Bautätigkeit an Baustellen auf Bayerns Autobahnen und Bundesstraßen II

/ 28
PDF herunterladen
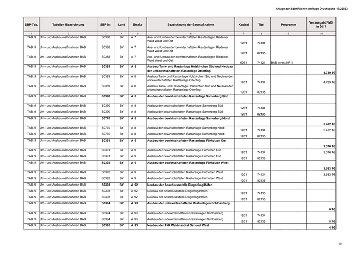
Anlage zur Schriftlichen Anfrage Drucksache 17/22823 Verausgabt FMS SBP-Tab.         Tabellen-Bezeichnung SBP-Nr. Land  Straße                Bezeichnung der Baumaßnahme                 Kapitel  Titel        Programm in 2017 1                       2             3      4      5                                 6                               7       8               9                      10 TAB. 9  Um- und Ausbaumaßnahmen BAB   S0388   BY  A7      Aus- und Umbau der bewirtschafteten Rastanlagen Riedener Wald West und Ost 1201   74134 TAB. 9  Um- und Ausbaumaßnahmen BAB   S0388   BY  A7      Aus- und Umbau der bewirtschafteten Rastanlagen Riedener Wald West und Ost 1201   82135 TAB. 9  Um- und Ausbaumaßnahmen BAB   S0388   BY  A7      Aus- und Umbau der bewirtschafteten Rastanlagen Riedener Wald West und Ost 6091   74121  BAB Invest KP II TAB. 9  Um- und Ausbaumaßnahmen BAB   S0389   BY  A8      Ausbau Tank- und Rastanlage Holzkirchen Süd und Neubau der unbewirtschafteten Rastanlage Otterfing 4.789 T€ TAB. 9  Um- und Ausbaumaßnahmen BAB   S0389   BY  A8      Ausbau Tank- und Rastanlage Holzkirchen Süd und Neubau der unbewirtschafteten Rastanlage Otterfing 1201   74134                                        4.789 T€ TAB. 9  Um- und Ausbaumaßnahmen BAB   S0389   BY  A8      Ausbau Tank- und Rastanlage Holzkirchen Süd und Neubau der unbewirtschafteten Rastanlage Otterfing 1201   82135 TAB. 9  Um- und Ausbaumaßnahmen BAB   S0390   BY  A8      Ausbau der bewirtschafteten Rastanlage Samerberg Süd TAB. 9  Um- und Ausbaumaßnahmen BAB   S0390   BY  A8      Ausbau der bewirtschafteten Rastanlage Samerberg Süd 1201   74134 TAB. 9  Um- und Ausbaumaßnahmen BAB   S0390   BY  A8      Ausbau der bewirtschafteten Rastanlage Samerberg Süd 1201   82135 TAB. 9  Um- und Ausbaumaßnahmen BAB   S0770   BY  A8      Ausbau der bewirtschafteten Rastanlage Samerberg Nord 5.432 T€ TAB. 9  Um- und Ausbaumaßnahmen BAB   S0770   BY  A8      Ausbau der bewirtschafteten Rastanlage Samerberg Nord 1201   74134                                        5.432 T€ TAB. 9  Um- und Ausbaumaßnahmen BAB   S0770   BY  A8      Ausbau der bewirtschafteten Rastanlage Samerberg Nord 1201   82135 TAB. 9  Um- und Ausbaumaßnahmen BAB   S0391   BY  A9      Ausbau der bewirtschafteten Rastanlage Fürholzen Ost 3.376 T€ TAB. 9  Um- und Ausbaumaßnahmen BAB   S0391   BY  A9      Ausbau der bewirtschafteten Rastanlage Fürholzen Ost 1201   74134                                        3.376 T€ TAB. 9  Um- und Ausbaumaßnahmen BAB   S0391   BY  A9      Ausbau der bewirtschafteten Rastanlage Fürholzen Ost 1201   82135 TAB. 9  Um- und Ausbaumaßnahmen BAB   S0392   BY  A9      Ausbau der bewirtschafteten Rastanlage Fürholzen West 3.583 T€ TAB. 9  Um- und Ausbaumaßnahmen BAB   S0392   BY  A9      Ausbau der bewirtschafteten Rastanlage Fürholzen West 1201   74134                                        3.583 T€ TAB. 9  Um- und Ausbaumaßnahmen BAB   S0392   BY  A9      Ausbau der bewirtschafteten Rastanlage Fürholzen West 1201   82135 TAB. 9  Um- und Ausbaumaßnahmen BAB   S0393   BY  A 92    Neubau der Anschlussstelle Dingolfing/Höfen TAB. 9  Um- und Ausbaumaßnahmen BAB   S0393   BY  A 92    Neubau der Anschlussstelle Dingolfing/Höfen 1201   74135 TAB. 9  Um- und Ausbaumaßnahmen BAB   S0393   BY  A 92    Neubau der Anschlussstelle Dingolfing/Höfen 1201   82135 TAB. 9  Um- und Ausbaumaßnahmen BAB   S0394   BY  A 93    Ausbau der unbewirtschafteten Rastanlagen Schlossberg 0 T€ TAB. 9  Um- und Ausbaumaßnahmen BAB   S0394   BY  A 93    Ausbau der unbewirtschafteten Rastanlagen Schlossberg 1201   74134 TAB. 9  Um- und Ausbaumaßnahmen BAB   S0394   BY  A 93    Ausbau der unbewirtschafteten Rastanlagen Schlossberg 1201   82135                                            0 T€ TAB. 9  Um- und Ausbaumaßnahmen BAB   S0395   BY  A 93    Neubau der T+R Waldnaabtal Ost und West 4 T€ 19
