Deutsch-Französische Kooperation zur Batteriezellenfertigung

/ 2981
PDF herunterladen
- 93 - Aufwandsentschädigungen,               05 Besondere Personalausgaben Haushaltsvermerk: In den Personaltiteln dieses Einzelplans sind folgende Aufwandsentschädigungen und Besondere Personalausgaben veranschlagt: 1.  Aufwandsentschädigungen 1.1 Dienstaufwandsentschädigung für den Bundesminister in Höhe von jährlich 3 681,30 € (monatlich 306,78 €) bei folgendem Titel: Kap. 0512 Tit. 421 11. 1.2 Dienstaufwandsentschädigung für die Staatsminister in Höhe von jährlich je 2 760,98 € (monatlich 230,08 €) bei folgendem Titel: Kap. 0512 Tit. 421 11. 1.3 Aufwandsentschädigung für vom Dienst freigestellte Personalratsmitglieder bei folgenden Titeln: Kap. 0512 Tit. 422 11, 422 12 und 428 11. 1.4 Aufwandsentschädigung gem. Anlage zu Epl. 05 (Übersicht 2) bei folgenden Titeln: Kap. 0512 Tit. 422 21, 422 22, 422 23 und 428 21. 1.5 Sprachenaufwandsentschädigung bei folgenden Titeln: Kap. 0512 Tit. 422 11, 422 12, 422 21, 422 22, 422 23, 428 11 und 428 21. 1.6 Aufwandsentschädigung nach der Aufwandsentschädigungsrichtlinie (AER) vom 15.12.1997 (GMBl. 1998 S. 27) bei folgenden Titeln: Kap. 0512 Tit. 422 11, 422 12, 422 21, 422 22, 422 23, 428 11 und 428 21. 2.  Besondere Personalausgaben 2.1 Betreuung aller Beschäftigten, die am Heiligen Abend nach 18 Uhr Dienst verrichten, (zentral für den gesamten Geschäftsbereich) bei folgendem Titel: Kap. 0512 Tit. 428 11. 2.2 Verfügungsfonds für vom Dienst freigestellte Gleichstellungsbeauftragte gem. § 29 Abs. 4 BGleiG in Höhe von bis zu jährlich 312 € (monatlich 26 €) bei folgenden Titeln: Kap. 0512 Tit. 422 11 und 428 11. 2.3 Besondere Zuwendungen an Beamtinnen und Beamte, Arbeitnehmerinnen und Arbeitnehmer und Soldatinnen und Soldaten, die ohne Dienstbezüge bei den Vereinten Nationen verwendet werden, wenn ohne diese Zuwendung qualifiziertes Personal für eine derartige Verwendung nicht gefunden werden kann, bei folgenden Titeln: Kap. 0512 Tit. 422 21 und 428 21. Die Regelungen nach § 57 BBesG sind analog anzuwenden. 2.4 Außer- und übertarifliche Leistungen an Arbeitnehmerinnen und Arbeitnehmer, die mit Einwilligung des Bundesmi- nisteriums der Finanzen gewährt werden, bei den Titeln der Gruppen 427 und 428. 2.5 Projektmaßnahmen und Zuschüsse zu Maßnahmen der beruflichen Qualifizierung und der Arbeitsvermittlung für mitausreisende Ehe- und Lebenspartner/innen von Beschäftigten des Auswärtigen Amtes, die unter das Gesetz über den Auswärtigen Dienst (GAD) fallen, bei folgendem Titel: Kap. 0512 Tit. 539 29.
481

- 94 - 05       Übersicht 1 Verpflichtungsermächtigungen (VE) a) Bis einschl.                                  davon fällig 31.12.2016 eingegan- Ausgaben-      gene Ver-                                                                         in Kapitel, Titel (Titelgr.)     soll       pflichtungen                                                        Folge-    künftigen sowie                2018                          2018        2019       2020             2021 fällig ab 2018                                                       jahre    Haushalts- Zweckbestimmung b) VE 2017                                                                         jahren c) VE 2018 1 000 €        1 000 €        1 000 €     1 000 €    1 000 €         1 000 €     1 000 €    1 000 € 1                   2                3            4           5          6                7          8           9 Kapitel 0501 Tgr. 01 687 12 - Ansiedlung von VN-Or-        7 000 a)                 -           -          -           -               -         -            - ganisationen                                 b)                -           -          -           -               -         -            - c)           1 600                   1 600           -               -         -            - Tgr. 02 687 21 - Transformationspart-        20 000 a)              324         324           -           -               -         -            - nerschaften, insbesondere                    b)          16 100     10 600        4 500      1 000                -         -            - Nordafrika/Naher Osten                       c)          25 000                 11 500       8 500            5 000         -            - 687 23 - Demokratisierungs-          40 000 a)              117          71          46           -               -         -            - und Ausstattungshilfe, Maßnah-               b)          22 755       8 865       7 195      6 695                -         -            - men zur Förderung der Men-                   c)          18 560                   8 400      6 080            4 080         -            - schenrechte 687 27 - Maßnahmen der Ab-           30 000 a)           11 761       6 703       5 058           -               -         -            - rüstung, Rüstungskontrolle und               b)          22 000     10 000        7 000      5 000                -         -            - Nichtverbreitungszusammenar-                 c)          16 645                   8 145      5 500            3 000         -            - beit 687 28 - Leistungen im Rahmen      180 000 a)            25 198     21 943        3 255           -               -         -            - des Stabilitätspaktes Afghanis-              b)        136 400     110 400      18 000       8 000                -         -            - tan der Bundesregierung                      c)          88 000                 60 000     20 000             8 000         -            - Tgr. 03 687 32 - Humanitäre Hilfsmaß-    1 206 000 a)            91 373     80 587      10 786            -               -         -            - nahmen im Ausland                            b)        750 000     400 000     250 000    100 000                 -         -            - c)        750 000                 400 000    250 000          100 000          -            - 687 34 - Unterstützung von in-     316 000 a)            30 974     29 178        1 796           -               -         -            - ternationalen Maßnahmen auf                  b)        