Entwicklung der Beschäftigung studentischer Hilfskräfte an Berliner Hochschulen

/ 15
PDF herunterladen
Drucksache 18 / 20              384 Schriftliche Anfrage 18. Wahlperiode Schriftliche Anfrage der Abgeordneten Adrian Grasse und Dr. Hans-Christian Hausmann (CDU) vom 30. Juli 2019 (Eingang beim Abgeordnetenhaus am 01. August 2019) zum Thema: Entwicklung der Beschäftigung studentischer Hilfskräfte an Berliner Hochschulen und Antwort vom 15. August 2019 (Eingang beim Abgeordnetenhaus am 20. Aug. 2019) Die Drucksachen des Abgeordnetenhauses sind bei der Kulturbuch-Verlag GmbH zu beziehen. Hausanschrift: Sprosserweg 3, 12351 Berlin-Buckow · Postanschrift: Postfach 47 04 49, 12313 Berlin, Telefon: 6 61 84 84; Telefax: 6 61 78 28.
1

Der Regierende Bürgermeister von Berlin Senatskanzlei - Wissenschaft und Forschung - Herrn Abgeordneten Adrian Grasse und Herrn Abgeordneten Dr. Hans-Christian Haus- mann (CDU) über den Präsidenten des Abgeordnetenhauses von Berlin über Senatskanzlei - G Sen - Antwort auf die Schriftliche Anfrage Nr. 18/20384 vom 30. Juli 2019 über Entwicklung der Beschäftigung studentischer Hilfskräfte an Berliner Hochschulen ___________________________________________________________________ Im Namen des Senats von Berlin beantworte ich Ihre Schriftliche Anfrage wie folgt: Die Anfrage betrifft Sachverhalte, die der Senat nicht ohne Einbeziehung der Hochschulen beantworten kann. Die Berliner staatlichen Hochschulen, die Charité – Universitätsmedizin Berlin und die konfessionellen Hochschulen wurden daher um Stellungnahmen gebeten. 1. Wie hat sich die Zahl der studentischen Beschäftigungspositionen an den Berliner Hochschulen in den vergangenen drei Jahren entwickelt (bitte aufgeschlüsselt nach Kalenderjahren, Hochschulen und Berei- chen)? Zu 1.: Die Angaben der Hochschulen können durch die Senatskanzlei – Wissenschaft und For- schung – nicht verifiziert werden. Bezüglich der Zahl der Beschäftigungspositionen wird auf Anlage 1 verwiesen.
2

- 2- 2. Wie viele SHK-Beschäftigungspositionen sind seit dem Urteil des Landesarbeitsgerichts Berlin- Brandenburg (LAG) vom Juni 2018, demzufolge studentische Beschäftigte in nichtwissenschaftlichen Berei- chen der Hochschulen nach dem Tarifvertrag für den öffentlichen Dienst der Länder (TV-L) entlohnt werden müssen, an den Berliner Hochschulen bereits weggefallen (bitte aufgeschlüsselt nach Hochschulen und Bereichen)? Zu 2.: Hochschule Bereich/Fachbereich/Fakultät                         Anzahl entfallener studentischer Beschäftigungspositionen in VZÄ (1 VZÄ = 80 Monatsstunden) FU              Gesamte Hochschule                                               Keine Angabe möglich* HU              Gesamte Hochschule                                                           Bisher keine TU              Fakultäten und SFB                                                                     59 TU              Zentrale Einrichtungen                                                              52,75 TU              Zentralverwaltung                                                                   42,75 UdK             Universitätsbibliothek und                                                  Bisher keine, Zentrale Studienberatung                                     erst zu Haushaltsplan 2020 HfM             Gesamte Hochschule                                                           Bisher keine KHB             Verwaltung                                                                            1,3 HfS             Gesamte Hochschule                                                           Bisher keine BHT             Referat Personal                                                                     0,26 BHT             Copy-Center                                                                          0,63 BHT             Präsidium (außer Qualitätsmanagement)                                                0,19 BHT             Presse- und Öffentlichkeitsarbeit, Alumni                                             0,5 HTW             Zentraleinrichtungen                                                                 4,81 HTW             Zentrale Hochschulverwaltung                                                        16,36 HWR             ZHV – Hochschulbibliothek                                                             2,5 HWR             Fachbereiche                                                                 Bisher keine ASH             Bibliothek                                                                           5,25 ASH             Computerzentrum, Multimedia                                                             6 ASH             Kinderbetreuung                                                                       3,5 Charité         Gesamte Hochschule                                              Keine Angabe möglich** EHB             Gesamte Hochschule                                                           Bisher keine KHSB            Gesamte Hochschule                                                           Bisher keine * An der Freien Universität Berlin ist die Anzahl studentischer Hilfskräfte zwar leicht rück- gängig, es liegen aber keine Daten vor die eine Differenzierung erlauben, ob dies auf die Umstellung der Arbeitsverträge oder aber auf einen geringeren Bedarf an studentischen Hilfskräften allgemein zurückzuführen ist. ** Aufgrund der spezifischen Situation der Charité (vgl. Anmerkung in Anlage 1) liegen keine aussagekräftigen Zahlen vor. Abkürzungen: FU               Freie Universität Berlin HU               Humboldt-Universität zu Berlin TU               Technische Universität Berlin UdK              Universität der Künste Berlin HfM              Hochschule für Musik „Hanns Eisler“
3

