Windkraftanlagen in Bayern

/ 80
PDF herunterladen
Anlage 4 Schwaben                                                                   Seite 1                                                                                          14.04.2015 Standort                        Genehmigungsablauf                              Status           Bei Ablehnung Kreis-                                                       Genehmigungs- Nennleistung d. In                      Begründung Gemeinde/Ortsteil        beantragt genehmigt                                                abgelehnt                             Bemerkung kennziffer                                                   bedürftigkeit Anlage              Betrieb             der Ablehnung 1) Bauplanungsrecht 2) Raumordnungsrecht 3) Naturschutzrecht KKZ                                                                          Einheit:                           4) Landschaftsschutz TT.MM.JJJJ   TT.MM.JJJJ        i/b                          j/n/s  TT.MM.JJJJ [kW]                              5) Immissionsschutz 6) Sonstiges (bitte Bemerkungsfeld nutzen) 7) Antrag zurückgezogen negativer Vorbescheid - Klage wurde 762 Kaufbeuren/Oberbeuren    16.05.2012               i                           3000 n        11.12.2012                       1, 2 eingereicht negativer Vorbescheid - Klage wurde 762 Kaufbeuren/Oberbeuren    16.05.2012               i                           3000 n        11.12.2012                       1, 2 eingereicht 762 Kaufbeuren/Oberbeuren    28.05.2013               i                           3000  n                                             Voranfrage, Verfahren läuft 771 Aichach                  23.12.2013   11.09.2014 i                            2400  n 771 Aichach                  23.12.2013   11.09.2014 i                            2400  n 771 Aichach                  23.12.2013   11.09.2014 i                            2400  n 771 Aichach/Obermauerbach    24.08.2012               i                           2500  n                                        1, 7 Voranfrage wurde zurückgenommen 771 Baar                     03.02.2014               i                           2400  n                                             Genehmigungsverfahren läuft 771 Baar                     03.02.2014               i                           2400  n                                             Genehmigungsverfahren läuft 771 Baar                     03.02.2014               i                           2400  n                                             Genehmigungsverfahren läuft 771 Baar                     03.02.2014               i                           2400  n                                             Genehmigungsverfahren läuft 771 Dasing                   23.12.2013   06.08.2014 i                            2400  n                                             Klage gegen Genehmigung wurde eingereicht Baubeginn voraussichtlich Ende 2014/Anfang 771 Friedberg/Bachern                                 i                           2400 n 20.12.2012 15.10.2013                                                                                    2015 Baubeginn voraussichtlich Ende 2014/Anfang 771 Friedberg/Bachern                                 i                           2400 n 20.12.2012 15.10.2013                                                                                    2015 Baubeginn voraussichtlich Ende 2014/Anfang 771 Friedberg/Bachern                                 i                           2400 n 20.12.2012   15.10.2013                                                                                  2015 771 Inchenhofen/ Oberbachern 27.08.2012               i                           2500  n                                        1, 7 Voranfrage wurde