Forst- und Holzwirtschaft in Baden-Württemberg

/ 24
PDF herunterladen
Landtag von Baden-Württemberg                                                          Drucksache 16 / 1775 14. Welche denkbaren Handlungsmöglichkeiten mit Blick auf die Zertifizierungs- systeme „Programme for the Endorsement of Forest Certification Schemes“ (PEFC) und „Forest Stewardship Council“ (FSC) zieht sie als mögliches Er- gebnis einer einschlägigen Evaluation in Betracht? Zu 14.: Dies hängt von den Ergebnissen der Evaluation ab (siehe Ziff. 13). 15. Welche Projekte hat das Land im Zusammenhang mit der Clusterinitiative „Forst und Holz Baden-Württemberg“ seit deren Gründung gefördert (tabel- larisch jeweils unter Angabe von Projektträger, Förderzweck und Förder- höhe)? Zu 15.: Siehe Anlage. 16. Wieviel Prozent des Umsatzes der baden-württembergischen Holz- und Säge- industrie ist dem Holzbau zuzuschreiben? Zu 16.: Hier wird auf folgende Clusterstudie verwiesen: B. Seintsch; Cluster Forst und Holz nach neuer Wirtschaftszweigklassifikation; Tabellen für das Bundesgebiet und die Länder 2000 bis 2011; Thünen Working Paper 5; Hamburg; Juni 2013; Abrufbar unter URL: http://literatur.ti.bund.de/dig- bib_extern/bitv/dn052186.pdf Der Studie zufolge betrug der Umsatzanteil des baden-württembergischen Holz- baugewerbes (Zimmerer, Bautischlerei- und Schlosserei, Parkettlegerei [bis 2008] und Holzfertigbau [ab 2009]) am Umsatz des Gesamtclusters in den Jahren 2000 bis 2011 zwischen 7 % und 10 %. Der Umsatzanteil der baden-württembergischen Sägeindustrie am Umsatz des Gesamtclusters betrug zwischen 2000 und 2011 zwischen 5 % und 7 %. Im Folgenden ein Ausschnitt aus der Studie, Baden-Württemberg betreffend. 11
11

[ 016902 | zı86z Jerszcr [ vcooen 6 | uszosez | 0806 Te

Ir

id
i
218
E|sjel3]5
2a

E5

22
elaiele| jdlefal eier
19] 121 [elsi8ls

ER

Bra:
ER
ae

=
8
m
E
7
-
I

h

RITTER

&
=

sr TS ren Fer
[ses [eo |zesı [core jenes |, jo |
Less _ [os | szes |oseose | errzzzı | ooz joe |
[sus | zeos | zmior | surzos | wesszze | 762 jeooz |
[zeı [cr [rs [weis [oem |eıs |cooz |
Le2 [e — Teer [ee eine 2 oT

| vsorız | Busse | vesesı | osoweze | eiesessz | Ess jvooz |

us I la Two ar [m har

[ses Te Tees —Treres [esse [Fr Iron |
[srwz [ser [20 | seseer |[zesszzu [ze jrooz |
[oreer | veoTı | ıpiee | oszıest [essesse | woz jronz |
[esse I es —Tzurız Terzvooz | isses | ea —jrooz |

Peer pe er er es
[zez0: [eos [west |erzwe | zessooz |eose jrooe |
[ser — [ze — Teer [ezeis fees [er Jon |
[zozes _ | eı0s _|eeszw | zerezen | ıscores | sens _jrooz |
[sr fee Time [emeeı [escze |os jronz |
[se es Tore | ee [osrseı [eız ro |

| sroisez | sarre [ BrZZBr | Bahzeson | Ssezzrie | werde [100 |

Pr Pr Pr

[er0ı [eo ——Tse2 | oersz _[osezer [ss Jiooe
[vesz [802 [ooz | eos | Pen |
[oss06 Tossı Touszr | oeouesı |esszuur esse |1ocr

 

er rer por
Lrisıe _|eses _|eseze | wrerz |essssre | eorı jener |
| SEES | zoo | vorn | zısosze | serzezor | Euse eooz |
[weu [ei Tezısı [io |memse [ee joa |

Ps ser re pe ee Te
for Tesa ferar Teware for I | esmmeme sr

esse [ae fees fessere [messe fee [nor
Lizsse | zesoı | zoez | eswissz [ozmez | zecı jo |
Peseze | wooTz | werzs [Weeze [moemrzr [core jmoz |
Lssseı [eier | iso | mzzeoı [messe | ee for |
Forzoı fe, I ooso Tceeses Teszzoe [1 Imor |

en re en

Loser [zer Tess [msi ssost [ee ne U
Fsorsz _ [ersz | serız [seco [emwzz |suzw _ jooz |

