Schriftverkehr zur Änderung der Schifffahrtsicherheitsverordnung des BMVI

Dieses Dokument ist Teil der Anfrage „Informationen zur Änderung der Schiffssicherheitsverordnung

/ 903
PDF herunterladen
Stand: 31.10.2019 . ,.·_ '. ... ' Entwurf elner Neunzehnten Schlffssicherheltsanpassungsverordnungij ________________ _ Vom D~s 2019 Bundesministerium fllr Verkehr und digitale lnfrastruktur verordnet des§ 15 des Schiffssicherheitsgesetzes vom 9. September 1998 (BGBI. IS. 2860), der zuletzt durch Artikel555 der Verordnung vom 31. August 2015 (BGBI. IS. 1474) geandert worden ist, des§ 9 Absatz 1 Satz 1 Nummer 2 und 4 bis 7,. auch in Verbindung mit Satz 2 und 3 und Absatz 2 Satz 1 Nummer 1, sowie mit § 9c des Seeaufgabengeset- zes in der Fassung der Bekanntmachung vom 17. Juni 2016 {BGBI. IS. 1489): Artlke11 Anderung der Anlage zum Schiffssicherheitsgesetz Die Anlage zum Schiffssicherheitsgesetz vom 9. September 1998 {BGBI. IS. 2860), die. zuletzt durch Artikel 1 der Verordnung vom 19. Dezember 2018 (BGBI. I S. 2701) geandert worden ist, wird wie folgt geandert: 1. Abschnitt A wird wie fo1gt ([~[!fg!i;!:_ a) Unterabschnitt I wird wie folgt geandert: aa) Nach Nummer 1.0.25 werden folgende Nummem eingefllgt: .1.0.26 1.0.27 Anderung vom Mai 2016 · . {MSC.404{96) Angenommen am 19. Mai 2016 {BGBI. 2019 II Sfl) Anderung vom November 2016 . (MSC.409(97) Angenommen am 25. November 2016 • ~kcl ill dicncn dcr Umsetzung der Richtlini~· ·~- :.:. .'
114

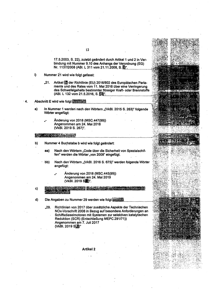
12 17.5.2003, S. 22), zuletzt geandert durch Artikel1 und 2 inVer- bindung mit Nummer 9.10 des Anhangs der Verordnung (EG) Nr. 1137/2008 (ABI. L 311 vom 21.11.2008, s.IJb~: .................... I) Nummer 21 wird wie folgt gefasst: .21. II Artikel der Richtlinie (EU) 2016/802 des Europaischen Parla- ments und des Rates vom 11. Mai 2016 Ober eine Verringerung des Schwefelgehalts bestimmter fJOssiger Kraft- oder Brennstoffe (ABI. L 132 vom 21.5.2016, s.ln)_:~ ......................................... .. · 4. Abschnitt E wird wie folgt ~:.................................................................. a) In Nummer 1 werden· nach den WOrtern .(VkBI. 2015 S. 263)" folgende WOrter angefOgt: .- b) Anderung von 2018 (MSC.447(99)) Angenommen ~m 24. Mai 2018 (VkBI. 2019 S. 267)". Nummer 4 Bu~hstabe b wird wie folgt geandert: aa) Nach den Wortern .Code Ober die Sicherheit von Spezialschif- fen" werden die Worter .von 2008" eingefOgt. bb) Nach den WOrtern .(VkBI. 2016 S. 675)" werden folgende Worter angetagt: · .- --~-~ c) d) Anderung von 2018 (MSC.445(99)) Angenommen am 24. Mai 2019 (VkBI. 2019 sB•. Die Angaben zu Nummer 29 werden wie folgt ..29. 9'ii11...................... Richtlinien von 2017 Ober zusatzliche Aspekte der Technischen NOx-Vorschrift 2008 in Bezug auf besondere Anforderungen an Schiffsdieselmotoren mit Systemen zur selektiven katalytischen Reduktion (SCR) (EntschlieBung MEPC.291n1)) Angenommen am 7. Juli 2017 (VkBI. 2019 Sl])"· Artikel2
115

