Verbreitung von so genannten "neuen psychoaktiven Stoffen" (NpS) in Berlin

/ 10
PDF herunterladen
Drucksache 18 / 18              366 Schriftliche Anfrage 18. Wahlperiode Schriftliche Anfrage des Abgeordneten Tim-Christopher Zeelen (CDU) vom 27. März 2019 (Eingang beim Abgeordnetenhaus am 28. März 2019) zum Thema: Verbreitung von so genannten „neuen psychoaktiven Stoffen“ (NpS) in Berlin und Antwort vom 11. April 2019 (Eingang beim Abgeordnetenhaus am 15. April 2019) Die Drucksachen des Abgeordnetenhauses sind bei der Kulturbuch-Verlag GmbH zu beziehen. Hausanschrift: Sprosserweg 3, 12351 Berlin-Buckow · Postanschrift: Postfach 47 04 49, 12313 Berlin, Telefon: 6 61 84 84; Telefax: 6 61 78 28.
1

Senatsverwaltung für Gesundheit, Pflege und Gleichstellung Herrn Abgeordneten Tim-Christopher Zeelen (CDU) über den Präsidenten des Abgeordnetenhauses von Berlin über Senatskanzlei - G Sen - Antwort auf die Schriftliche Anfrage Nr. 18/18366 vom 27. März 2019 über Verbreitung von so genannten „neuen psychoaktiven Stoffen“ (NpS) in Berlin _______________________________________________________________________ Im Namen des Senats von Berlin beantworte ich Ihre Schriftliche Anfrage wie folgt: 1. Der Vertrieb und Konsum welcher sogenannter „neuen psychoaktiven Stoffe“ (NpS) bzw. "Legal Highs" in Berlin sind dem Senat seit 2009 bekannt? Zu 1.: In der folgenden Tabelle sind alle seit 2009 im Kriminaltechnischen Institut beim Landes- kriminalamt (LKA KTI 41) untersuchten Proben nach dem Jahr der Sicherstellung, ihren Wirkstoffen und der Anzahl der eingereichten Proben sortiert aufgelistet. Jahr     NpS                               Anzahl der Proben 2009     Methylon                                                 2 1,4-CPP                                                  1 2010     JWH-018                                                  3 JWH-073                                                  1 4-MEC                                                    3 AM-2201                                                  1 JWH-018                                                48 JWH-019                                                12 JWH-073                                                14 2011     JWH-081                                                30 JWH-122                                                  1 JWH203                                                 24 JWH-210                                                55 MDPV                                                   16 Methylon                                                 2
2

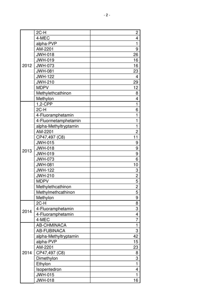
-2- 2C-H                       2 4-MEC                      4 alpha-PVP                  1 AM-2201                    9 JWH-018                   26 JWH-019                   16 2012 JWH-073                   16 JWH-081                   23 JWH-122                    4 JWH-210                   29 MDPV                      12 Methylethcathinon          8 Methylon                   4 1,2-CPP                    1 2C-H                       6 4-Fluoramphetamin          1 4-Fluormetamphetamin       1 alpha-Methyltryptamin      1 AM-2201                    2 CP47,497 (C8)             11 JWH-015                    9 JWH-018                    9 2013 JWH-019                    9 JWH-073                    6 JWH-081                   10 JWH-122                    3 JWH-210                    2 MDPV                       5 Methylethcathinon          2 Methylmethcathinon         5 Methylon                   9 2C-H                       8 4-Fluoramphetamin          3 2014 4-Fluoramphetamin          4 4-MEC                      7 AB-CHMINACA                1 AB-FUBINACA                3 alpha-Methyltryptamin     42 alpha-PVP                 15 AM-2201                   23 2014 CP47,497 (C8)              8 Dimethylon                 3 Ethylon                    1 Isopentedron               4 JWH-015                    1 JWH-018                   16
3

-3- JWH-019                  2 JWH-073                 16 JWH-081                 24 MDPV                     5 Methylethcathinon        4 Methylmethcathinon       4 Methylon                12 2C-H                     3 4-Fluoramphetamin        5 4-MEC                    4 5-Meo-DALT               2 AB-CHMINACA              4 AB-FUBINACA              2 alpha-PVP                3 AM-2201                  6 Brephedron               1 2015 Diphenidin               3 Ethylon                  2 Isopentedron             1 JWH-018                  5 JWH-073                  5 JWH-081                  6 JWH-122                  1 JWH-210                  1 Methylethcathinon        2 Methylmethcathinon       1 2C-H                     1 25H-NBOMe                3 25I-NBOMeMe              3 2C-H                     1 2-Fluorfentanyl          1 3-MeO-PCP                3 3-MMC                    6 4-Fluoramphetamin        5 2016 4-MEC                    7 4-Methylethcathinon      1 5F-AB-PINACA            15 5F-Cumyl-PINACA          1 5-MAPB                   1 5-Meo-DALT               3 AB-CHMINACA             22 alpha-PBP                1 alpha-PHP                2 alpha-PVP                3 2016 AM-2201                  7 AM-2233                  4
4

