Lehrermangel (VI): Pflichtstunden, Mehrarbeit, Teilzeitkräfte und Überlastungsanzeigen

/ 17
PDF herunterladen
Drucksache 18 / 13              386 Schriftliche Anfrage 18. Wahlperiode Schriftliche Anfrage des Abgeordneten Franz Kerker (AfD) vom 02. Februar 2018 (Eingang beim Abgeordnetenhaus am 02. Februar 2018) zum Thema: Lehrermangel VI: Pflichtstunden, Mehrarbeit, Teilzeitkräfte und Überlastungs- anzeigen und Antwort vom 20. Februar 2018 (Eingang beim Abgeordnetenhaus am 22. Feb. 2018) Die Drucksachen des Abgeordnetenhauses sind bei der Kulturbuch-Verlag GmbH zu beziehen. Hausanschrift: Sprosserweg 3, 12351 Berlin-Buckow · Postanschrift: Postfach 47 04 49, 12313 Berlin, Telefon: 6 61 84 84; Telefax: 6 61 78 28.
1

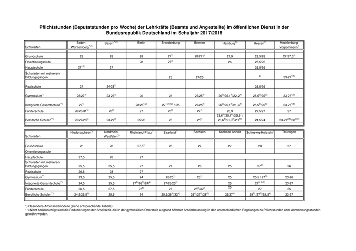
Senatsverwaltung für Bildung, Jugend und Familie Herrn Abgeordneten Franz Kerker (AfD) über den Präsidenten des Abgeordnetenhauses von Berlin über Senatskanzlei - G Sen - Antwort auf die Schriftliche Anfrage Nr. 18/13386 vom 02. Februar 2018 über Lehrermangel VI: Pflichtstunden, Mehrarbeit, Teilzeitkräfte und Überlastungs- anzeigen ___________________________________________________________________ Im Namen des Senats von Berlin beantworte ich Ihre Schriftliche Anfrage wie folgt: 1.) Wie hat sich die Zahl der Pflichtstunden der Lehrkräfte (Deputatstunden pro Woche) in Berlin seit 1950 entwickelt? (Bitte nach Schulform aufschlüsseln) Zu 1.: Eine historische Auflistung der Entwicklung der Pflichtstundenzahlen liegt nicht vor. Die letzte Veränderung der Pflichtstunden erfolgte zum Schuljahr 2003/2004. 2004/2003 2003/2002 Grundstufe (Grundschulen)                   28        27,5 Gymnasium                                   26         24 Hauptschule                                 27        26,5 Realschule                                  27        26,5 Gesamtschule                                26         24 Sonderschulen                               27        25,5 Berufsbildende Schulen                      26         24 Zweiter Bildungsweg                         26         24 2.) Wie verhält sich die Zahl der Pflichtstunden der Lehrkräfte (Deputatstunden pro Woche) in Berlin im Ver- gleich zu anderen Bundesländern? Zu 2.: Die Daten können der beigefügten Anlage entnommen werden.
2

-2- 3.) Wird Mehrarbeit durch geringere Heranziehung zu anderen Aufgaben zeitlich ausgeglichen? Zu 3.: Schriftlich angeordnete oder genehmigte Mehrarbeit soll nach Möglichkeit durch Dienstbe- freiung innerhalb eines Jahres ausgeglichen werden. 4.) Wann wird die Mehrarbeit der Lehrkräfte bezahlt und in welchem Fall ist Mehrarbeit der Lehrkräfte vergü- tungsfrei? Zu 4.: Aus der Verordnung über die Gewährung von Mehrarbeitsvergütung für Beamte (MVergV) ergibt sich, dass die Vergütung nur gewährt wird, wenn die Mehrarbeit von einem Beam- ten geleistet wurde, der der Arbeitszeitregelung für Beamte unterliegt, und sie 1. schriftlich angeordnet oder genehmigt wurde, 2. die sich aus der regelmäßigen Arbeitszeit ergebende jeweilige monatliche Arbeitszeit oder, soweit die Lehrkraft nur während eines Teils eines Kalendermonats Dienst leistet, die anteilige monatliche Arbeitszeit um mehr als drei Unterrichtstunden im Kalendermo- nat übersteigt und 3. aus zwingenden dienstlichen Gründen nicht durch Dienstbefreiung innerhalb eines Jah- res ausgeglichen werden kann. Sowohl Vollbeschäftigte als auch Teilzeitbeschäftigte sind nach den für sie geltenden Be- schäftigungsbedingungen gleichermaßen verpflichtet, zunächst einen identischen relativen Anteil ihres Beschäftigungsumfangs an ausgleichsfreien Mehrarbeitsstunden zu