13 Anderung der Schlffsslcherheltsverordnung Die Schiffssicherheitsverordnung vom 18. September 1998 (BGBI. IS. 3013, 3023}, die zuletzt durch Artikel2 derVerordnung vom 19.Dezember 2018 (BGBI. IS. 2701) geandert worden ist, wird wie folgt geandert: 1. § 12 wird wie folgt geandert: a) In Absatz 3 werden die WOrter ., die zuletzt durch die Artikel 2 der Ver- ordnung (EU) 2015/757 (ABI. L 123 vom 19.5.2015, S. 55Lgeandert worden ist," durch die WOrter ,in ihrer jeweils geltenden Fassung" ftsi'fl ..................... b) c) 2. In Absatz 5 werden die WOrter .Richtlinie 1999/35/EG des Rates vom ·29. April1999 Ober ein System verbindlicher OberprOfungen im Hinblick auf den sicheren Betrieb von Ro-Ro-Fahrgastschiffen und Fahrgast- Hochgeschwindigkeitsfahrzeugen im Linienverkehr (ABI. L 138 vom · 1.6.1999, S. 1)" durch die Worter .Richtlinie (EU) 201712110 des Euro- paischen Parlaments und des Rates vom 15. November 2017 Ober ein System von OberprOfungen im Hinblick auf den sicheren Betrieb von Ro-Ro-Fahrgastschiffen und Fahrgast- Hochgeschwindigkeitsfahrzeugen im Linienverkehr und zur Anderung der Richtlinie 2009/16/EG sowie zur Aufhebung der Richtlinie 1999/35/EG des Rates ~Abl. L 315 vom 30.11.2017, S. 61) in ihrer je- weiligen Fassung" l£~1t~il: .................................................................... In § 13 Absatz 2 ~"f.afd!IL ..........................·................................. ... § 15 wird wie folgt gefasst: Fahrzeuqe. die am 13. Marz 2018 Ober ein SiCherheitszeuqnis fOr Ausbil- dunqsfahrzeuqe nach § 6 Abs. 1 Nr. 7 Buchstabe c) i.V.m. § 15 SchSV 1998 in der Fassung vom 29. Marz 2017 CBGBI. I S. 626) und § 52a Abs. 1 SchSV vom 8. Dezember 1986 in der Fassung der Bekanntmachung vom 3. Septem- ber 1997 (BGBI. IS. 2217), geandert durch die Verordnung vom 19. Juni 1998 CBGBI. IS. 1431). verfOgt haben. erhalten auf Antrag·ein Sicherheitszeugnis nach § 14 See..§portbootV. Das Zeugnjs kann nicht emeuert werden. wenn seit dem Ablaut der GOitiqkeit des letzten Zeygnisses mehr als fOnf Jahre ver- gangen sind. ~- Anlage 1 wird wie folgt geandert: ~) Abschnitt A wird wie folgt geandert: aa) Die Oberschrift wird wie folgt gefasst: .A. Zu den Rechtsakten der Europaischen Gemeinschaften und d~H Europaischen Union in ihrer jeweils geltenden Fassu n ~ 1.·......·......................................... ..,..............................
116