158 090     115 570      36 920       5 600                -         -            - den Gebieten Krisenprävention,               c)        165 650                 112 725     45 625             7 300         -            - Friedenserhaltung und Konflikt- bewältigung durch das Auswär- tige Amt Tgr. 04 687 40 - Maßnahmen der regio-         9 661 a)            1 350       1 300          50           -               -         -            - nalen Zusammenarbeit                         b)           6 500       3 950       2 550           -               -         -            - c)           7 920                   4 660      3 260                -         -            - 687 42 - Ausbildungspartner-          1 200 a)              400         400           -           -               -         -            - schaften                                     b)                -           -          -           -               -         -            - c)                -                      -           -               -         -            - 687 43 - Energie-, Klima- und         7 350 a)              468         418          50           -               -         -            - Umweltaußenpolitik                           b)           3 150       2 550         600           -               -         -            - c)           2 950                   2 050        900                -         -            - 687 48 - Afrika-Initiativen aus            - a)                -           -          -           -               -         -            - G7/G8 und G20                                b)           1 500       1 000         500           -               -         -            - c)                -                      -           -               -         -            - Summe des Kapitels 0501          2 523 872 a)          161 965     140 924      21 041            -               -         -            - b)      1 116 495     662 935     327 265    126 295                 -         -            - c)      1 076 325                 609 080    339 865          127 380          -            -
482

- 95 - Übersicht 1           05 Verpflichtungsermächtigungen (VE) a) Bis einschl.                                  davon fällig 31.12.2016 eingegan- Ausgaben-     gene Ver-                                                                            in Kapitel, Titel (Titelgr.)    soll       pflichtungen                                                          Folge-     künftigen sowie               2018                          2018        2019       2020             2021 fällig ab 2018                                                         jahre     Haushalts- Zweckbestimmung b) VE 2017                                                                            jahren c) VE 2018 1 000 €        1 000 €        1 000 €     1 000 €    1 000 €         1 000 €      1 000 €      1 000 € 1                  2                3            4           5          6                7            8            9 Kapitel 0502 539 99 - Vermischte Verwal-              140 a)             560          70          70         70               70          280            - tungsausgaben                                b)                -           -          -           -               -            -            - c)                -                      -           -               -            -            - 685 01 - Kosten der Erhaltung        16 000 a)                 -           -          -           -               -            -            - deutscher Kriegsgräber im Aus-               b)           3 000       1 000       1 000      1 000                -            -            - land sowie der Gräber von Per-               c)           4 800                   1 600      1 600            1 600            -            - sonen, die infolge nationalsozi- alistischer Verfolgung ausge- wandert und im Ausland ver- storben sind Tgr. 01 518 12 - Mieten und Pachten im           500 a)           3 300         330         330        330              330        1 980            - Zusammenhang mit dem Ein-                    b)                -           -          -           -               -            -            - heitlichen Liegenschaftsma-                  c)                -                      -           -               -            -            - nagement 687 12 - Sonderprojekt jüd. Ge-       5 000 a)                 -           -          -           -               -            -            - meinde Thessaloniki                          b)           2 000       2 000           -           -               -            -            - c)                -                      -           -               -            -            - 687 14 - Deutsch-Italienischer        1 000 a)                 -           -          -           -               -            -            - Zukunftsfonds                                b)             450         300         150           -               -            -            - c)             450                     300        150                -            -            - 687 15 - Förderung von Projek-        5 900 a)            4 000       1 000       1 000      1 000            1 000            -            - ten zur Holocaust-Erinnerung                 b)             300         300           -           -               -            -            - c)             300                     300           -               -            -            - 687 17 - Deutsch-Griechischer         1 000 a)                 -           -          -           -               -            -            - Zukunftsfonds                                b)             450         300         150           -               -            -            - c)             450                     300        150                -            -            - Tgr. 02 685 21 - Einrichtungen zur Pfle-      3 805 a)              100          50          50           -               -            -            - ge der Auslandsbeziehungen                   b)           