Kunstankäufe für öffentliche Sammlungen in Berlin

/ 9
PDF herunterladen
Drucksache 17 /            16 746 Schriftliche Anfrage 17. Wahlperiode Schriftliche Anfrage des Abgeordneten Stefan Evers (CDU) vom 04. August 2015 (Eingang beim Abgeordnetenhaus am 06. August 2015) und                           Antwort Kunstankäufe für öffentliche Sammlungen in Berlin Im Namen des Senats von Berlin beantworte ich Ihre                         Stiftung Stadtmuseum Berlin: Schriftliche Anfrage wie folgt:                                                2008: Erwerb des Gemäldes von C. E. Biermann „Borsig’s Maschinenbau-Anstalt zu Berlin“, 1847 mit Die Schriftliche Anfrage betrifft Sachverhalte, die der                    Mitteln des Landes Berlin, der Ernst v. Siemens Senat nicht aus eigener Zuständigkeit und Kenntnis be-                         Kunststiftung und des Fördervereins der Freunde und antworten kann. Er ist gleichwohl bemüht, Ihnen eine                           Förderer des Stadtmuseums Berlin. Die Finanzierung Antwort auf Ihre Anfrage zukommen zu lassen und hat                            dieser Erwerbung umfasste insgesamt die Jahre 2007- daher die öffentlich geförderten Museen sowie die Be-                          2010. zirksämter um Informationen gebeten, die in die Beant- wortung eingeflossen sind.                                                     2009: Erwerbung des Bildnis des Oberbürgermeisters Heinrich Wilhelm Krausnick, um 1845 von Johann 1. Wie hat sich der Ankaufsetat der Berliner Museen                        Samuel Otto und einer Ehrenbürgerurkunde für W. und Galerien einschließlich der Museumsstiftungen in den                       Krausnick aus Mitteln des Landes Berlin. Kontinuier- Jahren 2008 bis 2014 entwickelt (gegliedert nach Einrich-                      lich wurden pro Jahr mit Mitteln der Künstlerförde- tungen und Jahren)?                                                            rung des Landes Berlin darüber hinaus folgende Kunstwerke erworben: Zu 1.: Die Museen verfügen in der Regel über keinen Ankaufsetat. Ankäufe werden meist anlassbezogen über                           2010: Den 13-teiligen Zyklus von Barbara Loftus Drittmittel (z.B. Stiftung Deutsche Klassenlotterie, Kul-                      „Lieder ohne Worte“, Stadtfotografien und das heraus- turstiftung der Länder, Siemens Stiftung, Spenden) finan-                      ragende Triptychon von Stephan Elsner zum Thema ziert. Finanzierungen aus dem je eigenen Haushalt der                          Mauerbau unter dem Titel „Grenzverletzung“ erwor- Institutionen sind allenfalls in sehr seltenen Ausnahmefäl-                    ben. len möglich. 2011: Erwarb das Stadtmuseum eine Papierarbeit zum „Shellhaus“ von HansJörg Schneider. 2. Welches waren die jeweils wichtigsten bzw. um- fangreichsten drei Ankäufe dieser Museen und Galerien                          2012: Kam mit Mitteln der Künstlerförderung das in diesem Zeitraum (gegliedert nach Einrichtungen und                          Doppelporträt Wolf Biermann als Januskopf von Sa- Jahren)?                                                                       bine Grzimek in die Sammlung. Zu 2.: Als wichtigste bzw. umfangreichste drei An-                         2013: Gelang im Rahmen einer fairen und gerechten käufe haben die Museen angegeben:                                              Lösung die Erwerbung des Familienbildnisses von A.D. Therbusch. Darüber hinaus konnte anteilig die Berlinische Galerie:                                                       Eisenplastik zum „Siegesdenkmal zu Düppel“ mit Un- Georg Baselitz – Ein moderner Maler; Wolf Vostell –                        terstützung des Vereins der Freunde und Förderer des Auschwitz Scheinwerfer; Wolf Vostell – Treblinka                           Stadtmuseums und ein Konvolut an Stadtansichten aus (nähere Angaben zur Berlinischen Galerie siehe Anla-                       der Grafiksammlung Gernot Ernst erworben werden. ge 2). 2014: Wurde eine Winterlandschaft von Eugenie Fuchs und das Gästebuch von Adolf von Menzel (1893-1900) im Kunsthandel erworben. Die Drucksachen des Abgeordnetenhauses sind bei der Kulturbuch-Verlag GmbH zu beziehen. Hausanschrift: Sprosserweg 3, 12351 Berlin-Buckow · Postanschrift: Postfach 47 04 49, 12313 Berlin, Telefon: 6 61 84 84; Telefax: 6 61 78 28.