14 filfmrEilmEI ........................... -·:.¢ bb} Unterabschnitt AI wird wie folgt cc} Unterabschnitt All wird wie folgt geandert: dd} Unterabschnitt A. II I. a wird wie folgt fiDiliL ................................~,,., aaa} In Nummer 1.1 werden die WOrter ,.Abwicklung nach el- . nem Unfall" durch die WOrter ,.Aufarbeitung eines Unfalls" ersetzt. bbb} Nummer 1.2 wird wie folgt gefasst: • 1. 2 ccc} Die Berufsgenossenschaft Verkehrswirtschaft Post- Logistik Telekommunikation 1st zustandig fOr a} die Erteilung von Ausnahmen und Befreiun- gel"! im Sinne des Artikels 6 Absatz 3 und des Artikels 9 Absatz 2 und 4 der Richtlinie, b) die Herabsetzung der in Artikel5 der Richtli- nie genannten Grenze von 20 Seemeilen, c) die Entgegennahme der Benennung von FahrgastregisterfOhrern nach Artikel 8 Ab- satz 1 der Rlchtlinie sowie d) die Sicherstellung, dass Gesellschaften ge- maB Artikel 10 Absatz 1 Ober Verfahren fur die Datenregistrierung verfOgen. •. Nummer 2 wird wie folgt gefasst: .2 . K a r t e n d e r S e e g e b i e t e• .Iii................-.... -.-.-.. --.... -... -..... -.-.·-.......··:...... -....... ·-~,, ee} b) ................................ Unterabschnitt AIV wird wie folgt g~.D1f..m: In Abschnitt C Unterabschnitt C.l.6 Nummer 4 warden die WOrter · .Richtlinie 1999/35/EG des Rates vom 29. Apri11999 Ober ein System verbindlicher OberprOfungen im Hinblick auf den slcheren Betrieb von
117

~ . 15 . Ro-Ro-Fahrgastschiffen und Fahrgast- Hochgeschwindigkeitsfahrzeugen im linlenverkehr" durch die Worter ,Richtlinie (EU) 2017/2110 des Europalschen Parlamemts und des Ra- tes vom 15. ·November 2017 Ober ein System von Oberprofungen im Hinblick auf den sicheren Betrieb von Ro-Ro-Fahrgastschiffen und Fahrgast-Hochgeschwindigkeitsfahrzeugen im linienverkehr und zur Anderung der Richtlinie 2009/16/EG sowie zur Aufhebung der Richtlinie 1999/35/EG des Rates (Abl. L 315 vom 30. 11.2017, S. 61) in ihrer je- weiligen Fassung" ersetzt. 31. Anlage 1.a wird wie folgt ge~ndert: ·2}__Nummer 7 wie folgt bl a(j_m_g______________________________ ~----------------·--·----·--· In Teil 3 Kapitel1 Nummer 2.1.8 wei'den die WOrter .der Richtlinie 2009/15iEG" durch die WOrter ..der Verordnung CEGl Nr. 391/2009" er- · setzt. §.4. ·Anlage 2 wird wie folgt [~~~·--···········-~---··--·····················-························ • 1. § 2 Absatz 1 Nummer 1 wird wie folgt geandert: Die Worter .Sport- und Freizeitzwecke" werden durch die Worter .Soort- und Erholungszwecke" ersetzt. hinter den WOrtern .gebaut worden sind und" das Wort " ausschlieBiich" und hinter dem Wort .. Personen" die Worter .zuzOqlich FahrzeugfOhrer und Besatzunq" eingefOgt. 2. Dem § 4 wird folgender Absatz angefOgt: .(4) Absatz 1 gilt nicht fOr Wassermotorrader. die durch FOhr'en ·einer Flagqe oder durch Aufschdften als Wasserrettungsfahrzeuge einer als gemeinnOtzig aner\sannten KOroerschaft qekennzeichnet sind." A.~ ........................................................ - .......................... -------- ................ ·--- ................................................................................................... --- ........ - · Artikel !3 hikrafttreten .. ,..
118

16 I (1) Diese Verordnung tritt (vorbehaltlich ders Absiatzes 2. 3 und 41 am Tag nach der VerkOndul')g in Kraft. (2) Artikel 1 Nummerlj treten am 1. Januar 2020 in Kraft. (3) Artikel1 Nummer 3 Buchstabe a, b, c, d und e treten am 21. Dezember 2019 in Kraft. .I (4) Artikel2 Nummer 2 tritt mit Wirkung vom 14. Marz 2018 in Kraft. Berlin, den Der Bundesminister to··r Verkehr und digitale lnfrastruktur
119