[ers [zei | oeoo |eezes | zıcıs | ce oz |

Fairz fer —eere iso [omas _fours Io | TrsmsemSemmnne
Der free fezeı  [worze Toren [Ber joe |

Lrzeee _|e06ı | zoo | serzoeı | zıomse | rei joe |
[eve _ [eres | esrzs | 1ezesz | eswzoez | 008 joe |  Sapsmsnsapumagessn zich]
[ze [16 feosz [immer |veıe | joe | __emsneugoispnzen]
sis [ps vers —]ooıs: | zossr 005 Ioor |
12

$

if

EEE

BEE
RT

&
o

5 S

Ir

| 050 |
m |
| us |
a9
ayeys

GEBE

KarLez | eBeIr |

28
elE

8 & &

I

(a

hi

zu
"Spwessg | Bnyßuusg| Terzos

Ei

:

iniulii.i

ai

| zeyosı | ozewe | serser | Bzsone | oozoreoe | eoosr josoz |

[ vessı |exzz |eesor | oz Jerez [asz oz |
[ass | zo | sesoı | zıssıs |sızzsı [ine los
| Bsee [use [sesee | zmmseor | Zmwoor [eBss foroe |
[ıese Ts Jısıe (zes LSoseoz [er loss
[zes [ir [zes [esse [zus [rei lo
[zer (rm Lee [ses [ziosse [os loroz |
BEE EEE BEE EEE BEE EEE

Pers — rs — se ee rose ps — ie]
[erss _jomz _[surz |sowom |oneserz joe joe |
[ezsı [zz ee |moscı jomsz [ze joe |
[rss 0 Tore [ame [mes  T18e io}
Orive | zız __[eizw | osoe | zssees [esse joiez |

Sun PS
ee s-ease
awessg | Bryßuusg| “Ieızos |-pamopnug| Zzesun

12002
[ses Te Tooz _Tosres [zıeme [es vor |
[esez _jezz jezer |cıewer |esesser [ze jzoz |
[zoose | 801 | scoze | osreesı |ezzemoe |esrz luoor |
[ososz 1 s2rz —Teezoe [sersize [rzresce Tesıı joor |
[esswz | vezer | muzze | 1ewze | osrezeor |mee _ z0z |
[ee [em jezser [essorı [eszase jem on |

 

 

| Kurzer |esere | osem [ernuse | szsisersz | Beozı |sooz | yjwesaß zioH pun gu04 Jagen]

ZIEH Sne UsWweWeeNeg Smos'
1:3 BBO’L B100E5 UNER[EUZIOH USÖRSUOS ynu Bpueygjaus)

[0 [5 |. | rose | ossers [or  Toooz | zoumuyss pun yoy pu PpueyzICH

1
iM.
1
i

15
ei

wol

Hi

S a
a

Or 1a
&

8

5

ei

ei

   

 

| li:
ze] |* "F[EIS|E

BEUnSIERSUG eWSUm Sg
Ho

 

| ze0z | zes | eswwsr | eerzers | zerzzeze | 906 |sooz | pjuesaß zion pun 7504 1agnıp]

ZION srıe EWBWEENEg Sms
mei [rn looı [uses I sono [se __ looz | vonnassnuntaser mu munuuno
6 |. [zo [Hits Jose Jos  loooz | ZIUUNDS pun 04 au BPUEYZIOH
Lmze [be [a_[iesser [veomeı Pe a | Bez

ten best 202 leo

 

Er EC
ea:

1:

ass — ss — ms — Ss oe en —

Fassun — [ss —osse —[ooszze —Fezrwsz fear — soo | mmnss sommer zu
[esı [102 [eos [zsozoı [mer jo joooz | SEE WEREUmERS
Fee jo ser [mens [oszee [ee joooe |
[Be0s [102 | moes [saesz [see  [zise fon] ———— yerpspmgieg

=
aßıyeyos | yeyssag | yeyssag | Bunydoyss | (oung psj)
-aqwessg | Bryßuusg| jerzos |-yamogng | zesumn Busqwagunm-uapeg|
13

