Beschäftigungsverhältnisse im Baugewerbe

/ 84
PDF herunterladen
Deutscher Bundestag – 19. Wahlperiode                                 – 51 –                                             Drucksache 19/1226 Vorabfassung - wird durch die lektorierte Version ersetzt. Tabelle zu Frage Nr. 10 Abhängig Beschäftigteim "Baugewerbe", darunter mit Abendarbeit nach Geschlecht und Alter Abhängig Beschäftigte Insgesamt                                     davon Männer                                         Frauen Im Al-    Insge-      darunter mit Angaben zur          Insge-      darunter mit Angaben zur           Insge-       darunter mit Angaben zur Abendarbeit ter von   samt        Abendarbeit                       samt        Abendarbeit                        samt … zusam-    darunter arbeiten                   zusam-     darunter arbeiten                    zusam-       darunter arbeiten ständig/re- men       ständig/regelmä-                    men        ständig/regelmä-                     men          gelmäßig abends ßig abends                                     ßig abends 1000                             %            1000                              %            1000                                % 2010 Insge- samt         2100        2098       130        6,2         1798        1796         116       6,5          302          302          14                     4,7 15 - 24       312         312         9        3,0          282         282          8        3,0             30         30            /                         / 25 - 34       419         418        31        7,4          372         372          29       7,8             47         47            /                         / 35 - 44       547         547        39        7,2          460         460          35       7,7             87         87            /                         / 45 - 54       551         551        36        6,5          463         463          32       6,9             88         88            /                         / 55 - 64       250         249        14        5,6          206         205          11       5,4             44         44            /                         / 65 und älter            21        21          /            /          14        14           /            /            6            6         -                         - 2012 Insge- samt        2 120       2 119       134        6,3        1 816        1815         121       6,7          304          304          14                     4,5 15 - 24       297         297        11        3,7          270         269          10       3,7             28         28            /                         / 25 - 34       416         416        29        6,9          365         365          26       7,2             50         50            /                         / 35 - 44       509         509        36        7,2          433         433          33       7,5             76         76            /                         / 45 - 54       584         584        39        6,7          493         492          35       7,1             92         92            /                         / 55 - 64       289         289        18        6,2          239         239          16       6,6             50         50            /                         / 65 und älter            25        25          /            /          17        17           /            /            8            8         /                         / 2014 Insge- samt        2 230       2 228       136        6,1        1 896        1894         119       6,3          334          334          16                     4,9 15 - 24       296         295         9        3,1          268         267          8        3,1             28         28            /                         / 25 - 34       440         440        29        6,5          387         387          26       6,6             53         53            /                         / 35 - 44       501         501        36        7,1          423         423          31       7,4             78         78            /                         / 45 - 54       614         613        43        7,1          511         511          38       7,3          102          102            6                    5,6 55 - 64       348         348        19        5,4          283         283          16       5,8             64         64            /                         / 65 und älter            32        32          /            /          23        23           /            /            9            9         /                         /
51

Drucksache 19/1226                                                    – 52 –                           Deutscher Bundestag – 19. Wahlperiode Vorabfassung - wird durch die lektorierte Version ersetzt. Abhängig Beschäftigte Insgesamt                                     davon Männer                                         Frauen Im Al-    Insge-      darunter mit Angaben zur          Insge-      darunter mit Angaben zur           Insge-       darunter mit Angaben zur Abendarbeit ter von   samt        Abendarbeit                       samt        Abendarbeit                        samt … zusam-    darunter arbeiten                   zusam-     darunter arbeiten                    zusam-        darunter arbeiten ständig/re- men       ständig/regelmä-                    men        ständig/regelmä-                     men           gelmäßig abends ßig abends                                     ßig abends 1000                             %            1000                              %            1000                                  % 2016 Insge- samt         2 275      2 274       137        6,0        1 937        1935         121       6,3          339          339            16                    4,7 15 - 24        279        279         9        3,1          250         250          8        3,1             29         29              /                        / 25 - 34        453        453        30        6,6          400         399          27       6,8             54         54              /                        / 35 - 44        477        477        31        6,6          409         409          29       7,0             68         68              /                        / 45 - 54        635        635        44        6,9          522         522          38       7,2          113          113             6                    5,2 55 - 64        394        394        22        5,6          328         328          19       5,7             66         66              /                        / 65 und älter            37        37          /            /          28        28           /            /            9            9           /                        / Quelle: Statistisches Bundesamt / = Keine Angabe, da Zahlenwert nicht sicher genug. -=nichts vorhanden 1) Abendarbeit liegt vor, wenn die Arbeitszeit oder ein Teil davon zwischen 18:00 Uhr und 23:00 Uhr liegt. Die einzelnen Werte werden ohne Rücksicht auf die Endsumme auf- bzw. abgerundet. Deshalb können sich bei der Summierung von Einzelangaben geringfügige Abweichungen in der Endsumme ergeben. Die Anteilswerte beruhen auf ungerundeten Ergebnissen.
52

