Zustand der Straßenbrücken in Hessen

/ 154
PDF herunterladen
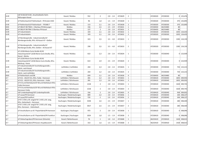
UEF B 83/UEF B 83 ; Anschlußstelle Fahrt. A 49                                                         Kassel / Waldau      552   2  2.0 - 2.4 4723629 2 4723032O 4723033O    0 125,476 Melsungen-Kassel A 49 UF Rothenbach/UF Rothenbach - FR Knoten B 83            Kassel / Waldau       96  1,8 1.5 - 1.9 4723630 1 4723032O 4723033O  375 125,093 A 49 UF Rothenbach/UF Rothenbach - FR BAB 7                  Kassel / Waldau      113  2,1 2.0 - 2.4 4723630 2 4723032O 4723033O  375 125,093 B 83 UF DB/UF DB TBW1 = Überbau FR Melsungen                      Waldau          156  2,5 2.5 - 2.9 4723631 1 4723045O 4623348O   80 B 83 UF DB/UF DB TBW 2 Überbau FR Kassel                          Waldau          127   2  2.0 - 2.4 4723631 2 4723045O 4623348O   80 A 49 UF Industriebahn                                        Kassel / Waldau       103 2,1 2.0 - 2.4 4723632 1 4723032O 4723033O 1035 124,433 A 49 UF Industriebahn                                        Kassel / Waldau       103 2,1 2.0 - 2.4 4723632 2 4723032O 4723033O 1035 124,433 UF Nürnbergstraße - Industriestraße/UF A 49                                                         Kassel / Waldau      323  3,5 3.5 - 4.0 4723633 1 4723032O 4723033O 1305 124,159 Nürnbergerstraße, RiFa. AS Kassel A7 - Gießen UF Nürnbergstraße - Industriestraße/UF A 49                                                         Kassel / Waldau      290  3,5 3.5 - 4.0 4723633 2 4723032O 4723033O 1305 124,159 Nürnbergerstraße, RiFa. Gießen - AS Kassel A7 UF L3236 Marie-Curie-Straße AS KS A 49 Industriepark/UF L3236 Marie-Curie-Straße, RiFa.        Kassel / Waldau      613  2,3 2.0 - 2.4 4723634 1 4723033O 4723034O    0 123,939 Kassel - Marbu UF L3236 Marie-Curie-Straße AS KS A 49 Industriepark/UF L3236 Marie-Curie-Straße, RiFa.        Kassel / Waldau      613  2,9 2.5 - 2.9 4723634 2 4723033O 4723034O    0 123,939 Marburg - Kasse UF Industriestraße/UF Erschließungsstraße ; A 49                                                      Lohfelden / Lohfelden    264 2,3 2.0 - 2.4 4723635 1 4723033O 4723034O  734 123,213 Fahrtr. nach Kassel UF Industriestraße/UF Erschließungsstraße ; A 49                                                      Lohfelden / Lohfelden    264 2,2 2.0 - 2.4 4723635 2 4723033O 4723034O  734 123,213 Fahrtr. nach Lohfelden B 83 UF Rothenbach und DB                                         Waldau           659 2,1 2.0 - 2.4 4723636 0 4723045O 4623348O   80 A7   UF K11 - Alt/UF K11, RiFa. Fulda - Hannover        Lohfelden / Ochshausen     281 2,2 2.0 - 2.4 4723653 1 4723041O 4723034O 1835 309,955 A7   UF K11 - Alt/UF K11, RiFa. Hannover - Fulda        Lohfelden / Ochshausen     281 2,3 2.0 - 2.4 4723653 2 4723041O 4723034O 1835 309,955 UF K 8 und Wahlebach/UF K8 und Wahlebach RiFa A7                                                      Lohfelden / Ochshausen    1218  2  2.0 - 2.4 4723654 1 4723041O 4723034O 1628 309,743 Fulda-Hannover UF K 8 und Wahlebach/UF K8 und Wahlebach RiFa A7                                                      Lohfelden / Ochshausen    1218  2  2.0 - 2.4 4723654 2 4723041O 4723034O 1628 309,743 Hannover-Fulda A7   UEF Lindenkopfweg/UEF Lindenkopfstraße             Lohfelden / Ochshausen     316  2  2.0 - 2.4 4723655 0 4723041O 4723034O  938 309,052 A7   UF Losse/FR Hannover                             Kaufungen / Niederkaufungen 809  2,2 2.0 - 2.4 4723656 1 4723041O 4723034O  104 308,227 A7   UF Losse/FR Frankfurt                            Kaufungen / Niederkaufungen 720   2  2.0 - 2.4 4723656 2 4723041O 4723034O  104 308,227 UF B 7, KVG u.W.-weg/UF B 7, KVG u.W.-weg, A7                                                    Kaufungen / Niederkaufungen 3258 2,6 2.5 - 2.9 4723657 1 4723041O 4723034O  280 308,404 RiFa. Hattenbach - Hannover UF B 7, KVG u.W.-weg/UF B 7, KVG u.W.-weg, A7                                                    Kaufungen / Niederkaufungen 3017 2,5 2.5 - 2.9 4723657 2 4723041O 4723034O  280 308,404 RiFa. Hannover - Hattenbach A7   UF Anschlußarm zur B 7 Papierfabrik/FR Hannover     Kaufungen / Kaufungen     973  2  2.0 - 2.4 4723658 1 4723041O 4723034O    0 308,096 A7   UF Anschlußarm zur B 7 Papierfabrik/FR Frankfurt    Kaufungen / Kaufungen    1024 1,8 1.5 - 1.9 4723658 2 4723041O 4723034O    0 308,096 A7   UF Diebachsgraben/FR Hannover (Ostseite)             Kassel / Bettenhausen    76   1  1.0 - 1.4 4723668 1 4623341O 4723041O 1428 308,013 A7   UF Diebachsgraben/FR Kassel, Hauptbauwerk            Kassel / Bettenhausen    313 1,6 1.5 - 1.9 4723668 2 4623341O 4723041O 1428 308,013
21

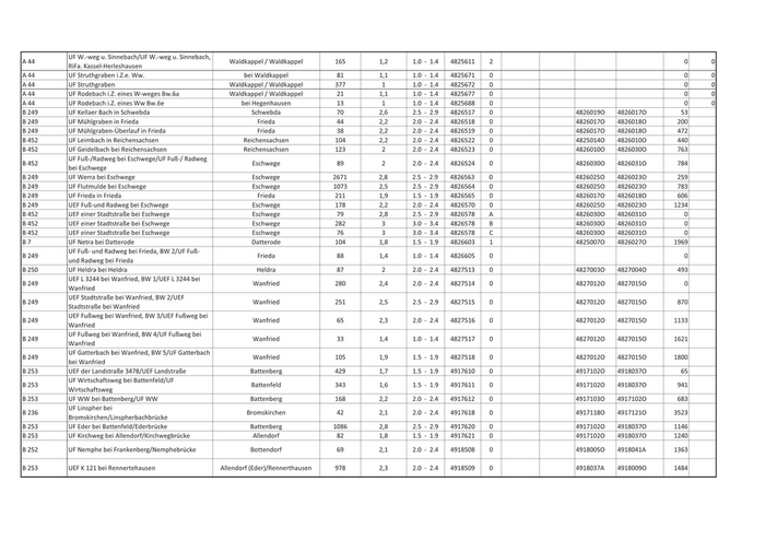
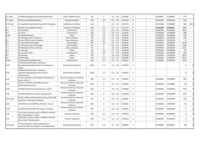
A 7 (Ast)  UF Diebachsgraben/Servitutweg (Westseite)          Kassel / Bettenhausen       30   1  1.0 - 1.4 4723668 3 4723041F 4723041H  377 B 7 (Ast)  UF Losse und Wirtschaftsweg                           Niederkaufungen         142  2,5 2.5 - 2.9 4723734 0 4723013A 4723013B  269 A 49 (Ast) UF Lingelbach Lohfeldener Rüssel/UF Lingelbach     Lohfelden / Lohfelden      110   1  1.0 - 1.4 4723771 0 4723034O 4723048O  300 247,3 A7         UEF K 9, A7 Lohfeldener Rüssel                     Lohfelden / Lohfelden      704  1,4 1.0 - 1.4 4723772 0 4723034O 4723023E  527 B7         UF Steinbach                                            Eschenstruth           68  2,4 2.0 - 2.4 4724540 0 4724032O 4724024O 3247 B7         UF Losse                                                Eschenstruth          128  2,3 2.0 - 2.4 4724541 0 4724024O 4724003O  109 B 451      UF Wedemannbach                                             Helsa             115  1,7 1.5 - 1.9 4724542 0 4724023O 4724018O  240 B7         UF Fußweg in Hess. Lichtenau                           Hess. Lichtenau         50  2,5 2.5 - 2.9 4724547 0 4724002O 4724033O  130 B7         UF der L 3225 in Hess. Lichtenau                       Hess.Lichtenau         422  2,7 2.5 - 2.9 4724548 0 4724002O 4724033O    0 B7         UF Losse bei Fürstenhagen                               Fürstenhagen          323  2,8 2.5 - 2.9 4724561 0 4724024O 4724003O 1874 B7         UF Lohwasser bei Fürstenhagen                           Fürstenhagen           62   2  2.0 - 2.4 4724563 0 4724003O 4724002O 1335 B7         UF Radweg bei Hess. Lichtenau                          Hess. Lichtenau         42   2  2.0 - 2.4 4724564 0 4724003O 4724002O 1615 B7         UF Gehweg                                                   Helsa              54  1,9 1.5 - 1.9 4724568 0 4724024O 4724003O   23 B7         UF Losse/UF Losse ;                                     Eschenstruth          115  2,5 2.5 - 2.9 4724569 0 4724024O 4724003O  354 B7         UF Gehweg                                                   Helsa             103   2  2.0 - 2.4 4724593 0 4723031O 4724032O 5215 B7         UEF Gehweg                                                  Helsa             103  2,3 2.0 - 2.4 4724594 0 4723031O 4724032O 5727 B 451      UF Gelster bei Großalmerode                            Trubenhausen           106  2,2 2.0 - 2.4 4724611 0 4724018O 4724029O 2379 TB Steinbachtal AS Hess.