Schulen mit einem hohen Anteil von Schüler/innen nichtdeutscher Herkunftssprache oder von der Zuzahlung zu Lernmitteln befreiter Schüler/innen

/ 13
PDF herunterladen
Drucksache 17 / 10              047 Kleine Anfrage 17. Wahlperiode Kleine Anfrage der Abgeordneten Regina Kittler (LINKE) vom 12. Dezember 2011 (Eingang beim Abgeordnetenhaus am 13. Dezember 2011) und Antwort Schulen mit einem hohen Anteil von Schüler/innen nichtdeutscher Herkunftssprache oder von der Zuzahlung zu Lernmitteln befreiter Schüler/innen Im Namen des Senats von Berlin beantworte ich Ihre Kleine Anfrage wie folgt: 1. Wie viele Schulen haben 40 bis 60 Prozent, wie viele mehr als 60 Prozent Schüler/innen nichtdeutscher Herkunftssprache oder/und einen Anteil von 40 bis 60 Prozent und wie viele mehr als 60 Prozent von der Zuzahlung zu Lernmitteln befreiter Schüler/innen (bitte nach Schulart und Bezirk aufschlüsseln)? Zu 1.: Siehe Anlage 1 2. Welche Schulen sind dies konkret (bitte Schul- namen, Bezirk und die jeweiligen Anteile von Schüler/in- nen nichtdeutscher Herkunftssprache oder/und von der Zuzahlung zu Lernmitteln befreiter Schüler/innen ange- ben)? Zu 2.: Die Schulen mit den prozentualen Anteilen an Schülerinnen und Schülern nichtdeutscher Herkunfts- sprache sind der Anlage 2 zu entnehmen. Aus daten- schutzrechtlichen Gründen werden die Daten zu Schü- lerinnen und Schülern, die von der Zuzahlung des Eigenanteils an Lernmitteln befreit sind, nicht auf Schul- ebene veröffentlicht. Berlin, den 28. Dezember 2011 In Vertretung Mark Rackles Senatsverwaltung für Bildung, Jugend und Wissenschaft (Eingang beim Abgeordnetenhaus am 09. Jan. 2012) Die Drucksachen des Abgeordnetenhauses sind bei der Kulturbuch-Verlag GmbH zu beziehen. Hausanschrift: Sprosserweg 3, 12351 Berlin-Buckow · Postanschrift: Postfach 47 04 49, 12313 Berlin, Telefon: 6 61 84 84; Telefax: 6 61 78 28.
1

SenBJW I C 2.4                                                                                                      Frage 1 - Anlage 1 Öffentlichen allgemein bildende Schulen                                                                                      21.12.2011 nach prozentualen Anteilen an Schüler(n)/innen nichtdeutscher Herkunftssprache (ndH) und Schüler/innen, die von der Zuzahlung des Eigenanteils an Lernmitteln befreit sind (LMB) je Bezirk und Schulart Anzahl Schulen                       Anzahl Schulen >40% und <60% >40% und <60% >40% und <60%    >60%       >60%      >60% Bezirk                       Schulart                ndH und LMB       ndH          LMB       ndH und LMB ndH         LMB Grundschule                                    2              4            9            16        26        16 Integrierte Sekundarschule                     1              1            1            8          8         8 Mitte Gymnasium                                                     1            2                       5 Schulen mit sonderpäd. Förderschwerpunkt       1              2            2            1          1         2 Grundschule                                    3             11            6            11        13        14 Friedrichshain-      Integrierte Sekundarschule                     3              3            4            6          6         6 Kreuzberg            Gymnasium                                                                  1             1         2         1 Schulen mit sonderpäd Förderschwerpunkt                                    1            3          3         4 Integrierte Sekundarschule                                                 4 Pankow Schulen mit sonderpäd. Förderschwerpunkt                                   5                                 2 Grundschule                                    1             12            3            1          6         1 Charlottenburg- Integrierte Sekundarschule                     1              2            3            1          3         1 Wilmersdorf Schulen mit sonderpäd. Förderschwerpunkt       1              1            4            1          2         1 Grundschule                                    8             10           11            4          5         4 Integrierte Sekundarschule                     2              4            4                                 1 Spandau Gymnasium                                                     1 Schulen mit sonderpäd. Förderschwerpunkt                                                                     3 Grundschule                                    3              9            3 Integrierte Sekundarschule                     1              3            2 Steglitz-Zehlendorf Gymnasium                                                     1 Schulen mit sonderpäd. Förderschwerpunkt                      1                                              2 Grundschule                                    3             13            8            2          9         4 Integrierte Sekundarschule                     3              3            5            2          4         2 Tempelhof-Schöneberg Gymnasium                                                     1                                    1 Schulen mit sonderpäd. Förderschwerpunkt                      2            1                       1         3 Seite 1 von 12