Deutscher Bundestag – 19. Wahlperiode                               – 53 –                                         Drucksache 19/1226 Vorabfassung - wird durch die lektorierte Version ersetzt. Tabelle zu Frage Nr. 10 Abhängig Beschäftigteim „Baugewerbe“, darunter mit Nachtarbeit nach Geschlecht und Alter Abhängig Beschäftigte Insgesamt                                  davon Männer                                      Frauen Im Alter Insge-       darunter mit Angaben zur       Insge-       darunter mit Angaben zur       Insge-       darunter mit Angaben zur Nachtarbeit von …    samt         Nachtarbeit                    samt         Nachtarbeit                    samt zusam-     darunter arbeiten                zusam-     darunter arbeiten                zusam-       darunter arbeiten ständig/re- men        ständig/regelmä-                 men        ständig/regelmä-                 men          gelmäßig nachts ßig nachts                                  ßig nachts 1000                             %         1000                              %         1000                                % 2010 Insge- samt         2100         2098        26       1,3      1798         1796         25       1,4       302          302            /                         / 15 - 24       312         312          /         /       282          281          /         /          30         30            /                         / 25 - 34       419         418          /         /       372          372          /         /          47         47            -                         - 35 - 44       547          547         9       1,6       460          460          9       1,9          87         87            /                         / 45 - 54       551          551         7       1,4       463          463          7       1,5          88         88            /                         / 55 - 64       250         250          /         /       206          206          /         /          44         44            /                         / 65 und älter            21         21         -         -           14        14          -         -            6            6         -                         - 2012 Insge- samt        2 120       2 119         30       1,4     1 816         1815         29       1,6       304          304            /                         / 15 - 24       297         297          /         /       270          269          /         /          28         28            /                         / 25 - 34       416          415         6       1,4       365          365          6       1,6          50         50            /                         / 35 - 44       509          509         9       1,7       433          433          8       1,9          76         76            /                         / 45 - 54       584          584         9       1,6       493          492          9       1,8          92         92            /                         / 55 - 64       289         289          /         /       239          239          /         /          50         50            -                         - 65 und älter            25         25         -         -           17        17          -         -            8            8         -                         - 2014 Insge- samt        2 230       2 228         35       1,6     1 896         1894         33       1,7       334          334            /                         / 15 - 24       296         295          /         /       268          267          /         /          28         28            /                         / 25 - 34       440          440         7       1,6       387          387          6       1,6          53         53            /                         / 35 - 44       501          501         9       1,8       423          423          8       2,0          78         78            /                         / 45 - 54       614          613        12       1,9       511          511         11       2,2       102          102            /                         / 55 - 64       348         348          /         /       283          283          /         /          64         64            -                         - 65 und älter            32         32         /         /           23        23          /         /            9            9         -                         -
53