Landtag von Baden-Württemberg                                                               Drucksache 16 / 1775 17. Wie hoch sind jeweils der Importanteil und der Anteil heimischen Holzes, das in Baden-Württemberg und Deutschland verwendet wird (aufgeschlüsselt nach Bau- und Verpackungsholz)? Zu 17.: Es liegen dem statistischen Landesamt keine Daten hierzu vor. 18. Was sind in Baden-Württemberg und Deutschland die wichtigsten Verwen- dungen für Importschnittholz (aufgeschlüsselt nach Nadel- und Laubholz)? Zu 18.: Eine Unterscheidung in der Verwendung zwischen Importholz und heimischem Holz kann nur anhand der Holzarten getroffen werden. Grundsätzlich gilt: es gibt keinen Verwendungsunterschied bei Holz von Bäu- men, die in Baden-Württemberg vorkommen. Das betrifft zum Beispiel Fichte, Tanne, Buche, Eiche. Nadelholz wird in Baden-Württemberg bzw. Deutschland tendenziell eher für konstruktive Zwecke im Baugewerbe verwendet, wohingegen Laubholz eher im dekorativen Bereich und Möbelbau zu finden ist. Holz, das von nicht in Baden-Württemberg wachsenden Bäumen kommt, wird nach ihren Eigenschaften unterschiedlich verwendet. So wird zum Beispiel Ma- hagoni (Sammelname für ca. 1400 Arten) gerne für dekorative Zwecke verwen- det. Bankirai wird hingegen für Terassendielen verwendet. In den letzten Jahr(zehnt)en ist die Einfuhr für tropisches Holz jedoch auf Grund von CITES (Artenschutzabkommen) der VO (EG) Nr. 338/97 stark zurückgegangen. 19. Wie hat sich die Importmenge von Nadelschnittholz in den vergangenen 30 Jahren in Deutschland und Baden-Württemberg entwickelt? Zu 19.: Die Gliederung nach Warengruppen und -untergruppen der Ernährungs- und der Gewerblichen Wirtschaft (EGW) ist eine nationale Warenklassifikation. Metho- disch vergleichbare Zeitreihen aus der Außenhandelsstatistik sind ab 2002 mög- lich, da die dieser Erhebung zugrundliegende EGW-Systematik zum Stand 2002 revidiert wurde und mit früheren Jahren nicht verglichen werden kann. Für das Bundesgebiet liegen diese Auswertungen erst ab dem Berichtsjahr 2008 vor. Es findet in der EWG-Klassifikation keine Unterteilung in Nadelschnittholz und Laubschnittholz statt. Es kann aber davon ausgegangen werden, dass der Anteil des Nadelschnittholzes deutlich über dem des Laubschnittholzes liegt. (LQIXKU%DGHQ:UWWHPEHUJVYRQ6FKQLWWKRO] (*:1UXQG  (*:6FKQLWWKRO] -DKU       %DGHQ:UWWHPEHUJ               'HXWVFKODQG NJ        (XUR           NJ             (XUR                                                                                                                                                       9RUOlXILJH(UJHEQLVVH 14
14

Landtag von Baden-Württemberg                                                        Drucksache 16 / 1775 20. Wie hat sich in den vergangenen 30 Jahren die Quote heimischen Holzes am Gesamtholzverbrauch in Deutschland und Baden-Württemberg entwickelt (ta- bellarisch aufgelistet nach Kalenderjahren sowie nach Nadelschnittholz, Laubschnittholz, Nadelrohholz und Laubrohholz)? Zu 20.: Es liegen dem Statistischen Landesamt keine Daten hierzu vor. 21. Wie haben sich in den vergangen 30 Jahren die Außenhandelssalden Deutsch- lands und Baden-Württembergs bei Nadelschnittholz, Laubschnittholz, Nadel- rohholz und Laubrohholz entwickelt? Zu 21.: Außenhandelssalden sind über das Statistische Bundesamt bis 2006 frei zugäng- lich. Die Daten wurden anhand des „Warenverzeichnis für die Außenhandels- statistik (Ausgabe 2016)“ (die nicht der EWG-Klassifikation entspricht) auf- summiert. Nicht in die Tabelle aufgenommen wurden Baumarten, die nicht in Deutschland vorkommen (Tropenholz). 15
15