- 3- Abkürzungen: KHB             Kunsthochschule Berlin (Weißensee) - Hochschule für Gestaltung HfS             Hochschule für Schauspielkunst „Ernst Busch“ BHT             Beuth-Hochschule für Technik Berlin HTW             Hochschule für Technik und Wirtschaft Berlin HWR             Hochschule für Wirtschaft und Recht Berlin „Alice-Salomon“-Hochschule für Sozialarbeit und Sozialpädagogik ASH Berlin Charité         Charité - Universitätsmedizin Berlin EHB             Evangelische Hochschule Berlin KHSB            Katholische Hochschule für Sozialwesen Berlin 3. Mit dem Wegfall wie vieler weiterer SHK-Beschäftigungspositionen ist nach Schätzungen der Berliner Hochschulen aufgrund der Auswirkungen des LAG-Urteils vom Juni 2018 zu rechnen (bitte aufgeschlüsselt nach Hochschulen)? Zu 3.: Hochschule     Anzahl perspektivisch entfallender bzw. in TV-L-Stellen umgewandelter SHK-Beschäftigungspositionen in VZÄ (1 VZÄ = 80 Monatsstunden) FU                                                                                               ca. 175 HU                                                                                                   166 TU                                                               Anzahl noch nicht prognostizierbar UdK                                                              Anzahl noch nicht prognostizierbar HfM                                                                                                 ca. 7 KHB                                                                                               ca. 8,1 HfS                                                                                               ca. 3,5 BHT                                                                                                15,87 HTW                                                                                                   30 HWR                                                                                                 47,2 ASH                                                                                                   10 Charité                                                                                       Bis zu 100 EHB                                                                                                     9 KHSB                                                                                                    0 4. Welche SHK-Beschäftigungspositionen sind nach Auffassung des Senats definitiv nicht betroffen? Zu 4.: Um eine Entscheidung treffen zu können, ob studentische Hilfskräfte (SHK) wissenschaft- liche oder künstlerische Hilfstätigkeiten übernehmen, ist jeweils eine Einzelfallbetrachtung erforderlich. Rechtliche Orientierung bietet hierbei der Kriterienkatalog, der im Rahmen des Forums „Gute Arbeit an den Berliner Hochschulen“ erarbeitet und am 06. Februar 2019 zur weiteren Verwendung an die Mitglieder der AG und die Leitungen der Berliner Hochschulen verschickt wurde. Der Kriterienkatalog ist als Anlage 2 beigefügt.
4