Drucksache 19/1226                                                  – 54 –                       Deutscher Bundestag – 19. Wahlperiode Vorabfassung - wird durch die lektorierte Version ersetzt. Abhängig Beschäftigte Insgesamt                                  davon Männer                                      Frauen Im Alter Insge-       darunter mit Angaben zur       Insge-       darunter mit Angaben zur       Insge-       darunter mit Angaben zur Nachtarbeit von …    samt         Nachtarbeit                    samt         Nachtarbeit                    samt zusam-    darunter arbeiten                 zusam-     darunter arbeiten                zusam-        darunter arbeiten ständig/re- men       ständig/regelmä-                  men        ständig/regelmä-                 men           gelmäßig nachts ßig nachts                                   ßig nachts 1000                             %         1000                              %         1000                                 % 2016 Insge- samt         2 275      2 275        39        1,7     1 937         1936         38       1,9       339          339             /                         / 15 - 24        279        279          /         /       250          250          /         /          29         29             -                         - 25 - 34        453        453        10        2,3       400          399         10       2,5          54         54             /                         / 35 - 44        477        477         9        1,8       409          409          8       2,1          68         68             /                         / 45 - 54        635        635        12        1,8       522          522         11       2,2       113          113             /                         / 55 - 64        394        394          /         /       328          327          /         /          66         66             /                         / 65 und älter            37        37          /         /           28        28          /         /            9            9          -                         - Quelle: Statistisches Bundesamt / = Keine Angabe, da Zahlenwert nicht sicher genug. -=nichts vorhanden 1) Nachtarbeit liegt vor, wenn die Arbeitszeit oder ein Teil davon zwischen 22:00 Uhr und 06:00 Uhr liegt. Die einzelnen Werte werden ohne Rücksicht auf die Endsumme auf- bzw. abgerundet. Deshalb können sich bei der Summierung von Einzelangaben geringfügige Abweichungen in der Endsumme ergeben. Die Anteilswerte beruhen auf ungerundeten Ergebnissen.
54

Deutscher Bundestag – 19. Wahlperiode                                   – 55 –                                             Drucksache 19/1226 Vorabfassung - wird durch die lektorierte Version ersetzt. Tabelle zu Frage Nr. 10 Abhängig Beschäftigte im „Baugewerbe“, darunter mit Schichtarbeit nach Geschlecht und Alter Abhängig Beschäftigte Insgesamt                                      davon Männer                                          Frauen Im Alter Insge-       darunter mit Angaben zur           Insge-       darunter mit Angaben zur           Insge-       darunter mit Angaben zur Schichtarbeit von …    samt         Schichtarbeit                      samt         Schichtarbeit                      samt zusam-     darunter leisten                     zusam-     darunter leisten                     zusam-       darunter leisten ständig/regel- men        ständig/regelmä-                     men        ständig/regelmä-                     men          mäßig Schichtarbeit ßig Schichtarbeit                               ßig Schichtarbeit 1000                             %             1000                              %             1000                                % 2010 Insge- samt         2100         2099        37       1,8          1798         1797         35       1,9           302          302            /                       / 15 - 24       312         312          /             /       282          282          /             /          30         30            /                       / 25 - 34       419          418         8       1,9           372          372          7       2,0              47         47            /                       / 35 - 44       547          547        11       2,0           460          460         10       2,2              87         87            /                       / 45 - 54       551          551        10       1,8           463          463          9       2,0              88         88            /                       / 55 - 64       250          249         5       2,0           206          205          /             /          44         44            /                       / 65 und älter            21         21         -         -               14        14          -         -                6            6         -                       - 2012 Insge- samt        2 120       2 118         46       2,2         1 816         1814         43       2,4           304          304            /                       / 15 - 24       297         297          /             /       270          269          /             /          28         28            /                       / 25 - 34       416          415        10       2,3           365          365          9       2,5              50         50            /                       / 35 - 44       509          509        11       2,2           433          433         11       2,5              76         76            /                       / 45 - 54       584          584        14       2,4           493          492         12       2,5              92         92            /                       / 55 - 64       289          289         6       2,2           239          239          6       2,5              50         50            /                       / 65 und älter            25         25         -         -               17        17          -         -                8            8         -                       - 2014 Insge- samt        2 230       2 227         53       2,4         1 896         1893         49       2,6           334          334            /                       / 15 - 24       296          295         5       1,8           268          267          /             /          28         28            /                       / 25 - 34       440          439        12       2,8           387          386         11       2,8              53         53            /                       / 35 - 44       501          500        14       2,8           423          423         13       3,0              78         78            /                       / 45 - 54       614          613        16       2,6           511          511         14       2,8           102          102            /                       / 55 - 64       348          347         6       1,7           283          283          6       2,0              64         64            /                       / 65 und älter            32         32         /             /           23        23          /             /            9            9         -                       -
55