zurückgenommen 771 Inchenhofen/Taxberg      04.10.2011               i                           3000  n                                           7 Voranfrage wurde zurückgenommen 771 Kissing                  04.04.2011   31.07.2013 i                            2300  n                                             Vorbescheid wurde erteilt 771 Kühbach/Winden           01.06.2011               i                            k.A. n                                           7 Voranfrage wurde zurückgenommen 771 Mering                   20.11.2013                                            k.A. n                                             Antrag auf Vorbescheid 771 Mering                   20.11.2013                                            k.A. n                                             Antrag auf Vorbescheid 771 Mering                   20.11.2013                                            k.A. n                                             Antrag auf Vorbescheid 771 Mering                   20.11.2013                                            k.A. n                                             Antrag auf Vorbescheid 771 Mering                   20.11.2013                                            k.A. n                                             Antrag auf Vorbescheid 771 Sielenbach               23.12.2013   29.07.2014 i                            2400  n                                             Klage gegen Genehmigung wurde eingereicht 771 Sielenbach               23.12.2013   29.07.2014 i                            2400  n                                             Klage gegen Genehmigung wurde eingereicht Vorbescheid wurde erteilt. Verfahren ruht bis 771 Steindorf                30.05.2012               i                           3000 n 31.12.2014
41

Anlage 4 Schwaben                                           Seite 2                                                              14.04.2015 Antrag auf Vorbescheid wg. unsicherer 772 Biberbach/Feigenhofen   03.06.2011            i      3000 n                   7 Förderpolitik zurückgezogen Standort im Ausschlussgebiet nach dem 772 Ehingen                 13.12.2011            i      3000 n                   7 Regionalplan 772 Kühlenthal              27.06.2012 19.12.2012 i      2400  j 772 Meitingen/Langenreichen 14.10.2011 05.09.2012 i      2300  j 773 Aislingen               12.09.2011            i       k.A. n 11.04.2012       2 Antrag Vorbescheid 773 Buttenwiesen            24.07.2012 28.11.2012 i      2400  n 773 Buttenwiesen            24.07.2012 28.11.2012 i      2400  n 773 Buttenwiesen            24.07.2012 28.11.2012 i      2400  n 773 Glött                   31.08.2006 08.11.2006 i       800  j                    1 WKA 773 Laugna/Osterbuch        05.02.2013            i      2400  n                    Antrag Vorbescheid läuft 773 Laugna/Osterbuch        05.02.2013            i      2400  n                    Antrag Vorbescheid läuft 773 Laugna/Osterbuch        05.02.2013            i      2400  n                    Antrag Vorbescheid läuft 773 Medlingen               19.12.2012            i       k.A. n                    Antrag Vorbescheid läuft 773 Medlingen               19.12.2012            i       k.A. n                    Antrag Vorbescheid läuft 773 Medlingen               19.12.2012            i       k.A. n                    Antrag Vorbescheid läuft 773 Medlingen               19.12.2012            i       k.A. n                    Antrag Vorbescheid läuft 773 Medlingen               19.12.2012            i       k.A. n                    Antrag Vorbescheid läuft 773 Wertingen/Hirschbach    27.01.2012            i      2300  n 22.05.2012       7 Antrag zurückgezogen 18.02.2013 773 Wittislingen            17.03.2009            i      2000  n 17.06.2010       