3 677         383         388        393              399        2 114            - im Forschungs- und Wissen-                   c)                -                      -           -               -            -            - schaftsbereich 685 22 - Zuwendungen an das          15 049 a)                 -           -          -           -               -            -            - Berliner Zentrum für internatio-             b)           5 000       3 000       2 000           -               -            -            - nale Friedenseinsätze (ZIF)                  c)          10 500                   6 500      4 000                -            -            - 687 27 - Gesellschafts- und eu-      55 000 a)           88 710     46 860      41 850            -               -            -            - ropapolitische Maßnahmen der                 b)          30 400       4 000       6 000    20 400                 -            -            - Politischen Stiftungen                       c)          38 250                   3 150    15 600           19 500             -            - Summe des Kapitels 0502            170 081 a)            96 670     48 310      43 300       1 400            1 400        2 260            - b)          45 277     11 283        9 688    21 793               399        2 114            - c)          54 750                 12 150     21 500           21 100             -            - Kapitel 0504 Tgr. 01 681 11 - Stipendien, Austausch-      17 584 a)            4 970       3 631       1 339           -               -            -            - maßnahmen und Beihilfen für                  b)          11 250       4 500       3 500      2 250            1 000            -            - Nachwuchswissenschaftler,                    c)          11 250                   4 500      3 500            2 250        1 000            - Studierende und Hochschul- praktikanten aus dem Ausland
483

- 96 - 05        Übersicht 1 Verpflichtungsermächtigungen (VE) a) Bis einschl.                                  davon fällig 31.12.2016 eingegan- Ausgaben-     gene Ver-                                                                          in Kapitel, Titel (Titelgr.)    soll       pflichtungen                                                        Folge-     künftigen sowie               2018                          2018        2019       2020             2021 fällig ab 2018                                                       jahre     Haushalts- Zweckbestimmung b) VE 2017                                                                          jahren c) VE 2018 1 000 €        1 000 €        1 000 €     1 000 €    1 000 €         1 000 €     1 000 €     1 000 € 1                  2                3            4           5          6                7          8            9 sowie Betreuung und Nachbe- treuung 687 12 - Beziehungen zwischen         2 050 a)              894         385         407        102                -          -            - deutschen und ausländischen                  b)           1 800         700         500        300              300          -            - Wissenschaftlern, Studierenden               c)           1 520                     640        430              250        200            - und Hochschulen einschließlich Gerätespenden an ausländi- sche wissenschaftliche Instituti- onen 687 13 - Ausbau der Zusam-           14 000 a)              883         883           -           -               -          -            - menarbeit mit der Zivilgesell-               b)           7 500       5 000       2 500           -               -          -            - schaft in den Ländern der östli-             c)           7 500                   5 000      2 500                -          -            - chen Partnerschaft und Russ- land 687 14 - Sonstige Maßnahmen           2 800 a)                 -           -          -           -               -          -            - b)             275         200          75           -               -          -            - c)             275                     200         75                -          -            - 687 15 - Programmarbeit              40 283 a)               81          70          11           -               -          -            - b)           8 250       4 500       2 500      1 000              250          -            - c)           8 250                   4 500      2 500            1 000        250            - 687 16 - Förderung der deut-         14 779 a)              451         451           -           -               -          -            - schen Sprache im Ausland so-                 b)           2 700       1 500         800        400                -          -            - wie kultur- und bildungspoliti-              c)           2 700                   1 500        800              400          -            - sche Förderung deutscher Min- derheiten in MOE und GUS 687 17 - Internationale Aktivitä-    18 587 a)            2 357       2 357           -           -               -          -            - ten gesellschaftlicher Gruppen               b)           8 500       5 000       3 500           -               -          -            - und deutsch-ausländischer Kul-               c)          10 750                   6 250      4 500                -          -            - tureinrichtungen im Inland und Ausland 687 18 - Wissenschaftspartner-       23 250 a)              446         446           -           -               -          -            - schaften in Transformationslän-              b)          14 000       9 000       5 000           -               -          -            - dern Nordafrika/Nahost (Stipen-              c)          11 000                   7 000      4 000                -          -            - dien) Tgr. 02 687 21 - Aufwendungen für            55 000 a)           16 749     11 761        3 756        685              434        113            - Auslandsdienstlehrkräfte und                 b)          33 250     11 000      10 000       7 000            