-Lichtenau A 44       West/Steinbachtalbrücke RiFa. Herleshausen -       bei Hessisch Lichtenau     2010 1,7 1.5 - 1.9 4724615 1                      0     0 Kassel TB Steinbachtal AS Hess.-Lichtenau A 44       West/Steinbachtalbrücke RiFa. Kassel -             bei Hessisch Lichtenau     2010 1,7 1.5 - 1.9 4724615 2                      0     0 Herleshausen UF der L 3225/UF L 3225 Fahrtri. Herleshausen - Hessisch Lichtenau / Hessisch A 44                                                                                      408 1,6 1.5 - 1.9 4724616 1 4724043O 4724044O  102     0 Kassel, Achse 2                                           Lichtenau UF der L 3225/UF L 3225 Fahrtri. Kassel -       Hessisch Lichtenau / Hessisch A 44                                                                                      394  1  1.0 - 1.4 4724616 2 4724043O 4724046O   91     0 Herleshausen, Achse 3                                     Lichtenau Hessisch Lichtenau / Hessisch A 44       UF DB/UF DB Fahrtri. Herleshausen - Kassel                                     456  2  2.0 - 2.4 4724620 1 4724046O 4724034O  557     0 Lichtenau Hessisch Lichtenau / Hessisch A 44       UF DB/UF DB Fahrtri. Kassel - Herleshausen                                     456  2  2.0 - 2.4 4724620 2 4724046O 4724034O  553     0 Lichtenau UF DB - Abfahrt AS Hessisch Lichtenau Ost/UF DB Hessisch Lichtenau / Hessisch A 44 (Ast)                                                                                272  1  1.0 - 1.4 4724621 0 4724034A 4724034B  325     0 und WW - AS Hessisch Lichtenau                            Lichtenau Hessisch Lichtenau / Hessisch A 44       UF B 487/UF der B 487 RiFa. Eisenach - Kassel                                  470  2  2.0 - 2.4 4724622 1 4724034O 4824029O   16     0 Lichtenau Hessisch Lichtenau / Hessisch A 44       UF B 487/UF der B 487 RiFa. Kassel - Eisenach                                  458  2  2.0 - 2.4 4724622 2 4724034O 4824028O    1     0 Lichtenau UF AS Hess.Lichtenau West + SSTW/UF AS HesLi A 44                                                            Hessisch Lichtenau        409 1,1 1.0 - 1.4 4724623 1 4724035O 4724043O    1     0 RiFa. Herleshausen - Kassel UF AS Hess.Lichtenau West + SSTW/UF AS HesLi A 44                                                            Hessisch Lichtenau        399 1,1 1.0 - 1.4 4724623 2 4724035O 4724043O    1     0 RiFa. Kassel - Herleshausen UEF Gemeindestr.+ Stützwände AS Hess. A 44 (Ast)                                                    bei Hessisch Lichtenau      159 1,8 1.5 - 1.9 4724626 1 4724035H 4724035F   83     0 Lichtenau/UEF Gemeindestr. "Am Mühlenberg"
22

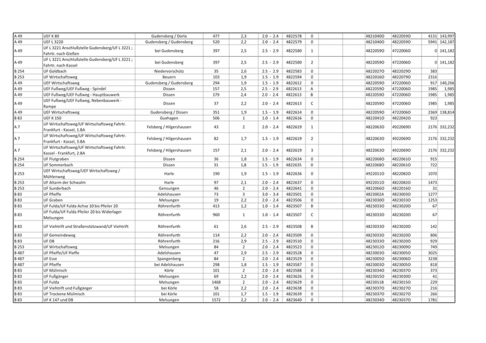
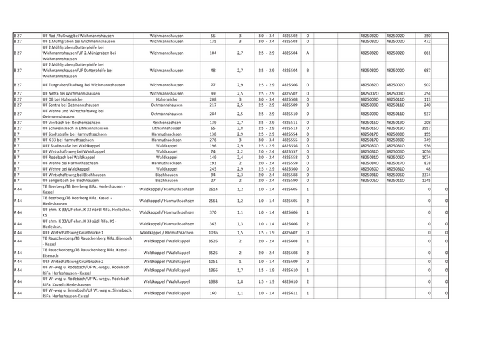
UF AS Helsa Ost/UF AS Helsa Ost, RiFa. A 44                                                           Helsa          264 1,8 1.5 - 1.9 4724627 1                      0 0 Herleshausen - Kassel UF AS Helsa Ost/UF AS Helsa Ost, RiFa. Kassel - A 44                                                           Helsa          260  1  1.0 - 1.4 4724627 2                      0 0 Herleshausen UF Rad/Gehweg (Fuchsbau) BW 9/UF Rad und B7                                                    bei Hessisch Lichtenau   58 1,8 1.5 - 1.9 4724632 0 4724003O 4724035K 1510 Gehweg B 451 UF Losse und Straßenstützwände/UF Losse                 in Helsa        108 1,1 1.0 - 1.4 4724646 B 4724032  4724023   235 B 27  UF Solgraben bei Ellershausen                        Ellershausen       53  2,8 2.5 - 2.9 4725510 0 4725058O 4625052O 2346 B 27  UF Berka bei Albungen                                  Albungen         198 2,3 2.0 - 2.4 4725573 0 4726001O 4725053O 2970 B 27  UF Dohlsbach bei Kleinvach                             Kleinvach        145 1,8 1.5 - 1.9 4725606 0 4725053O 4725057O 2896 B 27  UEF Wirtschaftsweg bei Kleinvach                       Kleinvach        161 2,4 2.0 - 2.4 4725610 0 4725053O 4725057O 3844 B 27  UF Fuß- und Radweg bei Bad Sooden-Allendorf     Bad Sooden-Allendorf     75  2  2.0 - 2.4 4725617 0 4725057O 4725058O 2767 B 27  UF B 27 bei Niederhone                                Niederhone        458 2,8 2.5 - 2.9 4726529 1 4726001O 4725053O    0 B 27  UF B 27 bei Niederhone                                Niederhone        403 2,8 2.5 - 2.9 4726529 2 4726001O 4725053O    0 B 249 UF DB bei Niederhone                                  Niederhone        260 2,7 2.5 - 2.9 4726530 1 4726001A 4726002O  228 B 249 UF DB bei Niederhone                                  Niederhone        387 2,2 2.0 - 2.4 4726530 2 4726001A 4726002O  228 B 249 UF Wehre (Überlauf) und 2 Wirtschaftswege             Niederhone        669 3,4 3.0 - 3.4 4726531 1 4726001A 4726002O  355 B 249 UF Wehre (Überlauf) und 2 Wirtschaftswege             Niederhone        669 2,5 2.5 - 2.9 4726531 2 4726001A 4726002O  355 B 249 UEF der L 3403 bei Niederhone                         Niederhone        665 2,5 2.5 - 2.9 4726532 0 4726002O 4826038O    0 B 249 UF Wehre (Mühlgraben) bei Niederhone                  Niederhone        115 2,2 2.0 - 2.4 4726533 1 4726002O 4826038O  422 B 249 UF Wehre (Mühlgraben) bei Niederhone                  Niederhone        115  2  2.0 - 2.4 4726533 2 4726002O 4826038O  422 B 249 UEF Stadtstraße bei Niederhone ("Kaniabrücke")        Niederhone        526  2  2.0 - 2.4 4726534 0 4726002O 4826038O  529 B 252 UF Itter bei Herzhausen/Itterbrücke                   