3 WKA 773 Wittislingen            17.03.2009            i      2000  n 17.06.2010       3 WKA 773 Wittislingen            17.03.2009            i      2000  n 17.06.2010       3 WKA WKA, Verfahren läuft noch, 773 Ziertheim               27.04.2009            i      2000 n artenschutzrechtliche Probleme WKA, Verfahren läuft noch, 773 Ziertheim               27.04.2009            i      2000 n artenschutzrechtliche Probleme WKA, Verfahren läuft noch, 773 Ziertheim               27.04.2009            i      2000 n artenschutzrechtliche Probleme 773 Zöschingen              11.03.2010 06.07.2011 i      2400  j                    WKA 1 773 Zöschingen              11.03.2010 06.07.2011 i      2400  j                    WKA 2 773 Zöschingen              11.03.2010 06.07.2011 i      2400  j                    WKA 3 773 Zöschingen              11.03.2010 06.07.2011 i      2400  j                    WKA 4 773 Zöschingen              11.03.2010 06.07.2011 i      2400  j                    WKA 5 773 Zöschingen              11.03.2010 06.07.2011 i      2400  n                  7 WKA 6 durch gerichtlichen Vergleich entfallen 773 Zöschingen              11.03.2010 06.07.2011 i      2400  n                  7 WKA 7 durch gerichtlichen Vergleich entfallen 773 Zöschingen              11.03.2010 06.07.2011 i      2400  j                    WKA 8 773 Zöschingen              11.03.2010 06.07.2011 i      2400  j                    WKA 9 773 Zöschingen              11.03.2010 06.07.2011 i      2400  j                    WKA 10 773 Zöschingen              11.03.2010            i      3000  n                  7 WKA 11 Antrag zuürckgezogen 773 Zöschingen              11.03.2010            i      3000  n                  7 WKA 12 Antrag zurückgezogen 773 Zöschingen              11.03.2010            i      3000  n                  7 WKA 13 Antrag zurückgezogen 774 Jettingen-Scheppach     26.09.2011            i       k.A. n 11.11.2011 7, 1, 2 Voranfrage wurde zurückgenommen Voranfrage, Standort ist Ausschlussgebiet laut 774 Thannhausen-Burg        07.02.2012            i      3000 n  19.03.2012    1, 2 Regionalplan Donau-Iller
42

Anlage 4 Schwaben                                          Seite 3                                                             14.04.2015 Voranfrage, Standort ist Ausschlussgebiet laut 774 Thannhausen-Burg      07.02.2012             i      3000 n 19.03.2012    1, 2 Regionalplan Donau-Iller 774 Jettingen-Scheppach   28.02.2014 25.09.201   i      2400 n                    WEA 1 774 Jettingen-Scheppach   28.02.2014 25.09.201   i      2400 n                    WEA 2 774 Jettingen-Scheppach   28.02.2014             i      2400 n            1, 2, 7 WEA 8: Antrag zurückgezogen 774 Jettingen-Scheppach   28.02.2014             i      2400 n            1, 2, 7 WEA 9: Antrag zurückgezogen 774 Jettingen-Scheppach   28.02.2014             i      2400 n            1, 2, 7 WEA 10: Antrag zurückgezogen 774 Jettingen-Scheppach   28.02.2014             i      2400 n            1, 2, 7 WEA 11: Antrag zurückgezogen 774 Jettingen-Scheppach   28.02.2014             i      2400 n            1, 2, 7 WEA 12: Antrag zurückgezogen 774 Jettingen-Scheppach   28.02.2014             i      2400 n            1, 2, 7 WEA 13: Antrag zurückgezogen 774 Jettingen-Scheppach   28.02.2014             i      2400 n            1, 2, 7 WEA 14: Antrag zurückgezogen 774 Zusmarshausen         28.02.2014  25.09.2014 i      2400 n                    WEA 3 774 Zusmarshausen         28.02.2014  25.09.2014 i      2400 n                    WEA 4 774 Zusmarshausen         28.02.2014  25.09.2014 i      2400 n                    WEA 5 774 Zusmarshausen         28.02.2014  25.09.2014 i      2400 n                    WEA 6 774 Zusmarshausen         28.02.2014  25.09.2014 i      2400 