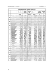
Landtag von Baden-Württemberg                                                       Drucksache 16 / 1775  & RS\ULJKW6WDWLVWLVFKHV%XQGHVDPW 'HVWDWLV   $XVIXKU                                 (LQIXKU  $XVIXKU     $XVIXKU                   (LQIXKU   (LQIXKU                      %HVRQGHUH                               %HVRQGHUH *HZLFKW     :HUW                     *HZLFKW    :HUW 0D‰HLQKHLW                               0D‰HLQKHLW 7VG                       $Q]DKO            W     7VG(85       $Q]DKO          W (85 1DGHOURKKRO]                                      /DXEURKKRO]                                             1DGHOVFKQLWWKRO]                         /DXEVFKQLWWKRO]                        1DGHOURKKRO]                                      /DXEURKKRO]                                         1DGHOVFKQLWWKRO]                            /DXEVFKQLWWKRO]                                  1DGHOURKKRO]                                      /DXEURKKRO]                                       1DGHOVFKQLWWKRO]                              /DXEVFKQLWWKRO]                                       1DGHOURKKRO]                                      /DXEURKKRO]                                               1DGHOVFKQLWWKRO]                                /DXEVFKQLWWKRO]                          1DGHOURKKRO]                                    /DXEURKKRO]                             1DGHOVFKQLWWKRO]                                        /DXEVFKQLWWKRO]                              1DGHOURKKRO]                                        /DXEURKKRO]                              1DGHOVFKQLWWKRO]                                 /DXEVFKQLWWKRO]                                         1DGHOURKKRO]                                      /DXEURKKRO]                                          1DGHOVFKQLWWKRO]                                       /DXEVFKQLWWKRO]                                       1DGHOURKKRO]                                   /DXEURKKRO]                                      1DGHOVFKQLWWKRO]                        /DXEVFKQLWWKRO]                           1DGHOURKKRO]                                    /DXEURKKRO]                                              1DGHOVFKQLWWKRO]                                  /DXEVFKQLWWKRO]                                      1DGHOURKKRO]                                        /DXEURKKRO]                          1DGHOVFKQLWWKRO]                          /DXEVFKQLWWKRO]                                      1DGHOURKKRO]                                     /DXEURKKRO]                                         1DGHOVFKQLWWKRO]                                 /DXEVFKQLWWKRO]                                        16
16

Landtag von Baden-Württemberg                                                                     Drucksache 16 / 1775 Nach Angabe des statistischen Landesamts ergeben sich folgende Tabellen, für die wiederum die Gliederung nach Warengruppen und -untergruppen der Er- nährungs- und der Gewerblichen Wirtschaft (EGW) verwendet wurden. Es erfolgt daher keine Unterteilung in Nadel- und Laubholz. „Ausfuhr Baden-Württembergs von Rund- und Schnittholz (EWG-Nr. 511 und 607) für die Jahre 2002 bis 2016 (vorläufig)“. $XVIXKU%DGHQ:UWWHPEHUJVYRQ5XQGXQG6FKQLWWKRO] (*:1UXQG  (*:5XQGKRO]                                            (*:6FKQLWWKRO] -DKU         %DGHQ:UWWHPEHUJ                  'HXWVFKODQG                 %DGHQ:UWWHPEHUJ                 'HXWVFKODQG NJ           (XUR          NJ           (XUR             NJ          (XUR            NJ            (XUR                                                                                                                                                                                                                                                                                                                                                                                                                                                                                                                                                                                        9RUOlXILJH(UJHEQLVVH „Einfuhr Baden-Württembergs von Rund- und Schnittholz (EWG-Nr. 511 und 607) für die Jahre 2002 bis 2016 (vorläufig)“. (LQIXKU%DGHQ:UWWHPEHUJVYRQ5XQGXQG6FKQLWWKRO] (*:1UXQG  (*:5XQGKRO]                                            (*:6FKQLWWKRO] -DKU         %DGHQ:UWWHPEHUJ                  'HXWVFKODQG                 %DGHQ:UWWHPEHUJ                 'HXWVFKODQG NJ           (XUR           NJ          (XUR             NJ          (XUR            NJ            (XUR                                                                                                                                                                                                                                                                                                                                                                                                                                                                                                                 9RUOlXILJH(UJHEQLVVH 17
17