Herzhausen        255  2  2.0 - 2.4 4819503 0 4819017O 4819019O  482 UF Gemeindestraße bei Schmittlotheim/UF B 252                                                     Schmittlotheim      199  2  2.0 - 2.4 4819511 0 4819011O 4819017O   84 Gemeindestraße B 252 UF Lorfe bei Schmittlotheim/Lorfebrücke             Schmittlotheim       94  1  1.0 - 1.4 4819512 0 4819007O 4819011O 3314 UF Lengelbach bei B 252                                                   Ederbringhausen        95 1,7 1.5 - 1.9 4819513 0 4819006O 4819007O 3420 Ederbringhausen/Lengelbachbrücke B 252 UF Breitebach bei Viermünden/Breitebachbrücke        Viermünden         46  1,6 1.5 - 1.9 4819514 0 4819006O 4819007O 1719 B 252 UF Eder bei Herzhausen/Ederbrücke                     Herzhausen       1781  2  2.0 - 2.4 4819521 0 4819017O 4819019O  105 B 485 UF Wesebach in Giflitz/Wesebachbrücke               Edertal / Giflitz  192  2,9 2.5 - 2.9 4820505 0 4820012O 4820039O    1 B 485 UF Eder bei Mehlen/Ederbrücke                           Mehlen          864 2,3 2.0 - 2.4 4820506 0 4820014O 4820015O  691 B 485 UF Netze bei Buhlen/Netzebrücke                    Edertal / Buhlen    128  1,7 1.5 - 1.9 4820507 0 4820015B 4820024O 1098 B 485 UF Netze bei Buhlen/Netzebrücke                    Edertal / Buhlen    190  1,8 1.5 - 1.9 4820530 0 4820015B 4820024O 1888 OU Bad Wildungen BW 8/UF HWW bei Bad B 253                                                     Bad Wildungen       147 2,2 2.0 - 2.4 4820619 0 4820034O 4820038O   77 Wildungen OU Bad Wildungen BW 9/UEF HWW bei Bad B 253                                                     Bad Wildungen       173  2  2.0 - 2.4 4820621 0 4820034O 4820038O 1196 Wildungen B 253 OU Bad Wildungen BW 9a/UF Viehtrift                 Bad Wildungen       149 1,7 1.5 - 1.9 4820622 0 4820034O 4820038O 1319 B 253 OU Bad Wildungen BW 10/UF K 37                      Bad Wildungen       278 2,4 2.0 - 2.4 4820623 0 4820034O 4820038O 1379 B 253 OU Bad Wildungen BW 11/UEF Industriestraße          Bad Wildungen       339 2,4 2.0 - 2.4 4820624 0 4820034O 4820038O 2382 B 253 OU Bad Wildungen BW 12/UF Landwehrgraben            Bad Wildungen       340 1,6 1.5 - 1.9 4820625 0 4820034O 4820038O 2751
23

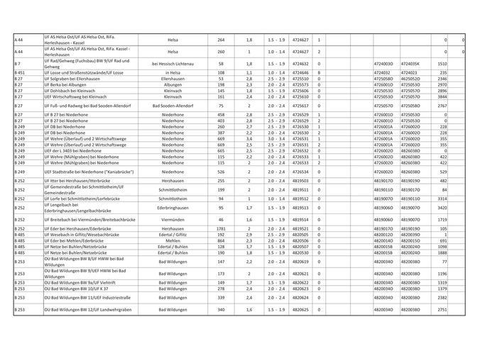
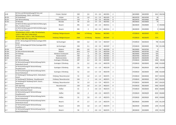
B 253       OU Bad Wildungen BW 13/UF Ast B 253                Bad Wildungen        493 1,9 1.5 - 1.9 4820626 0 4820038O 4821001O    0 B 253 (Ast) OU Bad Wildungen BW 14/UF der DB                   Bad Wildungen        217 2,3 2.0 - 2.4 4820627 0 4820038A 4820038E  561 B 253 (Ast) OU Bad Wildungen BW 15/UF Wilde                    Bad Wildungen        405  2  2.0 - 2.4 4820628 0 4820038A 4820038E  624 OU Bad Wildungen BW 16/UF HWW und B 253 (Ast)                                                    Bad Wildungen        172 2,3 2.0 - 2.4 4820629 0 4820038A 4820038E  723 Mühlgraben OU Bad Wildungen BW 17/UEF HWW bei Bad B 485                                                          Bad Wildungen        160 2,4 2.0 - 2.4 4820631 0 4820037O 4820042O  877 Wildungen B 485       OU Bad Wildungen BW 18/UF K 41                     Bad Wildungen        295 1,9 1.5 - 1.9 4820632 0 4820037O 4820042O 1648 B 485       OU Bad Wildungen BW 19/UF HWW                      Bad Wildungen        213 1,7 1.5 - 1.9 4820633 0 4820037O 4820042O 2133 BW 43 Radweg Korbach-Buhlen (ehem. 0                                                                   Buhlen           90  1  1.0 - 1.4 4820668 0                      0 Bahntrasse)/UF WW UF Mittelscheidsbach in B 253                                                              Mandern           68 1,9 1.5 - 1.9 4821501 0 4821001O 4821043O 1800 Mandern/Mittelscheidsbachbrücke B 253       UF Siechenbach bei Mandern/Siechenbachbrücke           Mandern          42  2,5 2.5 - 2.9 4821502 1 4821001O 4821043O 2445 B 253       UF Siechenbach bei Mandern/Siechenbachbrücke           Mandern          39  2,3 2.0 - 2.4 4821502 2 4821001O 4821043O 2445 B 450       UF Eder                                                  Fritzlar      1171 2,3 2.0 - 2.4 4821515 0 4821015B 4821020O  882 B 450       UF Mühlgraben und Gemeindeweg                            Fritzlar      1163 2,3 2.0 - 2.4 4821517 0 4821015B 4821020O 1014 B 253       UF Ruppenbach                                        Ungedanken          27 2,9 2.5 - 2.9 4821534 0 4821001O 4821043O 3368 B 450       UF Fußweg                                                Fritzlar        51 2,2 2.0 - 2.4 4821535 0 4821015B 4821020O 1137 A 49        UEF L 3150/UEF L 3150 RiFa. Werkel - Fritzlar      Fritzlar / Werkel   699  1,1 1.0 - 1.4 4821546 1 4821040O 4822059O    0 148,128 A 49        UEF L 3150/UEF L 3150 RiFa. Fritzlar - Werkel      Fritzlar / Werkel   879  1,6 1.5 - 1.9 4821546 2 4821040O 4822059O    0 148,128 A 49        UF K 79/UF K 79 RiFa. Kassel - Marburg             Fritzlar / Werkel   166  2,3 2.0 - 2.4 4821547 1 4821040O 4822059O 1318 146,811 A 49        UF K 79/UF K 79 RiFa. Marburg - Kassel             Fritzlar / Werkel   166  1,7 1.5 - 1.9 4821547 2 4821040O 4822059O 1318 146,811 A 49        UEF Wirtschaftsweg                              Gudensberg / Dorla      493 1,8 1.5 - 1.9 4821548 0 4821040O 4822059O 2737 145,392 A 49        UF L 3426/UF L 3426 ; Fahrtr. nach Neuental    Fritzlar / Obermöllrich  191 2,2 2.0 - 2.4 4821558 1 4821047O 4821040O 3518 150,291 A 49        UF L 3426/UF L 3426 ; Fahrtr. nach Kassel      Fritzlar / Obermöllrich 191   2  2.0 - 2.4 4821558 2 4821047O 4821040O 3518 150,291 B 253       UEF Wirtschaftsweg                                       Fritzlar       194 2,7 2.5 - 2.9 4821569 0 4821037O 4821039O  440 B 253       UEF L 3150                                               Fritzlar       237 2,7 2.5 - 2.9 4821570 0 4821039O 4821047O    0 UF K 13, DB und Wirtschaftsweg/UF K 13, DB und A 49                                                         Wabern / Zennern       604 2,3 2.0 - 2.4 4821571 1 4821047O 4821040O 1978 151,831 W.W. Fahrtr. Kassel - Marburg UF K 13, DB und Wirtschaftsweg/UF K 13, DB und A 49                                                         Wabern / Zennern       603 2,2 2.0 - 2.4 4821571 2 4821047O 4821040O 1978 151,831 W.W. Fahrtr. Marburg - Kassel B 253       UEF Wirtschaftsweg                                       