n                    WEA 7 775 Elchingen/Thalfingen  08.07.2003  19.12.2003 i      1500 j                    raumbedeutsam 775 Elchingen/Thalfingen  18.12.2003             b             13.05.2008       2 777 Baisweil              13.08.2013             i      3300 n                    WKA 1 777 Baisweil              13.08.2013             i      3300 n                    WKA 2 777 Baisweil              13.08.2013             i      3300 n                    WKA 3 777 Baisweil              13.08.2013             i      3300 n                    WKA 4 777 Baisweil              13.08.2013             i      3300 n                  7 WKA 5 777 Baisweil              13.08.2013             i      3300 n                  7 WKA 6 777 Baisweil              13.08.2013             i      3300 n                    WKA 7 777 Baisweil              13.08.2013             i      3300 n                    WKA 8 777 Bidingen              15.05.2000  08.10.2001 b      1800 j 777 Bidingen              15.05.2000  08.10.2001 b      1800 j 777 Bidingen/Königsried   30.12.2011  30.11.2012 i      3000 j 777 Bidingen/Königsried   18.09.2012  30.12.2013 i      3000 n 777 Biessenhofen Nord     14.05.2012             i      2400 n 06.06.2013       3 777 Biessenhofen Süd      08.08.2012             i      2400 n 06.06.2013       3 777 Friesenried/Salenwang 22.06.2006  27.09.2006 i       800 j 777 Friesenried/Salenwang 20.11.2012  15.10.2013 i      3300 j 777 Friesenried/Salenwang 20.11.2012  15.10.2013 i      3300 j 777 Günzach               20.12.2000  22.05.2001 b       600 j 777 Günzach               20.12.2000  22.05.2001 b       600 j 777 Günzach               30.12.2013             i      3000 n                    Luftamt hat der WKA nicht zugestimmt. 777 Jengen/Eurishofen     17.01.2002  08.05.2002 b      2000 j 777 Kraftisried           26.09.2001  24.07.2001 b      1500 j 777 Kraftisried           28.03.2002  28.03.2003 b      1500 j 777 Kraftisried           28.03.2002  28.03.2003 b      1500 j 777 Kraftisried           10.10.2012             i      3000 n                  7 777 Kraftisried           30.12.2013             i      3000 n                    Luftamt hat der WKA nicht zugestimmt. 777 Kraftisried           30.12.2013             i      3000 n                    Luftamt hat der WKA nicht zugestimmt.
43

Anlage 4 Schwaben                                              Seite 4                                                        14.04.2015 777 Kraftisried                30.12.2013            i      3000 n              Luftamt hat der WKA nicht zugestimmt. 777 Kraftisried                30.12.2013            i      3000 n              Luftamt hat der WKA nicht zugestimmt. 777 Kraftisried                30.12.2013            i      3000 n              Luftamt hat der WKA nicht zugestimmt. 777 Lamerdingen                21.08.2012 21.01.2014 i      2400 n 777 Lamerdingen                06.12.2013 21.01.2014 i      2400 n 777 Marktoberdorf/Am Hart      04.02.2014            i      3280 n              Fehlende Unterlagen 777 Marktoberdorf/Am Hart      04.02.2014            i      3280 n              Fehlende Unterlagen 777 Marktoberdorf/Hagmoos      04.02.2014            i      3280 n              Fehlende Unterlagen 777 Marktoberdorf/Hagmoos      04.02.2014            i      3280 n              Fehlende Unterlagen 777 Marktoberdorf/Korbsee      30.01.2014            i      3280 n              Fehlende Unterlagen 777 Marktoberdorf/Korbsee      30.01.2014            i      3280 n              Fehlende Unterlagen 777 Marktoberdorf/Korbsee      28.02.2014            i      3500 n              Fehlende Unterlagen 777 Marktoberdorf/Korbsee      28.02.2014            i      2400 n              Fehlende Unterlagen 777 Marktoberdorf/Korbsee      