21

Anlage zur Schriftlichen Anfrage Drucksache 17/22823 Verausgabt FMS SBP-Tab.         Tabellen-Bezeichnung SBP-Nr. Land  Straße               Bezeichnung der Baumaßnahme               Kapitel  Titel     Programm in 2017 1                       2             3      4      5                                   6                          7       8           9                        10 TAB. 9  Um- und Ausbaumaßnahmen BAB   S0395   BY  A 93    Neubau der T+R Waldnaabtal Ost und West 1201   74134                                          3 T€ TAB. 9  Um- und Ausbaumaßnahmen BAB   S0395   BY  A 93    Neubau der T+R Waldnaabtal Ost und West 1201   82135                                          1 T€ TAB. 9  Um- und Ausbaumaßnahmen BAB   S0396   BY  A 99    Verlegung der AS Aschheim/Ismaning 667 T€ TAB. 9  Um- und Ausbaumaßnahmen BAB   S0396   BY  A 99    Verlegung der AS Aschheim/Ismaning 1201   74135                                        667 T€ TAB. 9  Um- und Ausbaumaßnahmen BAB   S0396   BY  A 99    Verlegung der AS Aschheim/Ismaning 1201   82135 TAB. 10 Um- und Ausbaumaßnahmen BStr  S0994   BY  B 10    Umbau der Kreuzung Europastraße/Otto-Hahn-Straße/Otto- Renner-Straße TAB. 10 Um- und Ausbaumaßnahmen BStr  S0994   BY  B 10    Umbau der Kreuzung Europastraße/Otto-Hahn-Straße/Otto- Renner-Straße 1201   74145 TAB. 10 Um- und Ausbaumaßnahmen BStr  S0994   BY  B 10    Umbau der Kreuzung Europastraße/Otto-Hahn-Straße/Otto- Renner-Straße 1201   82145 TAB. 10 Um- und Ausbaumaßnahmen BStr  S0447   BY  B 11    Ausbau von Urfeld bis Walchensee mit Steinschlag- und Lawinensicherung, 2. BA TAB. 10 Um- und Ausbaumaßnahmen BStr  S0447   BY  B 11    Ausbau von Urfeld bis Walchensee mit Steinschlag- und Lawinensicherung, 2. BA 1201   74145 TAB. 10 Um- und Ausbaumaßnahmen BStr  S0997   BY  B 11    Ausbau südlich Gotteszell 3.504 T€ TAB. 10 Um- und Ausbaumaßnahmen BStr  S0997   BY  B 11    Ausbau südlich Gotteszell 1201   74145                                      3.165 T€ TAB. 10 Um- und Ausbaumaßnahmen BStr  S0997   BY  B 11    Ausbau südlich Gotteszell 1201   82145                                        338 T€ TAB. 10 Um- und Ausbaumaßnahmen BStr  S0448   BY  B 12    Ausbau zwischen Kraftisried und Geisenried TAB. 10 Um- und Ausbaumaßnahmen BStr  S0448   BY  B 12    Ausbau zwischen Kraftisried und Geisenried 1201   74145 TAB. 10 Um- und Ausbaumaßnahmen BStr  S0448   BY  B 12    Ausbau zwischen Kraftisried und Geisenried 1201   82145 TAB. 10 Um- und Ausbaumaßnahmen BStr  S0845   BY  B 14    höhenfreier Knotenpunkt östlich Neunkirchen am Sand 3.235 T€ TAB. 10 Um- und Ausbaumaßnahmen BStr  S0845   BY  B 14    höhenfreier Knotenpunkt östlich Neunkirchen am Sand 1201   74145                                      2.978 T€ TAB. 10 Um- und Ausbaumaßnahmen BStr  S0845   BY  B 14    höhenfreier Knotenpunkt östlich Neunkirchen am Sand 1201   82145                                        257 T€ TAB. 10 Um- und Ausbaumaßnahmen BStr  S0930   BY  B 15    Ausbau nördlich Zeitlarn 4.130 T€ TAB. 10 Um- und Ausbaumaßnahmen BStr  S0930   BY  B 15    Ausbau nördlich Zeitlarn 1201   74145 TAB. 10 Um- und Ausbaumaßnahmen BStr  S0930   BY  B 15    Ausbau nördlich Zeitlarn 1201   74523                                      3.971 T€ TAB. 10 Um- und Ausbaumaßnahmen BStr  S0930   BY  B 15    Ausbau nördlich Zeitlarn 1201   82145                                        159 T€ TAB. 10 Um- und Ausbaumaßnahmen BStr  S0633   BY  B 16    Ausbau zwischen Gallingkofen und Landkreisgrenze; 1. BA 113 T€ TAB. 10 Um- und Ausbaumaßnahmen BStr  S0633   BY  B 16    Ausbau zwischen Gallingkofen und Landkreisgrenze; 1. BA 1201   74145                                        102 T€ TAB. 10 Um- und Ausbaumaßnahmen BStr  S0633   BY  B 16    Ausbau zwischen Gallingkofen und Landkreisgrenze; 1. BA 1201   82145                                         11 T€ TAB. 10 Um- und Ausbaumaßnahmen BStr  S0634   BY  B 16    Ausbau südlich Ernsgaden 15 T€ 20