Drucksache 19/1226                                                     – 56 –                           Deutscher Bundestag – 19. Wahlperiode Vorabfassung - wird durch die lektorierte Version ersetzt. Abhängig Beschäftigte Insgesamt                                     davon Männer                                          Frauen Im Alter Insge-       darunter mit Angaben zur          Insge-       darunter mit Angaben zur           Insge-       darunter mit Angaben zur Schichtarbeit von …    samt         Schichtarbeit                     samt         Schichtarbeit                      samt zusam-    darunter leisten                     zusam-     darunter leisten                     zusam-         darunter leisten ständig/regel- men       ständig/regelmä-                     men        ständig/regelmä-                     men            mäßig Schichtarbeit ßig Schichtarbeit                               ßig Schichtarbeit 1000                             %            1000                              %             1000                                  % 2016 Insge- samt         2 275      2 273        59        2,6        1 937         1935         55       2,8           339          339              /                       / 15 - 24        279        279         6        2,1          250          250          6       2,3              29         29              -                       - 25 - 34        453        452        14        3,0          400          399         13       3,1              54         54              /                       / 35 - 44        477        477        12        2,6          409          409         11       2,7              68         68              /                       / 45 - 54        635        635        19        3,1          522          522         18       3,4           113          113              /                       / 55 - 64        394        394         8        2,1          328          327          8       2,4              66         66              /                       / 65 und älter            37        37          /            /           28        28          /             /            9            9           -                       - Quelle: Statistisches Bundesamt / = Keine Angabe, da Zahlenwert nicht sicher genug. -=nichts vorhanden 1) Eine Person leistet Schichtarbeit, wenn sie ihre Arbeit zu wechselnden Zeiten ausübt (Wechselschicht). Die einzelnen Werte werden ohne Rücksicht auf die Endsumme auf- bzw. abgerundet. Deshalb können sich bei der Summierung von Einzelangaben geringfügige Abweichungen in der Endsumme ergeben. Die Anteilswerte beruhen auf ungerundeten Ergebnissen.
56

Deutscher Bundestag – 19. Wahlperiode                         – 57 –                                     Drucksache 19/1226 Vorabfassung - wird durch die lektorierte Version ersetzt. Tabelle zu Frage Nr. 11 Abhängig Beschäftigte dar. im Baugewerbe nach Anzahl der Überstunden (unbezahlt/bezahlt/gesamt) in Stunden (1000) Bezahlte Überstunden             Unbezahlten Überstunden         Bezahlte und unbezahlte Überstunden zusam- Geschlecht / Altersgrup-                                                                                         men pen             Insgesamt       dar. Bauge-       Insgesamt       dar. Bauge-       Insgesamt        dar. Baugewerbe werbe                             werbe 2010 Gesamt                         624.848          51.536           614.984          34.418          1.239.832                       85.954 Männer                         429.244          49.606           412.518          30.897           841.762                        80.503 Frauen                         195.603            1.929          202.466            3.521          398.069                          5.450 15 bis 24 Jahre                 43.720            3.841           29.826                 /          73.546                          5.454 25 bis 34 Jahre                153.765          13.287           137.560            7.392          291.325                        20.679 35 bis 44 Jahre                185.361          14.962           181.428          10.579           366.789                        25.541 45 bis 54 Jahre                170.389          14.311           179.062          11.528           349.451                        25.839 55 bis 64 Jahre                 68.962            5.010           83.781            3.216          152.743                          8.226 65 Jahre und älter               3.486                 /           4.784                 /           8.270                                 / 2012 Gesamt                         397.661          38.012           563.117          29.640           960.778                        67.652 Männer                         279.648          36.551           389.050          26.561           668.698                        63.112 Frauen                         118.013                 /         174.067            3.079          292.080                          4.540 15 bis 24 Jahre                 29.691            3.923           20.356                 /          50.047                          5.680 25 bis 34 Jahre                 96.709            8.604          126.598            5.534          223.307                        14.138 35 bis 44 Jahre                107.108            9.851          153.883            7.439          260.991                        17.290 45 bis 54 Jahre                112.632          10.944           168.622            9.446          281.254                        20.390 55 bis 64 Jahre                 49.301            4.555           89.087            5.371          138.388                          9.926 65 Jahre und älter               3.357                 /           7.766                 /          11.123                                 / 2014 Gesamt                         371.614          34.615           527.002          24.387           898.616                        59.002 Männer                         257.678          33.305           367.248          21.917           624.926                        55.222 Frauen                         113.936                 /         159.754            2.470          273.690                          3.780 15 bis 24 Jahre                 23.801            2.235           17.786                 /          41.587                          3.651 25 bis 34 Jahre                 94.146            8.386          120.966            3.988          215.112                        12.374 35 bis 44 Jahre                 94.053            9.602          138.152            6.016          232.205                        15.618 45 bis 54 Jahre                106.621            9.726          160.609            8.382          267.230                        18.108 55 bis 64 Jahre                 51.123            4.615           84.872            4.411          135.995                          9.026 65 Jahre und älter               3.165                 /           7.996                 /          11.161                                 /
57