28.02.2014            i      2400 n              Fehlende Unterlagen 777 Obergünzburg/Ebersbach     08.04.1997 25.08.1997 b       500 j 777 Obergünzburg/Ebersbach     08.04.1997 25.08.1997 b       500 j 777 Obergünzburg/Ebersbach     08.04.1997 25.08.1997 b       500 j 777 Obergünzburg/Ebersbach     19.07.2000 04.01.2001 b       600 j 777 Obergünzburg/Ebersbach     20.07.2000 15.10.2001 b       600 j 777 Oberostendorf/Lengenfeld   03.12.2002 28.05.2003 i      2000 j Anhörung zur Ablehnung wegen 777 Osterzell/Ödwang           24.10.2012            i      3075 n Naturschutzrecht erfolgt. Verfahren läuft wieder nach Abstimmung mit 777 Osterzell/Ödwang           24.10.2012            i      3075 n Luftamt 777 Ronsberg                   20.12.2011 10.04.2012 i       800 j 777 Ruderatshofen              19.12.2013            i      3280 n 777 Ruderatshofen              19.12.2013            i      3280 n 777 Ruderatshofen              19.12.2013            i      3280 n 777 Ruderatshofen              19.12.2013            i      3280 n 777 Ruderatshofen/Apfeltrang   04.12.2013            i      3000 n 777 Ruderatshofen/Apfeltrang   04.12.2013            i      3000 n 777 Ruderatshofen/Apfeltrang   04.12.2013            i      3000 n 777 Ruderatshofen/Apfeltrang   04.12.2013            i      3000 n 777 Ruderatshofen/Apfeltrang   04.02.2014            i      3280 n 777 Unterthingau/Reinhardsried 21.08.2006 26.04.2007 i      2000 j 777 Untrasried                 13.09.1999 25.04.2000 b       600 j 777 Untrasried                 13.09.1999 25.04.2000 b       600 j 777 Waal/Waalhaupten           29.10.2012            i      3075 n              Verfahren läuft wieder. 777 Waal/Waalhaupten           29.10.2012            i      3075 n              Verfahren läuft wieder. 777 Waal/Waalhaupten           29.10.2012            i      3075 n              Verfahren läuft wieder. baurechtliches Verfahren (§ 67 Abs. 9 778 Apfeltrach/Köngetried                 05.11.2002 i       600 j BImSchG) baurechtliches Verfahren (§ 67 Abs. 9 778 Apfeltrach/Köngetried                 05.11.2002 i       600 j BImSchG) 778 Babenhausen                    Dez 12            i      2500 n 11.01.2012 2 Ablehnung nach Bauvoranfrage
44

Anlage 4 Schwaben                                                     Seite 5                                                           14.04.2015 778 Bad Grönenbach            01.10.2009            i               800 n 18.01.2010    2 Antrag auf Vorbescheid abgelehnt 778 Bad Grönenbach            01.10.2009            i               800 n 18.01.2010    2 Antrag auf Vorbescheid abgelehnt baurechtliches Verfahren (§ 67 Abs. 9 778 Böhen                                05.07.2001 i               600 j BImSchG) baurechtliches Verfahren (§ 67 Abs. 9 778 Böhen                                05.07.2001 i               600 j BImSchG) baurechtliches Verfahren (§ 67 Abs. 9 778 Böhen                                05.07.2001 i               600 j BImSchG) baurechtliches Verfahren (§ 67 Abs. 9 778 Böhen                                06.02.2002 i               600 j BImSchG) 778 Breitenbrunn/Bedernau     24.08.2012            i              2466 n 07.09.2012    2 Ablehnung nach Bauvoranfrage 778 Breitenbrunn/Loppenhausen 28.08.2012            i              2466 n 07.09.2012    2 Ablehnung nach Bauvoranfrage Nabenhöhe ca. 100 Meter; 778 Eppishausen/Haselbach     02.01.2012            i nicht bekannt     n 29.02.2012    2 Ablehnung nach Bauvoranfrage 778 Ettringen/Siebnach        10.05.2011            i              3000 n 20.06.2011    2 Ablehnung nach Bauvoranfrage 778 Ettringen/Siebnach        10.05.2011            i              3000 n 20.06.2011    2 Ablehnung nach Bauvoranfrage 778 Ettringen/Siebnach        10.05.2011            i              3000 n 20.06.2011    2 Ablehnung nach Bauvoranfrage 778 Ettringen/Siebnach        10.05.2011            i              3000 n 20.06.2011    2 Ablehnung nach Bauvoranfrage 778 Kammlach/Oberkamml.       