22

Anlage zur Schriftlichen Anfrage Drucksache 17/22823 Verausgabt FMS SBP-Tab.         Tabellen-Bezeichnung SBP-Nr. Land  Straße                Bezeichnung der Baumaßnahme              Kapitel  Titel     Programm in 2017 1                       2             3      4      5                                   6                          7       8           9                        10 TAB. 10 Um- und Ausbaumaßnahmen BStr  S0634   BY  B 16    Ausbau südlich Ernsgaden 1201   74145                                         15 T€ TAB. 10 Um- und Ausbaumaßnahmen BStr  S0634   BY  B 16    Ausbau südlich Ernsgaden 1201   82145 TAB. 10 Um- und Ausbaumaßnahmen BStr  S0621   BY  B 20    Ausbau zwischen Burghausen und Marktl 8.077 T€ TAB. 10 Um- und Ausbaumaßnahmen BStr  S0621   BY  B 20    Ausbau zwischen Burghausen und Marktl 1201   74145                                      8.077 T€ TAB. 10 Um- und Ausbaumaßnahmen BStr  S0621   BY  B 20    Ausbau zwischen Burghausen und Marktl 1201   82145                                          0 T€ TAB. 10 Um- und Ausbaumaßnahmen BStr  S0987   BY  B 20    Umbau der Kreuzung mit der DGF 3 bei Landau 4.718 T€ TAB. 10 Um- und Ausbaumaßnahmen BStr  S0987   BY  B 20    Umbau der Kreuzung mit der DGF 3 bei Landau 1201   74145                                      5.346 T€ TAB. 10 Um- und Ausbaumaßnahmen BStr  S0987   BY  B 20    Umbau der Kreuzung mit der DGF 3 bei Landau 1201   82145                                       -628 T€ TAB. 10 Um- und Ausbaumaßnahmen BStr  S0849   BY  B 286   Verlegung bei Rüdenhausen TAB. 10 Um- und Ausbaumaßnahmen BStr  S0849   BY  B 286   Verlegung bei Rüdenhausen 1201   74145 TAB. 10 Um- und Ausbaumaßnahmen BStr  S0849   BY  B 286   Verlegung bei Rüdenhausen 1201   82145 TAB. 10 Um- und Ausbaumaßnahmen BStr  S0880   BY  B 303   Ausbau in und östlich Oberelldorf 5.335 T€ TAB. 10 Um- und Ausbaumaßnahmen BStr  S0880   BY  B 303   Ausbau in und östlich Oberelldorf 1201   74145                                      5.278 T€ TAB. 10 Um- und Ausbaumaßnahmen BStr  S0880   BY  B 303   Ausbau in und östlich Oberelldorf 1201   82145                                         56 T€ TAB. 10 Um- und Ausbaumaßnahmen BStr  S0449   BY  B 305   Schutzwaldsanierung Weißwand zwischen Schneizlreuth und Berchtesgaden 450 T€ TAB. 10 Um- und Ausbaumaßnahmen BStr  S0449   BY  B 305   Schutzwaldsanierung Weißwand zwischen Schneizlreuth und Berchtesgaden 1201   74145                                        450 T€ TAB. 10 Um- und Ausbaumaßnahmen BStr  S0862   BY  B 318   Ausbau A 8 - Holzkirchen 1.360 T€ TAB. 10 Um- und Ausbaumaßnahmen BStr  S0862   BY  B 318   Ausbau A 8 - Holzkirchen 1201   74145                                      1.341 T€ TAB. 10 Um- und Ausbaumaßnahmen BStr  S0862   BY  B 318   Ausbau A 8 - Holzkirchen 1201   82145                                         20 T€ TAB. 10 Um- und Ausbaumaßnahmen BStr  S0989   BY  B4      Ausbau zwischen Rödental und AS Haarbrücken 519 T€ TAB. 10 Um- und Ausbaumaßnahmen BStr  S0989   BY  B4      Ausbau zwischen Rödental und AS Haarbrücken 1201   74145                                        513 T€ TAB. 10 Um- und Ausbaumaßnahmen BStr  S0989   BY  B4      Ausbau zwischen Rödental und AS Haarbrücken 1201   