leisten, bevor nach Überschreiten dieser Anzahl alle geleisteten Stunden - einschließlich der zu- nächst ausgleichsfreien - vergütet werden, wenn Freizeitausgleich vorab nicht gewährt werden konnte. Teilzeitbeschäftigte erhalten für ausgleichpflichtige Mehrarbeitsstunden anteilige Besoldung aus ihrer Besoldungsgruppe bis die Grenze der Vollbeschäftigung erreicht ist, sofern eine Günstigkeitsprüfung nicht ergibt, dass die Mehrarbeitsvergütung nach der Mehrarbeitsvergütungsverordnung höher liegt als die Bruttoanteilsvergütung. In diesem Fall ist Mehrarbeitsvergütung zu zahlen. Danach erhalten Teilzeitbeschäftigte - ebenso wie Vollbeschäftigte - die Vergütungssätze nach der Mehrarbeitsvergütungsver- ordnung. Sofern ein Freizeitausgleich nicht gewährt werden kann, wird die Mehrarbeit ver- gütet. Die Vergütung richtet sich nach § 9 Abs. 2 Arbeitszeitverordnung (AZVO) i. V. m. § 48 Bundesbesoldungsgesetz und der Mehrarbeitsvergütungsverordnung Berlin. Für Tarifbeschäftigte gilt, dass, solange die Pflichtstundenzahl einer vollbeschäftigten Lehrkraft nicht erreicht ist, teilzeitbeschäftigte Lehrkräfte, die Mehrarbeit (ohne Freizeit- ausgleich) leisten, auch für die ersten drei Mehrarbeitsstunden einen Anspruch auf anteili- ges Entgelt haben. Die sogenannte Bagatellgrenze kommt erst zur Anwendung, wenn die teilzeitbeschäftigten Lehrkräfte so viele Stunden Mehrarbeit im Monat leisten, dass die Grenze zur Vollbeschäftigung überschritten wird. 5.) Gibt es eine Obergrenze für Mehrarbeit von Lehrkräften?
3

-3- Zu 5.: Nach § 3 Absatz 2 MVergV wird die Vergütung höchstens bis zu 480 Mehrarbeitsstunden im Kalenderjahr gewährt, wobei 24 Unterrichtsstunden als 40 Mehrarbeitsstunden gelten (§ 5 Absatz 2 Nr. 2 MVergV). 6.) Zu wie vielen Stunden dürfen teilzeitbeschäftigte Lehrer in der Summe ihrer Tätigkeiten (Unterricht, Vor- und Nachbereitung des Unterrichts, Teilnahme an Klassen- und Schulkonferenzen, Elterngespräche, Vertre- tungsstunden etc., aber auch Funktionstätigkeiten) zur Dienstleistung herangezogen werden? Zu 6.: Teilzeitbeschäftigte Lehrkräfte werden entsprechend ihrer individuellen Teilzeitquote zur Dienstleistung herangezogen. Die Stundenanzahl richtet sich nach der jeweiligen Teilzeit- quote. 7.) Wird der Teilzeitquote bei Übertragung von Funktionstätigkeiten in Berlin konsequent Rechnung getra- gen? Erfolgt ein zeitlicher Ausgleich durch entsprechend geringere Heranziehung zu anderen Aufgaben? Zu 7.: Den Schulleitungen wurde eine Handlungsempfehlung zur Verfügung gestellt, um teilzeit- beschäftigte Lehrkräfte anteilig zu entlasten. Dies schließt auch Funktionsstelleninhabe- rinnen/Funktionsstelleninhaber ein. 8.) Welche Konsequenzen zog der Senat aus dem Urteil des Bundesverwaltungsgerichts vom 16. Juli 2015 (BVerwG 2 C 16.14) Zu 8.: Den Schulleitungen wurde eine Handlungsempfehlung zur Verfügung gestellt, um teilzeit- beschäftigte Lehrkräfte anteilig zu entlasten. 9.) Welche Anreize wurden in Berlin für Teilzeitkräfte, ihr Stundenvolumen zu erhöhen, geschaffen? 12.) Plant der Senat die Mindestverpflichtung für Teilzeitkräfte zu erhöhen? Wenn ja: auf wieviel Prozent des normalen Stundendeputats? Zu 9. und 12.: Gegenwärtig wird der Umfang der Teilzeitbeschäftigung von Lehrkräften, soweit diese nicht aus familienpolitischen Gründen oder zur Pflege von Angehörigen in Anspruch ge- nommen wird, näher betrachtet. Hierzu liegen derzeit keine Ergebnisse vor. 10.) Welche Anreize will der Senat für Teilzeitkräfte, ihr Stundenvolumen zu erhöhen, schaffen? Zu 10.: Es gibt keine Planungen zu einem Anreizsystem zur Erhöhung des Stundenvolumens von Teilzeitkräften.