-4- EAM 2201                      5 JWH-015                      20 JWH-018                      24 JWH-073                      24 JWH-081                      17 JWH-210                       5 JWH-250                       4 MDMB-CHMICA                   1 Methylethcathinon             1 Methylmethcathinon            2 Methylon                      1 1P-LSD                        1 2C-H                          2 25H-NBOMe                     1 2C-H                          4 3-MeO-PCP                     2 3-MMC                        15 4-BMC (Brephedron)            1 4-CEC (Chlorethcathinon)      2 4-Fluoramphetamin             9 5F-AB-PINACA                 44 5F-ADB                        5 5F-EDMB-PINACA               13 5F-MDMB-PINACA               57 5-MAPB                        5 5-Meo-DALT                    3 AB-001                       53 AB-CHMINACA                  37 2017 AB-FUBINACA                   2 alpha-Methyltryptamin         3 alpha-PHP                     1 AM-1220                      11 AM-2201                      24 AM-2233                      57 AMB-FUBINACA                  6 Brephedron                    1 Cumyl-PeGaClone               5 Dibutylon                     1 Dimethylon                   15 Diphenidin                    3 DOB                           2 EAM 2201                     23 Ephylon                       2 Isopentedron                  1 JWH-015                      73 JWH-018                      17
5

-5- JWH-073                       7 JWH-081                      24 JWH-122                       3 JWH-250                       3 JWH-250Me                    31 MDMB-CHMICA                   3 2017 Methylmethcathinon            4 Methylon                     16 NM-2201                       1 1P-LSD                        2 25H-NBOMe                     1 25I-NBOMeMe                   1 2C-H                          7 3-MMC                         5 4-CEC (Chlorethcathinon)     10 4-Fluoramphetamin             3 4-Fluormetamphetamin          1 5F-AB-PINACA                 32 5F-ADB                       16 5F-EDMB-PINACA               37 5F-MDMB-PICA                  1 5F-MDMB-PINACA               63 5-MAPB                        2 5-Meo-DALT                    1 AB-001                       36 2018 AB-CHMINACA                  15 AM-1220                       8 AM-2201                       4 AM-2233                      12 AMB-FUBINACA                 24 Cumyl-4CN-B7AICA              4 Cumyl-PeGaClone               2 Dimethylon                    8 DOB                           1 EAM 2201                      7 JWH-015                      16 JWH-018                      28 JWH-081                       4 JWH-122                      52 JWH-250                       1 Methylon                      8 4-Methylethcathinon           1 5F-AB-PINACA                  6 2019 5F-MDMB-PINACA                6 Dibutylon                     1 DOB                           1
6