82145                                          6 T€ TAB. 10 Um- und Ausbaumaßnahmen BStr  S0957   BY  B 469   Umbau der AS Kleinheubach 1.480 T€ TAB. 10 Um- und Ausbaumaßnahmen BStr  S0957   BY  B 469   Umbau der AS Kleinheubach 1201   74145                                      1.480 T€ TAB. 10 Um- und Ausbaumaßnahmen BStr  S0957   BY  B 469   Umbau der AS Kleinheubach 1201   82145 TAB. 10 Um- und Ausbaumaßnahmen BStr  S0450   BY  B 472   Ausbau östlich Habach 436 T€ TAB. 10 Um- und Ausbaumaßnahmen BStr  S0450   BY  B 472   Ausbau östlich Habach 1201   74145                                        433 T€ TAB. 10 Um- und Ausbaumaßnahmen BStr  S0450   BY  B 472   Ausbau östlich Habach 1201   82145                                          3 T€ TAB. 10 Um- und Ausbaumaßnahmen BStr  S0981   BY  B 472   Ausbau östlich Marktoberdorf 30 T€ TAB. 10 Um- und Ausbaumaßnahmen BStr  S0981   BY  B 472   Ausbau östlich Marktoberdorf 1201   74145                                          3 T€ TAB. 10 Um- und Ausbaumaßnahmen BStr  S0981   BY  B 472   Ausbau östlich Marktoberdorf 1201   82145                                         27 T€ 21
23

Anlage zur Schriftlichen Anfrage Drucksache 17/22823 Verausgabt FMS SBP-Tab.         Tabellen-Bezeichnung  SBP-Nr. Land  Straße                Bezeichnung der Baumaßnahme                      Kapitel  Titel     Programm in 2017 1                       2              3      4      5                                  6                                   7       8           9                        10 TAB. 11 Lärmsanierungsmaßnahmen BfStr  S0478   BY  A 93    Lärmschutz Oberaudorf, Ortsteile Erlenau- und Innsiedlung 2.205 T€ TAB. 11 Lärmsanierungsmaßnahmen BfStr  S0478   BY  A 93    Lärmschutz Oberaudorf, Ortsteile Erlenau- und Innsiedlung 1201   74139                                      2.205 T€ TAB. 11 Lärmsanierungsmaßnahmen BfStr  S0478   BY  A 93    Lärmschutz Oberaudorf, Ortsteile Erlenau- und Innsiedlung 1201   82135 TAB. 11 Lärmsanierungsmaßnahmen BfStr  S0478   BY  A 93    Lärmschutz Oberaudorf, Ortsteile Erlenau- und Innsiedlung 1201   82139 TAB. 12 Hochbauten BfStr               S0489   BY  A3      Neubau einer Werk- und Kfz-Halle für die Autobahnmeisterei Kist TAB. 12 Hochbauten BfStr               S0489   BY  A3      Neubau einer Werk- und Kfz-Halle für die Autobahnmeisterei Kist 1201   71212 TAB. 12 Hochbauten BfStr               S0701   BY  A9      Neubau der Verkehrs-, Tunnel- und Betriebszentrale in München-Freimann 7.640 T€ TAB. 12 Hochbauten BfStr               S0701   BY  A9      Neubau der Verkehrs-, Tunnel- und Betriebszentrale in München- Freimann 1201   71212                                      2.312 T€ TAB. 12 Hochbauten BfStr               S0701   BY  A9      Neubau der Verkehrs-, Tunnel- und Betriebszentrale in München- Freimann 1201   74213 TAB. 12 Hochbauten BfStr               S0701   BY  A9      Neubau der Verkehrs-, Tunnel- und Betriebszentrale in München- Freimann 1201   74214                                      2.896 T€ TAB. 12 Hochbauten BfStr               S0701   BY  A9      Neubau der Verkehrs-, Tunnel- und Betriebszentrale in München- Freimann 1201   74215                                      2.432 T€ TAB. 12 Hochbauten BfStr               S0787   BY  A9      Um-/Ausbau der Autobahnmeisterei Fischbach 204 T€ TAB. 12 Hochbauten BfStr               S0787   BY  A9      Um-/Ausbau der Autobahnmeisterei Fischbach 1201   71212                                        204 T€ TAB. 13 Fernmelde-/SWIS-Anlagen BfStr  S0495   BY  A       Erneuerung des Betriebsfunks im Bereich der Autobahndirektion Südbayern in den BA'en 1 - 3 23 T€ TAB. 13 Fernmelde-/SWIS-Anlagen BfStr  S0495   BY  A       Erneuerung des Betriebsfunks im Bereich