeichnung                                                      1 000 € Ausgaben für Mitglieder von Fachbeiräten und ähnlichen Ausschüs- sen beim FLI 1. Beirat des FLI, Bundesforschungsinstitut für Tiergesundheit..........                                        5 2. Ständige Impfkommission Veterinärmedizin...................................                                 16 Zusammen............................................................................................           21 Bezeichnung                                                      1 000 € Ausgaben für Mitglieder von Fachbeiräten und ähnlichen Ausschüs- sen beim MRI 1. Beirat des MRI, Bundesforschungsinstitut für Ernährung und Le- bensmittel........................................................................................          3 2. Wissenschaftlicher Beirat für das Nationale Ernährungsmonito- ring (NEMONIT)..............................................................................                3 Zusammen............................................................................................            6
1312

- 103 - Zentral veranschlagte Verwaltungseinnahmen 1011 und -ausgaben Soll      Soll 2017      Ist Titel Zweckbestimmung                                                                   2018      Reste 2017    2016 Funktion 1 000 €      1 000 €    1 000 € Noch zu Titel 526 02 Bezeichnung                                                       1 000 € Ausgaben für Mitglieder von Fachbeiräten und ähnlichen Ausschüs- sen beim TI Beirat des Johann Heinrich von Thünen-Instituts, Bundes- forschungsinstitut für ländliche Räume, Wald und Fischerei...........                                       6 Zusammen............................................................................................            6 Bezeichnung                                                       1 000 € Ausgaben für Mitglieder von Fachbeiräten und ähnlichen Ausschüs- sen beim BVL 1. Beirat des BVL, Bundesamt für Verbraucherschutz und Lebens- mittelsicherheit..............................................................................            4 2. Fachbeirat Naturhaushalt.............................................................                        4 3. Fachbeirat Verbraucherschutz......................................................                           3 4     Fachbeirat nachhaltiger Pflanzenbau...........................................                            4 5. Kommission zur Zulassung eines Tierarzneimittels......................                                       2 6. Gemeinsame Expertenkommission Einstufung des BfArM und des BVL (Borderline-Produkte).....................................................                        4 7. Expertenbeirat Lebensmittelbetrug...............................................                             3 8. Zentrale Kommission für die Biologische Sicherheit (ZKBS)........                                           40 9     Ausschuss gem. § 28 a GenTG....................................................                          10 10. Arbeitsgruppen gem. § 64 LFGB..................................................                            73 Zusammen............................................................................................         147 F 527 03 Reisen in Angelegenheiten der Personalvertretungen und der Gleichstel-                                                       250          250        307 -011 lungsbeauftragten sowie in Vertretung der Interessen schwerbehinderter Menschen F 543 01 Veröffentlichungen und Fachinformationen                                                                                  1 200         1 200        959 -011 Haushaltsvermerk: Nach § 63 Abs. 3 Satz 2 BHO wird zugelassen, dass Veröffentlichungen und sonstiges Informationsmaterial gegen ermäßigtes Entgelt oder un- entgeltlich an Dritte abgegeben werden. Erläuterungen: Bezeichnung                                                       1 000 € 1. BMEL...............................................................................................       750 2. Nachgeordneter Geschäftsbereich..................................................                         450 Zusammen............................................................................................       1 200 Die Ausgaben für Porto, Verpackung und Versand der Veröffentlichungen sind aus dem Ansatz zu leisten. Aus dem Titelansatz können auch Informationen über Maßnahmen für mehr Tier- wohl sowie einen Dialog Landwirtschaft und Gesellschaft finanziert werden. F 545 01 Konferenzen, Tagungen, Messen und Ausstellungen                                                                          14 000       16 400      12 809 -522 Haushaltsvermerk: Nach § 63 Abs. 3 Satz 2 BHO wird zugelassen, dass Werbe- und Infor- mationsmaterialien gegen ermäßigtes Entgelt oder unentgeltlich an Dritte abgegeben werden und dass Gegenstände, die aus diesen Ausgaben beschafft worden sind, nach Beendigung der Messen oder Ausstellungen an öffentliche oder gemeinnützige Einrichtungen im Gastland unentgelt- lich bzw. gegen ermäßigtes Entgelt abgegeben werden.
1313