2

SenBJW I C 2.4                                                                                                        Frage 1 - Anlage 1 Öffentlichen allgemein bildende Schulen                                                                                        21.12.2011 nach prozentualen Anteilen an Schüler(n)/innen nichtdeutscher Herkunftssprache (ndH) und Schüler/innen, die von der Zuzahlung des Eigenanteils an Lernmitteln befreit sind (LMB) je Bezirk und Schulart Anzahl Schulen                       Anzahl Schulen >40% und <60% >40% und <60% >40% und <60%    >60%       >60%      >60% Bezirk                          Schulart                ndH und LMB       ndH          LMB       ndH und LMB ndH         LMB Grundschule                                                  8             5            19        22        21 Integrierte Sekundarschule                     1             1             2            8          9         8 Neukölln Gymnasium                                                    1             1            1          3         1 Schulen mit sonderpäd. Förderschwerpunkt                     2             1            5          5         8 Grundschule                                                  1             3 Treptow-Köpenick       Integrierte Sekundarschule                                                 2 Schulen mit sonderpäd. Förderschwerpunkt                                   3                                 2 Grundschule                                    2             2            14                                 5 Marzahn-Hellersdorf    Integrierte Sekundarschule                                                 7                                 1 Schulen mit sonderpäd. Förderschwerpunkt                                   2                                 3 Grundschule                                    2             5            12                                 2 Lichtenberg            Integrierte Sekundarschule                                   1             4                                 1 Schulen mit sonderpäd. Förderschwerpunkt                                   2                                 6 Grundschule                                    7             12            8            3          4         6 Reinickendorf          Integriete Sekundarschule                      2             4             4                       1         2 Schulen mit sonderpäd. Förderschwerpunkt                     1             1                                 4 Anzahl der Schulen insgesamt                       47           123           150           93        139       145 Seite 2 von 12
3

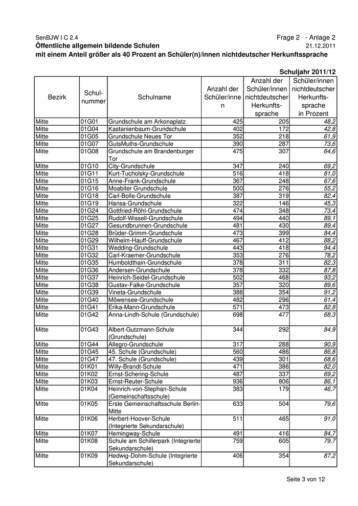
SenBJW I C 2.4                                                                    Frage 2 - Anlage 2 Öffentliche allgemein bildende Schulen                                                      21.12.2011 mit einem Anteil größer als 40 Prozent an Schüler(n)/innen nichtdeutscher Herkunftssprache Schuljahr 2011/12 Anzahl der   Schüler/innen Anzahl der Schüler/innen nichtdeutscher Schul- Bezirk                        Schulname               Schüler/inne nichtdeutscher Herkunfts- nummer n         Herkunfts-       sprache sprache       in Prozent Mitte          01G01   Grundschule am Arkonaplatz                    425           205             48,2 Mitte          01G04   Kastanienbaum-Grundschule                     402           172             42,8 Mitte          01G05   Grundschule Neues Tor                         352           218             61,9 Mitte          01G07   GutsMuths-Grundschule                         390           287             73,6 Mitte          01G08   Grundschule am Brandenburger                  475           307             64,6 Tor Mitte          01G10   City-Grundschule                              347           240             69,2 Mitte          01G11   Kurt-Tucholsky-Grundschule                    516           418             81,0 Mitte          01G15   Anne-Frank-Grundschule                        367           248             67,6 Mitte          01G16   Moabiter Grundschule                          