Landtag von Baden-Württemberg                                                         Drucksache 16 / 1775 22. Welchen jeweiligen Anteil daran haben die unmittelbar an Deutschland be- ziehungsweise Baden-Württemberg grenzenden europäischen Nachbarländer? Zu 22.: Grundsätzlich sind Auswertungen aus der Außenhandelsstatistik nach einzelnen Staaten möglich. Solche Auswertungen konnten innerhalb der gegebenen Frist mit vertretbarem Aufwand nicht durchgeführt werden. 23. Welche konkreten Maßnahmen leitet sie aus folgender Aussage auf Seite 102 des Koalitionsvertrages ab beziehungsweise wie gedenkt sie diese in der Pra- xis konkret umzusetzen: „Wir wollen […] regionale Kreisläufe in der Forst- und Holzwirtschaft stärken“? Zu 23.: Mit konkreten Maßnahmen wie der Förderung von innovativen Holzbauten wer- den regionale Kreisläufe und die Wertschöpfung im ländlichen Raum gestärkt. Die Landesregierung hat eine Reihe von Maßnahmen ergriffen, um die Verwen- dung von klimaschonenden und nachhaltigen Baustoffen zu unterstützen. Im We- sentlichen sind dies Maßnahmen im Rahmen der Förderprogramme „Europä- ischer Fond für regionale Entwicklung (EFRE)“ – Holz Innovativ Programm (VwV HIP) und dem „Entwicklungsprogramm Ländlicher Raum (ELR)“. Darü- ber hinaus führt das Land eine Machbarkeitsstudie zu einem „Technikum Holz“ durch. Dabei wird geprüft, welche Potentiale und Marktchancen im Aufschluss von Rohfasern, vor allem beim derzeit überwiegend thermisch benutzten Laub- holz in Baden-Württemberg bestehen. Durch das landesweite Clustermanagement Forst & Holz sowie mit Aktivitäten der proHolzBW GmbH mit den neuen Angeboten einer Holzbau-Fachberatung, Infor- mationen zur Holzverwendung, der Publikation vorbildlicher Holzbauten wird auch die Verwendung regionaler Produkte der Forst- und Holzwirtschaft flankiert und die wertschöpfende Verwendung von Holz vorangetrieben. Zudem besteht ei- ne umfassende Datenbank zu vorbildlichen Holzbauten im Bereich aller wesent- lichen Bauaufgaben. Mit zahlreichen Netzwerk- und Informationsveranstaltungen werden die vielseitigen Möglichkeiten des Holzbaus aufgezeigt und relevante Ak- teure im Netzwerk in Austausch gebracht. Aktuelle Veranstaltungen waren das Fo- rum Baukultur, die Cluster innovativ-Veranstaltungen „Urbane Nachverdichtung durch Aufstockung“ und „Potentiale im sozialen Wohnungsbau“. Mit der Fachtagung Holzbau werden bedeutende Zielgruppen wie Architekten und Ingenieure erreicht und die Holzbaukultur, die im Wesentlichen auf regiona- len Kreisläufen basiert, weiter entwickelt. Mit dem alle drei Jahre ausgelobten Holzbaupreis Baden-Württemberg werden die innovativsten Holzbauten im Land prämiert und im Internet sowie in Informationsbroschüren den Verbrauchern zu- gänglich gemacht. Zentrales Ziel ist die Erhaltung und Weiterentwicklung der Spitzenposition des Landes als Holzbauland Nummer 1. 24. Welche Marktdurchdringung erreichen ihrer Kenntnis nach bisher private Regionalitätsnachweise wie das Label „Holz von hier“ auf dem deutschen und baden-württembergischen Holzmarkt? Zu 24.: Im Rahmen der Förderung hat Baden-Württemberg die Implementierung des La- bels „Holz von Hier“ unterstützt. Die Marktdurchdringung wird derzeit noch als gering eingestuft. 18
18

Landtag von Baden-Württemberg                                                      Drucksache 16 / 1775 25. Wie bewertet sie das PEFC-Regional-Label „Heimisches Holz aus Bayern“ und dessen Marktdurchdringung als mögliches Vorbild für eine baden-würt- tembergische PEFC-Regionalzertifizierung? Zu 25.: Die Landesregierung begrüßt generell Initiativen zur Stärkung der regionalen Wertschöpfung und unterstützt diese im Rahmen der gegebenen Möglichkeiten. So hat das Ministerium für Ländlichen Raum und Verbraucherschutz bereits in der Vergangenheit die gemeinnützige Organisation „Holz von hier“ mit einem Projekt zur Implementierung eines Regionallabels im Holzsegment in Baden- Württemberg gefördert (vergleichbar mit PEFC-Regional-Label). Derzeit werden in einem weiteren Regionallabel für Holz keine gesteigerten Marktdurchdringungspotenziale gesehen. In Vertretung Puchan Ministerialdirektorin 19
19