- 104 - 1011 Zentral veranschlagte Verwaltungseinnahmen und -ausgaben Soll     Soll 2017     Ist Titel Zweckbestimmung                                                                   2018     Reste 2017   2016 Funktion 1 000 €     1 000 €   1 000 € Noch zu Titel 545 01 Erläuterungen: Bezeichnung                                                       1 000 € 1.   Messen und Ausstellungen...........................................................                   10 800 2.   Konferenzen und Tagungen..........................................................                     3 200 2.1  Bundesministerium für Ernährung und Landwirtschaft (BMEL)....                                          2 951 2.2  Julius Kühn-Institut (JKI)...............................................................                  50 2.3  Friedrich Loeffler-Institut (FLI).......................................................                   30 2.4  Max Rubner-Institut (MRI).............................................................                     39 2.5  Johann Heinrich von Thünen-Institut (TI).....................................                              45 2.6  Bundesamt für Verbraucherschutz und Lebensmittelsicherheit (BVL).............................................................................................         80 2.7 Bundessortenamt (BSA)...............................................................                         5 Zusammen............................................................................................       14 000 Zu 1.: Im Interesse der deutschen Land-, Ernährungs- und Forstwirtschaft beteiligt sich der Bund an Messen, Ausstellungen und Lehrschauen dieser Wirtschaftszweige mit eigenen Beiträgen. Zu 2.1: 1.    Fachtagungen von internationalen Organisationen und Sitzungen von Gre- mien der EU in der Bundesrepublik Deutschland als gastgebendem Land. 2.    Internationaler Erfahrungsaustausch mit fachlichen Führungskräften. Einla- dungen an fachliche Führungskräfte insbesondere aus den Ländern Mittel- und Osteuropas zu Informationsbesuchen in der Bundesrepublik Deutsch- land. 3.    Entsendung von nicht im Bundesdienst stehenden Fachleuten und von Landjugendvertretern zu internationalen Fachveranstaltungen im Ausland sowie Teilnahme dieser Kreise an Informationsfahrten ins Ausland. 4.    Informations- und Arbeitstagungen für fachliche Führungskräfte aus dem In- und Ausland. Nehmen Bedienstete von Ländern, Kreisen, Gemeindever- bänden und Gemeinden an solchen Veranstaltungen teil, dürfen die Kosten ihrer Entsendung und Unterbringung nicht vom Bund übernommen werden. 5.    Aus dem Ansatz können auch Veranstaltungen für mehr Tierwohl sowie für einen Dialog Landwirtschaft und Gesellschaft finanziert werden. F 634 03 Zuweisungen an den Versorgungsfonds                                                                                       15 762      10 653      7 497 -011
1314

- 105 - Bundesministerium 1012 Vorbemerkung Das BMEL nimmt die Regierungsaufgaben auf dem Gebiet                                       Forstwirtschaft (Abteilung 5) mit Umwelt-, Klima- und Energie- der Ernährung, der Land- und Forstwirtschaft und der Fische-                               aspekten verbunden. Europäische und internationale Aktivitä- rei sowie des gesundheitlichen Verbraucherschutzes wahr.                                   ten (Abteilung 6) wurden gebündelt und Aktivitäten zur Ver- Das BMEL hat die Bereiche Ernährung und Lebensmittelsi-                                    besserung der Welternährung ausgebaut. Zudem sind die cherheit organisatorisch verstärkt. Die Marktpolitik und die Po-                           strategischen Ansätze der Fachabteilungen in einer Strategie- litik für die ländlichen Räume (Abteilung 4) sind zukunftswei-                             und Planungseinheit zusammengeführt. send ausgerichtet und die nachhaltige Land- und Veränderung Soll               Soll                       Ausgabereste         Ist gegenüber Überblick zum Kapitel 1012                                              2018               2017                           2017            2016 2017 1 000 €           1 000 €                         1 000 €         1 000 € 1 000 € Einnahmen Verwaltungseinnahmen...........................................                    44                 44              -                             247 Übrige Einnahmen..................................................                   -                 -              -                               - Gesamteinnahmen..................................................                  44                 44              -                             247 Ausgaben Personalausgaben..................................................            60 380            60 182            +198                           57 184 Sächliche Verwaltungsausgaben............................                     37 839            35 986           +1 853         14 496           31 340 Ausgaben für Investitionen......................................                1 445              1 553           -108          8 381            2 092 Besondere Finanzierungsausgaben.......................                               -                 -              -                               - Gesamtausgaben....................................................            99 664            97 721           +1 943         22 877           90 616 davon flexibilisiert....................................................      87 314            85 871           +1 443         22 877           79 996 davon nicht flexibilisiert...........................................         12 350            11 850            +500                           10 620 Verpflichtungsermächtigung im Haushalt 2018 Verpflichtungsermächtigung.................................... fällig im Haushaltsjahr 2019 bis zu..........................                     247
1315