1 500      3 750            - Programmlehrkräfte                           c)          33 250                 11 000     10 000             7 000      5 250            - 687 22 - Zuwendungen an              33 019 a)            8 430       6 123       2 307           -               -          -            - Schulen im Ausland                           b)          16 800       3 800       8 000      5 000                -          -            - c)          16 800                   3 800      8 000            5 000          -            - 687 27 - Aus- und Fortbildung,       13 792 a)              550         550           -           -               -          -            - Förderung der internationalen                b)           4 250       2 500       1 000        750                -          -            - Zusammenarbeit und sonstige                  c)           4 250                   2 500      1 000              750          -            - Ausgaben im schulischen Be- reich Tgr. 04 681 41 - Stipendien für Deut-            235 a)                -           -          -           -               -          -            - sche Kulturakademie Tarabya,                 b)              90          90           -           -               -          -            - Istanbul                                     c)              90                      90           -               -          -            - 687 40 - Goethe-Institut e. V.,    216 209 a)            12 612       5 076       3 212      2 031            1 213      1 080            - München - Betrieb und operati-               b)          31 700       4 300       4 300      3 800            3 200    16 100             - ve Mittel                                    c)          28 000                   4 800      4 800            3 900    14 500             -
484

- 97 - Übersicht 1           05 Verpflichtungsermächtigungen (VE) a) Bis einschl.                                  davon fällig 31.12.2016 eingegan- Ausgaben-    gene Ver-                                                                            in Kapitel, Titel (Titelgr.)    soll      pflichtungen                                                          Folge-     künftigen sowie               2018                         2018        2019       2020             2021 fällig ab 2018                                                         jahre     Haushalts- Zweckbestimmung b) VE 2017                                                                            jahren c) VE 2018 1 000 €       1 000 €        1 000 €     1 000 €    1 000 €         1 000 €      1 000 €      1 000 € 1                  2               3            4           5          6                7            8            9 687 46 - Alexander von Hum-          41 219 a)          18 039     11 040        4 999      2 000                -            -            - boldt-Stiftung, Bonn - Betrieb              b)          23 200     10 000        6 900      4 000            2 300            -            - und operative Mittel                        c)          23 200                 10 000       6 900            4 000        2 300            - 687 48 - Deutscher Akademi-        173 509 a)         105 485      57 359      34 176     13 950                 -            -            - scher Austauschdienst e. V.,                b)        123 500      45 000      42 000     22 000           14 500             -            - Bonn - Betrieb und operative                c)        123 500                  45 000     42 000           22 000       14 500             - Mittel 712 41 - Baumaßnahmen von             5 000 a)                -           -          -           -               -            -            - mehr als 2 000 000 € im Einzel-             b)           2 300       1 500         400        400                -            -            - fall                                        c)          10 000                   4 500      3 500            2 000            -            - 893 47 - Sonstige institutionell      3 187 a)                -           -          -           -               -            -            - geförderte Zuwendungsempfän-                b)           1 750       1 000         750           -               -            -            - ger - Investitionen                         c)           1 750                   1 000        750                -            -            - Tgr. 03 739 31 - Große Neu-, Um- und         27 032 a)          10 000       5 000       5 000           -               -            -            - Erweiterungsbauten                          b)          30 000       8 000     12 000     10 000                 -            -            - c)          13 600                   3 600      5 000            5 000            -            - 896 31 - Zuschüsse zu Bau-           14 141 a)           3 000       3 000           -           -               -            -            - maßnahmen                                   b)           4 000       3 000       1 000           -               -            -            - c)           8 500                   7 500      1 000                -            -            - Summe des Kapitels 0504            898 354 a)         184 947     108 132      55 207     18 768             1 647        1 193            - b)         325 115    120 590     104 725     56 900           23 050       19 850             - c)        316 185                 123 380    101 255           53 550       38 000             - Kapitel 0510 514 01 - Verbrauchsmittel, Hal-       5 000 a)           5 000       5 000           -           -               -            -            - tung von Fahrzeugen und dgl.                b)                -           -          -           -               -            -            - c)                -                      -           -               -            -            - 517 01 - Bewirtschaftung der          7 000 a)           7 000       7 000           -           -               -            -            - Grundstücke, Gebäude und                    