500           276             55,2 Mitte          01G18   Carl-Bolle-Grundschule                        387           319             82,4 Mitte          01G19   Hansa-Grundschule                             322           146             45,3 Mitte          01G24   Gottfried-Röhl-Grundschule                    474           348             73,4 Mitte          01G25   Rudolf-Wissell-Grundschule                    494           440             89,1 Mitte          01G27   Gesundbrunnen-Grundschule                     481           430             89,4 Mitte          01G28   Brüder-Grimm-Grundschule                      473           399             84,4 Mitte          01G29   Wilhelm-Hauff-Grundschule                     467           412             88,2 Mitte          01G31   Wedding-Grundschule                           443           418             94,4 Mitte          01G32   Carl-Kraemer-Grundschule                      353           276             78,2 Mitte          01G35   Humboldthain-Grundschule                      378           311             82,3 Mitte          01G36   Andersen-Grundschule                          378           332             87,8 Mitte          01G37   Heinrich-Seidel-Grundschule                   502           468             93,2 Mitte          01G38   Gustav-Falke-Grundschule                      357           320             89,6 Mitte          01G39   Vineta-Grundschule                            388           354             91,2 Mitte          01G40   Möwensee-Grundschule                          482           296             61,4 Mitte          01G41   Erika-Mann-Grundschule                        571           473             82,8 Mitte          01G42   Anna-Lindh-Schule (Grundschule)               698           477             68,3 Mitte          01G43   Albert-Gutzmann-Schule                        344           292             84,9 (Grundschule) Mitte          01G44   Allegro-Grundschule                           317           288             90,9 Mitte          01G45   45. Schule (Grundschule)                      560           486             86,8 Mitte          01G47   47. Schule (Grundschule)                      439           301             68,6 Mitte          01K01   Willy-Brandt-Schule                           471           386             82,0 Mitte          01K02   Ernst-Schering-Schule                         487           337             69,2 Mitte          01K03   Ernst-Reuter-Schule                           936           806             86,1 Mitte          01K04   Heinrich-von-Stephan-Schule                   383           179             46,7 (Gemeinschaftsschule) Mitte          01K05   Erste Gemeinschaftsschule Berlin-             633           504             79,6 Mitte Mitte          01K06   Herbert-Hoover-Schule                         511           465             91,0 (Integrierte Sekundarschule) Mitte          01K07   Hemingway-Schule                              491           416             84,7 Mitte          01K08   Schule am Schillerpark (Integrierte           759           605             79,7 Sekundarschule) Mitte          01K09   Hedwig-Dohm-Schule (Integrierte               406           354             87,2 Sekundarschule) Seite 3 von 12
4

SenBJW I C 2.4                                                                Frage 2 - Anlage 2 Öffentliche allgemein bildende Schulen                                                   21.12.2011 mit einem Anteil größer als 40 Prozent an Schüler(n)/innen nichtdeutscher Herkunftssprache Schuljahr 2011/12 Anzahl der    Schüler/innen Anzahl der Schüler/innen nichtdeutscher Schul- Bezirk                        Schulname           Schüler/inne nichtdeutscher Herkunfts- nummer n         Herkunfts-        sprache sprache        in Prozent Mitte           01S01   Schule am Zille-Park                     171             89             52,0 Mitte           01S03   Wilhelm-Busch-Schule                     148           123              83,1 Mitte           01S06   Albert-Gutzmann-Schule                   203           117              57,6 Mitte           01Y05   Menzel-Oberschule                        938           523              55,8 Mitte           01Y06   Heinrich-von-Kleist-Schule               556           465              83,6 (Gymnasium) Mitte           01Y08   Lessing-Schule (Gymnasium)               803           573              71,4 Mitte           01Y09   Diesterweg-Schule (Gymnasium)            675           597              88,4 Mitte           01Y10   Theodor-Heuss-Oberschule                 320           227              70,9 Mitte           01Y11   Max-Planck-Schule (Gymnasium)            781           505              