- 106 - 1012 Bundesministerium Soll      Soll 2017      Ist Titel Zweckbestimmung                                  2018      Reste 2017    2016 Funktion 1 000 €      1 000 €    1 000 € Einnahmen Verwaltungseinnahmen 111 01 Gebühren, sonstige Entgelte                                                         1            1          1 -011 119 09 Vermischte Einnahmen                                                               40           40         32 -011 132 01 Erlöse aus der Veräußerung von beweglichen Sachen                                   3            3        214 -011 Erläuterungen: Es ist vorgesehen, 10 Dienst-Kfz (Jahreswagen) auszusondern. Vgl. Tit. 811 01. Übrige Einnahmen 381 03 Verrechnungseinnahmen gemäß § 61 BHO außerhalb der Tit. 381 .1 und                  -            -         (-) -890 381 .7 Ausgaben Haushaltsvermerk: Es gelten die Flexibilisierungsregelungen gem. § 5 Abs. 2 bis 5 HG. Sächliche Verwaltungsausgaben 518 02 Mieten und Pachten im Zusammenhang mit dem Einheitlichen Liegen-              11 000       10 500       9 635 -011 schaftsmanagement Haushaltsvermerk: 1. Nach § 63 Abs. 4 BHO in Verbindung mit § 63 Abs. 3 Satz 2 BHO wird zugelassen, dass die vom BMEL für den Global Crop Diversity Trust (GCDT) und für das Regionalbüro des Europäischen Forstinsti- tuts (EFI) angemieteten Räume dem GCDT und dem EFI unentgelt- lich zur Nutzung überlassen werden. 2. Minderausgaben dürfen nicht zur Deckung von Mehrausgaben bei an- deren Titeln oder zur Erbringung von Globalen Minderausgaben he- rangezogen werden. 542 01 Öffentlichkeitsarbeit                                                          1 350         1 350        985 -013 Haushaltsvermerk: Nach § 63 Abs. 3 Satz 2 BHO wird zugelassen, dass Werbe- und Infor- mationsmaterialien gegen ermäßigtes Entgelt oder unentgeltlich an Dritte abgegeben werden.
1316

- 107 - Bundesministerium 1012 Soll       Soll 2017      Ist Titel Zweckbestimmung                                                                   2018       Reste 2017    2016 Funktion 1 000 €       1 000 €    1 000 € Noch zu Titel 542 01 Erläuterungen: Im Einzelplan 10 sind außerdem folgende Maßnahmen für Öffentlichkeitsarbeit und Fachinformationen veranschlagt: Bezeichnung                                                       1 000 € Öffentlichkeitsarbeit aus 1005 - 686 02.................................................................................          50 aus 1005 - 686 11.................................................................................        250 aus Anl. 2 zu Kap. 1002 (1091) - 542 01..............................................                       45 aus Anl. 2 zu Kap. 1004 (1092) - 543 01..............................................                     256 Fachinformationen aus 1005 - 533 01.................................................................................      5 000 aus 1005 - 686 01.................................................................................        850 aus 1005 - 686 02.................................................................................      1 500 aus 1002 - 684 04.................................................................................      9 000 aus 1005 - 686 11.................................................................................      2 400 aus 1005 - Tgr. 03.................................................................................     2 000 aus 1011 - 543 01.................................................................................      1 200 aus Anl. 2 zu Kap. 1002 (1091) - 543 01..............................................                     900 aus Anl. 2 zu Kap. 1004 (1092) - 543 01..............................................                   2 201 Die Maßnahmen der Bundesregierung auf dem Gebiet der Ernährung, der Land- und Forstwirtschaft sowie des gesundheitlichen Verbraucherschutzes sollen durch Schrift, Ton und Bild allgemein bekanntgemacht und erläutert werden. Die Ausgaben für Porto, Verpackung und Versand der Veröffentlichungen sind aus dem Ansatz zu leisten. Besondere Finanzierungsausgaben 981 03 Verrechnungsausgaben gemäß § 61 BHO außerhalb der Tit. 981 .1 und                                                          -             -       (175) -890 981 .7 Flexibilisierte Ausgaben Zusammenstellung der flexibilisierten Ausgaben nach § 5 HG Aus Hauptgruppe 4..................................................................................               60 380        60 182      57 184 Aus Hauptgruppe 5..................................................................................               25 489        24 136      20 720 14 496 Aus Hauptgruppe 7..................................................................................                     -             -         232 2 543 Aus Hauptgruppe 8..................................................................................                1 445          1 553      1 860 5 838 Zusammen...............................................................................................           87 314        85 871      79 996 22 877 F 421 01 Bezüge des Bundesministers und der Parlamentarischen Staatssekretä-                                                      483           483         468 -011 rin und des Parlamentarischen Staatssekretärs F 422 01 Bezüge und Nebenleistungen der planmäßigen Beamtinnen und Beam-                                                      40 388        38 724      38 389 -011 ten F 427 09 Entgelte für Arbeitskräfte mit befristeten Verträgen, sonstige Beschäfti-                                             1 939          1 939      2 538 -011 gungsentgelte (auch für Auszubildende) sowie Aufwendungen für neben- beruflich und nebenamtlich Tätige
1317