b)                -           -          -           -               -            -            - Räume                                       c)                -                      -           -               -            -            - 519 01 - Unterhaltung der             9 000 a)           7 781       7 781           -           -               -            -            - Grundstücke und baulichen An-               b)                -           -          -           -               -            -            - lagen                                       c)                -                      -           -               -            -            - 532 01 - Aufträge und Dienst-        10 000 a)           9 970       9 970           -           -               -            -            - leistungen im Bereich Infor-                b)                -           -          -           -               -            -            - mationstechnik                              c)                -                      -           -               -            -            - 711 01 - Kleine Neu-, Um- und        12 500 a)          12 500     12 500            -           -               -            -            - Erweiterungsbauten                          b)                -           -          -           -               -            -            - c)                -                      -           -               -            -            - 739 01 - Baumaßnahmen                 2 500 a)           2 500       2 500           -           -               -            -            - b)                -           -          -           -               -            -            - c)                -                      -           -               -            -            - 811 01 - Erwerb von Fahrzeu-          4 000 a)           4 000       4 000           -           -               -            -            - gen                                         b)                -           -          -           -               -            -            - c)                -                      -           -               -            -            - 812 02 - Erwerb von Anlagen,         16 000 a)          16 000     16 000            -           -               -            -            - Geräten, Ausstattungs- und                  b)                -           -          -           -               -            -            - Ausrüstungsgegenständen so-                 c)                -                      -           -               -            -            -
485

- 98 - 05        Übersicht 1 Verpflichtungsermächtigungen (VE) a) Bis einschl.                                  davon fällig 31.12.2016 eingegan- Ausgaben-      gene Ver-                                                                         in Kapitel, Titel (Titelgr.)     soll       pflichtungen                                                        Folge-    künftigen sowie                2018                          2018        2019       2020             2021 fällig ab 2018                                                       jahre    Haushalts- Zweckbestimmung b) VE 2017                                                                         jahren c) VE 2018 1 000 €        1 000 €        1 000 €     1 000 €    1 000 €         1 000 €     1 000 €    1 000 € 1                   2                3            4           5          6                7          8           9 wie Software im Bereich Infor- mationstechnik Summe des Kapitels 0510               66 000 a)           64 751     64 751            -           -               -         -            - b)                -           -          -           -               -         -            - c)                -                      -           -               -         -            - Kapitel 0512 518 02 - Mieten und Pachten im        43 000 a)         406 871      15 484      15 484     15 484           15 484    344 935            - Zusammenhang mit dem Ein-                     b)          36 096     12 032      12 032     12 032                 -         -            - heitlichen Liegenschaftsma-                   c)        138 000                  46 000     46 000           46 000          -            - nagement Tgr. 01 511 11 - Geschäftsbedarf und          21 887 a)            1 764         811         778        175                -         -            - Kommunikation sowie Geräte,                   b)                -           -          -           -               -         -            - Ausstattungs- und Ausrüstungs-                c)                -                      -           -               -         -            - gegenstände, sonstige Ge- brauchsgegenstände, Software, Wartung 532 11 - Aufträge und Dienst-          8 261 a)              410         410           -           -               -         -            - leistungen im Bereich Infor-                  b)           3 000       3 000           -           -               -         -            - mationstechnik                                c)           6 000                   6 000           -               -         -            - 812 12 - Erwerb von Anlagen,          15 807 a)               26            -         26           -               -         -            - Geräten, Ausstattungs- und                    b)                -           -          -           -               -         -            - Ausrüstungsgegenständen so-                   c)          16 500                   9 000      7 500                -         -            - wie Software im Bereich Infor- mationstechnik 823 11 - Energie Contracting              332 a)           1 026         342         342        342                -         -            - b)                -           -          -           -               -         -            - c)                -                      -           -               -         -            - Tgr. 02 518 21 - Mieten und Pachten           48 596 a)           74 000     21 391      17 