Zustand der Straßenbrücken in Hessen

/ 154
PDF herunterladen
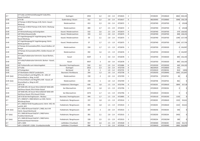
B3    UF-Elsterbach                                      Fuldatal-Wilhelmshausen   37  1,8 1.5 - 1.9 4523751 2 4523202O 4523007O   915 B 27  UF Gemeindestrasse bei Marzhausen                        Marzhausen         245  2,8 2.5 - 2.9 4525951 0 4525457O 4525452O   174 B 27  UF Molle bei Marzhausen                                  Marzhausen         235   2  2.0 - 2.4 4525952 0 4525457O 4525452O   523 B 252 UF Twistebach in Berndorf/Twistebachbrücke                 Berndorf          96   2  2.0 - 2.4 4619552 0 4719049A 4619052O  3326 UF Lampfertgraben in B 252                                                            Berndorf          64   2  2.0 - 2.4 4619553 0 4619052O 4619058O   135 Berndorf/Lampfertgrabenbrücke B 252 UF Limecke bei Berndorf/Limeckebrücke                      Berndorf          71  1,8 1.5 - 1.9 4619554 0 4619052O 4619058O  1347 UF Mühlhäuserbach bei B 252                                                             Twiste            42 2,1 2.0 - 2.4 4619555 0 4619058O 4619070O   177 Twiste/Mühlhäuserbachbrücke B 252 UF Bröbecke bei Twiste/Bröbeckebrücke                       Twiste           34  2,1 2.0 - 2.4 4619556 0 4619058O 4619070O   537 B 252 OU Mengeringhausen BW 2/UEF Hagenstraße                Mengeringhausen       766 1,9 1.5 - 1.9 4619588 0 4619072O 4619075O     0 B 252 OU Mengeringhausen BW 3/UEF HWW                        Mengeringhausen       181 2,3 2.0 - 2.4 4619589 0 4619072O 4619075O   620 OU Mengeringhausen BW 4/Talbrücke bei B 252                                                        Mengeringhausen      2595 1,9 1.5 - 1.9 4619590 0 4619072O 4619075O  1073 Mengeringhausen B 252 OU Mengeringhausen BW 1a/UF HWW                        Mengeringhausen       147 1,8 1.5 - 1.9 4619591 0 4619071O 4619072O  1598 B 252 OU Mengeringhausen BW 5/UEF Arolser Weg                Mengeringhausen       429 2,3 2.0 - 2.4 4619600 0 4619075O 4619073O     0 B 252 OU Mengeringhausen BW 1/UF HWW                         Mengeringhausen       128  2  2.0 - 2.4 4619601 0 4619071O 4619072O   750 B 252 OU Helsen BW 2/UEF Gemeindestraße                           Helsen          526  2,2 2.0 - 2.4 4619611 0 4619073O 4619074O     0 B 252 OU Helsen BW 3/Luisentalbrücke                           Bad Arolsen        1998 2,3 2.0 - 2.4 4619612 0 4619073O 4619074O   341 B 252 OU Helsen BW 4/UEF L 3078 Marsbergerstraße               Bad Arolsen        340   2  2.0 - 2.4 4619613 0 4619074O 4620035O     4 B 252 OU Helsen BW 5/UEF HWW                                      Helsen           146  2  2.0 - 2.4 4619614 0 4619074O 4620035O   297 B 252 OU Helsen BW 6/Bicketalbrücke                            Bad Arolsen        1873  2  2.0 - 2.4 4619615 0 4619074O 4620035O   522 B 450 UF Duse                                                   Wolfhagen          95  1,1 1.0 - 1.4 4620511 0 4621058O 4620010O  1315 B 450 UF Watter bei Landau/Watterbachbrücke                       Landau          196  2,3 2.0 - 2.4 4620513 0 4620029O 4620017O   177 B 450 UF Twistesee/Twistebrücke                                   Landau          276   2  2.0 - 2.4 4620514 0 4620017O 4620018O   325 B 450 Betriebsweg am Twistesee/UF Betriebsweg                     Landau           67  1,8 1.5 - 1.9 4620534 0 4620017O 4620018O   128 B 450 Betriebsweg am Twistesee/UF Betriebsweg                     Landau          123   2  2.0 - 2.4 4620535 0 4620017O 4620018O   522 B 450 OU Landau BW 2/UEF HWW                                      Landau           170 2,5 2.5 - 2.9 4620570 0 4620030O 4620029O   386 B 450 OU Landau BW 1/UF Sandlandstraße                            Landau          269  2,8 2.5 - 2.9 4620571 0 4620030O 4620029O   832 B 252 OU Helsen BW 8/UF HWW                                    Bad Arolsen         240 2,1 2.0 - 2.4 4620600 0 4619074O 4620035O  1446 B 252 OU Helsen BW 9/UF L 3198                                    Helsen           324  3  3.0 - 3.4 4620601 0 4620035O 4520166O     0 B 252 OU Helsen BW 10/UF HWW                                      Helsen            82 1,8 1.5 - 1.9 4620602 0 4620035O 4520166O   264 B 251 UF Warme                                                     Ehlen           87  2,9 2.5 - 2.9 4621501 0 4621052O 4621006O  1505 B 251 UF Wirtschaftsweg                                            Ehlen          287   3  3.0 - 3.4 4621502 0 4621052O 4621006O   276 B 450 UF Limecke                                                Wolfhagen          84  1,2 1.0 - 1.4 4621506 0 4621060O 4621056O  1950 A 44  UF L 3220/UF L 3220 RiFa. Kassel - Dortmund          Habichtswald / Ehlen    444 1,7 1.5 - 1.9 4621540 1 4621052O 4722045O  2288 16,074 A 44  UF L 3220/UF L 3220 RiFa. Dortmund - Kassel          Habichtswald / Ehlen    444 2,5 2.5 - 2.9 4621540 2 4621052O 4722045O  2288 16,074 A 44  UF Weg und Bach                                   Zierenberg / Burghasungen  258  1  1.0 - 1.4 4621541 0 4621052O 4722045O  2092  16,27 UF B 251 AS Zierenberg (67)/UF B 251 RiFa.Kassel- A 44                                                          Burghasungen         412  2  2.0 - 2.4 4621542 1 4621052O 4722045O     0 18,363 Dortmund UF B 251 AS Zierenberg (67)/UF B 251 ; RiFa.Do- A 44                                                          Burghasungen         400  2  2.0 - 2.4 4621542 2 4621052O 4722045O     0 18,363 Kassel A 44  UF K 98                                                 Burghasungen        294   2  2.0 - 2.4 4621543 0 4521182O 4621052O 12655 19,105
11

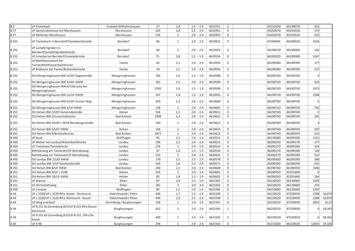