der Autobahndirektion Südbayern in den BA'en 1 - 3 1201   74213                                         23 T€ TAB. 13 Fernmelde-/SWIS-Anlagen BfStr  S0493   BY  A3      LWL-Kabelanlage zwischen den Kabelhäusern Parsberg, Eltheim, Niederwinkl, der AM Passau und dem KH Suben 746 T€ TAB. 13 Fernmelde-/SWIS-Anlagen BfStr  S0493   BY  A3      LWL-Kabelanlage zwischen den Kabelhäusern Parsberg, Eltheim, Niederwinkl, der AM Passau und dem KH Suben 1201   74213                                        746 T€ TAB. 13 Fernmelde-/SWIS-Anlagen BfStr  S0494   BY  A3      Neubau einer LWL-Kabelanlage mit Ergänzungen zu SDH- Technik (Synchrone Digitale Hierarchie-Technik) im Abschnitt AK Nürnberg-Ost - AS Parsberg, Bereich KH Feucht - KH Parsberg                                                                                                  16 T€ TAB. 13 Fernmelde-/SWIS-Anlagen BfStr  S0494   BY  A3      Neubau einer LWL-Kabelanlage mit Ergänzungen zu SDH- Technik (Synchrone Digitale Hierarchie-Technik) im Abschnitt AK Nürnberg-Ost - AS Parsberg, Bereich KH Feucht - KH Parsberg 1201   74213                                         16 T€ 22
24

Anlage zur Schriftlichen Anfrage Drucksache 17/22823 Verausgabt FMS SBP-Tab.          Tabellen-Bezeichnung        SBP-Nr. Land  Straße                Bezeichnung der Baumaßnahme                Kapitel  Titel     Programm in 2017 1                         2                   3      4      5                                  6                             7       8           9                        10 TAB. 14 Betriebstechnische Nachrüstung BfStr  S0619   BY  A8      Tunnel Neubiberg, Nachrüstung der betriebstechnischen Einrichtungen gemäß RABT 2006 TAB. 14 Betriebstechnische Nachrüstung BfStr  S0619   BY  A8      Tunnel Neubiberg, Nachrüstung der betriebstechnischen Einrichtungen gemäß RABT 2006 1201   74132 TAB. 14 Betriebstechnische Nachrüstung BfStr  S0619   BY  A8      Tunnel Neubiberg, Nachrüstung der betriebstechnischen Einrichtungen gemäß RABT 2006 1201   74214 TAB. 14 Betriebstechnische Nachrüstung BfStr  S0520   BY  A 93    Betriebstechnische Nachrüstung Tunnel Pfaffenstein TAB. 14 Betriebstechnische Nachrüstung BfStr  S0520   BY  A 93    Betriebstechnische Nachrüstung Tunnel Pfaffenstein 1201   74132 TAB. 14 Betriebstechnische Nachrüstung BfStr  S0520   BY  A 93    Betriebstechnische Nachrüstung Tunnel Pfaffenstein 1201   74214 TAB. 14 Betriebstechnische Nachrüstung BfStr  S0521   BY  A 93    Betriebstechnische Nachrüstung Tunnel Prüfening TAB. 14 Betriebstechnische Nachrüstung BfStr  S0521   BY  A 93    Betriebstechnische Nachrüstung Tunnel Prüfening 1201   74132 TAB. 14 Betriebstechnische Nachrüstung BfStr  S0521   BY  A 93    Betriebstechnische Nachrüstung Tunnel Prüfening 1201   74214 TAB. 14 Betriebstechnische Nachrüstung BfStr  S0522   BY  A 93    Verkehrstechnische Nachrüstung Tunnel Prüfening nach RABT mit Streckenbeeinflussungsanlage in den Tunnelvorfeldern, sowie Zuflussregelung an drei Anschlussstellen                                                                                              947 T€ TAB. 14 Betriebstechnische Nachrüstung BfStr  S0522   BY  A 93    Verkehrstechnische Nachrüstung Tunnel Prüfening nach RABT mit Streckenbeeinflussungsanlage in den Tunnelvorfeldern, sowie Zuflussregelung an drei Anschlussstellen 1201   74135 TAB. 14 Betriebstechnische Nachrüstung BfStr  S0522   BY  A 93    Verkehrstechnische Nachrüstung Tunnel Prüfening nach RABT mit Streckenbeeinflussungsanlage in den Tunnelvorfeldern, sowie Zuflussregelung an drei Anschlussstellen 1201   74214                                       863 T€ TAB. 14 Betriebstechnische Nachrüstung BfStr  S0522   BY  A 93    Verkehrstechnische Nachrüstung Tunnel