Drucksache 19/1226                                                – 58 –                     Deutscher Bundestag – 19. Wahlperiode Vorabfassung - wird durch die lektorierte Version ersetzt. Bezahlte Überstunden               Unbezahlten Überstunden         Bezahlte und unbezahlte Überstunden zusam- Geschlecht / Altersgrup-                                                                                             men pen             Insgesamt         dar. Bauge-         Insgesamt       dar. Bauge-       Insgesamt        dar. Baugewerbe werbe                               werbe 2016 Gesamt                           335.414              29.940         493.290          23.737           828.704                           53.677 Männer                           225.343              28.733         341.216          20.693           566.559                           49.426 Frauen                           110.072                   /         152.073            3.044          262.145                            4.252 15 bis 24 Jahre                   18.321                   /          13.647                 /          31.968                            2.459 25 bis 34 Jahre                   87.259               7.124         109.121            4.191          196.380                           11.315 35 bis 44 Jahre                   78.995               8.816         113.817            5.128          192.812                           13.944 45 bis 54 Jahre                   95.152               7.970         161.760            8.526          256.912                           16.496 55 bis 64 Jahre                   53.313               4.360          90.184            4.527          143.497                            8.887 65 Jahre und älter                 4.056                   /           7.627                 /          11.683                                 / Quelle: Statistisches Bundesamt / = keine Angabe, da Zahlenwert nicht sicher genug. Die einzelnen Werte werden ohne Rücksicht auf die Endsumme auf- bzw. abgerundet. Deshalb können sich bei der Summierung von Einzelangaben geringfügige Abweichungen in der Endsumme ergeben.
58

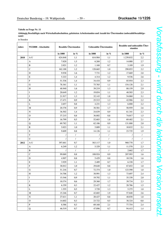
Deutscher Bundestag – 19. Wahlperiode                         – 59 –                                Drucksache 19/1226 Vorabfassung - wird durch die lektorierte Version ersetzt. Tabelle zu Frage Nr. 11 Abhängig Beschäftigte nach Wirtschaftsabschnitten, geleisteten Arbeitsstunden und Anzahl der Überstunden (unbezahlt/bezahlt/ge- samt) in Stunden Bezahlte und unbezahlte Über- Jahre        WZ2008 - Abschnitte        Bezahlte Überstunden           Unbezahlte Überstunden stunden in 1000         in %            in 1000          in %           in 1000           in % 2010       A-U                        624.848         1,1               614.984        1,1             1.239.832        2,2 A                             7.820        1,5                 6.268        1,2                14.088        2,7 B                             2.021        1,2                 1.168        0,7                 3.189        1,9 C                          162.188         1,2               128.665        1,0              290.853         2,2 D                             9.938        1,6                 7.731        1,2                17.669        2,8 E                             5.222        1,4                 4.314        1,2                 9.536        2,6 F                           51.536         1,4                34.418        0,9                85.954        2,3 G                           78.361         1,1                75.765        1,1              154.126         2,1 H                           48.940         1,6                39.219        1,3                88.159        2,9 I                           20.649         1,2                19.854        1,1                40.503        2,3 J                           21.917         1,3                32.143        1,8                54.060        3,1 K                           17.471         0,9                25.515        1,3                42.986        2,2 L                             2.657        0,8                 4.231        1,3                 6.888        2,2 M                           20.378        0,9                 38.581        1,7                58.959        2,6 N                           36.502         1,4                24.839        0,9                61.341        2,3 O                           37.215         0,8                36.802        0,8                74.017        1,5 P                           16.799         0,5                52.683        1,6                69.482        2,1 Q                           69.782         1,1                62.106        0,9              131.888         2,0 R                             5.023        1,0                 5.809        1,1                10.832        2,1 S                             9.609        0,8                14.126        1,1                23.735        1,9 T                                   /       /                       /        /                      /         / U                                   /       /                       /        /                      /         / 2012       A-U                        397.661         0,7               563.117        1,0              960.778         1,7 A                             6.249        1,2                 5.329        1,1                11.578        2,3 B                                   /       /                       /        /                  2.662        1,7 C                           99.069         0,8               108.924        0,9              207.993         1,6 D                             4.907        0,8                 5.429        0,8                10.336        1,6 E                             3.929        1,1                 2.409        0,7                 6.338        1,7 F                           38.012         1,0                29.640        0,8                67.652        1,8 G                           51.216         0,7                72.374        1,0              123.590         1,8 H                           34.706         1,2                38.991        1,3                73.697        2,4 I                           15.546         0,9                19.792        1,1                35.338        2,0 J                           10.374         0,6                29.360        1,7                39.734        2,3 K                             6.359        0,3                22.427        1,2                28.786        1,5 L                             1.555        0,5                 3.720        1,3                 5.275        1,8 M                           15.246        0,7                 42.602        1,9                57.848        2,6 N                           27.611         1,1                20.427        0,8                48.038        1,8 O                           14.602         0,3                23.722        0,5                38.324        0,8 P                             8.586        0,3                69.168        2,1                77.754        2,4 Q                           46.519         0,7                47.896        0,7                94.415        1,4
59