20                                                                                                                                     Anlage 5LFKWOLQLH&OXVWHU)RUVWXQG+RO]XQG+RO],QQRYDWLY3URJUDPP                                                                                                                                                                              1XPPHU  1DPH=XZHQGXQJVHPSIlQJHU                               3URMHNWEHVFKUHLEXQJ                                  6XPPH|IIHQWOLFKH 0LWWHO           )RUVWNDPPHU%DGHQ:UWWHPEHUJH9              (QWZLFNOXQJYRQ3ULYDWZDOGVWUXNWXUHQ                                    0LQLVWHULXPIU/lQGOLFKHQ5DXPX                 5:%()5(ELV $QDO\VHGHUVSH]LILVFKHQ              9HUEUDXFKHUVFKXW]%DGHQ:UWWHPEHUJ                :HWWEHZHUEVVLWXDWLRQGHV&OXVWHUV)RUVWXQG+RO]LQ %DGHQ:UWWHPEHUJXQG$EOHLWXQJYRQ +DQGOXQJVHPSIHKOXQJHQ Landtag von Baden-Württemberg           0LQLVWHULXPIU/lQGOLFKHQ5DXPX                 5:%()5(ELV (UDUEHLWXQJHLQHV                      9HUEUDXFKHUVFKXW]%DGHQ:UWWHPEHUJ                DNWXHOOHQ,QLWLDWLYHQ9HU]HLFKQLVVHVEHVWHKHQGHU 1HW]ZHUNHLP%HUHLFK&OXVWHU)RUVWXQG+RO]%DGHQ :UWWHPEHUJ           :LUWVFKDIWVI|UGHU*HVPE+5HJLRQ2VWZUWWHPEHUJ +RO]NRPSHWHQ]LQGHQ/DQGNUHLVHQ+HLGHQKHLP                   6FKZlELVFK+DOOXQGGHP2VWDOENUHLV±+RO] NRPSHWHQ]ñ           +RO]NHWWH6FKZDU]ZDOGH9                     6FKZDU]ZlOGHU+RO]WDJH                                              /DQGHVEHLUDW+RO]H9                         /DQGHVZHLWHV&OXVWHUPDQDJHPHQW                                          $OEHUW/XGZLJV8QLYHUVLWlW)UHLEXUJ              8PZHOWIUHXQGOLFKH+RFKOHLVWXQJVNOHEVWRIIHPLW                    1DQR]HOOXORVH           1HW]ZHUN+RO]LQGXVWULH%DGHQ:UWWHPEHUJH9   :HLWHUHQWZLFNOXQJGHV1HW]ZHUNVGXUFKHLQHQHXH                ,QWHUQHWSUlVHQ]UHJLRQDOH$XVGHKQXQJGXUFK 0LWJOLHGHUZHUEXQJVRZLHGXUFKUHJLRQDOHQXQG EHUUHJLRQDOHQ:LVVHQVWUDQVIHU            +RFKVFKXOHIU)RUVWZLUWVFKDIW5RWWHQEXUJ         ,QQR'U\PHFKDQLVFKWKHUPLVFKH7URFNQXQJYRQ                   6lJHQHEHQSURGXNWHQ          6lJHZHUN(FKWOH.*                              ,QQR'U\PHFKDQLVFKWKHUPLVFKH7URFNQXQJYRQ                     6lJHQHEHQSURGXNWHQ          )RUVWZDUH,QIRUPDWLRQVV\VWHPH*PE+               2SWLPLHUXQJGHU'LVSRVLWLRQYRQ7UDLOHUIORWWHQ                          $OEHUW/XGZLJV8QLYHUVLWlW)UHLEXUJ              2SWLPLHUXQJGHU'LVSRVLWLRQYRQ7UDLOHUIORWWHQ                          )RUVWZLUWVFKDIWOLFKH9HUHLQLJXQJ6FKZDU]ZDOGH*  ,QWHURUJDQLVDWRULVFKH3UR]HVVRSWLPLHUXQJLQ                     NRRSHUDWLYHQ0RGHOOHQ          .DUOVUXKHU,QVWLWXWIU7HFKQRORJLH .,7         (QWZLFNOXQJHLQHV9HUIDKUHQVDXI*UXQGODJHGHU                 &RPSXWHUWRPRJUDSKLH]XU.ODVVLIL]LHUXQJYRQ QDWUOLFKJHZDFKVHQHP5XQGKRO] &763(& Drucksache 16 / 1775
20

Zur nächsten Seite