1

Abgeordnetenhaus Berlin – 17. Wahlperiode                                                           Drucksache 17 / 16 746 Stiftung Deutsches Technikmuseum Berlin: Die Stiftung Deutsches Technikmuseum Berlin kauft nur sehr vereinzelt Kunstwerke an, wenn diese in Zu- sammenhang mit technischem Kulturgut stehen. Da- her sind Aussagen, die sich spezifisch auf Kunstwerke beziehen, nicht möglich. Stiftung Bröhan Museum: Objekt 1                         Objekt 2                        Objekt 3 2008            Teeservice G. Duwe               Dose Glasfachschule Stein-      Schale um 1915, schönau                         J. Löhnert 2009            Plastik Aqua von W.E. Schade     Keramikschale                   Leopardengruppe KPM 2010            Trinkglas geschliffen            Sektschale P. Behrens           Elefantenvase 2011            Girandolenpaar                   Zebragruppe Anton Pucheg-       Bodenvase "Hochzeitszug"                   ger 2012            Griechinnen                      Vase, KPM                       Kaukasierin "Hochzeitszug"                                                   "Hochzeitszug" 2013            Plakat "Job"                     Anrichte H. Vogeler             Stadtbahngitter, Entwurf Otto A. Mucha                                                         Wagner 2014            Bruno Paul, Stuhl T596           Standuhr Modell T / Entwurf Etagere Ombelles 1903 / E. Bruno Paul                      Gallé Georg Kolbe Museum:                                          Schwules Museum: Keine Angabe.                                                Ankauf der Sammlung Sternweiler (2008). Bauhaus-Archiv:                                              Werkbundarchiv – Museum der Dinge Berlin: Die drei wichtigsten Ankäufe:                                - Frankfurter Küche / historisches Ensemble von - László Moholy-Nagy: Abstufungen (Variante zu:                  1928 (Ankauf 2009). Konstruktion C VIII), 60,2 x 44 cm, Lithografie          - Ensemble von Küchenmöbeln / Maschinen- auf Velin, 1923.                                             Möbelprogramm von dem Werkbund-Entwerfer - Mies van der Rohe: Haus Hubbe Magdeburg: 12                    Richard Riemerschmid, um 1910 (Ankauf 2013). Entwurfsskizzen, Tinte auf weißem Durchschlag-           - Konvolut Produkte von historischen Werkbund- papier, 1934-1935.                                           Firmen / Werkbund-Gestaltern, (Ankauf 2013). - Alma Siedhoff-Buscher: Großes Schiffsbauspiel, Holzbausteine, farbig lackiert, 1923. Die drei umfangreichsten Ankäufe:                            3. Wie hat sich der Ankaufsetat der Kunstämter bzw. - Teilnachlass Heinrich- Koch, Farbentwürfe für          Museen und Galerien der Berliner Bezirke in den Jahren Bauhausbauten und Fotografien.                       2008 bis 2014 entwickelt (gegliedert nach Bezirken und - Konvolut „Loheland-Werkstätten“, Fotografien           Jahren)? - Margarete Schütte-Lihotzky: Frankfurter Küche, Original Einbauküche von 1927, Holz, lackiert.           Zu 3.: Die Bezirke haben Antworten zu den Fragen 3., 4., 5. und 6. übermittelt. Das Ergebnis ist in der Anlage 1 Käthe-Kollwitz-Museum Berlin:                            dokumentiert. Das Museum hat zwischen 2008 und 2014 nur zwei Ankäufe getätigt, und zwar Holzschnitte des wichti- gen Zyklus „Krieg“.                                          4. In welchem Umfang wurden in diesem Zeitraum für die jeweiligen Einrichtungen Ankäufe aus Drittmitteln Brücke-Museum:                                           realisiert (gegliedert nach Einrichtungen und Jahren, bitte 2011: Erich Heckel – Zeichnung.                          Herkunft der Mittel benennen)? 2012: Max Pechstein – zwei Radierungen der Serie Russisches Ballett.                                          Zu 4.: Das Umfrage-Ergebnis für die Bezirke ist in 2013: Ernst Ludwig Kirchner – drei Zeichnungen aus       der Anlage 1 dokumentiert. der Sammlung Karsch. 2
2