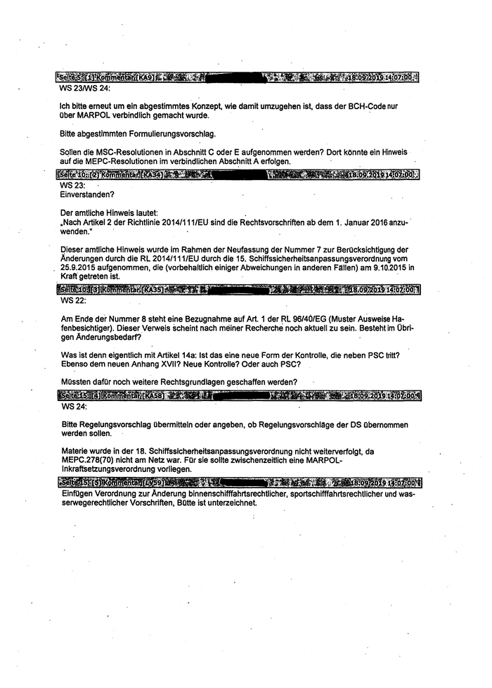
WS23M/S24: lch bitte erneut urn eln abgestimmtes Konzept, wie damIt umzugehen ist, dass der BCH-Code nur Ober MAR POL verbindlich gemacht wurde. · Bitte abgestimmten Formulierungsvorschlag. Sqllen die MSC-Resolutionen in Abschnitt C oder E aufgenommen werden? Dort kOnnte ein Hinweis auf die MEPC-Resolutionen im verbindlichen Absc~nitt A erfolgen. ~ WS23: Einverstanden? Der amtliche Hinweis lautet: .Nach Artikel2 der Richtlinie 2014/111/EU sind die Rechtsvorschriften ab dem 1. Januar 2016 anzu- · wenden." Oieser amtliche Hinweis wurde im Rahmen der Neufassung der Nummer 7 zur Berocksichtigung der Anderungen durch die RL 2014/111/EU durch die 15. Schiffssicherheitsanpassungsverordnung vom 25.9.2015 aufgenommen, die {vorbehaitlich einiger Abweichungen in anderen !=allen) am 9.10.2015 in Kraft· getreten ist. -~fiR. Am Ende der Nummer 8 steht eine Bezugnahme auf Art. 1 der RL 96/40/EG (Muster Ausweise Ha- fenbesichtiger). Dieser Verweis scheint nach meiner Recherche noch aktuell zu sein. Besteht im Obri- gen Anderungsbedarf? Was ist denn eigentlich mit Artikel14a: 1st das eine neue Form der Kontrolle, die neben PSC tritt? Ebenso dem neuen An hang XVII? Neue Kontrolle? Oder auch PSC? MOssten dafOr noch weitere Rechtsgrundlagen geschaffen werden? • ·m'l. WS24: Bitte Regelungsvorschlag Obermitteln oder angeben, ob Regelungsvorschlage der OS Obernommen werden sollen. Materle wurde in der 18. Schiffsslcherheitsanpassungsverordnung nicht weiterverfolgt, da MEPC.278(70) nicht am Netz war. FOr sie sollte zwischenzeitlich eine MARPOL- Inkraffsetzungsverordnung vorliegen. 1111 lfJj .. I ~til~ EinfOgen Verordnung zur Anderung binnenschifffahrtsrechtlicher, sportschifffahrtsrechtlicher und was- serwegerechtlicher Vorschriften, BOtte ist unterzeichnet. rRlmll
120

Von: Ref-W$20 Gesendet: An: Betreff: Anlagen: WG: 19. SchSAnpVO 30.1 0.2019_Entwurf_19. Schiffssicherheitsanpassungsverordnung_WS 22.doc AG Von: Ref-WS22 Gesendet: Montag, 4. November 2019 15:19 An: Ref-WS20 Cc:·--· Betreff: WG: 19. SchSAnpVO im anliegenden Word-Dokument beantworte ich die beiden an WS 22 adressierten Kommentare, die Fragen hinsichtlich der Hafenstaatkontrolle aufwerfen mit der Bitte urn Beriicksichtigung in der 19. SchSAnpVO. lch hoffe, dass die Kommentierung hinreichend nachvollziehbar ist. Ansonsten konnen wir insbes. bzgl. der Umsetzung v. Art. 14a & Anh. XVII der RL 2009/16 auch gern noch einmal sprechen (ich bin allerdings erst am Donnerstag wieder im Hause). Zu der Frage der Anlaufbedingungsvo· sagte mir AStrid, dass ihr dazu morgen ohnehin noch elnmal sprechen werdet. Viele GruBe, f. WS22 Telefon intern: . . . . . 1
121