Prüfening nach RABT mit Streckenbeeinflussungsanlage in den Tunnelvorfeldern, sowie Zuflussregelung an drei Anschlussstellen 1201   74215                                        85 T€ TAB. 14 Betriebstechnische Nachrüstung BfStr  S0523   BY  A 96    Bau- und betriebstechnische Nachrüstung Tunnel Eching TAB. 14 Betriebstechnische Nachrüstung BfStr  S0523   BY  A 96    Bau- und betriebstechnische Nachrüstung Tunnel Eching 1201   74132 TAB. 14 Betriebstechnische Nachrüstung BfStr  S0523   BY  A 96    Bau- und betriebstechnische Nachrüstung Tunnel Eching 1201   74214 TAB. 14 Betriebstechnische Nachrüstung BfStr  S0524   BY  A 96    Bau- und betriebstechnische Nachrüstung Tunnel Etterschlag 23
25

Anlage zur Schriftlichen Anfrage Drucksache 17/22823 Verausgabt FMS SBP-Tab.          Tabellen-Bezeichnung        SBP-Nr. Land  Straße                   Bezeichnung der Baumaßnahme                   Kapitel  Titel     Programm in 2017 1                         2                   3      4      5                                     6                                7       8           9                        10 TAB. 14 Betriebstechnische Nachrüstung BfStr  S0524   BY  A 96       Bau- und betriebstechnische Nachrüstung Tunnel Etterschlag 1201   74132 TAB. 14 Betriebstechnische Nachrüstung BfStr  S0524   BY  A 96       Bau- und betriebstechnische Nachrüstung Tunnel Etterschlag 1201   74214 TAB. 14 Betriebstechnische Nachrüstung BfStr  S0525   BY  A 99       Sicherheitstechnische Nachrüstung Tunnel Allach 77 T€ TAB. 14 Betriebstechnische Nachrüstung BfStr  S0525   BY  A 99       Sicherheitstechnische Nachrüstung Tunnel Allach 1201   74214                                        77 T€ TAB. 14 Betriebstechnische Nachrüstung BfStr  S0527   BY  B 11       Einhausung Deggendorf, Nachrüstung der Betriebs- und Sicherheitstechnik gem. RABT 290 T€ TAB. 14 Betriebstechnische Nachrüstung BfStr  S0527   BY  B 11       Einhausung Deggendorf, Nachrüstung der Betriebs- und Sicherheitstechnik gem. RABT 1201   74224                                       290 T€ TAB. 14 Betriebstechnische Nachrüstung BfStr  S0528   BY  B 11       Tunnel Riedberg, Nachrüstung der Betriebs- und Sicherheitstechnik 7 T€ TAB. 14 Betriebstechnische Nachrüstung BfStr  S0528   BY  B 11       Tunnel Riedberg, Nachrüstung der Betriebs- und Sicherheitstechnik 1201   74224                                         7 T€ TAB. 14 Betriebstechnische Nachrüstung BfStr  S0526   BY  B 2N       Tunnelnachrüstung Tunnel Farchant 762 T€ TAB. 14 Betriebstechnische Nachrüstung BfStr  S0526   BY  B 2N       Tunnelnachrüstung Tunnel Farchant 1201   74224                                       762 T€ TAB. 15 Verkehrsbeeinflussung BfStr           S0553   BY  A3         Umbau der Streckenbeeinflussungsanlage Würzburg 819 T€ TAB. 15 Verkehrsbeeinflussung BfStr           S0553   BY  A3         Umbau der Streckenbeeinflussungsanlage Würzburg 1201   74215                                       819 T€ TAB. 15 Verkehrsbeeinflussung BfStr           S0869   BY  A3         T+R-Anlage Jura West, Erweiterung der Verkehrsflächen (Kompaktparken) 95 T€ TAB. 15 Verkehrsbeeinflussung BfStr           S0869   BY  A3         T+R-Anlage Jura West, Erweiterung der Verkehrsflächen (Kompaktparken) 1201   74132 TAB. 15 Verkehrsbeeinflussung BfStr           S0869   BY  A3         T+R-Anlage Jura West, Erweiterung der Verkehrsflächen (Kompaktparken) 1201   74134 TAB. 15 Verkehrsbeeinflussung BfStr           S0869   BY  A3         T+R-Anlage Jura West, Erweiterung der Verkehrsflächen (Kompaktparken) 1201   74213 TAB. 15 Verkehrsbeeinflussung BfStr           S0869   BY  A3         T+R-Anlage Jura West, Erweiterung der Verkehrsflächen (Kompaktparken) 1201   