Abgeordnetenhaus Berlin – 17. Wahlperiode                                                          Drucksache 17 / 16 746 Zu Herkunft und Umfang der Mittel haben die ande-            Werkbundarchiv – Museum der Dinge Berlin: ren Einrichtungen angegeben:                                     Es wird vor allem versucht, Spenden für Ankäufe zu akquirieren. Im Einzelnen sind an Drittmitteln hervor- Berlinische Galerie:                                         zuheben: 2008: 395.380 €; 2009: 596.004 €; 2010: 205.532 €;           - der Ankauf der Frankfurter Küche mit Mitteln der 2011: 183.416 €; 2012: 141.998 €; 2013: 398.825 €;               Stiftung Preußische Seehandlung und einer priva- 2014: 380.725 € (Angaben zur Herkunft der Mittel                 ten Spende. siehe Anlage 2).                                             - einzelne Ankäufe von Ausstellungsobjekten aus Projektmitteln des Hauptstadtkulturfonds in Stiftung Stadtmuseum Berlin:                                     2007/08 und in 2014. 2007-2010: Ernst v. Siemens Kunststiftung, Förder- verein der Freunde und Förderer des Stadtmuseums Berlin, Land Berlin für C. E. Biermann „Borsig’s Ma-         5. In welchem Umfang wurden in diesem Zeitraum schinenbau-Anstalt zu Berlin“, 1847.                     die jeweiligen Einrichtungen mit Schenkungen bedacht (gegliedert nach Einrichtungen und Jahren)? 2008-2014: Land Berlin, Förderverein der Freunde und Förderer des Stadtmuseums, Künstlerförderung             Zu 5.: Das Umfrage-Ergebnis für die Bezirke ist in des Landes Berlin und Spendenmittel. (Angabe zur         der Anlage 1 dokumentiert. Höhe der Mittel siehe Anlage 3). Zum Umfang der Schenkungen haben die anderen Stiftung Bröhan Museum:                                  Einrichtungen angegeben: Keine Ankäufe aus Drittmitteln im fraglichen Zeit- raum. Die Ernst von Siemens Kunststiftung hat Werke          Berlinische Galerie: angekauft, die der Stiftung als Dauerleihgabe zur Ver-       2008: 544.950 €; 2009: 1.910.775 €; 2010: 471.384 €; fügung stehen.                                               2011: 571.095 €; 2012: 548.594 €; 2013: 134.103 €; 2014: 445.578 € (nähere Angaben zur Berlinischen Georg Kolbe Museum:                                          Galerie siehe Anlage 2). Erwerbungen des Freundeskreises, 2008 für 28.000 €, 2009 für 1.000 €, 2010 für 200 €, 2011 für 4.000 €,          Stiftung Stadtmuseum Berlin: 2012 für 4.000 €, 2013 für 10.000 €, darüber hinaus          In den vergangenen Jahren (2008-2014) erhielt die keine weiteren Ankäufe aus Drittmitteln im fraglichen        Sammlung des Stadtmuseums 14.569 Neuzugänge als Zeitraum.                                                    Schenkungen, darunter bedeutende Werke wie das Lenbach-Porträt des Historikers Theodor Mommsen Bauhaus-Archiv:                                              von der Freien Universität Berlin. Dazu zählen auch Der Umfang der Ankäufe aus Drittmitteln beläuft sich         die Werke der jährlichen Preisträger der Werner- auf 165.650,40 Euro. Die Drittmittel stammten von            Viktor-Toeffling-Stiftung. der Kulturstiftung der Länder, der Ernst von Siemens Stiftung, dem bauhaus-shop sowie der Ostdeutsche             Stiftung Bröhan Museum: Sparkassen Stiftung.                                         2008: 16; 2009: 21; 2010: 15; 2011: 10; 2012: 26; 2013: 10; 2014: 43. Käthe-Kollwitz-Museum: Im fraglichen Zeitraum wurden durch den Freundes-            Georg Kolbe Museum: kreis des Käthe-Kollwitz-Museums zwei Blätter der            2008: Zwei Schenkungen im Wert von 6.000 €. Folge „Krieg“ für 7.500 € erworben, die dem Museum           2009: Zwei Schenkungen im Wert von 2.500 €. als Dauerleihgaben zur Verfügung gestellt werden.            2010: Vier Schenkungen im Wert von 13.200 €. 2011: 32 Schenkungen im Wert von 55.380 €. Brücke-Museum:                                               2012: Sieben Schenkungen im Wert von 18.350 €. 2011: Ankauf von drei Werken unterstützt durch den           2013: Sechs Schenkungen im Wert von 10.400 €. Fördererkreis im Umfang von 41.000 €.                        2014: keine Angabe. 2012: Ankauf von Max Pechstein – zwei Radierungen            Bauhaus-Archiv: der Serie Russisches Ballett (Fördererkreis).                Der Umfang der Schenkungen im Zeitraum von 2008- 2014 betrug 4127 Objekte. 2013: Ankauf von drei Werken aus der Sammlung Karsch aus Mitteln der Stiftung Deutsche Klassenlot-         Käthe-Kollwitz-Museum: terie im Umfang von 1.445.000 €.                             Zwischen 2008 und 2014 gab es eine Schenkung von 16 Blatt Druckgraphik im Wert von 13.300 €. Schwules Museum: Der Ankauf der Sammlung Sternweiler 2008 in Höhe             Brücke-Museum: von 220.000 € wurde über einen Zuschuss der Kultur-          2008: Ernst Ludwig Kirchner - sechs Zeichnungen, stiftung der Länder in Höhe von 50.000 € sowie über          gestiftet von der Roman-Ketterer-Stiftung, Wert ca. private Spenden finanziert.                                  277.000 €. 3