16.03.2009            i              1000 n 25.11.2009    2 Ablehnung nach Bauvoranfrage Antrag auf Vorbescheid ruht wg. Regionalplan 778 Kirchhaslach/Herretshofen 12.08.2014            i              2400 n (derzeit Ausschlussgebiet) Antrag auf Vorbescheid ruht wg. Regionalplan 778 Kirchhaslach/Herretshofen 12.08.2014            i              2400 n (derzeit Ausschlussgebiet) Antrag auf Vorbescheid ruht wg. Regionalplan 778 Kirchhaslach/Herretshofen 12.08.2014            i              2400 n (derzeit Ausschlussgebiet) Antrag auf Vorbescheid ruht wg. Regionalplan 778 Kirchhaslach/Herretshofen 12.08.2014            i              2400 n (derzeit Ausschlussgebiet) baurechtliches Verfahren (§ 67 Abs. 9 778 Legau                                18.06.2001 i               600 j BImSchG) baurechtliches Verfahren (§ 67 Abs. 9 778 M. Rettenbach/Engetried              13.09.2001 i              1000 j BImSchG) 778 Markt Rettenbach/Gottenau 27.08.2012            i              2466 n 07.09.2012    2 Ablehnung nach Bauvoranfrage 778 Mindelheim/Heimenegg      16.03.2012            i              3200 n            7, 2 Antragsrücknahme wg. Raumordnung 778 Oberrieden                10.08.2011            i              3000 n            7, 2 Antragsrücknahme wg. Raumordnung 778 Oberschönegg              26.04.2007            i              2000 n 02.07.2007    2 Ablehnung nach Bauvoranfrage baurechtliches Verfahren (§ 67 Abs. 9 778 Oberschönegg/Weinried                05.12.1995 i               600 j BImSchG) baurechtliches Verfahren (§ 67 Abs. 9 778 Ottobeuren/Ollarzried                09.07.1999 i               600 j BImSchG) 778 Ottobeuren/Ollarzried     03.01.2006 12.04.2006 i               800 j                 immissionsschutzrechtliches Verfahren 778 Ottobeuren/Ollarzried     23.10.2006 11.01.2007 i               800 j                 immissionsschutzrechtliches Verfahren 778 Ottobeuren/Ollarzried     24.11.2010 25.03.2011 i               800 j                 immissionsschutzrechtliches Verfahren 778 Ottobeuren/Ollarzried     12.12.2006 31.05.2007 i              1500 j                 immissionsschutzrechtliches Verfahren 778 Ottobeuren/Ollarzried     12.12.2006 31.05.2007 i              1500 j                 immissionsschutzrechtliches Verfahren 778 Ottobeuren/Ollarzried     12.12.2006 31.05.2007 i              1500 j                 immissionsschutzrechtliches Verfahren
45

Anlage 4 Schwaben                                                     Seite 6                                                            14.04.2015 778 Ottobeuren/Ollarzried         05.11.2009            i          2000 n 09.02.2010 1, 2 Ablehnung nach Bauvoranfrage 778 Ottobeuren/Ollarzried         08.01.2013            i nicht bekannt n 15.01.2013    2 Ablehnung nach Bauvoranfrage baurechtliches Verfahren (§ 67 Abs. 9 778 Unteregg/Warmisried                      03.07.2008 i           800 j BImSchG) baurechtliches Verfahren (§ 67 Abs. 9 778 Unteregg/Warmisried                      17.02.2003 i          1300 j BImSchG) 778 Wiedergeltingen               29.08.2012            i          2466 n 07.09.2012    2 Ablehnung nach Bauvoranfrage Antrag auf Vorbescheid vom 27.03.2013 wurde konkretisiert durch Antrag nach § 4 BImSchG, 779 Donauwörth-Wörnitzstein       03.02.2014            i          2400 n Eingang: 03.02.2014. Unterlagen nicht vollständig Antrag auf Vorbescheid vom 27.03.2013 wurde konkretisiert durch Antrag nach § 4 BImSchG, 779 Donauwörth-Wörnitzstein       03.02.2014            i          2400 n Eingang: 03.02.2014. Unterlagen nicht vollständig Antrag auf Vorbescheid vom 27.03.2013 wurde konkretisiert durch Antrag nach § 4 BImSchG, 779 Donauwörth-Wörnitzstein       03.02.2014            i          2400 n Eingang: 03.02.2014. Unterlagen nicht vollständig Antrag auf Vorbescheid vom 27.03.2013 wurde konkretisiert durch Antrag nach § 4 BImSchG, 779 Donauwörth-Wörnitzstein       03.02.2014            i          2400 n Eingang: 03.02.2014. Unterlagen nicht vollständig Nachdem der Antrag auf Vorbescheid vom 27.03.2013 nicht genehmigungsfähig war wurde kein Folgeantrag nach § 4 BImSchG gestellt. 