74215                                        95 T€ TAB. 15 Verkehrsbeeinflussung BfStr           S0871   BY  A3         Betriebstechnische Ausstattung des Neubaus der Verkehrs- und Betriebszentrale Südbayern 362 T€ TAB. 15 Verkehrsbeeinflussung BfStr           S0871   BY  A3         Betriebstechnische Ausstattung des Neubaus der Verkehrs- und Betriebszentrale Südbayern 1201   74215                                       362 T€ TAB. 15 Verkehrsbeeinflussung BfStr           S0557   BY  A 3/6/7/9/ Dynamische Netzsteuerung Bayern (dNet Bayern) Stufe 1 72 308 T€ TAB. 15 Verkehrsbeeinflussung BfStr           S0557   BY  A 3/6/7/9/ Dynamische Netzsteuerung Bayern (dNet Bayern) Stufe 1 72                                                                       1201   74215                                       308 T€ 24
26

Anlage zur Schriftlichen Anfrage Drucksache 17/22823 Verausgabt FMS SBP-Tab.         Tabellen-Bezeichnung SBP-Nr. Land  Straße                    Bezeichnung der Baumaßnahme                 Kapitel  Titel     Programm in 2017 1                        2            3      4      5                                      6                              7       8           9                        10 TAB. 15 Verkehrsbeeinflussung BfStr   S0620   BY  A 73       Temporäre Seitenstreifenfreigabe mit Streckenbeeinflussungsanlage zwischen AS Erlangen- Nord und AS Forchheim-Süd und Ertüchtigung des Seitenstreifens                                                                                                7.611 T€ TAB. 15 Verkehrsbeeinflussung BfStr   S0620   BY  A 73       Temporäre Seitenstreifenfreigabe mit Streckenbeeinflussungsanlage zwischen AS Erlangen- Nord und AS Forchheim-Süd und Ertüchtigung des Seitenstreifens 1201   74132                                      1.927 T€ TAB. 15 Verkehrsbeeinflussung BfStr   S0620   BY  A 73       Temporäre Seitenstreifenfreigabe mit Streckenbeeinflussungsanlage zwischen AS Erlangen- Nord und AS Forchheim-Süd und Ertüchtigung des Seitenstreifens 1201   74135                                        379 T€ TAB. 15 Verkehrsbeeinflussung BfStr   S0620   BY  A 73       Temporäre Seitenstreifenfreigabe mit Streckenbeeinflussungsanlage zwischen AS Erlangen- Nord und AS Forchheim-Süd und Ertüchtigung des Seitenstreifens 1201   74213 TAB. 15 Verkehrsbeeinflussung BfStr   S0620   BY  A 73       Temporäre Seitenstreifenfreigabe mit Streckenbeeinflussungsanlage zwischen AS Erlangen- Nord und AS Forchheim-Süd und Ertüchtigung des Seitenstreifens 1201   74215                                      5.305 T€ TAB. 15 Verkehrsbeeinflussung BfStr   S0620   BY  A 73       Temporäre Seitenstreifenfreigabe mit Streckenbeeinflussungsanlage zwischen AS Erlangen- Nord und AS Forchheim-Süd und Ertüchtigung des Seitenstreifens 1201   82135 TAB. 15 Verkehrsbeeinflussung BfStr   S0554   BY  A 8/92/99/ Wechselwegweisung AK München-Süd und München- B 471      Nordwest TAB. 15 Verkehrsbeeinflussung BfStr   S0554   BY  A 8/92/99/ Wechselwegweisung AK München-Süd und München-Nordwest B 471 1201   74132 TAB. 15 Verkehrsbeeinflussung BfStr   S0554   BY  A 8/92/99/ Wechselwegweisung AK München-Süd und München-Nordwest B 471 1201   74215 TAB. 15 Verkehrsbeeinflussung BfStr   S0555   BY  A9         Verkehrsbeeinflussungsanlage AS München-Frankfurter Ring - AD Holledau 101 T€ TAB. 15 Verkehrsbeeinflussung BfStr   S0555   BY  A9         Verkehrsbeeinflussungsanlage AS München-Frankfurter Ring - AD Holledau 1201   74132 TAB. 15 Verkehrsbeeinflussung BfStr   S0555   BY  A9         Verkehrsbeeinflussungsanlage AS München-Frankfurter Ring - AD Holledau 1201   74135 TAB. 15 Verkehrsbeeinflussung BfStr   S0555   BY  A9         Verkehrsbeeinflussungsanlage AS München-Frankfurter Ring - AD Holledau 1201   74215                                        101 T€ TAB. 15 Verkehrsbeeinflussung BfStr   S0556   BY  A9         Ergänzung Verkehrsbeeinflussungsanlage um eine Seitenstreifenfreigabe zwischen AD Holledau und AK Neufahrn 1.176 T€ TAB. 15 Verkehrsbeeinflussung BfStr   S0556   BY  A9         Ergänzung Verkehrsbeeinflussungsanlage um eine Seitenstreifenfreigabe zwischen AD Holledau und AK Neufahrn 1201   74132 25