3

Abgeordnetenhaus Berlin – 17. Wahlperiode                                                            Drucksache 17 / 16 746 2014: Max Kaus, ein Gemälde, gestiftet von der Fami-        Georg Kolbe Museum: lie Reidemeister, Wert ca. 300.000 €.                       Freundeskreis des Georg Kolbe Museums. Schwules Museum:                                            Bauhaus-Archiv: 2009: Schenkung Piske – Geldschenkung in Höhe von           Das Bauhaus-Archiv ist ein gemeinnütziger und priva- 46.000 € sowie Sammlung (ohne Schätzwert).                  ter Verein (e.V.). Er fungiert als Träger des Museums. Ein Förderverein des Bauhaus-Archivs existiert nicht. 2010: Schenkung Brucks – Geldschenkung in Höhe              Innerhalb des Vereins gibt es einzelne Mitglieder, die von 294.000 € sowie Sammlung (ohne Schätzwert);             sich als Fördermitglieder verstehen. Nachlass Jens Hass – Sammlung ohne Schätzwert. Käthe-Kollwitz-Museum: 2008-2014: ca. 50 Sachspenden im Gesamtwert von             Freundeskreis des Käthe-Kollwitz-Museums. max. 25.000 €. Brücke-Museum: Werkbundarchiv – Museum der Dinge Berlin:                   Fördererkreis Brücke-Museum e.V. Die Institution erhält regelmäßig viele Einzelobjekte und Dokumente sowie ganze Sammlungen als Schen-             Schwules Museum: kungen. Die Anzahl von Objekten und Dokumenten,             Verein der Freundinnen und Freunde des Schwulen die als Schenkungen erworben wurden, betrugen in            Museums in Berlin e. V. 2010: 1.106 Objekte und Dokumente bzw. Konvolute.               Werkbundarchiv – Museum der Dinge Berlin: 2011: 680 Objekte und Dokumente bzw. Konvolute.                 Die Institution bietet seit 2006 Dingpflegschaften zu 2012: 1.807 Objekte und Dokumente bzw. Konvolute.               Objekten des Museums an. Die Gruppe der Dingpfle- 2013: 840 Objekte und Dokumente bzw. Konvolute.                 gerinnen und Dingpfleger hat den Charakter eines 2014: 744 Objekte und Dokumente bzw. Konvolute.                 Freundeskreises. Bei der Dingpflegschaft handelt es sich um eine Art Patenschaft, die mit einem jährlichen Spendenbetrag verbunden sind. Die generierten Ein- 6. Welche der jeweiligen Einrichtungen verfügen             nahmen aus diesem Programm werden zweckgebun- über private Freundeskreise bzw. Fördervereine und wie          den für die Pflege und Erweiterung der Sammlung bewertet der Senat deren Stellenwert für die Arbeit und         verwendet. die Wahrnehmung der Museen und Galerien (gegliedert nach Einrichtungen)?                                            Der Senat bewertet die Zusammenarbeit mit den För- dervereinen als höchst gewinnbringend für den Erhalt Zu 6.: Das Umfrage-Ergebnis für die Bezirke ist in          und den Bestand der Kultureinrichtungen. Nicht zu- der Anlage 1 dokumentiert.                                      letzt verdankt Berlin dieser wertschöpfenden Arbeit von Fördervereinen Prestige und überregionale Aner- Zu den Freundeskreisen und Fördervereinen haben die         kennung. anderen Einrichtungen angegeben: Berlinische Galerie:                                        7. Wie haben sich die von der DKLB bereitgestellten Förderverein Berlinische Galerie e.V.                   Ankaufsmittel in diesem Zeitraum insgesamt entwickelt und mit welcher Entwicklung rechnet der Senat für die Stiftung Stadtmuseum Berlin:                            kommenden Jahre? Verein der Freunde und Förderer des Stadtmuseums Berlin e.V.                                                 Zu 7.: In diesem Zeitraum erhielt die Senatskanzlei – Förderkreis Museum Knoblauchhaus e.V.                   Kulturelle Angelegenheiten (Skzl-Kult) jährlich eine Fördererkreis Museumsdorf Düppel e.V.                   Zuwendung in Höhe von 250.000 € für den Ankauf von Verein der Freunde des Museums Kindheit und Ju-         Kunstwerken zeitgenössischer bildender Künstlerinnen gend im Stadtmuseum e.V.                                und Künstler. Diese Mittel wurden jedes Jahr von Seiten Fördererkreis der naturwissenschaftlichen Museen        der Skzl-Kult neu beantragt und vom Stiftungsrat wurde Berlins e.V.                                            darüber positiv entschieden. Künftigen Entscheidungen des Stiftungsrates kann der Senat nicht vorgreifen. Stiftung Deutsches Technikmuseum Berlin: Freunde und Förderer des Deutschen Technikmuse-             Über diese Zuwendung hinaus hat sich die Stiftung ums Berlin e.V.                                         Deutsche Klassenlotterie immer wieder durch Mitfinan- Fördererkreis Zucker-Museum e.V.                        zierung am Erwerb wichtiger Kunstwerke beteiligt, im Förderverein der Archenhold-Sternwarte und des          Einzelnen: Zeiss-Großplanetariums Berlin e.V. 2008: Mitfinanzierung Gemälde „Kopf eines Knaben“ Stiftung Bröhan Museum:                                     von Gottlieb Schick in Höhe von 100.000 € für die Freunde des Bröhan-Museums e.V.                             Stiftung Preußischer Kulturbesitz. 4