779 Donauwörth-Wörnitzstein       27.03.2013            i          2400 n            6, 7 Für die restl. 4 WKA in Donauwörth- Wörnitzstein wurde dagegen ein Genehmigungsnatrag gestellt. Vorbescheidsverfahren noch nicht abgeschlossen. Grundstückseigentümer = Staatsforsten. Diese stimmen einer weiteren vertraglichen Regelung mit dem Antragsteller 779 Esterholz, gemeindefreies Geb 27.03.2013            i          2400 n nur zu, falls auch die Standortgemeinden dem Vorhaben zustimmen. Diese haben jedoch wiedersprochen. Folglich wird hier eine Anhörung zur Antragsrücknahme ergehen. Vorbescheidsverfahren noch nicht abgeschlossen. Grundstückseigentümer = Staatsforsten. Diese stimmen einer weiteren vertraglichen Regelung mit dem Antragsteller 779 Esterholz, gemeindefreies Geb 27.03.2013            i          2400 n nur zu, falls auch die Standortgemeinden dem Vorhaben zustimmen. Diese haben jedoch wiedersprochen. Folglich wird hier eine Anhörung zur Antragsrücknahme ergehen.
46

Anlage 4 Schwaben                                      Seite 7                                            14.04.2015 Vorbescheidsverfahren noch nicht abgeschlossen. Grundstückseigentümer = Staatsforsten. Diese stimmen einer weiteren vertraglichen Regelung mit dem Antragsteller 779 Esterholz, gemeindefreies Geb 27.03.2013 i      2400 n nur zu, falls auch die Standortgemeinden dem Vorhaben zustimmen. Diese haben jedoch wiedersprochen. Folglich wird hier eine Anhörung zur Antragsrücknahme ergehen. Vorbescheidsverfahren noch nicht abgeschlossen. Grundstückseigentümer = Staatsforsten. Diese stimmen einer weiteren vertraglichen Regelung mit dem Antragsteller 779 Esterholz, gemeindefreies Geb 27.03.2013 i      2400 n nur zu, falls auch die Standortgemeinden dem Vorhaben zustimmen. Diese haben jedoch wiedersprochen. Folglich wird hier eine Anhörung zur Antragsrücknahme ergehen. Vorbescheidsverfahren noch nicht abgeschlossen. Grundstückseigentümer = Staatsforsten. Diese stimmen einer weiteren vertraglichen Regelung mit dem Antragsteller 779 Esterholz, gemeindefreies Geb 27.03.2013 i      2400 n nur zu, falls auch die Standortgemeinden dem Vorhaben zustimmen. Diese haben jedoch wiedersprochen. Folglich wird hier eine Anhörung zur Antragsrücknahme ergehen. Antrag auf Genehmigung - im Verfahren - Von Luftamt Südbayern Zustimmung nach LuftVG 779 Holzheim-Pessenburgheim       08.02.2013 i      3000 n verweigert, Ablehnungsbescheid ist noch nicht erlassen Antrag auf Genehmigung - im Verfahren - Von Luftamt Südbayern Zustimmung nach LuftVG 779 Holzheim-Pessenburgheim       08.02.2013 i      3000 n zunächst verweigert, doch nunmehr zugestimmt. Stellungnahme der Unteren Naturschutzbehörde steht noch aus! Immissionsschutzrechtliches Verfahren. Stellungnahme der Unteren 779 Holzheim-Riedheim             05.03.2014 i      2500 n Naturschutzbehörde steht noch aus, Gemeinde verweigert Einvernehmen. Immissionsschutzrechtliches Verfahren. Stellungnahme der Unteren 779 Holzheim-Riedheim             05.03.2014 i      2500 n Naturschutzbehörde steht noch aus, Gemeinde verweigert Einvernehmen. Immissionsschutzrechtliches Verfahren. Stellungnahme der Unteren 779 Holzheim-Riedheim             05.03.2014 i      2500 n Naturschutzbehörde steht noch aus, Gemeinde verweigert Einvernehmen.