27

Anlage zur Schriftlichen Anfrage Drucksache 17/22823 Verausgabt FMS SBP-Tab.         Tabellen-Bezeichnung          SBP-Nr. Land  Straße                 Bezeichnung der Baumaßnahme                 Kapitel  Titel     Programm in 2017 1                        2                     3      4      5                                   6                              7       8            9                       10 TAB. 15 Verkehrsbeeinflussung BfStr            S0556   BY  A9      Ergänzung Verkehrsbeeinflussungsanlage um eine Seitenstreifenfreigabe zwischen AD Holledau und AK Neufahrn 1201   74215                                      1.176 T€ TAB. 17 Änderung Überführungen (§ 12 EKrG) u.  S0776   BY  A3      Ersatzneubau BW 381b, Bahnüberführung im Abschnitt Bahnübergänge                                              nördlich TR Aurach - AK Fürth/Erlangen 260 T€ TAB. 17 Änderung Überführungen (§ 12 EKrG) u.  S0776   BY  A3      Ersatzneubau BW 381b, Bahnüberführung im Abschnitt nördlich Bahnübergänge                                              TR Aurach - AK Fürth/Erlangen 1201   74523                                        260 T€ TAB. 17 Änderung Überführungen (§ 12 EKrG) u.  S0982   BY  A 73    Ersatzneubau BW 93b bei AS Breitengüßbach-Süd zur Bahnübergänge                                              Überführung der A 73 über B 4, DB und Feldweg TAB. 17 Änderung Überführungen (§ 12 EKrG) u.  S0982   BY  A 73    Ersatzneubau BW 93b bei AS Breitengüßbach-Süd zur Bahnübergänge                                              Überführung der A 73 über B 4, DB und Feldweg 1201   74523 TAB. 17 Änderung Überführungen (§ 12 EKrG) u.  S0587   BY  B 304   Ausbau der B 304 mit Beseitigung des Bahnüberganges bei Bahnübergänge                                              Mühlreit -381 T€ TAB. 17 Änderung Überführungen (§ 12 EKrG) u.  S0587   BY  B 304   Ausbau der B 304 mit Beseitigung des Bahnüberganges bei Bahnübergänge                                              Mühlreit 1201   74145                                        195 T€ TAB. 17 Änderung Überführungen (§ 12 EKrG) u.  S0587   BY  B 304   Ausbau der B 304 mit Beseitigung des Bahnüberganges bei Bahnübergänge                                              Mühlreit 1201   74524                                       -699 T€ TAB. 17 Änderung Überführungen (§ 12 EKrG) u.  S0587   BY  B 304   Ausbau der B 304 mit Beseitigung des Bahnüberganges bei Bahnübergänge                                              Mühlreit 1201   82145 TAB. 17 Änderung Überführungen (§ 12 EKrG) u.  S0587   BY  B 304   Ausbau der B 304 mit Beseitigung des Bahnüberganges bei Bahnübergänge                                              Mühlreit 1202   74521                                        123 T€ TAB. 17 Änderung Überführungen (§ 12 EKrG) u.  S0586   BY  B 32    Beseitigung des Bahnüberganges bei Biesenberg Bahnübergänge -74 T€ TAB. 17 Änderung Überführungen (§ 12 EKrG) u.  S0586   BY  B 32    Beseitigung des Bahnüberganges bei Biesenberg Bahnübergänge 1201   74524                                        226 T€ TAB. 17 Änderung Überführungen (§ 12 EKrG) u.  S0586   BY  B 32    Beseitigung des Bahnüberganges bei Biesenberg Bahnübergänge 1202   74521                                       -300 T€ Teilergebnisse              841.488 T€ 26
28