4

Abgeordnetenhaus Berlin – 17. Wahlperiode               Drucksache 17 / 16 746 2008: Mitfinanzierung Ankauf der Lack-Sammlung von Klaus F. Naumann in Höhe von 1.000.000 € für das Museum für Asiatische Kunst. 2010: Mitfinanzierung Monumentalgemälde „Abend über Potsdam“ von Lotte Laserstein in Höhe von 100.000 € für die Sammlung Neue Nationalgalerie. 2013: Mitfinanzierung Reisetagebücher Alexander von Humboldt in Höhe von 3.000.000 € für die Stif- tung Preußischer Kulturbesitz. 2014: Mitfinanzierung Erwerb des Werkes „Treblin- ka“ aus dem Zyklus „Schwarzes Zimmer“ von Wolf Vostell sowie Ankauf des Nachlasses von Otto Ma- ximilian Umbehr (UMBO) in Höhe von 843.400 € für die Berlinische Galerie. Berlin, den 20. August 2015 In Vertretung Tim Renner Der Regierende Bürgermeister von Berlin Senatskanzlei – Kulturelle Angelegenheiten (Eingang beim Abgeordnetenhaus am 21. Aug. 2015) 5
5

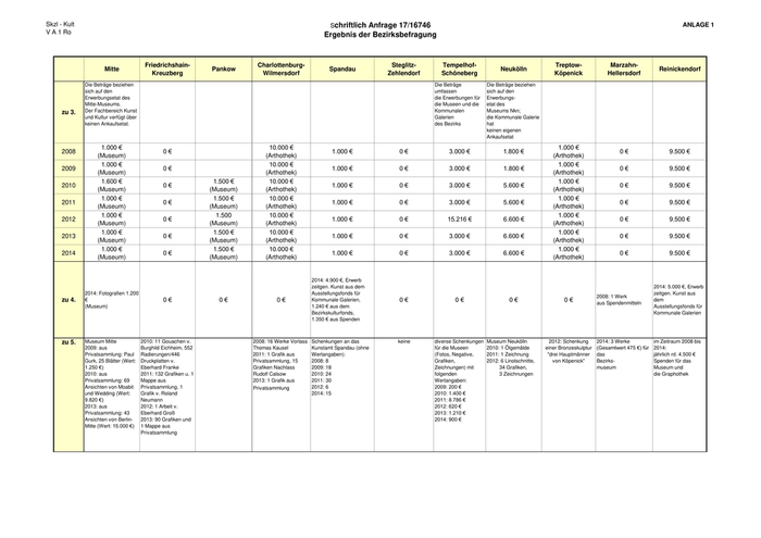
Skzl - Kult                                                                                          Schriftlich   Anfrage 17/16746                                                                                                       ANLAGE 1 V A 1 Ro                                                                                          Ergebnis der Bezirksbefragung Friedrichshain-                  Charlottenburg-                                   Steglitz-      Tempelhof-                                  Treptow-              Marzahn- Mitte                                   Pankow                                 Spandau                                                   Neukölln                                                        Reinickendorf Kreuzberg                       Wilmersdorf                                    Zehlendorf      Schöneberg                                  Köpenick             Hellersdorf Die Beträge beziehen                                                                                                    Die Beträge         Die Beträge beziehen sich auf den                                                                                                            umfassen            sich auf den Erwerbungsetat des                                                                                                      die Erwerbungen für Erwerbungs- Mitte-Museums.                                                                                                          die Museen und die  etat des zu 3. Der Fachbereich Kunst                                                                                                   Kommunalen          Museums Nkn; und Kultur verfügt über                                                                                                 Galerien            die Kommunale Galerie keinen Ankaufsetat.                                                                                                     des Bezirks         hat keinen eigenen Ankaufsetat 1.000 €                                                 10.000 €                                                                                                 1.000 € 2008                                     0€                                                    1.000 €                0€              3.000 €             1.800 €                                      0€                    9.500 € (Museum)                                                 (Arthothek)                                                                                             (Arthothek) 1.000 €                                                 10.000 €                                                                                                 1.000 € 2009                                     0€                                                    1.000 €                0€              3.000 €             1.800 €                                      