- 4- 5. Wie viele SHK-Positionen wurden an den Berliner Hochschulen bereits in TV-L-Stellen umgewandelt (bitte aufgeschlüsselt nach Hochschulen)? Zu 5.: Hochschule              Anzahl von SHK-Positionen, die in TV-L-Stellen umgewandelt wurden in VZÄ (1 VZÄ = 80 Monatsstunden) FU                                                                                                  9,5 HU                           Bisher noch keine, erste stellenplanwirksame Wandlung mit HPL 2020 TU                          154,4 Stellen in Umwandlung. Die Stellen sind aktuell entweder bereits besetzt oder befinden sich in der Ausschreibung oder Bewertung UdK                                                                                                 1,0 HfM                           Bisher keine; Umwandlung zum Doppelhaushalt 2020 / 2021 geplant KHB                           Bisher keine; Umwandlung zum Doppelhaushalt 2020 / 2021 geplant HfS                           Bisher keine; Umwandlung zum Doppelhaushalt 2020 / 2021 geplant BHT                                                                                                 4,5 HTW                                                                                                   6 HWR                                                                                                 5,5 ASH                                                                                               14,75 Charité                                                                                           Keine EHB                                                                                               Keine KHSB                                                                                              Keine 6. Welche Einschränkungen, beispielsweise hinsichtlich der Öffnungszeiten von Bibliotheken, des Angebots der Studienberatung, der Kinderbetreuung, des IT-Supports etc., haben sich aufgrund des Wegfalls von SHK-Positionen an den Berliner Hochschulen bisher ergeben (bitte aufgeschlüsselt nach Hochschulen und Bereichen)? Zu 6.: Hochschule           Bereich                                          Einschränkungen /Fachbereich/Fakultät FU                   Bibliotheken                       Nur an der Veterinärmedizinischen Biblio- thek mussten die Öffnungszeiten kurzfris- tig geändert werden FU                   Center Digitale Systeme            Einschränkungen im technischen Support (LMS, CMS, Blogs und Wikis) und bei den Öffnungszeiten, auch in der Administ- ration (Unterstützung allgemeiner Verwal- tungstätigkeiten, insbes. Sekretariat) kam es zur Reduktion von Öffnungszeiten; insgesamt wurde die vorhandene Arbeits- kapazität verringert HU                   Universitätsbibliothek             Einschränkungen im Service sowie den Öffnungszeiten HU                   Computer- und Medienser-           Services ohne höchste Priorität werden vice                               eingestellt TU                   Studierendenservice                Reduktion telefonische Sprechzeiten und Infoservice, Reduktion Öffnungszeiten Campus Center
5

- 5- Hochschule Bereich                                      Einschränkungen /Fachbereich/Fakultät TU         Studienberatung                Beratung für Bewerberinnen und Bewer- ber für Masterstudiengänge reduziert TU         Career Service                 Reduktion der Sprechtage TU         Service für Internationale     Reduktion von Sprechstunden und Ser- Studierende                    vices für „Incomings“ und „Outgoings“ TU         Bibliotheken                   Verkürzung der Öffnungszeiten der Leih- stelle der Zentralbibliothek. Einschrän- kungen betreffen auch Magazin und Co- py-Center TU         Bereichsbibliothek Wirt-       Einschränkung der Öffnungszeiten schaft und Management          (samstags geschlossen) TU         Mathematische Fachbiblio-      Einschränkung der Öffnungszeiten thek                           (samstags geschlossen) TU         Informationstechnik            Öffnungszeiten des IT-Supports gekürzt, Einschränkungen beim Support UdK        Gesamte Hochschule             Einschränkungen noch nicht absehbar HfM        Gesamte Hochschule             Bisher keine KHB        Bibliothek                     Verkürzte Öffnungszeiten absehbar KHB        Beratung                       Beschränkung der Sprechzeiten abseh- bar KHB        Verwaltung                     Verlängerte Bearbeitungszeiten, Ein- schränkung des Service und der Sprech- zeiten HfS        Gesamte Hochschule             Bisher keine BHT        Campusbibliothek BHT        Hochschulrechenzentrum         Einschränkungen werden erwartet, sind BHT        Akademisches Auslands-         aber nicht quantifizierbar amt HTW        Studierendenservice            Einschränkung in der Studienberatung HTW        Fachbereiche                   Reduzierung des Supports bei der Öffent- lichkeitsarbeit HWR        Hochschulbibliothek, IT-       Eingeschränkte Öffnungszeiten in den Support                        Abendstunden sowie am Samstag in der HSB, Einschränkungen im IT-Support ASH        Kinderbetreuung                Reduzierung der Betreuungszeiten ASH        Bibliothek                     Kürzung der Öffnungszeiten, Verkleine- rung des Ausleihteams und dadurch kei- ne gesicherte Zweierbesetzung, geringe- re Flexibilität ASH        Computerzentrum                Wegfall von Einführungsveranstaltungen für Studierende, deutliche Einschränkun- gen bei Gerätebetreuung für Studierende und Lehrende (Drucker, PC-Pool, Medi- enschränke) Charité    Gesamte Hochschule             Bisher keine EHB        Gesamte Hochschule             Bisher keine KHSB       Gesamte Hochschule             Bisher keine
6