A 44  UF L 3390                                          Burghasungen        476 1,7 1.5 - 1.9 4621544 0 4521182O 4621052O 12241 19,519 A 44  UF Waldweg                                           Zierenberg        243  1  1.0 - 1.4 4621545 0 4521182O 4621052O 10224 21,536 A 44  UF Fußweg                                            Zierenberg        108  1  1.0 - 1.4 4621546 0 4521182O 4621052O  9359 22,401 A 44  UF Waldweg                                           Zierenberg        330 1,7 1.5 - 1.9 4621547 0 4521182O 4621052O  8415 23,341 A 44  UF L 3214/UF L 3214, RiFa. Kassel-Dortmund    Zierenberg / Zierenberg 361  2,5 2.5 - 2.9 4621548 1 4521182O 4621052O  6892 24,868 A 44  UF L 3214/UF L 3214, RiFa. Dortmund - Kassel  Zierenberg / Zierenberg  318 2,9 2.5 - 2.9 4621548 2 4521182O 4621052O  6892 24,868 A 44  UF DB/UF DB ; Fahrtr. Dortmund                       Zierenberg        104 2,4 2.0 - 2.4 4621549 1 4521182O 4621052O  6600  25,16 A 44  UF DB/UF DB ; Fahrtr. Kassel                         Zierenberg        104  3  3.0 - 3.4 4621549 2 4521182O 4621052O  6600  25,16 A 44  UEF K 87                                           Oberelsungen        402 1,8 1.5 - 1.9 4621550 0 4521182O 4621052O  5967 25,793 A 44  UF Wirtschaftsweg                                  Oberelsungen        262 1,1 1.0 - 1.4 4621551 0 4521182O 4621052O  4781 26,978 A 44  UEF Waldweg                                        Oberelsungen        327 1,6 1.5 - 1.9 4621552 0 4521182O 4621052O  4131 27,629 UF Wirtschaftsweg/UF Wirtschaftsweg, RiFa A 44                                                    Niederelsungen        96 1,6 1.5 - 1.9 4621553 1 4521182O 4621052O  2084 29,675 Kassel UF Wirtschaftsweg/UF Wirtschaftsweg, RiFa A 44                                                    Niederelsungen        94 2,1 2.0 - 2.4 4621553 2 4521182O 4621052O  2084 29,675 Ruhrgebiet A 44  UEF Wirtschaftsweges                            bei Niederelsungen    266  1,7 1.5 - 1.9 4621554 0 4521182O 4621052O  1284 30,476 B 450 UF L 3075                                           Wolfhagen          336 2,2 2.0 - 2.4 4621557 0 4621058O 4620010O     0 B 450 UF Bruchweg                                         Wolfhagen          260 2,5 2.5 - 2.9 4621558 0 4621057O 4621058O   258 B 450 UF Mühlenwasser                                     Wolfhagen         192  2,2 2.0 - 2.4 4621559 0 4621057O 4621058O   157 B 450 UEF Karlstraße                                      Wolfhagen          324 2,3 2.0 - 2.4 4621560 0 4621056O 4621057O  1020 B 450 UEF Friedenstraße                                   Wolfhagen           83 1,6 1.5 - 1.9 4621562 0 4621056O 4621057O   721 B 450 UEF Lynkerstraße                                    Wolfhagen          282 2,3 2.0 - 2.4 4621563 0 4621056O 4621057O   585 B 450 UEF Fußweg                                          Wolfhagen          252  1  1.0 - 1.4 4621564 0 4621056O 4621057O   436 B 450 UF K 102                                            Wolfhagen          273  2  2.0 - 2.4 4621565 0 4621060O 4621056O  3051 B 251 UEF Wirtschaftsweg                                  Oelshausen         134  2  2.0 - 2.4 4621608 0 4621059O 4621004O  2766 B 251 UEF K 100                                           Oelshausen         219  1  1.0 - 1.4 4621609 0 4621059O 4621004O  2988 B 251 UF Erpe bei Oelshausen/Erpebrücke                   Oelshausen         115 1,5 1.5 - 1.9 4621610 0 4621059O 4621004O  3141 UF Wirtschaftsweg bei Oelshausen/UF B 251                                                     Oelshausen          98 1,8 1.5 - 1.9 4621613 0 4621004O 4621005O   565 Wirtschaftsweg B 450 UF Biegengraben und Wirtschaftsweg                      Istha          235 1,7 1.5 - 1.9 4621618 0 4621060O 4621056O    65 B 251 UEF Gemeindestraße                                      Istha         211   2  2.0 - 2.4 4621619 0 4621060O 4621059O    26 B 251 UEF Horstweg                                            Istha          142 1,1 1.0 - 1.4 4621620 0 4621060O 4621059O   296 B 251 UEF Leuselbügelweg                                      Istha          154 1,7 1.5 - 1.9 4621621 0 4621060O 4621059O   909 B 251 UEF B 450                                               Istha          343 1,9 1.5 - 1.9 4621622 0 4621059O 4621004O     0 B 251 UF Holzweg und Holzgraben                               Istha          342 1,8 1.5 - 1.9 4621624 0 4621059O 4621004O   801 B7    UF Wirtschaftsweg/UF Wirtschaftsweg Tieferweg Vellmar OT Obervellmar   200 2,3 2.0 - 2.4 4622501 0 4622076O 4622048O  1923 B7    UF Ehlsche                                    Vellmar OT Obervellmar    83 1,2 1.0 - 1.4 4622502 0 4622076O 4622048O  2343 B 251 UF Ahne                                              im Ahnetal         93  2  2.0 - 2.4 4622505 0 4622040O 4622039O    19 B7    UEF Gemeindestraße/UEF-Gemeindestraße         Vellmar OT Obervellmar   416 2,4 2.0 - 2.4 4622525 0 4622076O 4622048O  2529 B7    UEF L 3234                                    Vellmar OT Obervellmar   477 2,5 2.5 - 2.9 4622526 0 4622048O 4622073O     0 B7    UEF Parkstraße                                Vellmar OT Obervellmar   287 2,3 2.0 - 2.4 4622527 0 4622048O 4622073O   372 B7    UF Ahne und Radweg                                     Kassel          294 2,5 2.5 - 2.9 4622528 0 4622048O 4622073O   600 B7    UEF K 31/UEF K31                                    Obervellmar       1112 2,5 2.5 - 2.9 4622529 0 4622048O 4622073O   778 B7    UF DB/UF-DB                                   Vellmar OT Obervellmar   784 2,7 2.5 - 2.9 4622530 0 4622076O 4622048O  1508 UEF Gemeindestraße / Dörnbergstrasse/UEF B7                                                       Niedervellmar       522 2,5 2.5 - 2.9 4622531 0 4622073O 4622092O     0 Gemeindestraße
12

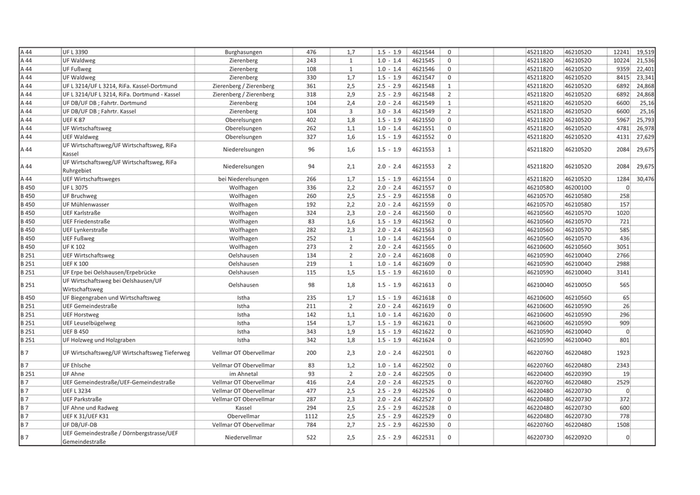
UEF L 3217 AS Schäferberg/UEF L3217 und B7                                                               Mönchehof           574 2,4 2.0 - 2.4 4622594 0 4622076O 4622048O    0 Gehweg UF Rad und Gehweg/UF Rad und Gehweg ; Fahrtr. B7                                                               Mönchehof            56 2,2 2.0 - 2.4 4622595 1 4622077O 4622076O  352 Kassel - Warburg UF Rad und Gehweg/UF Rad und Gehweg ; Fahrtr. B7                                                               Mönchehof            68  2  2.0 - 2.4 4622595 2 4622077O 4622076O  352 Warburg - Kassel UF B83 Rampe B7/83/UF B83 Rampe B7/B83 ; B7                                                                  Espenau          402 1,3 1.0 - 1.4 4622596 1 4622077O 4622076O    0 Fahrtr. Kassel - Warburg UF B83 Rampe B7/83/UF B83 Rampe B7/B83 ; B7                                                                  Espenau          298 1,1 1.0 - 1.4 4622596 2 4622077O 4622076O    0 Fahrtr. Warburg - Kassel B3   UF Osterbach                                              Wilhelmshausen         44 2,2 2.0 - 2.4 4623843 0 4623335O 4523202O   37 UF Wirtschaftsweg, Bunte Berna/UF A7                                                         Niestetal / Heiligenrode  204  1  1.0 - 1.4 4623899 1 4623341O 4723041O  582 307,198 Wirtschaftsweg, FR Hannover UF Wirtschaftsweg, Bunte Berna/UF A7                                                         Niestetal / Heiligenrode  241  1  1.0 - 1.4 4623899 2 4623341O 