0€                    9.500 € (Museum)                                                 (Arthothek)                                                                                             (Arthothek) 1.600 €                                  1.500 €        10.000 €                                                                                                 1.000 € 2010                                     0€                                                    1.000 €                0€              3.000 €             5.600 €                                      0€                    9.500 € (Museum)                                  (Museum)       (Arthothek)                                                                                             (Arthothek) 1.000 €                                  1.500 €        10.000 €                                                                                                 1.000 € 2011                                     0€                                                    1.000 €                0€              3.000 €             5.600 €                                      0€                    9.500 € (Museum)                                  (Museum)       (Arthothek)                                                                                             (Arthothek) 1.000 €                                   1.500         10.000 €                                                                                                 1.000 € 2012                                     0€                                                    1.000 €                0€             15.216 €             6.600 €                                      0€                    9.500 € (Museum)                                  (Museum)       (Arthothek)                                                                                             (Arthothek) 1.000 €                                  1.500 €        10.000 €                                                                                                 1.000 € 2013                                     0€                                                    1.000 €                0€              3.000 €             6.600 €                                      0€                    9.500 € (Museum)                                  (Museum)       (Arthothek)                                                                                             (Arthothek) 1.000 €                                  1.500 €        10.000 €                                                                                                 1.000 € 2014                                     0€                                                    1.000 €                0€              3.000 €             6.600 €                                      0€                    9.500 € (Museum)                                  (Museum)       (Arthothek)                                                                                             (Arthothek) 2014: 4.900 €, Erwerb zeitgen. Kunst aus dem                                                                                                         2014: 5.000 €, Erwerb 2014: Fotografien 1.200                                                         Ausstellungsfonds für                                                                                                          zeitgen. Kunst aus 2008: 1 Werk zu 4. €                                  0€              0€              0€           Kommunale Galerien,             0€                0€                  0€                    0€          aus Spendenmitteln dem (Museum)                                                                        1.240 € aus dem                                                                                                                Ausstellungsfonds für Bezirkskulturfonds,                                                                                                            Kommunale Galerien 1.350 € aus Spenden zu 5. Museum Mitte            2010: 11 Gouachen v.             2008: 16 Werke Vorlass Schenkungen an das             keine    diverse Schenkungen Museum Neukölln          2012: Schenkung    2014: 3 Werke          im Zeitraum 2008 bis 2009: aus               Burghild Eichheim, 552           Thomas Kausel          Kunstamt Spandau (ohne                  für die Museen      2010: 1 Ölgemälde      einer Bronzeskulptur (Gesamtwert 475 €) für 2014: Privatsammlung: Paul    Radierungen/446                  2011: 1 Grafik aus     Wertangaben):                           (Fotos, Negative,   2011: 1 Zeichnung       "drei Hauptmänner   das                    jährlich rd. 4.500 € Gurk, 25 Blätter (Wert: Druckplatten v.                  