Dienstunfälle in Berlin seit dem Jahr 2010

/ 23
PDF herunterladen
IV A - GR 2001-2/2015-25-2 Schriftliche Anfrage Nr. 18/ 17 826                 Anlage 3 zu Frage 8. Einzelplan               Kapitel       Titel             Ansatz gem.    Ist 2018 Haushaltsplan 03                       0300          44379                   24.600     39.740 03                       0391          44379                   12.000     16.741 05                       0500          44379                   92.000   132.881 05                       0531          44379                6.706.000 4.631.002 05                       0561          44379                1.210.000 1.453.018 05                       0571          44379                    3.800      4.212 05                       0572          44379                    3.600      9.712 05                       0573          44379                   18.400     18.033 05                       0574          44379                    8.700     19.809 05                       0575          44379                    1.000      1.965 06                       0600          44379                   40.000     27.389 06                       0605          44379                    1.000           0 06                       0611          44379                    6.600     14.265 06                       0612          44379                   31.500     40.359 06                       0613          44379                    6.900      9.760 06                       0615          44379                   31.000     39.510 06                       0616          44379                   38.100     54.272 06                       0619          44379                   17.300     50.720 06                       0621          44379                    6.300      8.603 06                       0622          44379                    8.500     12.083 06                       0623          44379                   13.100     28.677 06                       0624          44379                    7.700      8.372 06                       0625          44379                    9.600     18.051 06                       0626          44379                    9.000     21.853 06                       0627          44379                   11.500     26.950 06                       0628          44379                   17.200     17.768 06                       0630          44379                   46.600     45.984 06                       0631          44379                    9.100     11.419 06                       0632          44379                    4.100      5.340 06                       0641          44379                    8.100      6.076 06                       0642          44379                   12.500     19.526 06                       0651          44379                   24.600     33.082 06                       0661          44379                   46.000     32.118 06                       0663          44379                   14.300     21.880 06                       0664          44379                    4.000      4.094 06                       0666          44379                   32.200     58.570 06                       0668          44379                   61.000     99.938 06                       0669          44379                   36.000     35.112 06                       0671          44379                    2.200      3.568 06                       0672          44379                   18.100     20.692 06                       0691          44379                    4.500      8.910 07                       0700          44379                    5.500     29.055 08                       0800          44379                   30.000     25.355 08                       0813          44379                    1.000        356 08                       0814          44379                    1.000           0 08                       0841          44379                    5.000           0 09                       0900          44379                   25.100     30.747 1/3
21

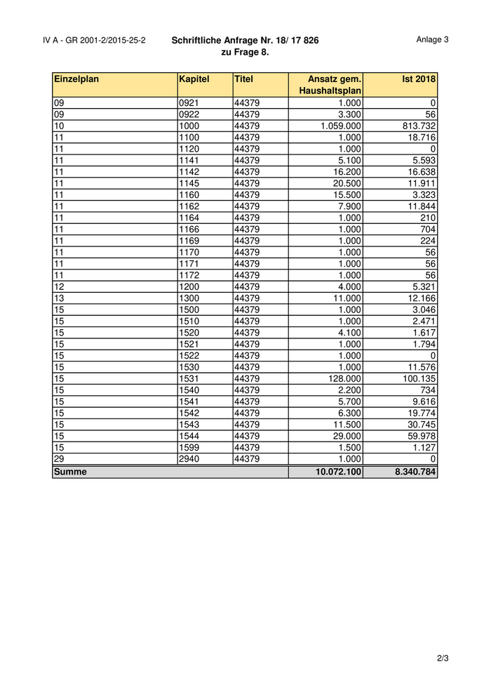
IV A - GR 2001-2/2015-25-2 Schriftliche Anfrage Nr. 18/ 17 826                 Anlage 3 zu Frage 8. Einzelplan               Kapitel       Titel             Ansatz gem.    Ist 2018 Haushaltsplan 09                       0921          44379                    1.000           0 09                       0922          44379                    3.300         56 10                       1000          44379                1.059.000   813.732 11                       1100          44379                    1.000     18.716 11                       1120          44379                    1.000           0 11                       1141          44379                    5.100      5.593 11                       1142          44379                   16.200     16.638 11                       1145          44379                   20.500     11.911 11                       1160          44379                   15.500      3.323 11                       1162          44379                    7.900     11.844 11                       1164          44379                    1.000        210 11                       1166          44379                    1.000        704 11                       1169          44379                    1.000        224 11                       1170          44379                    1.000         56 11                       1171          44379                    1.000         56 11                       1172          44379                    1.000         56 12                       1200          44379                    4.000      5.321 13                       1300          44379                   11.000     12.166 15                       1500          44379                    1.000      3.046 15                       1510          44379                    1.000      2.471 15                       1520          44379                    4.100      1.617 15                       1521          44379                    1.000      1.794 15                       1522          44379                    1.000           0 15                       1530          44379                    1.000     11.576 15                       1531          44379                  128.000   100.135 15                       1540          44379                    2.200        734 15                       1541          44379                    5.700      9.616 15                       1542          44379                    6.300     19.774 15                       1543          44379                   11.500     30.745 15                       1544          44379                   29.000     59.978 15                       1599          44379                    1.500      1.127 29                       2940          44379                    1.000           0 Summe                                                     10.072.100  8.340.784 2/3
22

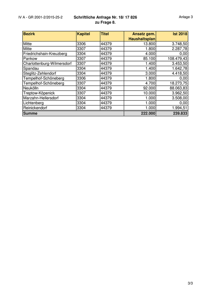
IV A - GR 2001-2/2015-25-2    Schriftliche Anfrage Nr. 18/ 17 826                Anlage 3 zu Frage 8. Bezirk                      Kapitel       Titel             Ansatz gem.   Ist 2018 Haushaltsplan Mitte                       3306          44379                  13.800   3.748,50 Mitte                       3307          44379                   1.800   2.287,78 Friedrichshain-Kreuzberg    3304          44379                   4.000       0,00 Pankow                      3307          44379                  85.100 108.479,43 Charlottenburg-Wilmersdorf  3307          44379                   1.400   3.453,50 Spandau                     3304          44379                   1.400   1.642,78 Steglitz-Zehlendorf         3304          44379                   3.000   4.418,50 Tempelhof-Schöneberg        3306          44379                   1.800       0,00 Tempelhof-Schöneberg        3307          44379                   4.700  18.273,75 Neukölln                    3304          44379                  92.000  88.063,83 Treptow-Köpenick            3307          44379                  10.000   3.962,50 Marzahn-Hellersdorf         3304          44379                   1.000   3.508,00 Lichtenberg                 3304          44379                   1.000       0,00 Reinickendorf               3304          44379                   1.000   1.994,51 Summe                                                           222.000    239.833 3/3
23