4723041O  582 307,198 Wirtschaftsweg, FR Frankfurt UEF L 3237 AS Kassel Nord/UEF L 3237, RiFa. A7                                                         Niestetal / Heiligenrode  728 2,2 2.0 - 2.4 4623900 1 4623001O 4623341O 3846 306,617 Heiligenrode - Kassel UEF L 3237 AS Kassel Nord/UEF L 3237, RiFa. A7                                                         Niestetal / Heiligenrode  728 1,9 1.5 - 1.9 4623900 2 4623341O 4723041O    0 306,617 Kassel - Heiligenrode TB Niestetal - UF K3 u. Nieste/UF K3 u. Nieste , A7                                                        Niestetal / Sandershausen 3372 2,1 2.0 - 2.4 4623901 1 4623001O 4623341O 3445 306,217 RiFa Kassel-Göttingen TB Niestetal - UF K3 u. Nieste/UF K3 u. Nieste, RiFa A7                                                        Niestetal / Sandershausen 3372 2,8 2.5 - 2.9 4623901 2 4623001O 4623341O 3445 306,217 Göttingen - Kassel UF WW, Wichtelbrunnenweg/UF WW, RiFa Kassel - A7                                                        Niestetal / Sandershausen  181  1  1.0 - 1.4 4623902 2 4623001O 4623341O 3183 305,957 Hannover UF WW, Wichtelbrunnenweg/UF WW, RiFa A7                                                        Niestetal / Sandershausen  194  1  1.0 - 1.4 4623902 3 4623001O 4623341O 3183 305,957 Hannover - Kassel A7   UEF Wirtschaftsweg                                   Niestetal / Sandershausen  314 2,2 2.0 - 2.4 4623903 0 4623001O 4623341O 2712 305,484 A7   UEF Gemeindestraße                                   Niestetal / Sandershausen 456  1,9 1.5 - 1.9 4623904 0 4623001O 4623341O 2244 305,063 A7   UEF Wirtschaftsweg                                    Niestetal / Heiligenrode  319 3,2 3.0 - 3.4 4623905 0 4623001O 4623341O  732 303,504 A7   UEF Geh- und Radweg                                   Niestetal / Heiligenrode  360 2,2 2.0 - 2.4 4623907 0 4623341O 4723041O  173 306,788 B3   UEF Möncheberg Straße                                    bei Ihringshausen      108 1,1 1.0 - 1.4 4623941 0 4623328A 4623360O  285 B3   UF DB und der Gemeindestraße/UF DB                       bei Ihringshausen      897  2  2.0 - 2.4 4623942 0 4623328A 4623360O  869 B3   UF Niedervellmarsche Straße                              bei Ihringshausen      258 2,5 2.5 - 2.9 4623943 0 4623328A 4623360O  964 UEF Wirtschaftsweg (Friedhofsweg)/UEF B3                                                            bei Ihringshausen      114 1,2 1.0 - 1.4 4623944 0 4623360O 4623331O  459 Wirtschaftsweg B3   UEF Wirtschaftsweg                                       bei Ihringshausen      121 1,2 1.0 - 1.4 4623945 0 4623360O 4623331O 1353 B3   UF Espe, Rad- und Gehweg                                bei Simmershausen       242 1,7 1.5 - 1.9 4623946 0 4623360O 4623331O 1880 B3   UF Osterbach                                            in Wilhelmshausen        17 3,2 3.0 - 3.4 4623950 0 4623335O 4523202O   37 B 80 UEF L 3238 bei Gertenbach                                   Gertenbach          373 2,4 2.0 - 2.4 4624801 0 4624006O 4624322O  931 B 80 UF Viehtrieb bei Gertenbach                                 Gertenbach          44  2,5 2.5 - 2.9 4624802 0 4624322O 4625094O  117 B 80 UF Diefenbach bei Gertenbach                                Gertenbach          50  2,7 2.5 - 2.9 4624803 0 4624322O 4625094O  473 B 80 UF Viehtrieb bei Gertenbach                                 Gertenbach          50  2,8 2.5 - 2.9 4624804 0 4624322O 4625094O  586 B 27 UF K 60 bei Ellershausen                                    Ellershausen       208  1,8 1.5 - 1.9 4625601 0 4725058O 4625052O 3312 B 27 UF Werra am Ludwigstein                                    Werleshausen        2821 2,4 2.0 - 2.4 4625609 0 4625060O 4625061O  185 B 27 UEF Wirtschaftsweg bei Unterrieden                          Unterrieden         306 2,8 2.5 - 2.9 4625610 0 4625061O 4625077O 2559 B 27 UF Wirtschaftsweg bei Unterrieden                           Unterrieden         150 2,8 2.5 - 2.9 4625611 0 4625061O 4625077O 3552
13

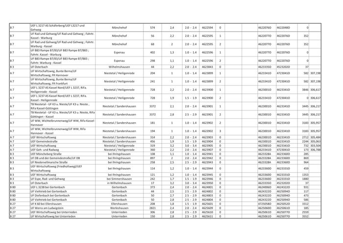
B 27   UF DB, WW und Bach bei Unterrieden              Unterrieden       1400 2,4 2.0 - 2.4 4625612 0 4625061O 4625077O 3790 UF DB bei Eichenberg (Arnstein)/UF DB bei B 80                                                   Eichenberg         204 3,2 3.0 - 3.4 4625614 0 4625099O 4625078O   68 Eichenberg B 27   UF Hüttenborn in Hebenshausen                 Hebenshausen          33 2,2 2.0 - 2.4 4625615 0 4625086O 4625085O  450 B 27   UF Fuß-und Radweg in Hebenshausen             Hebenshausen         68  1,8 1.5 - 1.9 4625616 0 4625086O 4625085O  496 B 80   UF Flutgraben bei Witzenhausen                 Witzenhausen        34  2,7 2.5 - 2.9 4625618 0 4624322O 4625094O 4068 B 80   UF DB bei Eichenberg (Arnstein)                 Eichenberg        302  2,7 2.5 - 2.9 4625624 0 4625099O 4625078O  411 B 451  UF Fahrenbach bei Hundelshausen               Hundelshausen         40 2,2 2.0 - 2.4 4625625 0 4725040O 4625058O 5019 B 451  UF Dohrenbach bei Witzenhausen                 Witzenhausen        29  2,1 2.0 - 2.4 4625626 0 4725040O 4625058O 5679 B 451  UF Werra in Witzenhausen                      Witzenhausen        143   2  2.0 - 2.4 4625630 A 4625068O 4625094A  370 B 451  UF Werra in Witzenhausen                      Witzenhausen        344  2,8 2.5 - 2.9 4625630 B 4625068O 4625094A  397 B 451  UF Werra in Witzenhausen                      Witzenhausen        283  2,7 2.5 - 2.9 4625630 C 4625068O 4625094A  433 B 451  UF Fußweg in Witzenhausen                      Witzenhausen        48  1,8 1.5 - 1.9 4625640 0 4625068O 4625094A  334 B 27   UF Fußweg bei Ellershausen                     Ellershausen        27  1,6 1.5 - 1.9 4625663 0 4725058O 4625052O 3385 B 451  UF Fußweg in Witzenhausen                      Witzenhausen        72  2,7 2.5 - 2.9 4625671 0 4625068O 4625094A  365 B 27   UF Stadtstraße bei Oberrieden                   Oberrieden         128 2,2 2.0 - 2.4 4625674 0 4625096O 4625095O  975 B 27   UF Werrabiotop bei Oberrieden                   Oberrieden        716  2,5 2.5 - 2.9 4625675 0 4625096O 4625095O 1288 B 27   Durchlaß 1 bei Oberrieden                       Oberrieden         39  1,8 1.5 - 1.9 4625676 0 4625096O 4625095O 1190 B 27   Durchlaß 2 bei Oberrieden                       Oberrieden         39  1,8 1.5 - 1.9 4625677 0 4625096O 4625095O 1115 B 27   Durchlaß 3 bei Oberrieden                       Oberrieden         39  1,8 1.5 - 1.9 4625678 