-6- Isopentedron                                                 1 JWH-122                                                      6 2. Wie hat sich der NpS-Konsum in Berlin seit 2009 entwickelt? Bitte jährlich in absoluten Zahlen sowie diffe- renziert nach Geschlecht des Konsumenten, ob dieser unter 18 oder über 18 war und jeweiligem NpS ange- ben. Zu 2.: Dem Senat liegen lediglich aus dem letzten Epidemiologischen Suchtsurvey für das Jahr 2012 folgende Angaben zur Substanz „Spice“ (Spice/Smoke/Space/Badesalz/Cathinone o.a.) vor. Demzufolge haben 0,6 % der Berliner Bevölkerung Erfahrungen mit „Spice“ ge- sammelt (Lebenszeitprävalenz). 0,7 % der Männer, 0,6 % der Frauen. Bei den 15- bis 17-Jährigen lag der Anteil bei 0,6 % (nicht aufgeschlüsselt nach Ge- schlecht) und bei den 18- bis 24-Jährigen bei 2,4 %. 3. Wie viele Ermittlungsverfahren wegen des Vertriebs bzw. Besitzes von NpS hat es seit 2009 gegeben? Bitte jährlich in absoluten Zahlen sowie differenziert nach Geschlecht des Konsumenten, ob dieser unter 18 oder über 18 war und jeweiligem NpS angeben. Zu 3.: Bis zum Entscheid des Europäischen Gerichtshofes (EuGH) vom 10. Juli 2014 war es po- lizeiliche Praxis, den Umgang mit Substanzen, die nicht unter das Betäubungsmittelgesetz (BtMG) fallen, mit den Vorgaben des Arzneimittelgesetzes (AMG) strafrechtlich zu bewer- ten. Der Konsum und der Besitz (außer die Vorratshaltung zum Verkauf) derartiger Stoffe stellten keinen Verstoß gegen das AMG dar. Das Inverkehrbringen von bedenklichen Arz- neimitteln war strafbewehrt. Diese Vorgehensweise war dem genannten Urteil entspre- chend nicht mehr statthaft. Erst mit dem Inkrafttreten des Neue-psychoaktive-Stoffe-Gesetzes (NpSG) am 26. No- vember 2016 ist die entstandene Regelungslücke nach dem EuGH-Urteil geschlossen worden. Es untersagt zwar den Besitz und Erwerb von NpS, diese sind jedoch nicht straf- bewehrt. Im NpSG sind das Inverkehrbringen, Handeltreiben und Herstellen unter Strafe gestellt worden. Auch mit Inkrafttreten des o. g. Gesetzes wird bei der Sicherstellung von verdächtigen Stoffen weiterhin davon ausgegangen, dass es sich um Stoffe handelt, welche dem BtMG unterliegen. Erst das Ergebnis der kriminaltechnischen Untersuchung gibt Auskunft dar- über, ob es sich um Stoffe handelt, die dem AMG (bis zum EuGH-Urteil 2014), dem BtMG, dem NpSG oder keiner Strafvorschrift unterliegen. Mischsachverhalte, bei denen sowohl BtM als auch NpS sichergestellt werden, werden aufgrund der Vorrangregelung in der Po- lizeilichen Kriminalitätsstatistik statistisch als BtM-Vorgang gezählt. Das polizeiliche Erfas- sungssystem sieht im BtM-Vorgang keine spezielle Kennzeichnung für Neue psychoaktive Stoffe vor, sodass diese auf diesem Wege nicht recherchierbar sind. Die Fallzahlen nach dem Inkrafttreten des NpSG am 26. November 2016 mit den entspre- chenden Angaben zu den Tatverdächtigen sind der nachfolgenden Tabelle zu entnehmen.
7

-7- Fallzahlen mit Alters- und Geschlechtsangaben der Tatverdächtigen für Verstöße gegen das NpSG 2017                            2018 Fallzahlen                                                  5                             19 davon: 16 bis 18 Jahre                                             1                               2 davon: männlich                                                    1                               1 weiblich                                                    0                               1 18 bis 21 Jahre                                             1                               6 davon: männlich                                                    1                               5 weiblich                                                    0                               1 21 bis 23 Jahre                                             1                               4 davon: männlich                                                    0                               4 weiblich                                                    1                               0 23 bis 25 Jahre                                             0                               1 davon: männlich                                                    0                               1 weiblich                                                    0                               0 40 bis 50 Jahre                                             1                               0 davon: männlich                                                    1                               0 weiblich                                                    0                               0 Quelle: PKS Ob es sich bei den Tatverdächtigen auch um Konsumenten handelt, ist der Polizei Berlin nicht bekannt. 4. Wie viele a) Krankenhausbehandlungen und b) Entzüge infolge des NpS-Konsums hat es seit 2009 gegeben? Bitte jährlich in absoluten Zahlen sowie differenziert nach Geschlecht des Konsumenten, ob dieser unter 18 oder über 18 war und jeweiligem NpS angeben. Zu 4 a): NpS ist keine Kategorie in der Internationalen Statistischen Klassifikation der Krankheiten und verwandter Gesundheitsprobleme, 10. Revision/German Modification. Die KD-10-GM ist die amtliche Klassifikation zur Verschlüsselung von Diagnosen in der ambulanten und stationären Versorgung in Deutschland. Daher liegen dazu keine Daten vor. Zu 4 b): Dazu liegen dem Senat keine Angaben vor.
8