Fritzlar       101 2,4 2.0 - 2.4 4821584 0 4821039O 4821047O 1441 UF AS Wabern B253/UF AS Wabern B253, RiFa. A 49 (Ast)                                                  Wabern / Udenborn       397 2,1 2.0 - 2.4 4821585 1 4821047C 4821047D  280       0 Kassel - Wabern UF AS Wabern B253/UF AS Wabern B253, RiFa. A 49                                                        Wabern / Udenborn       396 2,2 2.0 - 2.4 4821585 2 4821047O 4821040O    0 153,809 Gießen- Kassel A 49        UEF Wirtschaftsweg                               Wabern / Zennern       289  2  2.0 - 2.4 4821588 0 4821047O 4821040O  549  153,26 UF Eder und Wirtschaftswege/UF Eder RiFa. A 49                                                       Fritzlar / Obermöllrich 1888 2,3 2.0 - 2.4 4821589 1 4821047O 4821040O 2821 150,993 Gießen-Kassel UF Eder und Wirtschaftswege/UF Eder RiFa. A 49                                                       Fritzlar / Obermöllrich 1888 2,2 2.0 - 2.4 4821589 2 4821047O 4821040O 2821 150,993 Kassel-Gießen A 49        UEF Wirtschaftsweg                                 Fritzlar / Werkel    294 1,9 1.5 - 1.9 4821590 0 4821040O 4822059O  403 147,726 UF Ems und Wirtschaftsweg/UF Ems und A 49                                                           Fritzlar / Werkel    320 3,5 3.5 - 4.0 4821591 1 4821040O 4822059O 1611 146,518 Wirtschaftsweg ; Fahrtr. nach Gießen
24

UF Ems und Wirtschaftsweg/UF Ems und A 49                                                   Fritzlar / Werkel   320      3,5    3.5 - 4.0 4821591 2 4821040O 4822059O 1611 146,518 Wirtschaftsweg ; Fahrtr. nach Kassel B 253 UF Förderband                                          Fritzlar       63      1,8    1.5 - 1.9 4821593 0 4821037O 4821039O   26 B 253 UEF Wirtschaftsweg                              Fritzlar/ Zennern    124       3     3.0 - 3.4 4821595 0 4821047O 4921046O  260 B 253 UF Rhünda                                             Rhünda          40      2,9    2.5 - 2.9 4822501 0 4822082O 4822066O   74 UF B253 AS Melsungen/UF B253 AS Melsungen, A7                                                          Beuern         381      2,2    2.0 - 2.4 4822511 1 4822063O 4922069O    0 330,066 RiFa. Frankfurt-Kassel UF B253 AS Melsungen/UF B253 AS Melsungen, A7                                                          Beuern         381       3     3.0 - 3.4 4822511 2 4822063O 4922069O    0 330,066 RiFa. Kassel-Frankfurt TB Helterbach, L3322 u. WW./TB Helterbach, A7                                                Felsberg / Melgershausen 3584 in Prüfung Neubau    4822665 1 4722061O 4822063O 7271 L3322 u. WW. RiFa. Fulda-Kassel TB Helterbach, L3322 u. WW./TB Helterbach, A7                                                Felsberg / Melgershausen 3584 in Prüfung Neubau    4822665 2 4722061O 4822063O 7271 L3322 u. WW. RiFa. Kassel-Fulda UF K4 - AS Guxhagen/UF K4 bei Guxhagen RIFA A7                                                      bei Guxhagen        330     2,2    2.0 - 2.4 4822547 1 4722061O 4822063O  796 321,436 Kassel UF K4 - AS Guxhagen/UF K4 bei Guxhagen RIFA A7                                                      bei Guxhagen        330     2,1    2.0 - 2.4 4822547 2 4722061O 4822063O  796 321,436 Frankfurt B 254 UF L 3148                                             Wabern         403      2,8    2.5 - 2.9 4822558 0 4822069O 4822070O    0 B 254 UF DB und Gemeindestraße                              Wabern         1811     2,4    2.0 - 2.4 4822559 0 4822069O 4822070O  216 B 254 UF Feldweg                                    Warbern/ Unshausen     312       2     2.0 - 2.4 4822560 0 4822069O 4822070O  531 B 254 UF Eder                                           Niedermöllrich     784      1,8    1.5 - 1.9 4822561 0 4822070O 4822023O  974 B 254 UF Ems                                           Niedervorschütz     139      2,7    2.5 - 2.9 4822563 0 4822027O 4822029O  342 A7    UEF Wirtschaftsweg                            Guxhagen / Ellenberg   297      2,1    2.0 - 2.4 4822569 0 4722061O 4822063O 1810  322,45 UF Wirtschaftsweg/UF Wirtschaftsweg Fahrtr. A7                                                  Guxhagen / Ellenberg    52      2,2    2.0 - 2.4 4822570 1 4722061O 4822063O 2386 323,028 Hattenbach-Kassel UF Wirtschaftsweg/UF Wirtschaftsweg - A7                                                  Guxhagen / Ellenberg   178      1,8    1.5 - 1.9 4822570 2 4722061O 4822063O 2386 323,028 Hauptbauwerk UF Wirtschaftsweg/UF Wirtschaftsweg Fahrtr. A7                                                  Guxhagen / Ellenberg    52      1,9    1.5 - 1.9 4822570 3 4722061O 4822063O 2386 323,028 Kassel-Hattenbach UF Waldweg/UF Waldweg Fahrtr. Hattenbach - A7                                                Felsberg / Neuenbrunslar  53      1,8    1.5 - 1.9 4822571 1 4722061O 4822063O 3917 324,555 Kassel A7    UF Waldweg/UF Waldweg - Hauptbauwerk        Felsberg / Neuenbrunslar  164      1     1.0 - 1.4 4822571 2 4722061O 4822063O 3917 324,555 UF Waldweg/UF Waldweg Fahrtr. Kassel - A7                                                Felsberg / Neuenbrunslar  53      1,9    1.5 - 1.9 4822571 3 4722061O 4822063O 3917 324,555 Hattenbach A7    UEF Jägersteg                                     Neuenbrunslar      120      2,8    2.5 - 2.9 4822572 0 4722061O 4822063O 5402 326,047 UF Wirtschaftsweg/UF Wirtschaftsweg A7                                                           Heßlar          51      2     2.0 - 2.4 4822573 1 4722061O 4822063O 8242 328,882 Fahrtr.Hattenbach-Kassel UF Wirtschaftsweg/UF Wirtschaftsweg - A7                                                           Heßlar         162      2     2.0 - 2.4 4822573 2 4722061O 4822063O 8242 328,882 Hauptbauwerk UF Wirtschaftsweg/UF Wirtschaftsweg Fahrtr. A7                                                           Heßlar          53     1,8    1.5 - 1.9 4822573 3 4722061O 4822063O 8242 328,882 Kassel-Hattenbach UF Wirtschaftsweg/UF Wirtschaftsweg Fahrtr. A7                                                          Beuern          47      1,7    1.5 - 1.9 4822574 1 4822063O 4922069O 1291 331,354 Hattenbach-Kassel UF Wirtschaftsweg/UF Wirtschaftsweg - A7                                                          Beuern         159      1,8    1.5 - 1.9 4822574 2 4822063O 4922069O 1291 331,354 Hauptbauwerk UF Wirtschaftsweg/UF Wirtschaftsweg Fahrtr. A7                                                          Beuern          58       2     2.0 - 2.4 4822574 3 4822063O 4922069O 1291 331,354 Kassel-Hattenbach