64,7 Friedrichshain- 02G01   Spartacus-Grundschule                    387           173              44,7 Kreuzberg Friedrichshain- 02G02   Hausburg-Grundschule                     513           296              57,7 Kreuzberg Friedrichshain- 02G05   Blumen-Grundschule                       278           175              62,9 Kreuzberg Friedrichshain- 02G08   Grundschule am Traveplatz                368           160              43,5 Kreuzberg Friedrichshain- 02G12   Kurt-Schumacher-Grundschule              301           275              91,4 Kreuzberg Friedrichshain- 02G13   Charlotte-Salomon-Grundschule            442           185              41,9 Kreuzberg Friedrichshain- 02G14   Galilei-Grundschule                      361           329              91,1 Kreuzberg Friedrichshain- 02G15   E.-O.-Plauen-Grundschule                 250           228              91,2 Kreuzberg Friedrichshain- 02G16   Lenau-Grundschule                        307           232              75,6 Kreuzberg Friedrichshain- 02G18   Nürtingen-Grundschule                    388           182              46,9 Kreuzberg Friedrichshain- 02G19   Fanny-Hensel-Grundschule                 272           253              93,0 Kreuzberg Friedrichshain- 02G20   Bürgermeister-Herz-Grundschule           460           301              65,4 Kreuzberg Friedrichshain- 02G21   Reinhardswald-Grundschule                711           293              41,2 Kreuzberg Friedrichshain- 02G22   Jens-Nydahl-Grundschule                  325           319              98,2 Kreuzberg Friedrichshain- 02G23   Fichtelgebirge-Grundschule               344           244              70,9 Kreuzberg Friedrichshain- 02G24   Otto-Wels-Grundschule                    486           429              88,3 Kreuzberg Friedrichshain- 02G26   Lemgo-Grundschule                        367           319              86,9 Kreuzberg Seite 4 von 12
5

SenBJW I C 2.4                                                                  Frage 2 - Anlage 2 Öffentliche allgemein bildende Schulen                                                     21.12.2011 mit einem Anteil größer als 40 Prozent an Schüler(n)/innen nichtdeutscher Herkunftssprache Schuljahr 2011/12 Anzahl der    Schüler/innen Anzahl der Schüler/innen nichtdeutscher Schul- Bezirk                         Schulname            Schüler/inne nichtdeutscher Herkunfts- nummer n         Herkunfts-        sprache sprache        in Prozent Friedrichshain- 02G27   Hunsrück-Grundschule                       436           253              58,0 Kreuzberg Friedrichshain- 02G28   Niederlausitz-Grundschule                  266           190              71,4 Kreuzberg Friedrichshain- 02G29   Heinrich-Zille-Grundschule                 333           196              58,9 Kreuzberg Friedrichshain- 02G30   Paul-Dohrmann-Schule                       115           110              95,7 Kreuzberg               (Grundschule) Friedrichshain- 02G31   Adolf-Glaßbrenner-Grundschule              429           185              43,1 Kreuzberg Friedrichshain- 02G32   Clara-Grunwald-Grundschule                 296           145              49,0 Kreuzberg Friedrichshain- 02G33   Aziz-Nesin-Grundschule                     389           192              49,4 Kreuzberg Friedrichshain- 02K01   Ellen-Key-Schule                           703           388              55,2 Kreuzberg Friedrichshain- 02K02   Carl-von-Ossietzky-Schule                 1162          1041              89,6 Kreuzberg               (Gemeinschaftsschule) Friedrichshain- 02K03   Hector-Peterson-Schule                     545           530              97,2 Kreuzberg Friedrichshain- 02K04   Lina-Morgenstern-Schule                    401           331              82,5 Kreuzberg               (Gemeinschaftsschule) Friedrichshain- 02K05   Schule am Königstor (Integrierte           191             79             41,4 Kreuzberg               Sekundarschule) Friedrichshain- 02K06   Emanuel-Lasker-Schule                      316           146              46,2 Kreuzberg Friedrichshain- 02K08   8. Integrierte Sekundarschule              335           292              87,2 Kreuzberg Friedrichshain- 02K09   9. Integrierte Sekundarschule              190           139              73,2 Kreuzberg Friedrichshain- 02K10   10. Integrierte Sekundarschule             395           351              88,9 Kreuzberg Friedrichshain- 02S02   Gustav-Meyer-Schule                        141             93             66,0 Kreuzberg Friedrichshain- 02S05   Paul-Dohrmann-Schule                        52             45             86,5 Kreuzberg Friedrichshain- 02S06   Liebmann-Schule                            161           128              79,5 Kreuzberg Friedrichshain- 02Y07   Robert-Koch-Oberschule                     595           580              97,5 Kreuzberg Friedrichshain- 02Y08   Hermann-Hesse-Oberschule                   561           397              70,8 Kreuzberg Charlottenburg- 04G01   Eichendorff-Grundschule                    412           228              55,3 Wilmersdorf Charlottenburg- 04G02   Lietzensee-Grundschule                     368           195              53,0 Wilmersdorf Seite 5 von 12