0 4625096O 4625095O 1039 B 27   UEF K 68 bei Eichenberg                         Eichenberg        338  2,3 2.0 - 2.4 4625683 0 4625080O 4625086O    0 B 251  UF Itter in Willingen/Itterbrücke                Willingen         62   2  2.0 - 2.4 4717860 0 4717352O 4717351O   67 B 251  UF DB bei Usseln/UF DB                             Usseln          302  2  2.0 - 2.4 4717881 B 4717352O 4717351O 3627 B 251  UF Neerdar bei Neerdar/Neerdarbrücke              Neerdar          29   2  2.0 - 2.4 4718714 0 4718209O 4718210O 2521 B 251  UF Rhene in Rhena/Rhenebrücke                      Rhena            71 1,3 1.0 - 1.4 4718718 0 4718214O 4718217O   75 B 251  UF Neerdar bei Neerdar/Neerdarbrücke              Neerdar          86  1,3 1.0 - 1.4 4718758 0 4718211O 4718212O 2109 BW 4 Radweg Korbach-Buhlen (ehem. B 251                                               Meineringhausen       369 2,2 2.0 - 2.4 4719513 1 4719054O 4719015O  844 Bahntrasse)/Radwegtunnel B 251  UF Werbe bei Meineringhausen/Werbebrücke           Alraft          49  1,7 1.5 - 1.9 4719514 0 4719016O 4719017O  767 B 251  UF Bach bei Alraft/Bachbrücke                      Alraft           28  2  2.0 - 2.4 4719515 0 4719017O 4719018O   14 BW 18 Radweg Korbach-Buhlen (ehem. B 485                                            Waldeck / Sachsenhausen 384  2,3 2.0 - 2.4 4719517 0 4720021O 4719018O  582 Bahntrasse)/UEF B 485 BW 13 Radweg Korbach-Buhlen (ehem. L 3118                                                Höringhausen         53 2,3 2.0 - 2.4 4719520 0 4719018A 4719031O 1989 Bahntrasse)/Radweg-Brücke BW 10 Radweg Korbach-Buhlen (ehem. L 3118                                                Höringhausen        114  2  2.0 - 2.4 4719521 0 4719032O 4620004O  277 Bahntrasse)/Radwegbrücke BW 9 Radweg Korbach-Buhlen (ehem. K 15                                                  Höringhausen         39  2  2.0 - 2.4 4719522 0 4719029O 4719030O 2627 Bahntrasse)/UF K 15 bei Höringhausen B 252  UF Kuhbach bei Dorfitter/Kuhbachbrücke           Dorfitter          49 2,3 2.0 - 2.4 4719528 0 4719044O 4719045O  138 B 251  OU Korbach BW 1a/Kuhbachbrücke                    Korbach           46 1,7 1.5 - 1.9 4719575 0 4719048O 4719049O  385 B 251  OU Korbach BW 1/UEF HWW                           Korbach         214  2,2 2.0 - 2.4 4719576 0 4719048O 4719049O  464 B 251  OU Korbach BW 2/UF L3076 und DB                   Korbach          581 2,3 2.0 - 2.4 4719577 0 4719048O 4719049O 1493 B 251  OU Korbach Bw 3/UF HWW, WW,und DB                 Korbach         598  2,3 2.0 - 2.4 4719578 0 4719048O 4719049O 1600 B 251  OU Korbach BW 4/UEF HWW                           Korbach         182  2,3 2.0 - 2.4 4719579 0 4719048O 4719049O 2377 B 252  UF K 52 bei Thalitter/UF K 52                     Thalitter       1312 2,2 2.0 - 2.4 4719580 0 4719050O 4719044O   85 B 251  OU Korbach BW 5/UF B 252                          Korbach         745  2,5 2.5 - 2.9 4719582 0 4719049O 4719053O    0
14

B 251  OU Korbach BW 6/UF HWW                               Korbach         132  2  2.0 - 2.4 4719583 0 4719049O 4719053O  256 B 251  OU Korbach BW 7/UEF HWW                              Korbach         306  2  2.0 - 2.4 4719584 0 4719049O 4719053O 1373 B 251  OU Korbach BW 8/UF L 3083                            Korbach         477 2,2 2.0 - 2.4 4719585 0 4719053O 4719054O    0 B 251  OU Korbach BW 9/UEF HWW                              Korbach         193 1,8 1.5 - 1.9 4719586 0 4719053O 4719054O  842 B 251  OU Korbach BW 10/UEF HWW                             Korbach         257  2  2.0 - 2.4 4719587 0 4719053O 4719054O 1483 OU Korbach BW 11/UF Gemeindestraße, Radweg B 252                                                       Korbach         801 2,3 2.0 - 2.4 4719588 0 4719055O 4719054O 1633 BW3 und HWW B 252  UF Mühlgraben bei Thalitter/Mühlgrabenbrücke        Thalitter         70  2  2.0 - 2.4 4719589 0 4719050O 4719044O  544 B 252  UF Itter bei Dorfitter/Itterbrücke                  Dorfitter        160 2,1 2.0 - 2.4 4719590 0 4719050O 4719044O  830 B 252  UF Itter bei Thalitter/Itterbachbrücke              Thalitter        135  2  2.0 - 2.4 4719591 0 4719050O 4719044O  598 B 252  OU Korbach BW 12/UEF HWW                             Korbach         292 2,2 2.0 - 2.4 4719614 0 4719055O 4719054O  940 B 252  OU Korbach BW 13/UF Wirtschaftsweg                   Korbach          99 1,8 1.5 - 1.9 4719615 0 4719055O 4719054O  152 B 252  OU Korbach BW 14/Kuhbachbrücke                       Korbach         249  2  2.0 - 2.4 4719616 0 4719055O 4719054O  114 B 252  OU Korbach BW 15/UF DB und Wirtschaftweg             Korbach         350 1,7 1.5 - 1.9 4719617 0 4719055O 4719054O   53 BW 1 Radweg Korbach-Buhlen(ehem. 0                                                           Korbach          92  1  1.0 - 1.4 4719652 0                      0 Bahntrasse)/UEF WW BW 2 Radweg Korbach-Buhlen(ehem. 0                                                           Korbach         137  1  1.0 - 1.4 4719653 0                      0 Bahntrasse)/UEF WW BW 5 Radweg Korbach-Buhlen (ehem. 0                                                      Meineringhausen       30 1,8 1.5 - 1.9 4719654 0                      0 Bahntrasse)/UF WW BW 7 Radweg Korbach-Buhlen (ehem. 0                                                        Höringhausen       268  1  1.0 - 1.4 4719656 0                      0 Bahntrasse)/UF Werbe BW 8 Radweg Korbach-Buhlen (ehem. 0                                                        Höringhausen       166  1  1.0 - 1.4 4719659 0                      0 Bahntrasse)/UF WW BW 11 Radweg Korbach-Buhlen (ehem. 0                                                        Höringhausen        35  2  2.0 - 2.4 4719660 0                      0 Bahntrasse)/UF WW BW 15 Radweg Korbach-Buhlen (ehem. 0                                                        Höringhausen        40  1  1.0 - 1.4 4719663 0                      0 Bahntrasse)/UF WW BW 16 Radweg Korbach-Buhlen (ehem. 0                                                        Höringhausen       108  1  1.0 - 1.4 4719664 0                      0 Bahntrasse)/UEF WW BW 17 Radweg Korbach-Buhlen (ehem. B 251                                                   Sachsenhausen       316  1  1.0 - 1.4 4719665 0 4719017O 4719018O 1958 Bahntrasse)/UF B 251 BW 37 Radweg Korbach-Buhlen (ehem. B 485                                                   Waldeck / Netze      98  2  2.0 - 2.4 