25

A 49  UEF K 80                                           Gudensberg / Dorla     477  2,3 2.0 - 2.4 4822578 0 4821040O 4822059O 4131 143,997 A 49  UEF L 3220                                      Gudensberg / Gudensberg   520  2,2 2.0 - 2.4 4822579 0 4821040O 4822059O 5941 142,187 UF L 3221 Anschlußstelle Gudensberg/UF L 3221 ; A 49                                                       bei Gudensberg       397  2,5 2.5 - 2.9 4822580 1 4822059O 4722006O    0 141,182 Fahrtr. nach Gießen UF L 3221 Anschlußstelle Gudensberg/UF L 3221 ; A 49                                                       bei Gudensberg       397  2,5 2.5 - 2.9 4822580 2 4822059O 4722006O    0 141,182 Fahrtr. nach Kassel B 254 UF Goldbach                                          Niedervorschütz       35  2,6 2.5 - 2.9 4822583 0 4822027O 4822029O  383 B 253 UF Wirtschaftsweg                                         Beuern          103  1,9 1.5 - 1.9 4822594 0 4822016O 4822079O 2316 A 49  UEF Wirtschaftsweg                              Gudensberg / Gudensberg   294  1,9 1.5 - 1.9 4822612 0 4822059O 4722006O  917 140,266 A 49  UEF Fußweg/UEF Fußweg - Spindel                           Dissen          157  2,5 2.5 - 2.9 4822613 A 4822059O 4722006O 1985   1,985 A 49  UEF Fußweg/UEF Fußweg - Hauptbauwerk                      Dissen          179  2,4 2.0 - 2.4 4822613 B 4822059O 4722006O 1985   1,985 UEF Fußweg/UEF Fußweg, Nebenbauwerk - A 49                                                            Dissen           37  2,2 2.0 - 2.4 4822613 C 4822059O 4722006O 1985   1,985 Rampe A 49  UEF Wirtschaftsweg                                 Gudensberg / Dissen    351  1,9 1.5 - 1.9 4822614 0 4822059O 4722006O 2369 138,814 B 83  UEF K 150                                               Guxhagen          506   1  1.0 - 1.4 4822616 0 4822041O 4822042O  923 UF Wirtschaftsweg/UF Wirtschaftsweg Fahrtr. A7                                                     Felsberg / Hilgershausen  43   2  2.0 - 2.4 4822619 1 4822063O 4922069O 2176 332,232 Frankfurt - Kassel, 1.BA UF Wirtschaftsweg/UF Wirtschaftsweg Fahrtr. A7                                                     Felsberg / Hilgershausen  82  1,7 1.5 - 1.9 4822619 2 4822063O 4922069O 2176 332,232 Frankfurt - Kassel, 3.BA UF Wirtschaftsweg/UF Wirtschaftsweg Fahrtr. A7                                                     Felsberg / Hilgershausen 157  2,1 2.0 - 2.4 4822619 3 4822063O 4922069O 2176 332,232 Kassel - Frankfurt, 2.BA B 254 UF Flutgraben                                             Dissen           36  1,8 1.5 - 1.9 4822634 0 4822068O 4822061O  915 B 254 UF Sommerbach                                             Dissen           31  1,8 1.5 - 1.9 4822635 0 4822068O 4822061O  722 UEF Wirtschaftsweg/UEF Wirtschaftsweg / B 253                                                            Harle           190 1,9 1.5 - 1.9 4822636 0 4922011O 4822082O 1070 Mühlenweg B 253 UF Altarm der Schwalm                                      Harle           97  2,1 2.0 - 2.4 4822637 0 4922011O 4822082O 1473 B 253 UF Sunderbach                                           Gensungen          46   2  2.0 - 2.4 4822641 0 4822066O 4822016O   31 B 83  UF Pfieffe                                             Adelshausen         73   3  3.0 - 3.4 4823501 0 4823002A 4823003O 1277 B 83  UF Graben                                               Melsungen          19  2,2 2.0 - 2.4 4823506 0 4823030O 4823033O 1253 B 83  UF Fulda/UF Fulda Achse 10 bis Pfeiler 20              Röhrenfurth        413  1,2 1.0 - 1.4 4823507 B 4823033O 4823020O   67 UF Fulda/UF Fulda Pfeiler 20 bis Widerlager B 83                                                         Röhrenfurth        960   1  1.0 - 1.4 4823507 C 4823033O 4823020O   67 Melsungen B 83  UF Viehtrift und Straßenstützwand/UF Viehtrift         Röhrenfurth         61  2,6 2.5 - 2.9 4823508 B 4823033O 4823020O  142 B 83  UF Gemeindeweg                                         Röhrenfurth        114  2,2 2.0 - 2.4 4823509 0 4823033O 4823020O  806 B 83  UF DB                                                  Röhrenfurth        216  2,9 2.5 - 2.9 4823510 0 4823033O 4823020O  929 B 253 UF Wirtschaftsweg                                       Melsungen          84   2  2.0 - 2.4 4823523 0 4823012O 4823009O  749 B 487 UF Pfieffe/UF Pieffe                                   Adelshausen          47 2,9 2.5 - 2.9 4823528 0 4823003O 4823005O 3025 B 487 UF Esse                                               Spangenberg          84   2  2.0 - 2.4 4823529 0 4823005O 4823006O 3238 B 487 UF Pfieffe                                           bei Adelshausen       298 1,8 1.5 - 1.9 4823587 0 4823003O 4823005O  818 B 83  UF Mülmisch                                                Körle          101   2  2.0 - 2.4 4823588 0 4823034O 4823037O  373 B 83  UF Fußgänger                                            Melsungen          69  2,2 2.0 - 2.4 4823626 0 4823015O 4823030O   41 B 83  UF Fulda                                                Melsungen         1468  2  2.0 - 2.4 4823629 0 4823011B 4823015O  229 B 83  UF Viehtrift und Fußgänger                               bei Körle         58  2,2 2.0 - 2.4 4823638 0 4823037O 4823027O  216 B 83  UF Trockene Mülmisch                                     bei Körle        101  1,7 1.5 - 1.9 4823639 0 4823037O 4823027O  266 B 83  UF K 147 und DB                                         Melsungen         1572 2,2 2.0 - 2.4 4823640 0 4823034O 4823037O 1781
26