930     13 318             9 654    11 707            - b)          29 000       6 500       7 500      2 500            2 000    10 500            - c)          63 500                 10 000     10 000             9 500    34 000            - 711 21 - Kleine Neu-, Um- und         29 158 a)                 -           -          -           -               -         -            - Erweiterungsbauten                            b)           4 000       4 000           -           -               -         -            - c)           4 000                   4 000           -               -         -            - 739 21 - Baumaßnahmen                 37 905 a)           12 000     12 000            -           -               -         -            - b)          20 000     10 000      10 000            -               -         -            - c)          20 000                 10 000     10 000                 -         -            - Summe des Kapitels 0512           1 168 488 a)          496 097      50 438      34 560     29 319           25 138    356 642            - b)          92 096     35 532      29 532     14 532             2 000    10 500            - c)        248 000                  85 000     73 500           55 500     34 000            -
486

- 99 - Übersicht 1          05 Verpflichtungsermächtigungen (VE) a) Bis einschl.                                 davon fällig 31.12.2016 eingegan- Ausgaben-      gene Ver-                                                                         in Kapitel, Titel (Titelgr.)     soll       pflichtungen                                                        Folge-    künftigen sowie                2018                          2018        2019       2020            2021 fällig ab 2018                                                       jahre    Haushalts- Zweckbestimmung b) VE 2017                                                                         jahren c) VE 2018 1 000 €        1 000 €        1 000 €     1 000 €    1 000 €        1 000 €     1 000 €     1 000 € 1                   2                3            4           5          6               7           8           9 Kapitel 0513 681 01 - Stipendien                     600 a)                -           -          -          -              -           -            - b)             160         160           -          -              -           -            - c)             160                     160          -              -           -            - Summe des Kapitels 0513             38 471 a)                 -           -          -          -              -           -            - b)             160         160           -          -              -           -            - c)             160                     160          -              -           -            - Summe des Einzelplans 05        5 023 465 a)        1 004 430     412 555     154 108     49 487          28 185     360 095            - b)      1 579 143     830 500     471 210    219 520          25 449      32 464            - c)      1 695 420                 829 770    536 120         257 530      72 000            -
487

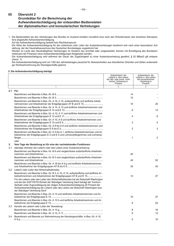
- 100 - 05         Übersicht 2 Grundsätze für die Berechnung der Aufwandsentschädigung der entsandten Bediensteten der diplomatischen und konsularischen Vertretungen 1. Die Bediensteten bei den Vertretungen des Bundes im Ausland erhalten monatlich eine nach den Erfordernissen des einzelnen Dienstpos- tens abgestufte Aufwandsentschädigung. Auf die Aufwandsentschädigung besteht kein Rechtsanspruch. Die Höhe der Aufwandsentschädigung für die Leiterinnen oder Leiter der Auslandsvertretungen bestimmt sich nach einer besonderen Auf- stellung, der der Haushaltsausschuss des Deutschen Bundestages zugestimmt hat. Werden im Laufe des Haushaltsjahres Vertretungen im Ausland neu errichtet oder umgewandelt, können mit Einwilligung des Bundesmi- nisteriums der Finanzen neue Aufwandsentschädigungen festgesetzt werden. Die Aufwandsentschädigung wird während der Dauer der Zugehörigkeit zu einer Auslandsvertretung gewährt, § 52 BBesG gilt entspre- chend. 1) Die Aufwandsentschädigung wird um 1/60 des Jahresbetrages pauschal für Abwesenheiten aus dienstlichen Gründen und Zeiten anderweiti- ger Nichtwahrnehmung der Dienstgeschäfte gekürzt. 2. Die Aufwandsentschädigung beträgt: Aufwandsent. der              Aufwandsent. der Leiterin o. des Leiters       Leiterin o. des Leiters der dipl. oder sonst. nicht-     der konsularischen konsul. Vertretung in              Vertretung in Prozent                       Prozent 1                                                                                       2                             3 2.1    Für Beamtinnen und Beamte in Bes.-Gr. B 6........................................................................                                                      14                         - Beamtinnen und Beamte in Bes.-Gr. B 3........................................................................                                                      12                         - Beamtinnen und Beamte in Bes.-Gr. A 16, A 15, außertarifliche und tarifliche Arbeit- nehmerinnen und Arbeitnehmer der Entgeltgruppen AT B und E 15..............................                                                                        10                        20 Beamtinnen und Beamte in Bes.-Gr. A 14, A 13 und tarifliche Arbeitnehmerinnen und Arbeitnehmer der Entgeltgruppen E 14 und E 13...........................................................                                                            6                        12 Beamtinnen und Beamte in Bes.-Gr. A 12, A 11 und tarifliche Arbeitnehmerinnen und Arbeitnehmer der Entgeltgruppen E 12 und E 11............................................................                                                           4                         8 Beamtinnen und Beamte in Bes.-Gr. A 10, A 9 und tarifliche Arbeitnehmerinnen und Arbeitnehmer der Entgeltgruppen E 10 und E 9.............................................................                                                           