4

-4- 11.) Wie viele Stunden müssen teilzeitbeschäftigte Lehrer mindestens unterrichten? Zu 11.: Bei beamteten Lehrkräften gilt § 54 Landesbeamtengesetz: Einer beamteten Lehrkraft soll auf Antrag Teilzeitbeschäftigung bis zur Hälfte der regel- mäßigen Arbeitszeit und bis zur jeweils beantragten Dauer bewilligt werden, soweit dienst- liche Belange nicht entgegenstehen. Stehen zwingende dienstliche Belange nicht entgegen, ist einer Beamtin oder einem Be- amten mit Dienstbezügen auf Antrag Teilzeitbeschäftigung bis zur Hälfte der regelmäßigen Arbeitszeit zu bewilligen, solange sie oder er 1. mindestens ein Kind unter 18 Jahren oder 2. eine pflegebedürftige sonstige Angehörige oder einen pflegebedürftigen sonstigen Angehörigen tatsächlich betreut oder pflegt, Einer Beamtin oder einem Beamten mit Dienstbezügen kann Teilzeitbeschäftigung mit weniger als der Hälfte der regelmäßigen Arbeitszeit bis zur Dauer von zwölf Jahren bewil- ligt werden, solange sie oder er 1. mindestens ein Kind unter 18 Jahren oder 2. eine pflegebedürftige sonstige Angehörige oder einen pflegebedürftigen sonstigen Angehörigen tatsächlich betreut oder pflegt und zwingende dienstliche Belange nicht entgegenstehen; jedoch sind mindestens 30 vom Hundert der regelmäßigen Arbeitszeit zu erbringen. Bei Tarifbeschäftigten gilt § 11 TV-L: Bei Neuabschluss mit Tarifbeschäftigten kann individuell eine Teilzeitbeschäftigung ver- traglich vereinbart werden. Ansonsten gibt es keine stundenmäßigen Vorgaben. § 11 T V-L besagt, dass bei Beschäf- tigten auf Antrag eine geringere als die vertraglich festgelegte Arbeitszeit vereinbart wer- den soll, wenn sie a) mindestens ein Kind unter 18 Jahren oder b) einen nach ärztlichem Gutachten pflegebedürftigen sonstigen Angehörigen tatsächlich betreuen oder pflegen und dringende dienstliche bzw. betriebliche Belange nicht entgegenstehen. Beschäftigte, die in anderen als den genannten Fällen eine Teilzeitbeschäftigung verein- baren wollen, können von ihrem Arbeitgeber verlangen, dass er mit ihnen die Möglichkeit einer Teilzeitbeschäftigung mit dem Ziel erörtert, zu einer entsprechenden Vereinbarung zu gelangen. 13.) Gelten die Präsenztage am Ende der Sommerferien auch für Teilzeitkräfte? 14.) Hat die Anordnung von zwei weiteren Präsenztagen am Ende der Sommerferien und die Streichung der fünf Arbeitszeitkontotage aus Sicht des Senats die Attraktivität des Lehrerberufs in Berlin erhöht?