UF Pfieffe i.Z.d. Radweges entlang der B83/UF B 83                                                      bei Adelshausen        17 2,1 2.0 - 2.4 4823649 0 4823002A 4823003O 1277 Pfieffe i.Z.d. Radweges links neben B83 B7    UF Wehre bei Küchen                                      Küchen           80   2  2.0 - 2.4 4824503 0 4824010O 4824015O   59 B 487 UF Esse                                               Schnellrode         88  2,1 2.0 - 2.4 4824509 0 4823007O 4824017O 4841 B7    UF Wehre bei Küchen                                      Küchen          134   3  3.0 - 3.4 4824541 0 4824015O 4824014O  396 B7    UF Wehre bei Küchen                                      Küchen          149  2,5 2.5 - 2.9 4824542 0 4824015O 4824014O  789 B7    UEF Stadtstraße bei Hasselbach                         Hasselbach        211   3  3.0 - 3.4 4824543 0 4824014O 4825034O 1152 B7    UF Hasselbach bei Hasselbach                           Hasselbach         45  2,3 2.0 - 2.4 4824544 0 4824014O 4825034O 1223 TB Hopfenbachtal/BAB A44, BW 5/12, RFB. A 44                                                        bei Walburg        4170 1,2 1.0 - 1.4 4824566 1 4724034O 4824029O  802 0 Eisenach-Kassel (ÜB Nord) TB Hopfenbachtal/BAB A44, BW 5/12, RFB. Kassel- A 44                                                        bei Walburg        4170 1,2 1.0 - 1.4 4824566 2 4724034N 4824028O  800 0 Eisenach (ÜB Süd) TB Wehretal/Wehretalbrücke RF Herleshausen - A 44                                                          Walburg          7781 2,5 2.5 - 2.9 4824568 1 4824027O 4824499O    0 0 Kassel TB Wehretal/Wehretalbrücke RF Kassel - A 44                                                          Walburg          7601 1,9 1.5 - 1.9 4824568 2 4824027O 4824499O    0 0 Herleshausen A 44  UF K 57/UF K 57 RiFa. Eisenach-Kassel                   Walburg          285  1,8 1.5 - 1.9 4824569 1 4824029O 4824028O  875 0 A 44  UF K 57/UF K 57 RiFa. Kassel-Eisenach                   Walburg          280  1,9 1.5 - 1.9 4824569 2 4724034N 4824028O 1825 0 Wehrebrücke Bw 1/UF Wehre Fahrtri. A 44                                                          Hollstein         500 1,2 1.0 - 1.4 4824570 1                      0 0 Herleshausen - KS (Achse 100) Wehrebrücke Bw 1/UF Wehre Fahrtri. Kassel- A 44                                                          Hollstein         500 1,1 1.0 - 1.4 4824570 2                      0 0 Herleshausen (Achse200) UF der Wehre und Wirtschaftsweg Bw.2/UF A 44                                                        bei Hollstein       493  1  1.0 - 1.4 4824571 1                      0 0 Wehre u. WW RiFa. Herleshsn -Kassel (Achse 100) UF der Wehre und Wirtschaftsweg Bw.2/UF A 44                                                        bei Hollstein       493 1,9 1.5 - 1.9 4824571 2                      0 0 Wehre u. WW RiFa. KS - Herleshsn (Achse 200) A 44  UEF Grünbrücke und Wirtschaftsweg                Waldkappel / Hasselbach 587   1  1.0 - 1.4 4824573 0                      0 0 UEF Grünbrücke 1 BW13 mit A 44                                                   Waldkappel / Hasselbach 412   1  1.0 - 1.4 4824588 0                      0 0 Irritationswänden/UEF Grünbrücke B 487 UF der Esse in Retterode/UF der Esse                   Retterode         523  1,9 1.5 - 1.9 4824589 A                      0 B 487 UF der Esse in Retterode/Einlaufbauwerk                Retterode          33  1,9 1.5 - 1.9 4824589 C                      0 UF Hasselbach BW 11 i.Z. B7 VKE 32/UF A 44                                                   Waldkappel / Hasselbach  48  1,7 1.5 - 1.9 4824608 0                      0 0 Hasselbach i.Z. B 7 UF Hasselbach BW 12 i.Z. WW (ehm.K39)/UF A 44                                                   Waldkappel / Hasselbach  95  1,1 1.0 - 1.4 4824609 0                      0 0 Hasselbach i.Z. eines Wirtschaftsweges UF Hasselbach BW.7/UF Hasselbach, RiFa. A 44                                                   Waldkappel / Hasselbach 166   1  1.0 - 1.4 4824610 1                      0 0 Herleshausen - Kassel UF Hasselbach BW.7/UF Hasselbach, RiFa. Kassel - A 44                                                   Waldkappel / Hasselbach 166   1  1.0 - 1.4 4824610 2                      0 0 Herleshausen UF Hasselbach BW 8 i.Z. Wirtschaftsweg/UF A 44                                                   Waldkappel / Hasselbach  56   1  1.0 - 1.4 4824611 0                      0 0 Hasselbach i.Z. W.weg entl. RiFa.KS-Herleshaus. B7    UF Wehre bei Küchen                                      Küchen           93  1,9 1.5 - 1.9 4824613 0 4824027K 4824010O 1447 B 27  UF Ulfe bei Wichmannshausen                        Wichmannshausen       194  2,7 2.5 - 2.9 4825501 0 4825032O 4825002O  167
27

B 27 UF Rad-/Fußweg bei Wichmannshausen                      Wichmannshausen          56  3  3.0 - 3.4 4825502 0 4825032O 4825002O  350 B 27 UF 1.Mühlgraben bei Wichmannshausen                     Wichmannshausen         135  3  3.0 - 3.4 4825503 0 4825032O 4825002O  472 UF 2.Mühlgraben/Datterpfeife bei B 27 Wichmannshausen/UF 2.Mühlgraben bei                     Wichmannshausen         104 2,7 2.5 - 2.9 4825504 A 4825032O 4825002O  661 Wichmannshausen UF 2.Mühlgraben/Datterpfeife bei B 27 Wichmannshausen/UF Datterpfeife bei                     Wichmannshausen          48 2,7 2.5 - 2.9 4825504 B 4825032O 4825002O  687 Wichmannshausen B 27 UF Flutgraben/Radweg bei Wichmannshausen                Wichmannshausen          77 2,9 2.5 - 2.9 4825506 0 4825032O 4825002O  902 B 27 UF Netra bei Wichmannshausen                            Wichmannshausen         99  2,5 2.5 - 2.9 4825507 0 4825007O 4825009O  254 B 27 UF DB bei Hoheneiche                                        Hoheneiche          208  3  3.0 - 3.4 4825508 0 4825009O 4825011O  113 B 27 UF Sontra bei Oetmannshausen                            Oetmannshausen         217  2,5 2.5 - 2.9 4825509 0 4825009O 4825011O  240 UF Wehre und Wirtschaftsweg bei B 27                                                         Oetmannshausen          284 2,5 2.5 - 2.9 4825510 0 4825009O 4825011O  537 Oetmannshausen B 27 UF Vierbach bei Reichensachsen                           Reichensachsen         139 2,7 2.5 - 2.9 4825511 0 4825015O 4825019O  208 B 27 UF Schweinsbach in Eltmannshausen                        Eltmannshausen         65  2,8 2.5 - 2.9 4825513 0 4825015O 4825019O 3557 B7   UF Stadtstraße bei Harmuthsachsen                        Harmuthsachsen        138  2,9 2.5 - 2.9 4825554 0 4825017O 4825030O  155 B7   UF K 33 bei Harmuthsachsen                               Harmuthsachsen        276   3  3.0 - 3.4 4825555 0 4825017O 4825030O  749 B7   UEF Stadtstraße bei Waldkappel                              Waldkappel         196  2,9 2.5 - 2.9 4825556 0 4825030O 4825031O  936 B7   UF Wirtschaftsweg bei Waldkappel                            