6

SenBJW I C 2.4                                                                 Frage 2 - Anlage 2 Öffentliche allgemein bildende Schulen                                                    21.12.2011 mit einem Anteil größer als 40 Prozent an Schüler(n)/innen nichtdeutscher Herkunftssprache Schuljahr 2011/12 Anzahl der    Schüler/innen Anzahl der Schüler/innen nichtdeutscher Schul- Bezirk                          Schulname           Schüler/inne nichtdeutscher Herkunfts- nummer n         Herkunfts-        sprache sprache        in Prozent Charlottenburg- 04G04   Joan-Miró-Grundschule                     697           444              63,7 Wilmersdorf Charlottenburg- 04G07   Ludwig-Cauer-Grundschule                  343           227              66,2 Wilmersdorf Charlottenburg- 04G08   Mierendorff-Grundschule                   339           244              72,0 Wilmersdorf Charlottenburg- 04G09   Erwin-von-Witzleben-Grundschule           301           158              52,5 Wilmersdorf Charlottenburg- 04G11   Helmuth-James-von-Moltke-                 296           193              65,2 Wilmersdorf             Grundschule Charlottenburg- 04G12   Schinkel-Grundschule                      473           244              51,6 Wilmersdorf Charlottenburg- 04G13   Nehring-Grundschule                       342           226              66,1 Wilmersdorf Charlottenburg- 04G14   Reinhold-Otto-Grundschule                 295           142              48,1 Wilmersdorf Charlottenburg- 04G15   Charles-Dickens-Grundschule               429           207              48,3 Wilmersdorf Charlottenburg- 04G17   Johann-Peter-Hebel-Grundschule            500           226              45,2 Wilmersdorf Charlottenburg- 04G18   Ernst-Habermann-Grundschule               288           141              49,0 Wilmersdorf Charlottenburg- 04G20   Katharina-Heinroth-Grundschule            447           310              69,4 Wilmersdorf Charlottenburg- 04G22   Grunewald-Grundschule                     394           190              48,2 Wilmersdorf Charlottenburg- 04G25   Cecilien-Schule (Grundschule)             360           170              47,2 Wilmersdorf Charlottenburg- 04G26   Birger-Forell-Grundschule                 427           192              45,0 Wilmersdorf Charlottenburg- 04G27   Judith-Kerr-Grundschule                   392           192              49,0 Wilmersdorf Charlottenburg- 04K02   Friedensburg-Schule                      1080           648              60,0 Wilmersdorf Charlottenburg- 04K03   Robert-Jungk-Schule                       949           576              60,7 Wilmersdorf Charlottenburg- 04K04   Nelson-Mandela-Schule                    1079           576              53,4 Wilmersdorf Charlottenburg- 04K06   Schule am Schloss (Integrierte            593           379              63,9 Wilmersdorf             Sekundarschule) Charlottenburg- 04K07   Integrierte Sekundarschule                950           480              50,5 Wilmersdorf             Wilmersdorf Charlottenburg- 04K08   Peter-Ustinov-Schule                      393           248              63,1 Wilmersdorf Charlottenburg- 04S01   Peter-Jordan-Schule                       100             57             57,0 Wilmersdorf Seite 6 von 12
7

SenBJW I C 2.4                                                                 Frage 2 - Anlage 2 Öffentliche allgemein bildende Schulen                                                    21.12.2011 mit einem Anteil größer als 40 Prozent an Schüler(n)/innen nichtdeutscher Herkunftssprache Schuljahr 2011/12 Anzahl der    Schüler/innen Anzahl der Schüler/innen nichtdeutscher Schul- Bezirk                          Schulname           Schüler/inne nichtdeutscher Herkunfts- nummer n         Herkunfts-        sprache sprache        in Prozent Charlottenburg- 04S02   Arno-Fuchs-Schule                         183           132              72,1 Wilmersdorf Charlottenburg- 04S05   Ernst-Adolf-Eschke-Schule für              93             58             62,4 Wilmersdorf             Gehörlose Charlottenburg- 04S06   Finkenkrug-Schule                         120             48             40,0 Wilmersdorf Spandau         05G03   Birken-Grundschule                        278           