- 6- 7. Wie hoch sind nach Schätzungen der Berliner Hochschulen die jährlichen Kostensteigerungen im Falle der Umwandlung aller betroffenen TV-Stud.-Positionen in TV-L-Stellen (bitte aufgeschlüsselt nach Hoch- schulen sowie zusätzlich unter Berücksichtigung der sonder- und drittmittelfinanzierten Stellen)? Zu 7.: Die vorliegenden Daten lassen derzeit nur eine sehr grobe Schätzung zu. Die Hochschu- len haben die Kosten für den Ersatz von bisherigen StudHK-Stellen durch reguläre TV-L- Stellen mit etwa 5 Mio. € beziffert. Unter der Annahme, dass die betroffenen Beschäfti- gungsverhältnisse durch Tarifstellen ersetzt werden, ergibt sich nach Einschätzung der Senatskanzlei – Wissenschaft und Forschung – aber lediglich eine Größenordnung von ca. 4 Mio. € Zusatzkosten. Bei Drittmittelprojekten handelt es sich im Wesentlichen um Forschungsprojekte. Studentische Hilfskräfte übernehmen in diesen vorrangig wissen- schaftsbezogene Aufgaben. Soweit Drittmittelstellen überhaupt von einer Umwandlung betroffen sind, werden Lösungen innerhalb der jeweiligen Projektfinanzierungen gefunden. Die tatsächlichen Kostensteigerungen lassen sich noch nicht genau quantifizieren. 8. Hält der Senat die jeweils für die Jahre 2020 und 2021 vorgesehenen zusätzlichen 4 Mio. Euro, die den Berliner Hochschulen zur Kompensation ihrer Mehrkosten von Landesseite aus zur Verfügung gestellt wer- den, für ausreichend (bitte begründen)? Welche Berechnungen liegen dieser Entscheidung zugrunde und wurden die Hochschulen im Vorfeld um eine Einschätzung ihrer Mehrkosten gebeten (bitte begründen)? Zu 8.: Die o.g. Mittel werden als ausreichend betrachtet. Der Titelansatz beruht auf einer Hoch- rechnung auf Grundlage der von den Hochschulen eingeschätzten Anzahl betroffener Be- schäftigungsverhältnisse und tariflicher Durchschnittssätze. Das genaue Verfahren zur Mittelvergabe wird mit den Hochschulen noch abgestimmt. 9. Inwiefern unterstützt der Senat die Hochschulen bei der Kompensation der bereits 2019 entstandenen Mehrkosten und welche Überlegungen gibt es seitens des Senats hinsichtlich einer dauerhaften (Mit-)Finanzierung der Personalmehrkosten über das Jahr 2021 hinaus (bitte begründen)? Zu 9.: Der Senat geht davon aus, dass im Jahr 2019 zunächst nur geringe Mehrbedarfe entstan- den sind bzw. entstehen. Diese sind von den Hochschulen grundsätzlich im Rahmen ihrer Globalhaushalte zu decken. Der Senat ist auch über das Jahr 2021 bestrebt, die Hoch- schulen bei den entstehenden Mehrbedarfen zu unterstützen. Die zusätzlichen Personal- kosten, die sich über den Zeitraum der laufenden Hochschulverträge hinaus ergeben, soll- ten im Rahmen der nächsten Hochschulvertragsverhandlungen thematisiert und bei der Bemessung der Globalzuschüsse berücksichtigt werden. Berlin, den 15. August 2019 In Vertretung Steffen Krach Der Regierende Bürgermeister von Berlin Senatskanzlei - Wissenschaft und Forschung -
7