4720508 0 4720001O 4720055O 2167 Bahntrasse)/Radweg-Brücke bei Netze BW 31 Radweg Korbach-Buhlen (ehem. L 3215                                                       Netze          373 1,7 1.5 - 1.9 4720510 0 4720055O 4720007O  629 Bahntrasse)/UF L 3215 BW 28 Radweg Korbach-Buhlen (ehem. L 3083                                                       Netze           37 1,8 1.5 - 1.9 4720512 0 4720014O 4720009O 5850 Bahntrasse)/UEF Radweg BW 26 Radweg Korbach-Buhlen (ehem. K 19                                                        Selbach         814 1,6 1.5 - 1.9 4720516 0 4720054O 4720012O  134 Bahntrasse)/Radweg-Brücke BW 26 UF Reiherbach bei B 485                                                   Sachsenhausen       241  2  2.0 - 2.4 4720519 0 4720054O 4720013O  302 Sachsenhausen/Reiherbachbrücke UF Klingebach in B 485                                               Waldeck / Sachsenhausen 42  1,9 1.5 - 1.9 4720522 0 4720054O 4720013O 3546 Sachsenhausen/Klingebachbrücke B 251  UF Elbe                                           Ippinghausen        40 1,8 1.5 - 1.9 4720527 0 4720051O 4720024O 4291
15

B 251      UF Elbe                                              Ippinghausen          66 2,1 2.0 - 2.4 4720529 0 4720051O 4720024O 5360 B 251      UF Elbe                                              Ippinghausen          62 1,7 1.5 - 1.9 4720532 0 4720024O 4720020O  804 B 485      UF Fombach in Netze/Fombachbrücke                        Netze            57  2,1 2.0 - 2.4 4720533 0 4720055O 4720009O  220 B 251      UF HWW bei Sachsenhausen/UF HWW                     Sachsenhausen          92 1,1 1.0 - 1.4 4720572 0 4719018O 4720056O  206 B 251      UF HWW bei Sachsenhausen/UF HWW                     Sachsenhausen         104 1,8 1.5 - 1.9 4720573 0 4719018O 4720056O  784 B 251      UF Watter in Freienhagen/Watterbrücke                 Freienhagen          23 1,6 1.5 - 1.9 4720584 0 4720052O 4720051O  463 BW 20 Radweg Korbach-Buhlen (ehem. 0                                                              Sachsenhausen          13 2,1 2.0 - 2.4 4720603 0                      0 Bahntrasse)/UF Bach BW 22 Radweg Korbach-Buhlen (ehem. 0                                                              Sachsenhausen          19  1  1.0 - 1.4 4720605 0                      0 Bahntrasse)/UF WW BW 23 Radweg Korbach-Buhlen (ehem. 0                                                              Sachsenhausen          28  2  2.0 - 2.4 4720606 0                      0 Bahntrasse)/UF WW BW 24 Radweg Korbach-Buhlen (ehem. 0                                                              Sachsenhausen         121  1  1.0 - 1.4 4720607 0                      0 Bahntrasse)/UEF WW BW 25 Radweg Korbach-Buhlen (ehem. 0                                                                  Selbach            25 1,6 1.5 - 1.9 4720608 0                      0 Bahntrasse)/UF WW BW 29 Radweg Korbach-Buhlen (ehem. 0                                                                   Netze            149  2  2.0 - 2.4 4720610 0                      0 Bahntrasse)/UF Bach BW 30 Radweg Korbach-Buhlen (ehem. 0                                                                   Netze            134 1,1 1.0 - 1.4 4720611 0                      0 Bahntrasse)/UF WW BW 35 Radweg Korbach-Buhlen (ehem. 0                                                              Waldeck / Netze        36 1,1 1.0 - 1.4 4720615 0                      0 Bahntrasse)/UF WW BW 36 Radweg Korbach-Buhlen (ehem. 0                                                              Waldeck / Netze        34  1  1.0 - 1.4 4720616 0                      0 Bahntrasse)/UF WW BW 38 Radweg Korbach-Buhlen (ehem. 0                                                                  Waldeck            58 1,7 1.5 - 1.9 4720617 0                      0 Bahntrasse)/UF Bach BW 39 Radweg Korbach-Buhlen (ehem. 0                                                                  Waldeck            23 1,2 1.0 - 1.4 4720619 0                      0 Bahntrasse)/UF WW BW 40 Radweg Korbach-Buhlen (ehem. 0                                                                  Waldeck            92 1,6 1.5 - 1.9 4720620 0                      0 Bahntrasse)/UF WW BW 41 Radweg Korbach-Buhlen (ehem. 0                                                                  Waldeck            35  1  1.0 - 1.4 4720621 0                      0 Bahntrasse)/UF WW B 450      UF Stellbach                                             Emstal            69 1,8 1.5 - 1.9 4721503 0 4721045O 4721006O 1362 B 450      UF Naumburgerbahn                                 Bad Emstal/ Balhorn     236 2,2 2.0 - 2.4 4721509 0 4721043O 4721044O  398 A7         UEF L3221/B83 AS - Guxhagen/UEF L 3221           Guxhagen / Guxhagen      769 2,8 2.5 - 2.9 4722502 0 4722061O 4822063O    0 320,638 A 49       UEF Abfahrt AS Felsberg zur B 254                Edermünde / Haldorf      781 1,6 1.5 - 1.9 4722510 0 4722006O 4722011O    0 137,198 UF Feldweg und Pilgerbach/UF Wirtschaftsweg A 49                                                             Holzhausen           31  2  2.0 - 2.4 4722511 1 4722006O 4722011O 1038  136,16 und Pilgerbach,Verbreiterung UF Feldweg und Pilgerbach/UF Wirtschaftsweg A 49                                                             Holzhausen          148 2,6 2.5 - 2.9 4722511 2 4722006O 4722011O 1038  136,16 und Pilgerbach,Hauptbauwerk A 49       UF L 3221/UF L 3221, FR Kassel - Gießen               Holzhausen          503 1,7 1.5 - 1.9 4722512 1 4722011O 4722023O    0 136,083 A 49       UF L 3221/UF L 3221, FR Gießen - Kassel               Holzhausen          456 2,1 2.0 - 2.4 4722512 2 4722011O 4722023O    0 136,083 A 49 (Ast) UF Seelbach                                 Edermünde / Holzhausen a.Hahn  43 2,5 2.5 - 2.9 4722513 0 4722011D 4722011E  287       0 A 49       UF Feldweg                                      Edermünde/Holzhausen      171 1,8 1.5 - 1.9 4722514 0 4722011O 4722023O  763 135,319
16

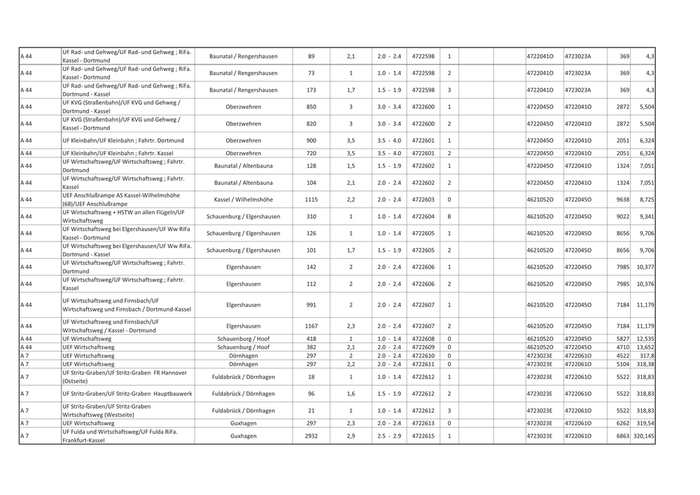