157              56,5 Spandau         05G04   Klosterfeld-Grundschule                   292           160              54,8 Spandau         05G05   Christoph-Földerich-Grundschule           379           169              44,6 Spandau         05G06   Siegerland-Grundschule                    371           255              68,7 Spandau         05G07   Lynar-Grundschule                         330           246              74,5 Spandau         05G08   Konkordia-Grundschule                     374           189              50,5 Spandau         05G10   Grundschule am Birkenhain                 310           222              71,6 Spandau         05G11   Robert-Reinick-Grundschule                495           252              50,9 Spandau         05G13   Bernd-Ryke-Grundschule                    393           223              56,7 Spandau         05G15   Askanier-Grundschule                      296           141              47,6 Spandau         05G18   Grundschule im Beerwinkel                 491           265              54,0 Spandau         05G22   Christian-Morgenstern-                    373           271              72,7 Grundschule Spandau         05G26   Grundschule am Amalienhof                 354           155              43,8 Spandau         05G27   Charlie-Rivel-Grundschule                 390           183              46,9 Spandau         05G28   Grundschule an der Pulvermühle            299           194              64,9 Spandau         05K02   Carlo-Schmid-Oberschule                   857           384              44,8 (Integrierte Sekundarschule) Spandau         05K06   Wolfgang-Borchert-Schule                  705           313              44,4 (Integrierte Sekundarschule) Spandau         05K07   Schule an der Jungfernheide               447           191              42,7 (Integrierte Sekundarschule) Spandau         05K09   Schule am Staakener Kleeblatt             397           168              42,3 (Integrierte Sekundarschule) Spandau         05Y04   Carl-Friedrich-von-Siemens-               587           292              49,7 Oberschule Steglitz-       06G12   Quentin-Blake-Grundschule                 312           148              47,4 Zehlendorf Steglitz-       06G13   Freiherr-von-Hünefeld-                    215           118              54,9 Zehlendorf              Grundschule Steglitz-       06G14   Sachsenwald-Grundschule                   393           170              43,3 Zehlendorf Steglitz-       06G15   Dunant-Grundschule                        448           184              41,1 Zehlendorf Steglitz-       06G18   Athene-Grundschule                        369           160              43,4 Zehlendorf Steglitz-       06G19   Markus-Grundschule                        259           117              45,2 Zehlendorf Steglitz-       06G22   Giesensdorfer Grundschule                 264           115              43,6 Zehlendorf Seite 7 von 12
8

SenBJW I C 2.4                                                                  Frage 2 - Anlage 2 Öffentliche allgemein bildende Schulen                                                     21.12.2011 mit einem Anteil größer als 40 Prozent an Schüler(n)/innen nichtdeutscher Herkunftssprache Schuljahr 2011/12 Anzahl der    Schüler/innen Anzahl der Schüler/innen nichtdeutscher Schul- Bezirk                         Schulname             Schüler/inne nichtdeutscher Herkunfts- nummer n         Herkunfts-        sprache sprache        in Prozent Steglitz-      06G28   Ludwig-Bechstein-Grundschule                235           112              47,7 Zehlendorf Steglitz-      06G30   Mercator-Grundschule                        263           147              55,9 Zehlendorf Steglitz-      06K01   John-F.-Kennedy-Schule                     1619           785              48,5 Zehlendorf Steglitz-      06K05   Johann-Thienemann-Schule                    365           151              41,4 Zehlendorf Steglitz-      06K07   7. Integrierte Sekundarschule               477           213              44,7 Zehlendorf Steglitz-      06S05   J.-A.