Schriftliche Anfrage Nr.: 18 / 20384                                        Anlage 1 zu Frage 1                                                     Seite 1 von 4 Anzahl studentischer Beschäftigungspositionen in VZÄ (1 VZÄ = 80 Monatsstunden) Hochschule        Bereich/Fachbereich/Fakultät                   Kalenderjahr 2016                 Kalenderjahr 2017              Kalenderjahr 2018 FU                Fachbereiche/Zentralinstitute                                             992,5                         1007,2                         1007,7 FU                Zentraleinrichtungen                                                        55,6                          65,7                           62,6 FU                Bibliotheken                                                                73,7                            57                           50,9 FU                Zentrale Universitätsverwaltung                                             132                            137                            119 FU                Informationstechnik                                                           64                          58,3                           54,8 HU                Lehrbereiche , Fach- und Projekttutorien                                 430,25                         434,25                         428,75 HU                Bibliothek                                                                    70                            70                             66 HU                Informationstechnik                                                       38,25                          38,25                          38,25 HU                Sprachenzentrum                                                              6,5                            6,5                            6,5 HU                Beratung                                                                      34                            34                             34 HU                Verwaltung                                                                    24                            22                           20,5 TU                Fakultäten und Sonderforschungsbereiche                                 1485,83                        1470,79                       1446,50 TU                Zentrale Einrichtungen                                                    82,38                          79,29                          74,38 TU                Zentralverwaltung                                                         80,99                          77,35                          79,08 UdK               FK 01 - Bildende Kunst                                                    20,15                          19,41                          21,36 UdK               FK 02 - Gestaltung                                                        55,76                          57,28                          58,96 UdK               FK 03 - Musik                                                             16,76                          15,24                          14,53 UdK               FK 04 - Darstellende Kunst                                                  6,39                          9,96                             8,2 UdK               Zentralinstitut für Weiterbildung - ZIW                                     5,36                          3,54                             4,6 UdK               Hochschulübergreifendes Zentrum Tanz - HZT                                   2,8                          2,78                           3,39 UdK               Jazz Institut - JIB                                                         1,63                          1,54                           1,31 UdK               ZUV                                                                       26,78                          26,69                          24,29 UdK               Sonstige                                                                  10,19                          14,61                           11,8 HfM               Professuren zugeordnet                                                     K.A.*                         K.A.*                             2,5 HfM               Bibliothek                                                                 K.A.*                         K.A.*                             0,8 HfM               Beratung                                                                   K.A.*                         K.A.*                               1 HfM               Verwaltung                                                                 K.A.*                         K.A.*                             1,4 HfM               Sonstiges                                                                  K.A.*                         K.A.*                             3,9 KHB               Professuren zugeordnet                                                     K.A.*                         K.A.*                           14,8 KHB               Bibliothek                                                                 K.A.*                         K.A.*                             2,5 KHB               Beratung                                                                   K.A.*                         K.A.*                             3,5 KHB               Verwaltung                                                                 K.A.*                         K.A.*                           1,25
8

Schriftliche Anfrage Nr.: 18 / 20384                                        Anlage 1 zu Frage 1                                                    Seite 2 von 4 Anzahl studentischer Beschäftigungspositionen in VZÄ (1 VZÄ = 80 Monatsstunden) Hochschule        Bereich/Fachbereich/Fakultät                   Kalenderjahr 2016                 Kalenderjahr 2017             Kalenderjahr 2018 KHB               Öffentlichkeitsarbeit                                                      K.A.*                         K.A.*                          0,25 KHB               Computerstudio                                                             K.A.*                         K.A.*                          1,88 HfS               Professuren zugeordnet                                                     K.A.*                         K.A.*                           0,1 HfS               Bibliothek                                                                 K.A.*                         K.A.*                           1,6 HfS               Technische Einrichtungen                                                   K.A.*                         K.A.*                           1,1 HfS               Verwaltung                                                                 K.A.*                         K.A.*                           0,4 HfS               Sonstiges                                                                  K.A.*                         K.A.*                           0,5 BHT               Abteilung II: Studierendenservice                                           4,29                          2,36                          3,37 Abteilung III: Bauunterhaltung, BHT               Gebäudebetreuung,                                                           0,91                          1,26                          0,79 Hausverwaltung, Zentrale Dienste BHT               Akademisches Auslandsamt                                                    3,95                          3,42                          2,21 BHT               Bibliothek                                                                  3,75                          4,33                          4,11 BHT               Fachbereich I                                                               6,15                          5,05                          4,18 BHT               Fachbereich II                                                              6,41                          6,35                          7,56 BHT               Fachbereich III                                                             3,93                          3,31                          4,55 BHT               Fachbereich IV                                                              8,72                          8,19                          6,37 BHT               Fachbereich V                                                               7,73                          6,95                          4,95 BHT               Fachbereich VI                                                            16,12                         19,65                          18,37 BHT               Fachbereich VII                                                             5,79                           3,9                          4,56 BHT               Fachbereich VIII                                                            7,23                          9,68                          7,91 BHT               Fernstudieninstitut                                                         7,55                          8,62                          8,07 BHT               Frauenbeauftragte                                                           0,33                          0,66                          0,46 BHT               Gender- und Technikzentrum                                                  0,25                          0,64                          0,58 BHT               Hochschulrechenzentrum                                                      3,37                          2,16                          2,82 BHT               Hochschulsport                                                              0,77                          0,45                           0,9 BHT               Präsidium                                                                   1,22                          0,17                          0,19 BHT               Referat Forschung                                                           1,54                          1,13                          1,37 BHT               Referat für Öffentlichkeitsarbeit                                           1,77                          1,72                          1,54 BHT               Referat Personal                                                               0                          0,26                             0 BHT               Referat Qualitätsmanagement                                                 2,07                          1,29                          1,42 BHT               Technologietransfer                                                            1                          0,63                          0,87
9