A 49 UF L 3316/UF L 3316 RiFa. Kassel - Gießen           Baunatal / Hertingshausen   386  2,3 2.0 - 2.4 4722515 1 4722023O 4722025O    0 134,571 A 49 UF L 3316/UF L 3316 RiFa. Gießen - Kassel           Baunatal / Hertingshausen   380  2,1 2.0 - 2.4 4722515 2 4722023O 4722025O    0 134,571 A 49 UF Bauna                                                      Baunatal           552 1,9 1.5 - 1.9 4722516 0 4722023O 4722025O 1393 133,178 A 49 UF Fußgängertunnel/UF Fußgänger                               Baunatal           87  1,8 1.5 - 1.9 4722517 0 4722023O 4722025O 1548 133,023 UEF L 3473/UEF L 3473; Fahrtr. Kassel Kirchbauna- A 49                                                             Kirchbauna          461  3,2 3.0 - 3.4 4722518 0 4722025O 4722064O    0 132,688 Fehrenberg A 49 UF L 3311/UF L 3311 Fahrtr. Kassel - Marburg        Baunatal / Rengershausen    612  3,5 3.5 - 4.0 4722519 1 4722064O 4722041O    0 130,763 A 49 UF L 3311/UF L 3311 Fahrtr. Marburg - Kassel        Baunatal / Rengershausen    612  3,4 3.0 - 3.4 4722519 2 4722064O 4722041O    0 130,763 UF Fasanenweg/UF Fasanenweg RiFa. Kassel - A 49                                                      Baunatal / Rengershausen    477 3,5 3.5 - 4.0 4722520 1 4722064O 4722041O  135 130,629 Fritzlar UF Fasanenweg/UF Fasanenweg RiFa. Fritzlar - A 49                                                      Baunatal / Rengershausen    477 3,5 3.5 - 4.0 4722520 2 4722064O 4722041O  135 130,629 Kassel UEF L3215 AS Wilhelmshöhe/UEF L3215 (ehm. A 44                                                        Kassel / Brasselsberg    944  1,9 1.5 - 1.9 4722529 0 4722045O 4722041O    0   8,377 B520) A 44 UF L 3219/UF L 3219; RiFa. Kassel - Dortmund           Kassel / Oberzwehren     583  2,2 2.0 - 2.4 4722545 1 4722045O 4722041O 2456   5,917 A 44 UF L 3219/UF L 3219; RiFa. Dortmund - Kassel           Kassel / Oberzwehren     469   2  2.0 - 2.4 4722545 2 4722045O 4722041O 2456   5,917 TB Bergshausen/TB Bergshausen RiFa. Kassel - A 44                                                            Bergshausen          8490  3  3.0 - 3.4 4722562 1 4722041O 4723023A 3394    1,27 Dortmund TB Bergshausen/TB Bergshausen RiFa. Dortmund - A 44                                                            Bergshausen          9287  3  3.0 - 3.4 4722562 2 4722041O 4723023A 3394    1,27 Kassel UF Dennhäuser Str.(K51) und DB/RiFa. Kassel - A 49                                                       Kassel / Niederzwehren    508  1,2 1.0 - 1.4 4722563 1 4722074O 4722075O 2061 127,018 Marburg, UF K51 u. DB UF Dennhäuser Str.(K51) und DB/RiFa. Marburg - A 49                                                       Kassel / Niederzwehren    350  1,1 1.0 - 1.4 4722563 2 4722074O 4722075O 2061 127,018 Kassel; UF K51 und DB UF Wirtschaftsweg/UF Wirtschaftsweg ; Fahrtr. A 49                                                            Oberzwehren          149  2,3 2.0 - 2.4 4722584 1 4722041O 4722074O  483 129,515 nach Gießen UF Wirtschaftsweg/UF Wirtschaftsweg ; Fahrtr. A 49                                                            Oberzwehren          185  2,3 2.0 - 2.4 4722584 2 4722041O 4722074O  483 129,515 nach Kassel UF DB und Weg/UF DB und Weg RiFa. Kassel - A 49                                                           Südkreuz Kassel       360  2,2 2.0 - 2.4 4722585 1 4722041O 4722074O  533 129,471 Fritzlar UF DB und Weg/UF DB und Weg RiFa. Fritzlar - A 49                                                           Südkreuz Kassel       453  2,2 2.0 - 2.4 4722585 2 4722041O 4722074O  533 129,471 Kassel A 49 UF Seelbach                                                 Holzhausen           226 2,3 2.0 - 2.4 4722586 0 4722011O 4722023O  144 135,933 A 44 UF Graben                                            Baunatal / Rengershausen    158 1,6 1.5 - 1.9 4722592 0 4722041O 4723023A 1735   2,933 A 44 UF Feldweg/UF Feldweg; RiFa. Kassel - Dortmund    Rengershausen / Rengershausen 110  2,3 2.0 - 2.4 4722593 1 4722041O 4723023A 1490   3,178 A 44 UF Feldweg/UF Feldweg ; RiFa. Dortmund - Kassel   Rengershausen / Rengershausen  93  1,8 1.5 - 1.9 4722593 2 4722041O 4723023A 1490   3,178 UF DB und Feldweg/UF DB und Feldweg A 44                                                           Rengershausen         1165 1,8 1.5 - 1.9 4722594 1 4722041O 4723023A 1105   3,563 Fahrtrichtung Dortmund - Kassel UF DB und Feldweg/UF DB und Feldweg A 44                                                           Rengershausen         1354 2,1 2.0 - 2.4 4722594 2 4722041O 4723023A 1105   3,563 Fahrtrichtung Kassel - Dortmund A 44 UF Feldweg/UF Feldweg ; RiFa. Kassel - Dortmund      Baunatal / Rengershausen    97  2,1 2.0 - 2.4 4722595 1 4722041O 4723023A  668       4 A 44 UF Feldweg/UF Feldweg ; RiFa. Dortmund - Kassel      Baunatal / Rengershausen   103  1,6 1.5 - 1.9 4722595 2 4722041O 4723023A  668       4
17

UF Rad- und Gehweg/UF Rad- und Gehweg ; RiFa. A 44                                                 Baunatal / Rengershausen    89 2,1 2.0 - 2.4 4722598 1 4722041O 4723023A  369      4,3 Kassel - Dortmund UF Rad- und Gehweg/UF Rad- und Gehweg ; RiFa. A 44                                                 Baunatal / Rengershausen    73  1  1.0 - 1.4 4722598 2 4722041O 4723023A  369      4,3 Kassel - Dortmund UF Rad- und Gehweg/UF Rad- und Gehweg ; RiFa. A 44                                                 Baunatal / Rengershausen   173 1,7 1.5 - 1.9 4722598 3 4722041O 4723023A  369      4,3 Dortmund - Kassel UF KVG (Straßenbahn)/UF KVG und Gehweg / A 44                                                       Oberzwehren          850  3  3.0 - 3.4 4722600 1 4722045O 4722041O 2872   5,504 Dortmund - Kassel UF KVG (Straßenbahn)/UF KVG und Gehweg / A 44                                                       Oberzwehren          820  3  3.0 - 3.4 4722600 2 4722045O 4722041O 2872   5,504 Kassel - Dortmund A 44 UF Kleinbahn/UF Kleinbahn ; Fahrtr. Dortmund          Oberzwehren          900 3,5 3.5 - 4.0 4722601 1 4722045O 4722041O 2051   6,324 A 44 UF Kleinbahn/UF Kleinbahn ; Fahrtr. Kassel            Oberzwehren          720 3,5 3.5 - 4.0 4722601 2 4722045O 4722041O 2051   6,324 UF Wirtschaftsweg/UF Wirtschaftsweg ; Fahrtr. A 44                                                   Baunatal / Altenbauna    128 1,5 1.5 - 1.9 4722602 1 4722045O 4722041O 1324   7,051 Dortmund UF Wirtschaftsweg/UF Wirtschaftsweg ; Fahrtr. A 44                                                   Baunatal / Altenbauna    104 2,1 2.0 - 2.4 4722602 2 4722045O 4722041O 1324   7,051 Kassel UEF Anschlußrampe AS Kassel-Wilhelmshöhe A 44                                                   Kassel / Wilhelmshöhe   1115 2,2 2.0 - 2.4 4722603 0 4621052O 4722045O 9638   8,725 (68)/UEF Anschlußrampe UF Wirtschaftsweg + HSTW an allen Flügeln/UF A 44                                                