- 108 - 1012 Bundesministerium Soll      Soll 2017      Ist Titel Zweckbestimmung                                                                     2018      Reste 2017    2016 Funktion 1 000 €      1 000 €    1 000 € Noch zu flexibilisierte Ausgaben F 428 01 Entgelte der Arbeitnehmerinnen und Arbeitnehmer                                                                             17 173       18 639      15 441 -011 F 453 01 Trennungsgeld, Fahrtkostenzuschüsse sowie Umzugskostenvergütungen                                                               397          397        348 -011 F   511 01 Geschäftsbedarf und Kommunikation sowie Geräte, Ausstattungs- und                                                          2 723         2 680      2 172 -011 Ausrüstungsgegenstände, sonstige Gebrauchsgegenstände, Software, Wartung F 514 01 Verbrauchsmittel, Haltung von Fahrzeugen und dgl.                                                                               120          150         93 -011 Erläuterungen: Bezeichnung                                              Soll 2018             Soll 2017 personengebundene Pkw.........................................                                   6                6 F 517 01 Bewirtschaftung der Grundstücke, Gebäude und Räume                                                                           6 470         5 480      4 984 -011 F 518 01 Mieten und Pachten                                                                                                              405          405        357 -011 F 519 01 Unterhaltung der Grundstücke und baulichen Anlagen                                                                              300          250      1 118 -011 F 525 01 Aus- und Fortbildung                                                                                                            450          450        185 -011 F 527 01 Dienstreisen                                                                                                                 2 500         2 400      2 558 -011 F 532 01 Aufträge und Dienstleistungen im Bereich Informationstechnik                                                                 1 304         1 304        958 -011 F 532 02 Behördenspezifische fachbezogene Verwaltungsausgaben (ohne IT)                                                              10 020       10 020       7 566 -523 Erläuterungen: Bezeichnung                                                        1 000 € 1. Feststellung der Ertragslage der Land- und Forstwirtschaft (Test- betriebsnetz und Schulungslehrgänge für Buchstellen- und Test- betriebsinhaber)..............................................................................           5 400 2. Bestandsaufnahmen und Erhebungen im Bereich der biologi- schen Vielfalt...................................................................................        1 000 3. Erhebung von Marktdaten und -informationen zu Agrar- und Le- bensmittelmärkten...........................................................................             1 900 4. Monitoring- und Evaluierungsnetzwerk Agrarstruktur und ländli- che Entwicklung Deutschland (MEN-D)..........................................                              300 5. Deutsches Bienenmonitoring..........................................................                         400 6. Bundeswaldinventur........................................................................                   220 7. Sonstige..........................................................................................           800 Zusammen............................................................................................         10 020
1318