3                         5 Beamtinnen und Beamte in Bes.-Gr. A 8 bis A 6 und tarifliche Arbeitnehmerinnen und Arbeitnehmer der Entgeltgruppen E 8 bis E 5.................................................................                                                        2                         3 Beamtinnen und Beamte in Bes.-Gr. A 5 bis A 1, tarifliche Arbeitnehmerinnen und Ar- beitnehmer der Entgeltgruppen E 3 und E 2 und Lohnempfängerinnen und Lohnemp- fänger..............................................................................................................................                                1                         2 oder 3.     Vom Tage der Bestellung an für eine der nachstehenden Funktionen: 3.1    ständige Vertreter der Leiterin oder des Leiters einer Auslandsvertretung: Beamtinnen und Beamte in Bes.-Gr. B 6 und vergleichbare außertarifliche Arbeitneh- merinnen und Arbeitnehmer............................................................................................                                              45                         - Beamtinnen und Beamte in Bes.-Gr. B 3 und vergleichbare außertarifliche Arbeitneh- merinnen und Arbeitnehmer............................................................................................                                              40                        55 Beamtinnen und Beamte in Bes.-Gr. A 16 bis A 9 g und tarifliche Arbeitnehmerinnen und Arbeitnehmer der Entgeltgruppen AT B bis E 6.......................................................                                                            35                        45 3.2    Leiterin oder Leiter des Wirtschaftsdienstes: Beamtinnen und Beamte in Bes.-Gr. B 3, A 16, A 15, außertarifliche und tarifliche Ar- beitnehmerinnen und Arbeitnehmer der Entgeltgruppen AT B und E 15........................                                                                          13                        27 Für die Leiterin oder den Leiter des Wirtschaftsdienstes bei der Botschaft Washington und bei der GATT/WTO-Einheit der Ständigen Vertretung Genf beträgt der Vomhun- dertsatz unter Zugrundelegung der obigen Aufwandsentschädigung 25 Prozent der Aufwandsentschädigung der Leiterin oder des Leiters der Botschaft Washington bzw. der Ständigen Vertretung Genf. Beamtinnen und Beamte in Bes.-Gr. A 14 und tariflichen Arbeitnehmerinnen und Ar- beitnehmer der Entgeltgruppe E 14................................................................................                                                  10                        27 Beamtinnen und Beamte in Bes.-Gr. A 13 h und tarifliche Arbeitnehmerinnen und Ar- beitnehmer der Entgeltgruppe E 13................................................................................                                                   9                        22 3.3    Kanzler als Leiterin oder Leiter der Verwaltung: Beamtinnen und Beamte in Bes.-Gr. A 13 g...................................................................                                                         8                        16 Beamtinnen und Beamte in Bes.-Gr. A 12, A 11.............................................................                                                           6                        12 3.4    Beamtinnen und Beamte zur Wahrnehmung der Kanzlergeschäfte: in Bes.-Gr. A 10, A 9 g................................................................................................................................                               5                        10
488

- 101 - Übersicht 2              05 Grundsätze für die Berechnung der Aufwandsentschädigung der entsandten Bediensteten der diplomatischen und konsularischen Vertretungen Aufwandsent. der              Aufwandsent. der Leiterin o. des Leiters       Leiterin o. des Leiters der dipl. oder sonst. nicht-     der konsularischen konsul. Vertretung in              Vertretung in Prozent                       Prozent 1                                                                                       2                             3 3.5    Erste Sachbearbeiterin oder erster Sachbearbeiter in Konsular-, Wirtschafts- und Kul- turangelegenheiten, wenn neben der Leiterin oder dem Leiter der Vertretung keine entsprechende Fachreferentin oder entsprechender Fachreferent vorhanden sind 3) sowie Beamtinnen und Beamte bei Honorarkonsularbeamtinnen und Honorarkonsu- larbeamten zur Wahrnehmung konsularischer Aufgaben 3) 4): Beamtinnen und Beamte in Bes.-Gr. A 13 g und tarifliche Arbeitnehmerinnen und Ar- beitnehmer der Entgeltgruppe E 13................................................................................                               7                        14 Beamtinnen und Beamte in Bes.-Gr. A 12 bis A 9 g und tarifliche Arbeitnehmerinnen und Arbeitnehmer der Entgeltgruppen E 12 bis E 10......................................................                                         5                         9 3.6    Leiterin oder Leiter von Außenstellen und Dienststellen mit konsularischen Aufgaben: Beamtinnen und Beamte in Bes.-Gr. A 14 bis A 9 g.......................................................                                        10                        15 1) Tritt eine Missionschefin oder ein Missionschef unmittelbar nach Übergabe seines Beglaubigungsschreibens bzw. nach seinem Dienstantritt einen Urlaub an, ohne am neuen Dienstort bereits Wohnsitz genommen zu haben, wird die Aufwandsentschädigung erst vom Tage der tat- sächlichen Aufnahme der Dienstgeschäfte an gezahlt. 2) Dies gilt auch für Beamtinnen und Beamte des mittleren Dienstes, die die Laufbahnprüfung für den gehobenen Dienst abgelegt, die Einfüh- rungszeit für diesen Dienst jedoch noch nicht beendet haben. 3) Bemessungsgrundlage ist die Aufwandsentschädigung des Leiters der übergeordneten berufsdiplomatischen bzw. berufskonsularischen Aus- landsvertretung. 