Schauenburg / Elgershausen  310  1  1.0 - 1.4 4722604 B 4621052O 4722045O 9022   9,341 Wirtschaftsweg UF Wirtschaftsweg bei Elgershausen/UF Ww RiFa A 44                                                Schauenburg / Elgershausen  126  1  1.0 - 1.4 4722605 1 4621052O 4722045O 8656   9,706 Kassel - Dortmund UF Wirtschaftsweg bei Elgershausen/UF Ww RiFa. A 44                                                Schauenburg / Elgershausen  101 1,7 1.5 - 1.9 4722605 2 4621052O 4722045O 8656   9,706 Dortmund - Kassel UF Wirtschaftsweg/UF Wirtschaftsweg ; Fahrtr. A 44                                                       Elgershausen         142  2  2.0 - 2.4 4722606 1 4621052O 4722045O 7985  10,377 Dortmund UF Wirtschaftsweg/UF Wirtschaftsweg ; Fahrtr. A 44                                                       Elgershausen         112  2  2.0 - 2.4 4722606 2 4621052O 4722045O 7985  10,376 Kassel UF Wirtschaftsweg und Firnsbach/UF A 44                                                       Elgershausen         991  2  2.0 - 2.4 4722607 1 4621052O 4722045O 7184  11,179 Wirtschaftsweg und Firnsbach / Dortmund-Kassel UF Wirtschaftsweg und Firnsbach/UF A 44                                                       Elgershausen        1167 2,3 2.0 - 2.4 4722607 2 4621052O 4722045O 7184  11,179 Wirtschaftsweg / Kassel - Dortmund A 44 UF Wirtschaftsweg                                  Schauenburg / Hoof      418  1  1.0 - 1.4 4722608 0 4621052O 4722045O 5827  12,535 A 44 UEF Wirtschaftsweg                                 Schauenburg / Hoof      382 2,1 2.0 - 2.4 4722609 0 4621052O 4722045O 4710  13,652 A7   UEF Wirtschaftsweg                                     Dörnhagen           297  2  2.0 - 2.4 4722610 0 4723023E 4722061O 4522   317,8 A7   UEF Wirtschaftsweg                                     Dörnhagen           297 2,2 2.0 - 2.4 4722611 0 4723023E 4722061O 5104  318,38 UF Stritz-Graben/UF Stritz-Graben FR Hannover A7                                                    Fuldabrück / Dörnhagen     18  1  1.0 - 1.4 4722612 1 4723023E 4722061O 5522  318,83 (Ostseite) A7   UF Stritz-Graben/UF Stritz-Graben Hauptbauwerk   Fuldabrück / Dörnhagen    96  1,6 1.5 - 1.9 4722612 2 4723023E 4722061O 5522  318,83 UF Stritz-Graben/UF Stritz-Graben A7                                                    Fuldabrück / Dörnhagen     21  1  1.0 - 1.4 4722612 3 4723023E 4722061O 5522  318,83 Wirtschaftsweg (Westseite) A7   UEF Wirtschaftsweg                                      Guxhagen           297 2,3 2.0 - 2.4 4722613 0 4723023E 4722061O 6262  319,54 UF Fulda und Wirtschaftsweg/UF Fulda RiFa. A7                                                           Guxhagen          2932 2,9 2.5 - 2.9 4722615 1 4723023E 4722061O 6863 320,145 Frankfurt-Kassel
18

UF Fulda und Wirtschaftsweg/UF Fulda RiFa. A7                                                                   Guxhagen          2932 2,2 2.0 - 2.4 4722615 2 4723023E 4722061O 6863 320,145 Kassel-Frankfurt A 49       UF K 90                                              Gudensberg / Dissen    312  2,2 2.0 - 2.4 4722617 0 4822059O 4722006O 3048 138,134 UF Rampe A 49/UF Rampe A 49, Fahrtr. Kassel - A 49                                                              Niederzwehren         413 2,3 2.0 - 2.4 4722672 1 4722074O 4722075O    0  129,08 Marburg UF Rampe A 49/UF Rampe A 49, Fahrtr. Marburg - A 49                                                              Niederzwehren         484 2,7 2.5 - 2.9 4722672 2 4722074O 4722075O    0  129,08 Kassel A 49       UF Wirtschaftsweg und Eselsgraben                  Kassel / Niederzwehren    532 2,6 2.5 - 2.9 4722673 0 4722074O 4722075O  579 128,502 A 49       UEF Dittershäuserstraße                            Kassel / Niederzwehren    333 2,3 2.0 - 2.4 4722674 0 4722074O 4722075O  848 128,232 UF Vogelsbergweg/UF Vogelsbergweg; Fahrtr. A 49                                                          Kassel / Niederzwehren     59 2,1 2.0 - 2.4 4722675 1 4722074O 4722075O 1346 127,734 Kassel-Marburg UF Vogelsbergweg/UF Vogelsbergweg; Fahrtr. A 49                                                          Kassel / Niederzwehren     57 1,7 1.5 - 1.9 4722675 2 4722074O 4722075O 1346 127,734 Marburg-Kassel UF Rampe AS Auestadion/RiFa. Kassel-Gießen; UF A 49                                                              Niederzwehren         334 1,7 1.5 - 1.9 4722676 1 4722075O 4723032O    0 126,907 Rampe UF Rampe AS Auestadion/RiFa. Gießen-Kassel, UF A 49                                                              Niederzwehren         392 1,6 1.5 - 1.9 4722676 2 4722075O 4723032O    0 126,907 Rampe UF Fulda/Fuldabrücke Fahrtricht. Kassel-Borken, A 49                                                                   Kassel          4207  3  3.0 - 3.4 4722678 1 4722075O 4723032O  805 126,103 Nord UF Fulda/Fuldabrücke Fahrtricht. Borken - Kassel, A 49                                                                   Kassel          4937  3  3.0 - 3.4 4722678 2 4722075O 4723032O  805 126,103 Süd A 49       UEF Fuldastraße zum Industriegebiet               Baunatal / Hertingshausen 550  2,2 2.0 - 2.4 4722686 0 4722023O 4722025O  469 134,102 B 83       UF Fulda                                                  Guxhagen          2012 2,3 2.0 - 2.4 4722720 0 4822042O 4722083O  351 A 44       UF Eselsgraben                                            Bei Kassel         54   1  1.0 - 1.4 4722735 0 4722041O 4723023A  814   3,854 A 49       UF Werksbahn VW/UF Landesbahn                       Baunatal / Kirchbauna    264 1,3 1.0 - 1.4 4722738 0 4722025O 4722064O 1042 131,647 UF Grunnelbach und Weg/RiFa. KS - A49, UF A 49 (Ast)                                                        Niederzwehren         150  2  2.0 - 2.4 4722769 1 4722075A 4722075C   66       0 Grunnelbach u. Weg, im AST UF Grunnelbach und Weg/RiFa A49 - Kassel, UF A 49 (Ast)                                                        Niederzwehren         150  1  1.0 - 1.4 4722769 2 4722075B 4722075A  861       0 Grunnelbach u. Weg im AST A7         UEF K 16                                           Fuldabrück / Dörnhagen    630 1,8 1.5 - 1.9 4722794 0 4723023E 4722061O 3894  317,18 UEF BAB A49, AK Kassel-West (69)/UEF BAB A49- A 44                                                             bei Oberzwehren       1473 1,8 1.5 - 1.9 4722796 1 4722041O 4723023A    0       0 Süd Kreuz Kassel; RiFa Fritzlar-Kassel UEF BAB A49, AK Kassel-West (69)/UEF BAB A49- A 44                                                             bei Oberzwehren       1473 1,7 1.5 - 1.9 4722796 2 4722041O 4723023A    0       0 Süd Kreuz Kassel; RiFa Kassel-Fritzlar A 49       UEF K 92 bei Hertingshausen - Neubau              Baunatal / Hertingshausen  494 1,7 1.5 - 1.9 4722805 0 4722011O 4722023O 1150       0 UF L 3460/UF L 3460 Abfahrt zur A44, Fahrtri. A7                                                           Fuldabrück / Bergshausen   157 1,8 1.5 - 1.9 4723514 1 4723023E 4722061O 1323  314,61 Würzburg-Kasse UF L 3460/UF B 83 Hauptbauwerk, Fahrtr. WÜ.