Von: Ref-WS20 Gesendet: Mittwoch,· 30. Oktober 2019 15:27 An: Ref-WS22 Cc: R e f - W S 2 0 ; · · · · · · · · · - Betreff: 19. SchSAnpVO Liebe Kolleginnen und Kollegen, ich mochte noch mal an die an WS 22 gerichteten Fragen im Entwurf der 19. Schiffssicherheitsanpassungsverordnung erinnern. Daruber hinaus teilte mir WS 23 nach ROcksprache mit, dass man gegen eine Anderung der Anlaufbedingungsverordnung (Art. 3) in der 19. Schiffssicherheitsanpassungsverordnung sei und man deshalb fur die Streichung des entsprechenden Artikels pUidlere (vgl. Entwurf). Sollte WS 22 hier eine andere Auffassung vertreten, .mochte ich darum bitten mit WS 23 eine gemeinsame Losung zu entwickeln und mir diese mitzuteilen. lch bitte urn entsprechende RUckmeldungen bis Dienstag, den 05.11.2019, OS. Freundliche GrOBe f. WS20 2
122

14 Richtlinien fOr die Zulassung von Ballastwasser- .Behandlungssystemen (G8)·(MEPC:174(58)) Angenommen am 10. Oktober 2008 (VkBI. 2011 S. 180, Berichtigung der Bekanntmachung VkBI. 2011 s. 650) Richtlinien fOr die Zulassung von Ballastwasser- Behandlungssystemen (G8) 2016 (MEPC.279(70)) Angenommen am 28. Oktober 2016 (VkBI. 2019 S. 364) 3. Abschnitt 0 wird wie folgt geandert: a) Nummer 6 wird wie folgt gefasst: .6. Bezogen auf die Oberwachung riach §. 1 Nummer 6 Seeaufga- bengesetz sowie auf die Regelungen Ober den Wachdienst nach Abschnitt A Nummer VI und V1.1 di.eser Anlage: . Artikel 3, 5 Absatz 10, Artikel 11 Absatz 2 und 3, Artikel 12 Ab- satz 1 2 und 2a, Artikel 13 bis 16, 18, 19 und 22 bis 24 der Richtlinie 2008/106/EG des Europaischen Parlaments und des R~tes vom 19. November 2008 Ober Mindestanforderungen fOr die Ausbildung von Seeleuten {Neufassung) {ABI. L 323 vom 3.12.2008, S. 33), geandert durch Artikel1 der Richtlinie 2012/35/EU (ABI. L 343 yom 14.12:2012, S. 78)". I b) Der amtliche Hinweis zu Nummer 7Wird gestrichen. c) In Nummer 8 warden die Worter .Artiker2 derVerordnung.(EU) · L 123 vom 19.5.201 S. durch die Worter d) In Nummer 9 warden die WOrter .(Abl. EG Nr. L 235 S. 31)" durch die WOrter •• zuletzt geandert durch Artikel.1 und 2 in Verbindung mit Nummer 9.3 des Anhangs der Verordnung (EG) Nr. 1137/2008 (ABI. L 3·11 vom 21.11.2008, S. 1)" ersetzt. e) In Nummer 10 warden die Warter .(ABI. L 257 vom 28.8.2014, S. 146)" durch die Worter .(ABI. L 257 vom 28.8.2014, S. 146; Berichtiguf!g ABI. L 146 vom 11.6.2018, S. 8)" ersetzt. f) In Nummer 12 werden die WOrter .Artikel1 der Richtlinie (EU) 2016/844 (ABJ. L 141 vom 28.5.2016, S. 51; L ·193 vom 19.7.2016, S. 117)" durch die WOrter ,.Artike11 der Richtlinie (EU) 201712108 (ABI. L 315 vom 30.11.2017, S. 40)" ersetzt. g) Nummer 13 wird wie folgt gefasst:
123

Zur nächsten Seite