4) Für die dem Leiter der Vertretung bei der Organisation für wirtschaftliche Zusammenarbeit und Entwicklung in Paris nachgeordneten Be- diensteten sind die obigen Hundertsätze unter Zugrundelegung der Bemessungsgrundlage der Aufwandsentschädigung für die dem Bot- schafter bei der Französischen Republik in Paris nachgeordneten Bediensteten anzuwenden; der Hundertsatz für den ständigen Vertreter des Leiters der Vertretung bei der Organisation für wirtschaftliche Zusammenarbeit und Entwicklung in Paris beträgt jedoch 22 Prozent. Der zum Leiter der deutschen Gruppe bei einer Schutzmachtvertretung (siehe Artikel 45 c des Wiener Übereinkommens über Konsularische Beziehungen (WÜK) vom 18. April 1961 sowie Artikel 27 (1) c des Wiener Übereinkommens über Konsularische Beziehungen (WÜK) vom 24. April 1963) für deutsche Interessen bestellte Beamte oder Angestellte erhält den Hundertsatz der Aufwandsentschädigung gemäß Ziffer 3.1; die übrigen Bediensteten die Hundertsätze gemäß Ziffer 2.1 bzw. 3.2 ff. Beamtinnen und Beamte und tarifliche Arbeitnehmerinnen und Arbeitnehmer als Leiterin oder Leiter einer funktionell selbstständigen Delega- tion der Bundesrepublik Deutschland, für die im Haushaltsplan besondere Planstellen und Stellen ausgewiesen sind, erhalten eine Auf- wandsentschädigung in Höhe von 75 Prozent der Aufwandsentschädigung der Leiterin oder des Leiters der Auslandsvertretung, der die De- legation organisatorisch zugeordnet ist, die übrigen Bediensteten die Hundertsätze gemäß Ziffer 2.1. 4. Beamtinnen und Beamte auf Widerruf im Vorbereitungsdienst (Anwärter) erhalten 75 Prozent der Aufwandsentschädigung einer Beamtin oder eines Beamten im Eingangsamt ihrer Laufbahn. 5. Ist die Leiterin oder der Leiter einer Auslandsvertretung aus dienstlichem Anlass länger als 14 Tage vom Amtsbezirk abwesend oder aus an- deren Gründen länger als 14 Tage an der Ausübung seiner Dienstgeschäfte verhindert, wird der ihn vertretenden Beamtin oder dem ihn ver- tretenden Beamten oder tariflichen Arbeitnehmerin oder Arbeitnehmer eine besondere Aufwandsentschädigung (Vertreterzulage) gewährt. Sie beträgt - bei diplomatischen oder sonstigen nichtkonsularischen Vertretungen 15 Prozent - bei Generalkonsulaten und Konsulaten 10 Prozent der dem Vertreter für die Dauer der Vertretung insgesamt gezahlten Dienstbezüge (ohne Zuschlag nach der Tabelle in Anlage VI.2 BBesG und Mietzuschuss) und Aufwandsentschädigung. Eine besondere Aufwandsentschädigung in Höhe der Vertreterzulage nach Absatz 1 erhält auch die Beamtin oder der Beamte oder die tarifli- che Arbeitnehmerin oder der Arbeitnehmer, der während eines Zeitraumes von mehr als 14 Tagen die Geschäfte der Leiterin oder des Lei- ters einer Auslandsvertretung wegen dessen Abberufung, Abordnung oder Tod auftragsweise wahrnimmt. Vom Beginn des dritten Monats an wird die Vertreterzulage in diesem Fall - bei diplomatischen oder sonstigen nichtkonsularischen Vertretungen auf 25 Prozent - bei Generalkonsulaten und Konsulaten auf 15 Prozent erhöht. - Die Vertreterzulage und Aufwandsentschädigung zusammen dürfen hierbei 75 Prozent der Aufwandsentschädigung der Leiterin oder des Leiters der Auslandsvertretung nicht übersteigen. Ist die nach Absatz 2 Satz 1 gewährte Vertreterzulage höher, so wird diese weiter gewährt. Wurde bereits länger als zwei Monate Vertre- terzulage nach Abs. 1 gewährt, so wird die erhöhte Vertreterzulage frühestens vom Zeitpunkt der Abberufung, der Abordnung oder des Todes des Vertretenen an gezahlt. Eine besondere Aufwandsentschädigung bis zur Höhe der Vertreterzulage nach Absatz 2 kann auch der Leiterin oder dem Leiter der deutschen Gruppe bei einer Schutzmachtvertretung von der Übernahme der Dienstgeschäfte an gezahlt werden, wenn der Umfang seiner amtlichen Repräsentation dies rechtfertigt. 6.     Zur Dienstleistung bei einer Auslandsvertretung abgeordnete Bedienstete, Beamtinnen und Beamte zur Anstellung sowie Aufstiegsbeam- tinnen und Aufstiegsbeamte während der Ableistung der Vorbereitungszeit zur Übernahme in die nächsthöhere Laufbahn erhalten die Auf- wandsentschädigung mit den für den Ort der Dienstleistung maßgebenden Sätzen. Ein/e zur Vertretung eines Missionschefs
489

- 102 - 05       Übersicht 2 Grundsätze für die Berechnung der Aufwandsentschädigung der entsandten Bediensteten der diplomatischen und konsularischen Vertretungen abgeordnete/r Beamtin oder Beamter bzw. tariflicher Arbeitnehmerin oder Arbeitnehmer erhält die Aufwandsentschädigung gemäß Ab- schnitt 3.1 und, sofern die Voraussetzungen vorliegen, gemäß Abschnitt 5. § 52 BBesG gilt entsprechend. 7.  Die an das Auswärtige Amt abgeordneten und einer Auslandsvertretung zur Dienstleistung zugeteilten Bediensteten anderer Ressorts er- halten die Aufwandsentschädigung mit den für den Ort der Dienstleistung maßgebenden Sätzen. Diese Regelung gilt nicht für Bedienstete anderer Ressorts, die einer Auslandsvertretung zwecks Ableistung einer Probezeit, zur Teilnahme an Lehrgängen oder aus ähnlichen Gründen zugeteilt werden, es sei denn, sie werden ausdrücklich im Zuteilungserlass beauftragt, einen bestimmten, im Ordnungsplan einer Auslandsvertretung vorgesehenen Dienstposten ihrer Laufbahn vertretungsweise oder aushilfsweise wahrzunehmen. Sie erhalten dann 85 Prozent der Aufwandsentschädigung einer Beamtin oder eines Beamten im Eingangsamt ihrer Laufbahn. 8.  Die Aufwandsentschädigung beträgt für Beamtinnen und Beamte, mit Ausnahme der Beamtinnen und Beamten im Vorbereitungsdienst, für tarifliche Arbeitnehmerinnen und Arbeitnehmer sowie für Lohnempfängerinnen und Lohnempfänger mindestens 92 €. 9.  Die Aufwandsentschädigung wird bei verheirateten oder verpartnerten Bediensteten für den am Auslandsdienstort bei gemeinsamer Woh- nung überwiegend anwesenden Ehegatten oder Lebenspartner um 20 Prozent, mindestens um 92 €, erhöht. Die Aufwandsentschädigung wird auf volle €-Beträge aufgerundet. 10. Das Auswärtige Amt ist ermächtigt, die im Einzelfall auszuzahlende Aufwandsentschädigung im Hinblick auf ihre Zweckbindung bis zur Höhe der sich nach den Abschnitten 1. bis 9. errechnenden Beträge den jeweiligen besonderen Umständen und dienstlichen Erfordernis- sen anzupassen.
490

Zur nächsten Seite