5

-5- Zu 13. und 14.: Ja, die Präsenztage gelten für alle Lehrkräfte. Mit der Einführung der Präsenztage haben die Schulen Zeit für schulinterne Fortbildungen, notwendige pädagogische Konferenzen. Sie ermöglichen so einen gut vorbereiteten Schuljahresanfang und entlasten gleichzeitig von zusätzlichen Ballungen von Terminen in den ersten Schulwochen außerhalb der Unterrichtszeit. Die Einführung der Präsenztage ging einher mit weiteren Veränderungen, zum Beispiel der Ausweitung zur Entlastung lebensälterer Lehrkräfte. 15.) Wie viele Lehrer haben in den letzten Jahren eine Überlastungsanzeige an die Schulleitung, die Schul- aufsicht oder den Senat gerichtet? (Bitte aufschlüsseln nach Schulform, Jahr und Bezirk) Zu 15.: Überlastungsanzeigen von Lehrkräften richten sich an die jeweilige Schulleitung der Ein- zelschule, die die jeweiligen Maßnahmen zur Entlastung trifft. Daten aus den Einzelschu- len werden nicht zentral erhoben. Berlin, den 20. Februar 2018 In Vertretung Mark Rackles Senatsverwaltung für Bildung, Jugend und Familie
6

Sekretariat der Ständigen Konferenz der Kultusminister der Länder in der Bundesrepublik Deutschland IVC DS 1932-5(15)5 Übersicht über die Pflichtstunden der Lehrkräfte an allgemeinbildenden und beruflichen Schulen Ermäßigungen für bestimmte Altersgruppen der Voll- bzw. Teilzeitlehrkräfte Besondere Arbeitszeitmodelle Schuljahr 2017/2018 Stand: September 2017
7

Pflichtstunden (Deputatstunden pro Woche) der Lehrkräfte (Beamte und Angestellte) im öffentlichen Dienst in der Bundesrepublik Deutschland im Schuljahr 2017/2018 Baden-                        *) 1)         Berlin           Brandenburg            Bremen                            1)                      1)         Mecklenburg- Bayern                                                                              Hamburg                  Hessen *)1)                                                                                                                                                        *) Schularten                         Württemberg                                                                                                                                                  Vorpommern Grundschule                                28                   28                    28                  271)              28/271)                  27,9                  28,5/28                27-27,54) Orientierungsstufe                                                                    28                  272)                                        26                   25,5/25 Hauptschule                              271)2)                 27                                                                                                         26,5/26 Schularten mit mehreren 2)                          1)5) Bildungsgängen                                                                                             25                27/25                                                                 23-27 2) Realschule                                 27                24-28                                                                                                         26,5/26 **)                                3)                   2)                                                             3)         2)      3)        4)           3)       3)                  1)5) Gymnasium                               25/27                23-27                    26                   25               27/25           26 /25,1 /22,2              25,5 /25                   23-27 **)               4)                                          1)2)          1 und 2)                     2)         2)      3)        4)           3)       3)                  1)5) Integrierte Gesamtschule                  27                                      28/26             27          / 25        27/25           26 /25,1 /21,4              25,5 /25                   23-27 5)             3)                                         3)                  4) Förderschule                          26/28/31                 26                     27                  25                  27                     26,9                  27,5/27                    27 23,65)/25,16)/23,67)/ **)                             6)                2)                                                          5)               8)      9)    10)                                   2)6)      3)6) Berufliche Schulen                    25/27/28               23-27                  25/26                  25                 25            23,6 /21,9 /21                 24,5/24              23-27      /30 *) Nordrhein-                           *)                *)      Sachsen           Sachsen-Anhalt                                  *)   Thüringen Niedersachsen                              Rheinland-Pfalz        Saarland                                                       Schleswig-Holstein *) Schularten                                                  Westfalen Grundschule                                28                   28                 27,81)                  28                  27                     27                     28                       27 Orientierungsstufe Hauptschule                              27,5                   28                    27 Schularten mit mehreren 5) Bildungsgängen                           25,5                 25,5                    27                   27                  26                     25                    27                        26 Realschule                               26,5                   28                    27 **)                                                                                                1)               1)                                                    1) Gymnasium                                23,5                 25,5                    24               26/25                  26                      25                 25,5 / 27                  23-26 **)                                                    2)    3)    4)                   2)                                                         5) 6) 7) Integrierte Gesamtschule                 24,5                 25,5             27 /26 /24            27/26/25                                         25                   27                       23-27 5)                                    2)     3)               25 Förderschule                             26,5                 27,5                   27                    27              25 /32                                            27                       25 **)                             1)                                                        3)       4)   4)    5)     6)                1)            2)      3)        4) Berufliche Schulen                    24,5/25,5               25,5                    24            25,5/28 /32          26 /27 /28                25/27              28 /27 /25,5                  23-27 *) Besondere Arbeitszeitmodelle (siehe entsprechende Tabelle). **) Nicht berücksichtigt sind die Reduzierungen der Arbeitszeit, die in der gymnasialen Oberstufe aufgrund höherer Arbeitsbelastung in den unterschiedlichen Regelungen zu Pflichtstunden oder Anrechnungsstunden gewährt werden.