- 109 - Bundesministerium 1012 Soll              Soll 2017             Ist Titel Zweckbestimmung                                                                       2018              Reste 2017           2016 Funktion 1 000 €              1 000 €           1 000 € Noch zu flexibilisierte Ausgaben F 532 03 Sonstige Dienstleistungsaufträge an Dritte                                                                                             247               247                   89 -011 Verpflichtungsermächtigung....................................................................... fällig im Haushaltsjahr 2019 bis zu............................................ 247 T€ Erläuterungen: Vergütungen für die Prüfung des Jahresabschlusses 2015 der Bundesanstalt für Landwirtschaft und Ernährung (BLE) durch eine Wirtschaftsprüfungsgesellschaft. F 539 99 Vermischte Verwaltungsausgaben                                                                                                         950               750                  640 -011 Erläuterungen: Bezeichnung                                                     1 000 € 1. Baunebenkosten.............................................................................                 700 2. Sonstiges.........................................................................................          250 Zusammen............................................................................................           950 F   711 01 Kleine Neu-, Um- und Erweiterungsbauten                                                                                                  -                 -                232 -011 Erläuterungen: Gesamt-                               Nach 2017                 Vorbe- ausgaben    Verausgabt                  übertra-    Veran-        halten Mehrjährige Maßnahmen                                                       des          bis       Bewilligt    gene Aus-    schlagt        für (davon neue Maßnahmen in Fettdruck)                                                Bundes        2016        2017        gabereste     2018        2019 ff 1 000 €      1 000 €     1 000 €       1 000 €     1 000 €     1 000 € 1                                                       2            3            4            5           6             7 2. Herrichtung Serverraum Haus 3 (Bonn)..................................                                600          568              -         32           -              - 3. Sanierungsmaßnahmen Haus 25 (Bonn)................................                                  2 100       1 990               -        110           -              - 7. Erweiterung Kälteanlage und Umsetzung Green IT, Dienst- sitz Berlin.................................................................................      1 275           98              -     1 177            -              - Zusammen....................................................................................           3 975       2 656               -     1 319            -              - F 712 01 Baumaßnahmen von mehr als 2 000 000 € im Einzelfall                                                                                        -                 -                  - -511 Erläuterungen: Gesamt-                               Nach 2017                 Vorbe- ausgaben    Verausgabt                  übertra-    Veran-        halten Mehrjährige Maßnahmen                                                       des          bis       Bewilligt    gene Aus-    schlagt        für (davon neue Maßnahmen in Fettdruck)                                                Bundes        2016        2017        gabereste     2018        2019 ff 1 000 €      1 000 €     1 000 €       1 000 €     1 000 €     1 000 € 1                                                       2            3            4            5           6             7 4. Umsetzung Notstromkonzept (Berlin)......................................                            3 238       3 100               -        138           -              - F   811 01 Erwerb von Fahrzeugen                                                                                                                    -                 -                217 -011 Erläuterungen: Bezeichnung                                                     1 000 € 1. Ersatzbeschaffung (Jahreswagen) 6 Pkw bis 31 800 €..........................................................................              191 2 Kleintransporter bis 34 700 €.......................................................                      69 abzgl. Mehreinnahmen bei Tit. 132 01 aus der Veräußerung von Dienst-Kfz gem. § 6 Abs. 7 HG.......................................................                     -273
1319

- 110 - 1012 Bundesministerium Soll      Soll 2017      Ist Titel Zweckbestimmung                                                                   2018      Reste 2017    2016 Funktion 1 000 €      1 000 €    1 000 € Noch zu Titel 811 01 Bezeichnung                                                       1 000 € 2. Sonstiges.........................................................................................         13 Zusammen............................................................................................           - F 812 01 Erwerb von Geräten, Ausstattungs- und Ausrüstungsgegenständen für                                                           145          253         91 -011 Verwaltungszwecke (ohne IT) F 812 02 Erwerb von Anlagen, Geräten, Ausstattungs- und Ausrüstungsgegen-                                                         1 200         1 200      1 293 -011 ständen sowie Software im Bereich Informationstechnik Erläuterungen: Bezeichnung                                                       1 000 € 1. Erstbeschaffung..............................................................................            260 2. Ersatzbeschaffung...........................................................................             940 Zusammen............................................................................................      1 200 F 812 05 Erwerb von Geräten, Ausstattungs- und Ausrüstungsgegenständen für                                                             -            -         27 -011 Neu- und Erweiterungsbauten F 812 06 Beschaffung von Fernmeldegeräten                                                                                            100          100        232 -011
1320

Zur nächsten Seite