-KS A7                                                           Fuldabrück / Bergshausen   491 1,8 1.5 - 1.9 4723514 2 4723023E 4722061O 1323  314,61 und KS_WÜ UF L 3460 AD Kassel-Süd/UF L 3460, Ast A 44 A 44 (Ast)                                                   Fuldabrück / Bergshausen   307  2  2.0 - 2.4 4723515 1 4723023G 4723023A  546       0 Fahrtr. Kassel-Dortmund UF L 3460 AD Kassel-Süd/UF L 3460 Fahrtr. A 7 (Ast)                                                    Fuldabrück / Bergshausen   381 2,1 2.0 - 2.4 4723515 2 4723023D 4723023A 3456       0 Frankfurt-Dortmund UF L 3460 AD Kassel-Süd/UF L 3460 Fahrtr. A 7 (Ast)                                                    Fuldabrück / Bergshausen   328 2,5 2.5 - 2.9 4723515 3 4723023A 4723023M  389       0 Dortmund-Kassel-Hannover A7         UEF L 3203                                          Lohfelden / Crumbach     957 2,6 2.5 - 2.9 4723520 0 4723034O 4723023E 1456 312,72 A7         UEF L 3236/UEF L 3236 - Crumbacherstraße            Lohfelden / Crumbach     896  2  2.0 - 2.4 4723526 0 4723041O 4723034O 2865 310,985
19

UEF Anschlußarm BAB 7 zur A 44/UEF Ast A7 zur A7                                                      Fuldabrück / Bergshausen 681  1,9 1.5 - 1.9 4723557 1 4723023E 4722061O    0 313,278 A44, Fahrtrichtung Ffm - Dortmund UEF Anschlußarm BAB 7 zur A 44/UEF Ast A 7 zur A7                                                      Fuldabrück / Bergshausen 790  1,9 1.5 - 1.9 4723557 2 4723023E 4722061O    0 313,278 A 44, Fahrtrichtung Do. - Hannover UF Wälzebach/UF Wälzebach, RiFa. Fulda - Kassel A7                                                        Lohfelden / Crumbach     71 1,5 1.5 - 1.9 4723562 1 4723041O 4723034O 2846 310,966 Verbreiterung A7   UF Wälzebach/UF Wälzebach, Hauptbauwerk              Lohfelden / Crumbach     74  1  1.0 - 1.4 4723562 2 4723041O 4723034O 2846 310,966 UF Wälzebach/UF Wälzebach, RiFa. Kassel Fulda A7                                                        Lohfelden / Crumbach     71  1  1.0 - 1.4 4723562 3 4723041O 4723034O 2846 310,966 Verbreiterung A7   UEF Wirtschaftsweg                                   Lohfelden / Crumbach   335  2,5 2.5 - 2.9 4723563 0 4723034O 4723023E  684 311,947 UF Wirtschaftsweg bei Dennhausen/FR Hannover A7                                                            Dennhausen           33  2  2.0 - 2.4 4723565 1 4723023E 4722061O 2708 315,986 (Ostseite) UF Wirtschaftsweg bei A7                                                            Dennhausen          129  1  1.0 - 1.4 4723565 2 4723023E 4722061O 2708 315,986 Dennhausen/Hauptbauwerk UF Wirtschaftsweg bei Dennhausen/FR Frankfurt A7                                                            Dennhausen           39 1,6 1.5 - 1.9 4723565 3 4723023E 4722061O 2708 315,986 (Westseite) UEF A49 - AS Kassel/UEF A49 - AS Kassel RiFa. A7                                                        Lohfelden / Lohfelden  1032  2  2.0 - 2.4 4723608 1 4723034O 4723023E    0  311,25 Lohfelden - Kassel UEF A49 - AS Kassel/UEF A49 - AS Kassel, RiFa. A7                                                        Lohfelden / Lohfelden  1108  2  2.0 - 2.4 4723608 2 4723034O 4723023E    0  311,25 Kassel - Lohfelden B7   UF Losse                                               Niederkaufungen      1205 2,8 2.5 - 2.9 4723614 0 4723041A 4723013O    0 B7   UF Diebachsgraben                                      Niederkaufungen      102  2,3 2.0 - 2.4 4723615 0 4723041A 4723013O 1099 UF Losse/UF Losse und Wirtschaftsweg ; Fahrtr. B7                                                          Niederkaufungen       221 2,5 2.5 - 2.9 4723616 1 4723041A 4723013O 1674 Helsa UF Losse/UF Losse und Wirtschaftsweg ; Fahrtr. B7                                                          Niederkaufungen       198 2,5 2.5 - 2.9 4723616 2 4723041A 4723013O 1674 Kassel UF K 5 und KVG/UF K 5 und KVG, 1.BA, Rifa B7                                                          Niederkaufungen       954 2,7 2.5 - 2.9 4723617 1 4723013O 4723012O    0 Kaufungen - Kassel UF K 5 und KVG/UF K 5 und KVG, 2.BA, Rifa Kassel - B7                                                          Niederkaufungen       954 2,7 2.5 - 2.9 4723617 2 4723013O 4723012O    0 Kaufungen UF Äste der B7 (K10)/UF Äste der B7 (K10); Fahrtr. B7                                                          Niederkaufungen       456 2,5 2.5 - 2.9 4723618 1 4723012O 4723031O    0 Helsa UF Äste der B7 (K10)/UF Äste der B7 (K10); Fahrtr. B7                                                          Niederkaufungen       456  3  3.0 - 3.4 4723618 2 4723012O 4723031O    0 Kassel UF Wirtschaftsweg und Setzebach/UF B7                                                          Niederkaufungen       119 2,5 2.5 - 2.9 4723619 1 4723012O 4723031O  496 Wirtschaftsweg UF Wirtschaftsweg und Setzebach/UF Setzebach i. B7                                                          Niederkaufungen       288 2,5 2.5 - 2.9 4723619 2 4723012O 4723031O  496 Z. einer Gemeindestraße unter B7 B7   UF Wirtschaftsweg und Haferbach                        Niederkaufungen       121 2,5 2.5 - 2.9 4723620 2 4723012O 4723031O 1015 B7   UF Wirtschaftsweg                                       Oberkaufungen       121  1,9 1.5 - 1.9 4723621 0 4723031O 4724032O  131 B7   UF Freiheiter Straße                                    Oberkaufungen       118  2,4 2.0 - 2.4 4723622 0 4723031O 4724032O 1108 B7   UF Wirtschaftsweg                                       Oberkaufungen        96  2,7 2.5 - 2.9 4723623 0 4723031O 4724032O 1963 UEF B 83/UEF B 83 ; Anschlußstelle Fahrtr. Kassel- A 49                                                         Kassel / Waldau     506   2  2.0 - 2.4 4723629 1 4723032O 4723033O    0 125,476 Melsungen
20

Zur nächsten Seite