-Zeune-Schule für Blinde und            86             39             45,3 Zehlendorf             Berufsfachschule Dr. Silex Steglitz-      06Y08   Hermann-Ehlers-Oberschule                   615           315              51,2 Zehlendorf Tempelhof-     07G01   Spreewald-Grundschule                       309           253              81,9 Schöneberg Tempelhof-     07G02   Finow-Grundschule                           569           478              84,0 Schöneberg Tempelhof-     07G03   Werbellinsee-Grundschule                    471           203              43,1 Schöneberg Tempelhof-     07G05   Havelland-Grundschule                       372           253              68,0 Schöneberg Tempelhof-     07G06   Sternberg-Grundschule                       258           173              67,1 Schöneberg Tempelhof-     07G07   Lindenhof-Grundschule                       297           131              44,1 Schöneberg Tempelhof-     07G10   Teltow-Grundschule                          261           144              55,2 Schöneberg Tempelhof-     07G12   Scharmützelsee-Grundschule                  432           211              48,8 Schöneberg Tempelhof-     07G13   Neumark-Grundschule                         241           225              93,4 Schöneberg Tempelhof-     07G18   Grundschule am Barbarossaplatz              297           120              40,4 Schöneberg Tempelhof-     07G19   Paul-Simmel-Grundschule                     396           269              67,9 Schöneberg Tempelhof-     07G20   Maria-Montessori-Grundschule                464           237              51,1 Schöneberg Tempelhof-     07G21   Grundschule auf dem                         447           214              47,9 Schöneberg             Tempelhofer Feld Tempelhof-     07G23   Schätzelberg-Grundschule                    277           112              40,4 Schöneberg Tempelhof-     07G24   Tempelherren-Grundschule                    268           165              61,6 Schöneberg Tempelhof-     07G25   Ludwig-Heck-Grundschule                     351           227              64,7 Schöneberg Seite 8 von 12
9

SenBJW I C 2.4                                                                Frage 2 - Anlage 2 Öffentliche allgemein bildende Schulen                                                   21.12.2011 mit einem Anteil größer als 40 Prozent an Schüler(n)/innen nichtdeutscher Herkunftssprache Schuljahr 2011/12 Anzahl der    Schüler/innen Anzahl der Schüler/innen nichtdeutscher Schul- Bezirk                         Schulname           Schüler/inne nichtdeutscher Herkunfts- nummer n         Herkunfts-        sprache sprache        in Prozent Tempelhof-     07G27   Rudolf-Hildebrand-Grundschule             334           187              56,0 Schöneberg Tempelhof-     07G28   Kiepert-Grundschule                       476           195              41,0 Schöneberg Tempelhof-     07G35   Nahariya-Grundschule                      455           209              45,9 Schöneberg Tempelhof-     07G36   Grundschule am Dielingsgrund              448           183              40,8 Schöneberg Tempelhof-     07G37   Ikarus-Grundschule                        470           225              47,9 Schöneberg Tempelhof-     07G39   Peter-Paul-Rubens-Schule                  431           270              62,6 Schöneberg             (Grundschule) Tempelhof-     07K04   Theodor-Haubach-Schule                    479           194              40,5 Schöneberg Tempelhof-     07K06   Georg-von-Giesche-Schule                  501           305              60,9 Schöneberg Tempelhof-     07K07   7. Integrierte Sekundarschule             663           354              53,4 Schöneberg Tempelhof-     07K08   8. Integrierte Sekundarschule             508           359              70,7 Schöneberg Tempelhof-     07K09   Gustav-Langenscheidt-Schule               355           278              78,3 Schöneberg Tempelhof-     07K10   Friedrich-Bergius-Schule                  471           278              59,0 Schöneberg Tempelhof-     07K11   Hugo-Gaudig-Schule                        418           277              66,3 Schöneberg Tempelhof-     07S01   Prignitz-Schule                           129             77             59,7 Schöneberg Tempelhof-     07S03   Steinwald-Schule                           75             43             57,3 Schöneberg Tempelhof-     07S04   Marianne-Cohn-Schule                       89             60             67,4 Schöneberg Tempelhof-     07Y01   Robert-Blum-Oberschule                    674           445              66,0 Schöneberg Tempelhof-     07Y02   Rückert-Oberschule                        814           354              43,5 Schöneberg Neukölln       08G01   Rixdorfer Schule (Grundschule)            386           362              93,8 Neukölln       08G02   Theodor-Storm-Schule                      221           203              91,9 (Grundschule) Neukölln       08G03   Hans-Fallada-Schule                       409           366              89,5 (Grundschule) Neukölln       08G05   Elbe-Schule (Grundschule)                 259           246              95,0 Neukölln       08G06   Karl-Weise-Schule (Grundschule)           312           251              80,4 Neukölln       08G07   Hermann-Boddin-Schule                     345           320              92,8 (Grundschule) Seite 9 von 12
10

Zur nächsten Seite