Drucksache 19/1226                                 – 60 –                 Deutscher Bundestag – 19. Wahlperiode Vorabfassung - wird durch die lektorierte Version ersetzt. Bezahlte und unbezahlte Über- Jahre   WZ2008 - Abschnitte    Bezahlte Überstunden         Unbezahlte Überstunden stunden in 1000       in %            in 1000          in %        in 1000          in % R                        4.242       0,8                 6.235       1,2             10.477        2,1 S                        5.929       0,5                12.600       1,0             18.529        1,5 T                               /     /                       /       /                    /        / U                               /     /                       /       /                    /        / 2014   A-U                    371.614       0,7               527.002       0,9            898.616        1,6 A                        4.116       0,9                 4.462       1,0              8.578        1,8 B                               /     /                       /       /               2.693        1,8 C                       91.390       0,7               105.301       0,8            196.691        1,5 D                        4.042       0,7                 5.468       1,0              9.510        1,7 E                        3.952       1,0                 2.899       0,8              6.851        1,8 F                       34.615       0,9                24.387       0,6             59.002        1,5 G                       54.035       0,7                73.721       1,0            127.756        1,7 H                       34.610       1,1                32.017       1,0             66.627        2,1 I                       14.555       0,8                15.932       0,9             30.487        1,7 J                        7.757       0,5                24.590       1,5             32.347        2,0 K                        6.005       0,3                22.241       1,2             28.246        1,5 L                               /     /                  3.222       1,5              4.410        2,0 M                       12.367       0,5                40.994       1,6             53.361        2,1 N                       21.731       0,9                19.645       0,8             41.376        1,7 O                       14.401       0,3                21.646       0,5             36.047        0,8 P                        9.523       0,3                70.427       2,1             79.950        2,4 Q                       45.646       0,7                40.273       0,6             85.919        1,3 R                        3.548       0,7                 4.407       0,9              7.955        1,6 S                        6.005       0,5                12.362       1,0             18.367        1,5 T                               /     /                       /       /                    /        / U                               /     /                       /       /                    /        / 2016   A-U                    335.414       0,6               493.290       0,8            828.704        1,4 A                        4.551       0,9                 4.248       0,9              8.799        1,8 B                               /     /                       /       /               2.447        1,6 C                       75.224       0,6                92.470       0,7            167.694        1,3 D                        3.064       0,6                 4.038       0,7              7.102        1,3 E                        3.599       0,9                 2.671       0,7              6.270        1,6 F                       29.940       0,7                23.737       0,6             53.677        1,3 G                       46.639       0,6                68.810       0,9            115.449        1,4 H                       31.263       1,0                26.545       0,8             57.808        1,8 I                       12.071       0,7                12.352       0,7             24.423        1,3 J                        7.860       0,4                30.341       1,7             38.201        2,1 K                        5.146       0,3                21.619       1,1             26.765        1,4 L                               /    0,3                 3.056       1,2              3.956        1,5 M                       12.001       0,4                40.955       1,4             52.956        1,8 N                       24.462       1,0                17.771       0,7             42.233        1,7 O                       11.222       0,2                22.397       0,5             33.619        0,7 P                       10.341       0,3                63.107       1,8             73.448        2,1 Q                       47.327       0,7                41.070       0,6             88.397        1,2
60

Zur nächsten Seite