8

Fußnoten zu Pflichtstunden (Deputatstunden pro Woche) der Lehrkräfte (Beamte und Angestellte) im öffentlichen Dienst in der Bundesrepublik Deutschland im Schuljahr 2017/2018 Baden-Württemberg: 1)  Werden Lehrkräfte an mehreren Schularten eingesetzt, gilt die wöchentliche Unterrichtsverpflichtung der Schulart, an der die Lehrkraft überwiegend eingesetzt ist. Ist eine Lehrkraft an mehreren Schularten in gleichem Umfang eingesetzt, gilt die wöchentliche Unterrichtsverpflichtung der Schulart, die die niedrigere wöchentliche Unterrichtsverpflichtung hat. Das Deputat der Lehrkräfte an Sonderpädagogischen Bildungs- und Beratungszentren, der Fachlehrkräfte mit Lehrbefähigung für Schulen für Geistigbehinderte und Schulen für Körperbehinderte einschließlich Schulkindergärten und der technischen Lehrkräfte an Schulen für Geistigbehinderte bzw. an entsprechenden Abteilungen anderer Typen der sonderpädagogischen Bildungs- und Beratungszentren, die sonderpädagogische Aufgaben der individuellen Lern- und Entwicklungsbegleitung wahrnehmen, ist unabhängig von der Schulart, an der sie eingesetzt werden. Stichtag für die Bestimmung ist der erste Unterrichtstag nach den Sommerferien, bei später eingestellten Lehrkräften der erste Unterrichtstag. Unabhängig davon gilt als Lehrkraft an Haupt- oder Werkrealschulen der Krankheitsvertreter mit wechselndem Einsatz an einer verbundenen Grund- und Haupt- oder Werkrealschule. 2)  Ab dem Schuljahr 2010/11 führt BW die Werkrealschule und die Hauptschule. Für Lehrkräfte an Werkrealschulen und Hauptschulen gilt ein Regelstundenmaß in Höhe von 27 Deputatsstunden pro Woche. 3)  Lehrkräfte an Gymnasien mit Lehrbefähigung für alle Stufen des Gymnasiums: 25; mit Lehrbefähigung für die Sekundarstufe I an Gymnasien: 27. 4)  Ab dem Schuljahr 2012/13 führt BW die Gemeinschaftsschule. Für Lehrkräfte an Gemeinschaftsschulen gilt ein Regelstundenmaß in Höhe von 27 Deputatsstunden pro Woche. 5)  Wissenschaftliche Lehrkräfte an Förderschulen: 26, Fachlehrer musisch-technisch: 28, Fachlehrer an Förderschulen: 31. 6)  Wissenschaftliche Lehrkräfte (höherer und gehobener Dienst): 25; Technische Lehrer - kaufmännisch und hauswirtschaftlich: 27; Fachlehrer, Technische Lehrer - gewerblich und Sportlehrer: 28. Berlin:            1)  Pflichtstunden auch an Integrierten Sekundarschulen. 2)  Integrierte Sekundarschulen mit 28 Wochenstunden (Unterricht überwiegend in Jahrgangsstufe 1-6) und 26 Wochenstunden (Unterricht überwiegend in Sekundarstufe I oder II). Bayern:            1)  Nicht angegeben ist die Unterrichtspflichtzeit von Fachlehrern, die - abhängig von der Schulart - dem Anteil des fachtheoretischen Unterrichts und dem Lebensalter 24 - 29 Unterrichtsstunden beträgt. 