Privatsammlung, 15     2008: 8                                 Grafiken,           2012: 6 Linolschnitte,    von Köpenick"     Bezirks-               Spenden für das 1.250 €)                Eberhard Franke                  Grafiken Nachlass      2009: 18                                Zeichnungen) mit          34 Grafiken,                          museum                 Museum und 2010: aus               2011: 132 Grafiken u. 1          Rudolf Calsow          2010: 24                                folgenden                 3 Zeichnungen                                                die Graphothek Privatsammlung: 69      Mappe aus                        2013: 1 Grafik aus     2011: 30                                Wertangaben: Ansichten von Moabit    Privatsammlung, 1                Privatsammlung         2012: 6                                 2009: 200 € und Wedding (Wert:      Grafik v. Roland                                        2014: 15                                2010: 1.400 € 9.820 €)                Neumann                                                                                         2011: 8.786 € 2013: aus               2012: 1 Arbeit v.                                                                               2012: 620 € Privatsammlung: 43      Eberhard Groß                                                                                   2013: 1.210 € Ansichten von Berlin-   2013: 90 Grafiken und                                                                           2014: 900 € Mitte (Wert: 15.000 €)  1 Mappe aus Privatsammlung
6

Skzl - Kult                                                                                        Schriftlich Anfrage 17/16746                                                                               ANLAGE 1 V A 1 Ro                                                                                          Ergebnis der Bezirksbefragung Friedrichshain-                             Charlottenburg-                    Steglitz-      Tempelhof-                   Treptow-       Marzahn- Mitte                                       Pankow                            Spandau                                              Neukölln                                    Reinickendorf Kreuzberg                                  Wilmersdorf                     Zehlendorf     Schöneberg                    Köpenick      Hellersdorf zu 6. 1. Freundeskreis Mitte- FHXB-Museum: Seit     1. Freundeskreise der Freundeskreis                          keine    Die Museen werden         keine    keine  Bezirks-               1. Freunde der Museum                  1978 Verein           Galerie Parterre und  Kommunale                                       seit 1996 vom                             museum:                Graphothek e.V. 2. Förderverein der     zur Erforschung und   Galerie Pankow        Galerie e.V.                                    Förderverein                              Unterstützung          2. Förderkreis für Klosterruine e.V.       Darstellung           2. Museum Pankow:                                                     Schöneberger                              durch den Heimatverein Bildung, Kultur 3. Kunstverein          der Geschichte        Freundeskreis der                                                     Kulturarbeitskreis e.V.                   Marzahn-               und internationale Tiergarten              Kreuzbergs e.V. Der   Chronik Pankow e.V.,                                                  unterstützt.                              Hellersdorf e.V.       Beziehungen e.V. Verein hat große      Weißenseer                                                            Für die Kommunalen Verdienste bei der    Heimatfreunde e.V.                                                    Galerien wird die Errichtung und in der                                                                       Bildung eines Unterstützung der                                                                           Fördervereins Arbeit des Museums                                                                          angestrebt. erworben.