-8- 5. Welche Gruppen gehören nach Einschätzung des Senats zu den bevorzugten Konsumenten jeweils wel- ches NpS? Zu 5.: Dazu ist dem Senat nichts bekannt. 6. Inwiefern spielen NpS bei Obdachlosen in Berlin eine Rolle? Wie viel Prozent gehören nach Einschätzung des Senats zu regelmäßigen Konsumenten jeweils welches NpS? Zu 6.: Hierzu liegen dem Berliner Senat keine Erkenntnisse vor. 7. Wie einfach ist es nach Einschätzung des Senats, NpS in Berlin käuflich zu erwerben? Zu 7.: Die Tatorte im Bereich der Rauschgiftkriminalität sind stadtweit verteilt. Es entstehen je- doch immer wieder regionale Brennpunkte, an denen sichtbar mit Drogen gehandelt wird und wo neben der Polizei auch andere Behörden und Einrichtungen tätig werden. Brennpunkte ergeben sich dort, wo günstige Tatgelegenheitsstrukturen vorherrschen. Die begünstigenden Strukturen finden sich nahezu im gesamten Stadtgebiet. Während für den Handel mit großen Mengen Rauschgift oder dem Onlinehandel das Agieren im Verborge- nen charakteristisch ist, ist der Straßenhandel für die Öffentlichkeit wahrnehmbar. Die Er- werbsmöglichkeiten von NpS sind daher vielfältig. 8. Wo sind die Dealer dieser Stoffe nach Kenntnis des Senats hauptsächlich anzutreffen und was weiß der Senat über mögliche Vertriebswege? Zu 8.: NpS werden hauptsächlich über Onlineshops im Internet vertrieben und auf dem Postweg verteilt. Darüber hinaus werden sie in sogenannten „Head- oder Smartshops“ angeboten. Nach Erkenntnissen aus hiesigen Ermittlungsverfahren wurden die synthetischen Cannabinoide meist in Headshops in Berlin-Prenzlauer Berg oder -Wedding erworben. Die Herstellung der Substanzen erfolgt überwiegend in Asien, vornehmlich in China und Indien. In Europa wird die Herstellung der Stoffe meistens mit Tschechien, Ungarn, den Niederlanden, Spanien und Portugal in Verbindung gebracht. 9. Was tut der Senat gegen die Verbreitung von NpS und inwiefern leistet er Aufklärungsarbeit über die Ge- fahren dieser Stoffe? Zu 9.: Bis zur medialen Veröffentlichung der Fälle im Zusammenhang mit dem Konsum von NpS im Bereich des Alexanderplatzes in der zweiten Jahreshälfte 2017 spielte dieser Deliktsbereich im Hellfeld der Rauschgiftkriminalität in Berlin keine wesentliche Rolle.
9

-9- Daraufhin fand zu diesem Thema ein enger Austausch mit der Landesdrogenbeauftragten statt. Im Ergebnis wurde ein Flyer durch die Senatsverwaltung für Gesundheit, Pflege und Gleichstellung (SenGPG) entworfen, der durch die Einsatzkräfte der Polizei, insbesondere im Bereich des Alexanderplatzes, verteilt wird. Grundsätzlich handelt die Polizei Berlin in diesem Themenfeld strafverfolgend. Die Fachstelle für Suchtprävention, gefördert von der Senatsverwaltung für Gesundheit, Pflege und Gleichstellung, greift im Rahmen ihrer Präventionsarbeit in Berlin durch diverse Aktivitäten auch das Themenfeld neue psychoaktive Substanzen auf. Das Landesprogramm zur Suchtprävention „Na klar – unabhängig bleiben“ der Fachstelle für Suchtprävention bezieht neue psychoaktive Substanzen ein. Im Rahmen verschiede- ner Infokarten zu Substanzen werden psychoaktive Substanzen aufgegriffen. Hier wird zum einen darüber aufgeklärt was alles unter neue psychoaktive Substanzen fällt, zum anderen werden die Risiken, die mit der Einnahme verbunden sein können, erläutert. Eine Neuauflage ist für das Jahr 2019 geplant. Die Berliner Aktionstage „Na klar – reden wir darüber“ im Mai 2018 thematisierten den Zu- sammenhang zwischen Substanzkonsum und Leistungs- bzw. Optimierungsdruck – hier wurde der steigende Konsum von neuen psychoaktiven Substanzen am Arbeitsplatz auf- gegriffen. Es werden zudem bei Fortbildungsveranstaltungen und Schulungen auch Multi- plikatoren/-innen für das Thema psychoaktive Substanzen sensibilisiert. Bei Elternaben- den und Elternkursen erfolgt eine Aufklärung der Eltern über neue psychoaktive Substan- zen und weiteren synthetischen Drogen sowie Beratung zum Umgang mit dem Substanz- konsum ihrer Kinder. Die Berliner Suchtberatungslandschaft kann zu neuen psychoaktiven Stoffen Beratung anbieten. Ergänzt wird dieses Angebot seit August 2018 durch das neue Projekt „Präven- tionsmaßnahmen in der Berliner Partyszene – SONAR“. Hier werden als ein Baustein des Projektes Wochenendspezialsprechstunden in einer Suchtberatungsstelle angeboten um Personen mit substanzinduzierten Störungen und Problemen mit psychoaktiven Substan- zen gezielt zu beraten. Berlin, den 11. April 2019 In Vertretung Martin Matz Senatsverwaltung für Gesundheit, Pflege und Gleichstellung
10