2)  Die Unterrichtspflichtzeit hängt vom fachspezifischen Unterrichtseinsatz ab. 3)  Die angegebenen Werte gelten für Sonderpädagogen an Förderzentren. Brandenburg:       1)  Auch bei überwiegendem Einsatz in den Jahrgangsstufen 1 - 4 an Oberschulen und Gesamtschulen, die mit einer Grundschule zusammengefasst sind. 2)  Jahrgangsstufen 5 und 6 an Grundschulen und an Oberschulen sowie Gesamtschulen, die mit einer Grundschule zusammengefasst sind. 3)  An Schulen mit dem sonderpädagogischen Förderschwerpunkt "Geistige Entwicklung" 19 Unterrichtsstunden und 11 Zeitstunden im Ganztagsbereich. Bremen:            1)  Die Regelpflichtstundenzahl der Lehrkräfte der Grundschulen beträgt 28 Wochenstunden; für Lehrerinnen und Lehrer an einem einer Grundschule zugeordneten Zentrum für unterstützende Pädagogik (ZuP) beträgt die Unterrichtsverpflichtung 27 Wochenstunden. 2)  Oberschule mit 27 Wochenstunden in der Sekundarstufe I (Jahrgangsstufen 5 - 10) und 25 Wochenstunden in der Sekundarstufe II (E-Q2). 3)  Gymnasium mit 27 Wochenstunden in der Sekundarstufe I (Jahrgangsstufen 5 - 9) und 25 Wochenstunden in der Sekundarstufe II (E-Q2). 4)  Lehrkräfte an Förderzentren bzw. an Zentren für unterstützende Pädagogik der allgemeinen Schulen (siehe oben Fußnote 2). 5)  Für Lehrer/-innen, die als Fachlehrer/-innen oder als technische Lehrer/-innen, die überwiegend im berufsfeld-, fachrichtungs- oder berufsbezogenen Bereich eingesetzt sind, für Lehrer/-innen im musisch- technischen Bereich oder im Bereich des Sports sowie für sonstige Lehrer/-innen, deren Ausbildung sich nur auf ein Fach oder eine Fachrichtung beschränkt hat und die daher nur in einem Unterrichtsfach oder einer Fachrichtung eingesetzt sind, beträgt die Unterrichtsverpflichtung 28 Unterrichtsstunden je Woche. Hamburg:           1)  Es handelt sich um durchschnittliche Unterrichtsstunden. Die Unterrichtseinsatzplanung der Lehrkräfte erfolgt in Hamburg seit 01.08.2003 nach einem neuen Lehrerarbeitszeitmodell, das keine Pflichtstunden mehr enthält (siehe unter Arbeitszeitmodelle). Die Anzahl der Unterrichtsstunden der Lehrkräfte ist danach nicht nur schulformabhängig, sondern jetzt auch abhängig von Klassenart und -stufe sowie erteilten Fächern (geregelt nach Faktorisierungsmodell - 35 Wochenstunden/entsprechender Faktor). Die tatsächlich zu erteilenden Unterrichtsstunden ergeben sich somit durch die konkrete Einsatzfeinplanung. 2)  Beo (Klassenstufe 5 + 6). 3)  Sek I (Klassenstufen 7 - 9/10). 4)  Sek II (Jahrgangsstufen Gym. 10 - 12 bzw. Stadtteilschule 11 - 13). 5)  Berufsschule. 6)  Berufsvorbereitung (Voll- und Teilzeit). 7)  Berufsfachschule. 8)  Fachoberschule. 9)  Fachschulen und berufliche Gymnasien. 10) Berufsoberschulen. Hessen:            1)  Pflichtstunden bei einem Lebensalter bis 60 / ab 61. 2)  Die Unterrichtsverpflichtung an Mittelstufenschulen entspricht der Unterrichtsverpflichtung an Haupt- und Realschulen. 3)  Bei einem Unterrichtseinsatz von mindestens 8 Wochenstunden in der gymnasialen Oberstufe und nach 20:00 Uhr wird 1 Pflichtstunde pro Unterrichtswoche angerechnet. Bei Teilzeitkräften erfolgt die Anrechnung anteilig, wobei bei mindestens 8 Wochenstunden Unterrichtseinsatz in der gymnasialen Oberstufe auch eine Anrechnung von 1 Pflichtstunde pro Woche gewährt wird.