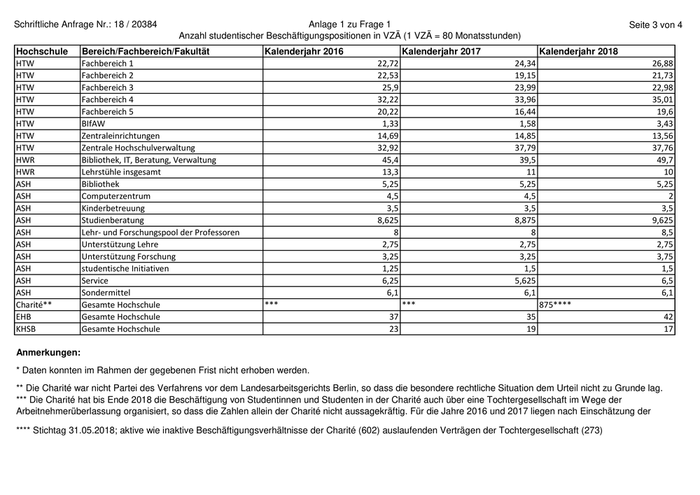
Schriftliche Anfrage Nr.: 18 / 20384                                        Anlage 1 zu Frage 1                                                        Seite 3 von 4 Anzahl studentischer Beschäftigungspositionen in VZÄ (1 VZÄ = 80 Monatsstunden) Hochschule        Bereich/Fachbereich/Fakultät                   Kalenderjahr 2016                 Kalenderjahr 2017             Kalenderjahr 2018 HTW               Fachbereich 1                                                             22,72                         24,34                              26,88 HTW               Fachbereich 2                                                             22,53                         19,15                              21,73 HTW               Fachbereich 3                                                               25,9                        23,99                              22,98 HTW               Fachbereich 4                                                             32,22                         33,96                              35,01 HTW               Fachbereich 5                                                             20,22                         16,44                               19,6 HTW               BIfAW                                                                       1,33                          1,58                              3,43 HTW               Zentraleinrichtungen                                                      14,69                         14,85                              13,56 HTW               Zentrale Hochschulverwaltung                                              32,92                         37,79                              37,76 HWR               Bibliothek, IT, Beratung, Verwaltung                                        45,4                          39,5                              49,7 HWR               Lehrstühle insgesamt                                                        13,3                            11                                10 ASH               Bibliothek                                                                  5,25                          5,25                              5,25 ASH               Computerzentrum                                                              4,5                           4,5                                  2 ASH               Kinderbetreuung                                                              3,5                           3,5                                3,5 ASH               Studienberatung                                                           8,625                         8,875                              9,625 ASH               Lehr- und Forschungspool der Professoren                                       8                             8                                8,5 ASH               Unterstützung Lehre                                                         2,75                          2,75                              2,75 ASH               Unterstützung Forschung                                                     3,25                          3,25                              3,75 ASH               studentische Initiativen                                                    1,25                           1,5                                1,5 ASH               Service                                                                     6,25                        5,625                                 6,5 ASH               Sondermittel                                                                 6,1                           6,1                                6,1 Charité**         Gesamte Hochschule                             ***                               ***                           875**** EHB               Gesamte Hochschule                                                            37                            35                                42 KHSB              Gesamte Hochschule                                                            23                            19                                17 Anmerkungen: * Daten konnten im Rahmen der gegebenen Frist nicht erhoben werden. ** Die Charité war nicht Partei des Verfahrens vor dem Landesarbeitsgerichts Berlin, so dass die besondere rechtliche Situation dem Urteil nicht zu Grunde lag. *** Die Charité hat bis Ende 2018 die Beschäftigung von Studentinnen und Studenten in der Charité auch über eine Tochtergesellschaft im Wege der Arbeitnehmerüberlassung organisiert, so dass die Zahlen allein der Charité nicht aussagekräftig. Für die Jahre 2016 und 2017 liegen nach Einschätzung der **** Stichtag 31.05.2018; aktive wie inaktive Beschäftigungsverhältnisse der Charité (602) auslaufenden Verträgen der Tochtergesellschaft (273)
10

Zur nächsten Seite