Waldkappel           74 2,2 2.0 - 2.4 4825557 0 4825031O 4825006O 1056 B7   UF Rodebach bei Waldkappel                                  Waldkappel          149 2,4 2.0 - 2.4 4825558 0 4825031O 4825006O 1074 B7   UF Wehre bei Harmuthsachsen                              Harmuthsachsen        191   2  2.0 - 2.4 4825559 0 4825034O 4825017O  828 B7   UF Wehre bei Waldkappel                                     Waldkappel          245 2,9 2.5 - 2.9 4825560 0 4825030O 4825031O   48 B7   UF Wirtschaftsweg bei Bischhausen                          Bischhausen           94 2,3 2.0 - 2.4 4825588 0 4825031O 4825006O 3374 B7   UF Sengelbach bei Bischhausen                              Bischhausen           27  2  2.0 - 2.4 4825590 0 4825006O 4825011O 1245 TB Beerberg/TB Beerberg RiFa. Herleshausen - A 44                                                    Waldkappel / Harmuthsachsen 2614 1,2 1.0 - 1.4 4825605 1                      0 0 Kassel TB Beerberg/TB Beerberg RiFa. Kassel - A 44                                                    Waldkappel / Harmuthsachsen 2561 1,2 1.0 - 1.4 4825605 2                      0 0 Herleshausen UF ehm. K 33/UF ehm. K 33 nördl RiFa. Herleshsn. - A 44                                                    Waldkappel / Harmuthsachsen 370  1,1 1.0 - 1.4 4825606 1                      0 0 KS UF ehm. K 33/UF ehm. K 33 südl RiFa. KS - A 44                                                    Waldkappel / Harmuthsachsen 363  1,3 1.0 - 1.4 4825606 2                      0 0 Herleshsn. A 44 UEF Wirtschaftsweg Grünbrücke 1                    Waldkappel / Harmuthsachen  1036 1,5 1.5 - 1.9 4825607 0                      0 0 TB Rauschenberg/TB Rauschenberg RiFa. Eisenach A 44                                                     Waldkappel / Waldkappel    3526  2  2.0 - 2.4 4825608 1                      0 0 - Kassel TB Rauschenberg/TB Rauschenberg RiFa. Kassel - A 44                                                     Waldkappel / Waldkappel    3526  2  2.0 - 2.4 4825608 2                      0 0 Eisenach A 44 UEF Wirtschaftsweg Grünbrücke 2                     Waldkappel / Waldkappel    1051  1  1.0 - 1.4 4825609 0                      0 0 UF W.-weg u. Rodebach/UF W.-weg u. Rodebach A 44                                                     Waldkappel / Waldkappel    1366 1,7 1.5 - 1.9 4825610 1                      0 0 RiFa. Herleshausen - Kassel UF W.-weg u. Rodebach/UF W.-weg u. Rodebach A 44                                                     Waldkappel / Waldkappel    1388 1,8 1.5 - 1.9 4825610 2                      0 0 RiFa. Kassel - Herleshausen UF W.-weg u. Sinnebach/UF W.-weg u. Sinnebach, A 44                                                     Waldkappel / Waldkappel     160 1,1 1.0 - 1.4 4825611 1                      0 0 RiFa. Herleshausen-Kassel
28

UF W.-weg u. Sinnebach/UF W.-weg u. Sinnebach, A 44                                                    Waldkappel / Waldkappel      165 1,2 1.0 - 1.4 4825611 2                      0 0 RiFa. Kassel-Herleshausen A 44  UF Struthgraben i.Z.e. Ww.                             bei Waldkappel           81 1,1 1.0 - 1.4 4825671 0                      0 0 A 44  UF Struthgraben                                   Waldkappel / Waldkappel      377  1  1.0 - 1.4 4825672 0                      0 0 A 44  UF Rodebach i.Z. eines W-weges Bw.6a              Waldkappel / Waldkappel       21 1,1 1.0 - 1.4 4825677 0                      0 0 A 44  UF Rodebach i.Z. eines Ww Bw.6e                       bei Hegenhausen           13  1  1.0 - 1.4 4825688 0                      0 0 B 249 UF Kellaer Bach in Schwebda                               Schwebda              70 2,6 2.5 - 2.9 4826517 0 4826019O 4826017O   53 B 249 UF Mühlgraben in Frieda                                      Frieda             44 2,2 2.0 - 2.4 4826518 0 4826017O 4826018O  200 B 249 UF Mühlgraben-Überlauf in Frieda                             Frieda             38 2,2 2.0 - 2.4 4826519 0 4826017O 4826018O  472 B 452 UF Leimbach in Reichensachsen                          Reichensachsen          104 2,2 2.0 - 2.4 4826522 0 4825014O 4826010O  440 B 452 UF Geidelbach bei Reichensachsen                       Reichensachsen          123  2  2.0 - 2.4 4826523 0 4826010O 4826030O  763 UF Fuß-/Radweg bei Eschwege/UF Fuß-/ Radweg B 452                                                            Eschwege             89  2  2.0 - 2.4 4826524 0 4826030O 4826031O  784 bei Eschwege B 249 UF Werra bei Eschwege                                     Eschwege            2671 2,8 2.5 - 2.9 4826563 0 4826025O 4826023O  259 B 249 UF Flutmulde bei Eschwege                                  Eschwege           1073 2,5 2.5 - 2.9 4826564 0 4826025O 4826023O  783 B 249 UF Frieda in Frieda                                          Frieda            211 1,9 1.5 - 1.9 4826565 0 4826017O 4826018O  606 B 249 UEF Fuß-und Radweg bei Eschwege                           Eschwege             178 2,2 2.0 - 2.4 4826570 0 4826025O 4826023O 1234 B 452 UEF einer Stadtstraße bei Eschwege                        Eschwege              79 2,8 2.5 - 2.9 4826578 A 4826030O 4826031O    0 B 452 UEF einer Stadtstraße bei Eschwege                        Eschwege             282  3  3.0 - 3.4 4826578 B 4826030O 4826031O    0 B 452 UEF einer Stadtstraße bei Eschwege                        Eschwege              76  3  3.0 - 3.4 4826578 C 4826030O 4826031O    0 B7    UF Netra bei Datterode                                    Datterode            104 1,8 1.5 - 1.9 4826603 1 4825007O 4826027O 1969 UF Fuß- und Radweg bei Frieda, BW 2/UF Fuß- B 249                                                              Frieda             88 1,4 1.0 - 1.4 4826605 0                      0 und Radweg bei Frieda B 250 UF Heldra bei Heldra                                        Heldra              87  2  2.0 - 2.4 4827513 0 4827003O 4827004O  493 UEF L 3244 bei Wanfried, BW 1/UEF L 3244 bei B 249                                                            Wanfried            280 2,4 2.0 - 2.4 4827514 0 4827012O 4827015O    0 Wanfried UEF Stadtstraße bei Wanfried, BW 2/UEF B 249                                                            Wanfried            251 2,5 2.5 - 2.9 4827515 0 4827012O 4827015O  870 Stadtstraße bei Wanfried UEF Fußweg bei