9

noch: Fußnoten zu Pflichtstunden der Lehrkräfte Mecklenburg-        1) Abhängig vom Einsatz in der gymnasialen Oberstufe; 24 Wochenstunden möglich bei einem Einsatz mit Vorpommern:            mehr als 13 Lehrerwochenstunden. 2) Lehrkräfte an beruflichen Schulen (ohne Lehrkräfte für den fachpraktischen Unterricht); bei Fachgymnasien abhängig vom Einsatz in der gymnasialen Oberstufe an Fachgymnaien; 24 Wochenstunden möglich bei einem Einsatz mit mehr als 13 Lehrerwochenstunden. 3) Lehrkräfte im fachpraktischen Unterricht an beruflichen Schulen. 4) Abhängig vom Einsatz als Klassenleiter. 5) Abhängig vom Einsatz als Klassenleiter Reduzierung der zu unterrichtenden Stunden. 6) Abhängig vom Einsatz als Klassenleiter in der Berufsausbildungsvorbereitung Reduzierung der zu unterrichtenden Stunden je Klasse um eine Stunde. Niedersachsen:      1) Lehrkräfte in einer Laufbahn des höheren Dienstes 24,5; Lehrkräfte in einer Laufbahn des gehobenen Dienstes 25,5 Unterrichtsstunden. Rheinland-Pfalz:    1) Umgerechnet in 45-Minuten-Stunden. 2) Mit Lehrbefähigung für Grund- und Hauptschulen, Realschulen oder Realschulen plus bei einem Einsatz in den Klassenstufen 5 - 10 bzw. bei Einsatz in den Klassenstufen 11 - 13 mit 1 Wochenstunde. 3) Mit Lehrbefähigung für Grund- und Hauptschulen, Realschulen oder Realschulen plus bei einem Einsatz in den Klassenstufen 11 - 13 mit 2 - 4 Wochenstunden. 4) Mit Lehrbefähigung für Grund- und Hauptschulen, Realschulen oder Realschulen plus bei einem Einsatz in den Klassenstufen 11 - 13 ab 5 Wochenstunden; mit Lehrbefähigung für Gymnasien oder berufsbildende Schulen. 5) Bei 14 oder mehr Stunden im berufsbildenden Bereich: 24 Stunden. Saarland:           1) Bei einem Einsatz von mindestens 8 Wochenstunden in der gymnasialen Oberstufe. 2) Bei einem Einsatz in der gymnasialen Oberstufe mit mindestens 8 Wochenstunden: 25, bei einem Einsatz mit mindestens 2 Wochenstunden: 26, sonst: 27 Pflichtstunden. 3) Fachlehrer. 4) Lehrwerkmeister. Sachsen:            1) Verminderung um 1 Stunde bei mindestens 6 Stunden Einsatz in der Oberstufe (Kurssystem); Verminderung um 2 Stunden bei mindestens 9 Stunden Einsatz in der Oberstufe (Kurssystem). 2) Lehrkräfte an Förderschulen. 3) Fachlehrer an Förderschulen. 4) Lehrkräfte, die ausschließlich theoretischen Unterricht erteilen. 5) Lehrkräfte, die theoretischen und fachpraktischen Unterricht erteilen. 6) Lehrkräfte, die fachpraktischen Unterricht erteilen. Sachsen-Anhalt:     1) Fachpraxislehrkräfte. Schleswig-Holstein: 1) Andere Lehrkräfte an Gymnasien, soweit sie nicht in der Oberstufe eingesetzt werden. 2) Für Fachlehrer mit Eingangsamt A 10 an beruflichen Schulen. 3) Andere Lehrkräfte an Berufsbildenden Schulen. 4) Lehrkräfte an Berufsbildenden Schulen in der Laufbahn der Studienrätinnen und Studienräte. 5) Bei Einsatz mit mehr als 50 % in der Grundschule plus 1 Stunde. 6) Bei Einsatz in der Oberstufe in einem Kernfach oder profilgebenden Fach oder zwei profilergänzenden Fächern der Schule oder mit mindestens 5 Wochenstunden ermäßigt sich die Pflichtstundenzahl um 1,5 Stunden. 7) Die Schulart "Integrierte Gesamtschule" ist in Gemeinschaftsschulen mit gymnasialer Oberstufe umgewandelt worden.
10

Zur nächsten Seite