7

Schriftliche Anfrage S17/16746                                                                                                                                                                           ANLAGE 2 1.     Wie hat sich der Ankaufsetat der Berliner Museen und Galerien einschließlich der Museumsstiftungen in den Jahren 2008 bis 2014 entwickelt (gegliedert nach Einrichtungen und Jahren)? Die Berlinische Galerie (BG) hat keinen eigenen Ankaufsetat. Durch die selbsterwirtschafteten Einnahmen sind aber Ankäufe möglich gewesen. 2008             2009                2010           2011           2012          2013        2014 Haushalt BG                                         3.800 €        97.724 €           56.240 €       107.940 €       84.750 €     190.169 €     72.166 € 2.     Welches waren die jeweils wichtigsten bzw. umfangreichsten drei Ankäufe dieser Museen und Galerien in diesem Zeitraum (gegliedert nach Einrichtungen und Jahren)? Baselitz - Ein moderner Maler                 320.000,00 € Vostell - Auschwitz Scheinwerfer              125.000,00 € Vostell - Treblinka                           125.000,00 € 4.     In welchem Umfang wurden in diesem Zeitraum für die jeweiligen Einrichtungen Ankäufe aus Drittmitteln realisiert (gegliedert nach Einrichtungen und Jahren, bitte Herkunft der Mittel benennen)? 2008             2009                2010           2011           2012          2013        2014 Bundesverwaltungsamt Köln                                         107.000 € Deutsche Bahn                                                     100.000 € Deutsche Klassenlotterie Berlin (DKLB)           207.280 €        256.700 €          152.517 €       101.520 €      134.698 €     397.075 €    380.725 € Förderverein BG                                  111.000 €           8.630 €          15.055 € Gasag                                                                                 15.470 € Ilse Augustin Stiftung                                                                                 7.600 €                       1.750 € Kulturstiftung der Länder                                         106.670 € Kulturverwaltung Land Berlin                      71.500 €                                            34.000 €          500 € Künstlerförderung Senat                                                114 € Land Berlin                                                          6.330 €            1.500 € private Spendenmittel                                 800 €          8.160 €          20.990 €        14.396 € Projektmittel Provenienzforschung                                                                        800 € Stiftung Preußische Seehandlung                     4.800 €          2.400 €                          14.000 €        6.800 € Vattenfall                                                                                            11.100 € 395.380 €        596.004 €          205.532 €       183.416 €      141.998 €     398.825 €    380.725 € 5.     In welchem Umfang wurden in diesem Zeitraum die jeweiligen Einrichtungen mit Schenkungen bedacht (gegliedert nach Einrichtungen und Jahren)? 2008             2009                2010           2011           2012          2013        2014 Schenkungen                                      544.950 €      1.910.775 €          471.384 €       571.095 €      548.594 €     134.103 €    445.578 € Zustiftungen                                     430.250 €      1.652.500 €          668.950 €       123.500 €      105.500 €       55.450 € 1.211.775 €
8

Schriftliche Anfrage 17/16746                                            ANLAGE 3 Stiftung Stadtmuseum Berlin: Zu Frage 4.: 2008: Gesamt 220.000,00 €. Verteilt auf 150.000,00 € Kulturstiftung der Länder für Erwerbung E. Biermann „Borsig’s Maschinenbauanstalt“; 30.000,00 € Verein der Freunde und Förderer des Stadtmuseums Berlin für Erwerbung E. Biermann „Borsig’s Maschinenbauanstalt“; 40.000,00 € Künstlerförderung des Landes Berlin. 2009: Gesamt 99.500,00 €. Verteilt auf 20.000,00 € Verein der Freunde und Förderer des Stadtmuseums Berlin für Erwerbung E. Biermann „Borsig’s Maschinenbauanstalt“; 39.500,00 € für Erwerbung Porträt Krausnick und Urkunde vom Land Berlin; 40.000,00 € Künstlerförderung des Landes Berlin. 2010: Gesamt 60.000,00 €. Verteilt auf 20.000,00 € Verein der Freunde und Förderer des Stadtmuseums Berlin für Erwerbung E. Biermann „Borsig’s Maschinenbauanstalt“; 40.000,00 € Künstlerförderung des Landes Berlin. 2011: Gesamt 40.000,00 € aus Künstlerförderung des Landes Berlin. 2012: Gesamt 45.000,00 € aus Künstlerförderung des Landes Berlin. 2013: Gesamt 92.000,00 €. Verteilt auf Künstlerförderung des Landes Berlin = 45.000,00 €; Erwerbungen des Vereins der Freunde und Förderer des Stadtmuseums in Höhe von 7.000,00 €; Zuschuss des Landes Berlin für B. Loftus in Höhe von 25.000,00 €; Eine faire und gerechte Lösung = 15.000,00 €. 2014: Gesamt 47.150,00 €. Verteilt auf 45.000,00 € aus Künstlerförderung des Landes Berlin und 2 Erwerbungen aus Spendenmitteln in Höhe von 2.150,00 €.
9