Wanfried, BW 3/UEF Fußweg bei B 249                                                            Wanfried             65 2,3 2.0 - 2.4 4827516 0 4827012O 4827015O 1133 Wanfried UF Fußweg bei Wanfried, BW 4/UF Fußweg bei B 249                                                            Wanfried             33 1,4 1.0 - 1.4 4827517 0 4827012O 4827015O 1621 Wanfried UF Gatterbach bei Wanfried, BW 5/UF Gatterbach B 249                                                            Wanfried            105 1,9 1.5 - 1.9 4827518 0 4827012O 4827015O 1800 bei Wanfried B 253 UEF der Landstraße 3478/UEF Landstraße                    Battenberg           429 1,7 1.5 - 1.9 4917610 0 4917102O 4918037O   65 UF Wirtschaftsweg bei Battenfeld/UF B 253                                                           Battenfeld           343 1,6 1.5 - 1.9 4917611 0 4917102O 4918037O  941 Wirtschaftsweg B 253 UF WW bei Battenberg/UF WW                                Battenberg           168 2,2 2.0 - 2.4 4917612 0 4917103O 4917102O  683 UF Linspher bei B 236                                                         Bromskirchen            42 2,1 2.0 - 2.4 4917618 0 4917118O 4917121O 3523 Bromskirchen/Linspherbachbrücke B 253 UF Eder bei Battenfeld/Ederbrücke                         Battenberg          1086 2,8 2.5 - 2.9 4917620 0 4917102O 4918037O 1146 B 253 UF Kirchweg bei Allendorf/Kirchwegbrücke                   Allendorf            82 1,8 1.5 - 1.9 4917621 0 4917102O 4918037O 1240 B 252 UF Nemphe bei Frankenberg/Nemphebrücke                    Bottendorf           69  2,1 2.0 - 2.4 4918508 0 4918005O 4918041A 1363 B 253 UEF K 121 bei Rennertehausen                   Allendorf (Eder)/Rennerthausen  978 2,3 2.0 - 2.4 4918509 0 4918037A 4918009O 1484
29

B 253 UF Grünweg bei Rennertehausen/UF Grünweg     Rennertehausen    110 2,1 2.0 - 2.4 4918510 C 4918009O 4918015O  290 B 253 UF Linspher bei Allendorf/Linspherbachbrücke Allendorf (Eder) 189   2  2.0 - 2.4 4918528 0 4918037A 4918009O  564 UEF Wirtschaftsweg bei Allendorf/UEF B 253                                                  Allendorf     214 1,8 1.5 - 1.9 4918529 0 4918037A 4918009O  580 Wirtschaftsweg B 253 Flutgraben bei Allendorf/Flutgrabenbrücke        Allendorf      49 1,8 1.5 - 1.9 4918530 0 4918037A 4918009O  300 B 236 UF HWW bei Berghofen/UF Wirtschaftsweg          Berghofen       85 1,7 1.5 - 1.9 4918550 0 4918040O 4917101O  451 B 236 UF Fußweg bei Berghofen/UF Fußweg               Berghofen       39 1,8 1.5 - 1.9 4918567 0 4918040O 4917101O  335 B 252 OU Frankenberg Ost BW 1/Nemphebrücke           Frankenberg     63  1,6 1.5 - 1.9 4918576 0 4918041O 4918042O   83 B 252 OU Frankenberg Ost BW 2/UEF L 3076             Frankenberg     572 2,8 2.5 - 2.9 4918577 0 4918042O 4918043O    0 B 252 OU Frankenberg Ost BW 3/UF Kalte Wasser        Frankenberg    1144 2,6 2.5 - 2.9 4918578 A 4918042O 4918043O  359 B 252 OU Frankenberg Ost BW 4/UEF Stadtstraße        Frankenberg     386 2,7 2.5 - 2.9 4918579 0 4918043O 4918046O    0 B 252 OU Frankenberg Ost BW 5/UEF Gernhäuser Weg     Frankenberg    175  2,2 2.0 - 2.4 4918580 0 4918043O 4918046O  443 B 252 OU Frankenberg Ost BW 6/UEF Geismarer Straße   Frankenberg    330  2,1 2.0 - 2.4 4918581 0 4918043O 4918046O  966 B 252 OU Frankenberg Ost BW 7/UEF eines HWW          Frankenberg     172 2,2 2.0 - 2.4 4918582 0 4918043O 4918046O 1321 B 252 OU Frankenberg Ost BW 8/UEF Direktrampe        Frankenberg    1134 2,2 2.0 - 2.4 4918583 0 4918046O 4918030O    0 OU Frankenberg Ost BW B 252                                                Frankenberg     203 1,6 1.5 - 1.9 4918584 0 4918046O 4918030O   42 9/Gernhäuserbachbrücke B 253 UF Hainerbach bei Haine/Hainerbachbrücke     Rennertehausen     53 1,7 1.5 - 1.9 4918586 0 4918015O 4918047O   93 B 253 OU Röddenau BW 1/UEF K125                       Röddenau       486  2  2.0 - 2.4 4918587 0 4918047O 4918048O  109 B 253 OU Röddenau BW 3/Litzebachbrücke               Frankenberg     149 2,1 2.0 - 2.4 4918589 0 4918047O 4918048O 1773 B 253 OU Röddenau BW 4/UEF Muschelweg                Frankenberg     318  2  2.0 - 2.4 4918593 0 4918047O 4918048O 1747 B 253 OU Röddenau BW 5/Ederbrücke                    Frankenberg    1475 1,7 1.5 - 1.9 4918595 0 4918048O 4918050O  233 B 253 OU Röddenau BW 8a/UEF Wirtschaftsweg           Frankenberg     161 2,1 2.0 - 2.4 4918597 0 4918048O 4918050O  984 B 253 OU Röddenau BW 9/UEF K 117                     Frankenberg     504  2  2.0 - 2.4 4918598 0 4918050O 4918041O    0 B 253 OU Röddenau BW 10/UEF Wirtschaftsweg           Frankenberg     181 2,2 2.0 - 2.4 4918599 0 4918050O 4918041O  570 B 252 OU Röddenau BW 11/UEF B252                     Frankenberg     479 1,6 1.5 - 1.9 4918600 0 4918005O 4918041A 1649 B 252 OU Röddenau BW 12/Nemphebrücke                 Frankenberg     184  1  1.0 - 1.4 4918601 0 4918005O 4918041A 1598 B 253 UF Wildwechsel bei Haina/Wildwechsel               Haina        71 2,7 2.5 - 2.9 4919501 0 4919045O 4919032O 1128 UF Michelgrundbach in B 253                                                  Dainrode       35 2,3 2.0 - 2.4 4919502 0 4919029O 4919045O  366 Dainrode/Michelgrundbachbrücke B 253 UF Stiedenbach in Dainrode/Stiedenbachbrücke     Dainrode       44 1,6 1.5 - 1.9 4919503 0 4919029O 4919045O  205 B3    UF Michelbach                                     Jesberg      100 2,2 2.0 - 2.4 4920505 0 5020030O 4920022O 1519 B 485 UF Wälzebach bei Braunau/Wälzebachbrücke         Braunau        38  2  2.0 - 2.4 4920517 0 4920026O 4920029O 4458 B 253 OU Bad Wildungen BW 2/UEF HWW                 Odershausen      184 2,3 2.0 - 2.4 4920536 0 4920027O 4920040O 1177 B 253 OU Bad Wildungen BW 3/UF Hauptwirtschaftsweg  Odershausen      138 1,8 1.5 - 1.9 4920537 0 4920027O 4920040O 2152 B 253 OU Bad Wildungen BW 4/UF HWW                  Odershausen      304 2,1 2.0 - 2.4 4920538 0 4920027O 4920040O 2782 B 253 OU Bad Wildungen BW 5/UF HWW                     Braunau       117 1,9 1.5 - 1.9 4920539 0 4920027O 4920040O 3597 B 253 OU Bad Wildungen BW 6, UEF K 40/UEF K 40      Odershausen      375 2,2 2.0 - 2.4 4920540 0 4920040O 4820034O   92 OU Bad Wildungen BW 7/UEF HWW bei B 253                                               Odershausen      200 2,4 2.0 - 2.4 4920541 0 4920040O 4820034O 1269 Odershausen
30

Zur nächsten Seite