47

Anlage 4 Schwaben                                             Seite 8                                             14.04.2015 Anlage wurde gem. dem Baurecht mit Bescheid vom 14.03.2002 Nr. SG 41-2001/1394 B 779 Monheim-Wittesheim                   27.03.2006 i      1800 j genehmigt und am 27.03.2006 gem. § 67 BImSchG angezeigt. Ein ergänzendes Gutachten zu Artzenschutz wurde im Okt. 2014 eingereicht. Voraussichtlich 779 Rain-Wächtering           05.04.2012            i      2300 n ist aber ein signifikant erhöhtes Tötungsrisiko gegeben. Ein ergänzendes Gutachten zu Artzenschutz wurde im Okt. 2014 eingereicht. Voraussichtlich 779 Rain-Wächtering           05.04.2012            i      2300 n ist aber ein signifikant erhöhtes Tötungsrisiko gegeben. Ein ergänzendes Gutachten zu Artzenschutz wurde im Okt. 2014 eingereicht. Voraussichtlich 779 Rain-Wächtering           05.04.2012            i      2300 n ist aber ein signifikant erhöhtes Tötungsrisiko gegeben. Signifikant erhörtes Tötungsrisiko für besonders geschützte Arten ist gegeben.Lt. Stellungnahme 779 Rain-Wallerdorf           18.05.2012            i      3000 n der Unteren Naturschutzbehörde ist § 44 BNatschG betroffen. Anhörung zur Antragsrücknahme läuft. Signifikant erhörtes Tötungsrisiko für besonders geschützte Arten ist gegeben.Lt. Stellungnahme 779 Rain-Wallerdorf           18.05.2012            i      3000 n der Unteren Naturschutzbehörde ist § 44 BNatschG betroffen. Anhörung zur Antragsrücknahme läuft. Signifikant erhörtes Tötungsrisiko für besonders geschützte Arten ist gegeben.Lt. Stellungnahme 779 Rain-Wallerdorf           18.05.2012            i      3000 n der Unteren Naturschutzbehörde ist § 44 BNatschG betroffen. Anhörung zur Antragsrücknahme läuft. 780 Altusried-Frauenzell      16.08.2012            i      3000 n WKA beantragt; Genehmigungsverfahren noch nicht eingeleitet 780 Altusried-Muthmannshofen  22.03.2005 17.05.2005 i      2300 j WKA 2, baurechtlich genehmigt (§ 67 780 Altusried-Muthmannshofen  16.05.2001 09.10.2001 i      1500 j BImSchG) WKA 3, baurechtlich genehmigt (§ 67 780 Altusried-Muthmannshofen  16.05.2001 09.10.2001 i      1500 j BImSchG) Windkraftanlage beantragt; 780 Buchenberg-Kürnacher Wald 26.10.2010            i      2300 n Genehmigungsverfahren noch nicht eingeleitet Windkraftanlage beantragt; 780 Buchenberg-Kürnacher Wald 26.10.2010            i      2300 n Genehmigungsverfahren noch nicht eingeleitet Windkraftanlage beantragt; 780 Buchenberg-Kürnacher Wald 26.10.2010            i      2300 n Genehmigungsverfahren noch nicht eingeleitet
48

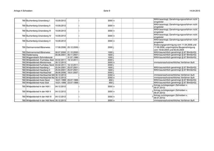
Anlage 4 Schwaben                                                  Seite 9                                            14.04.2015 WKA beantragt; Genehmigungsverfahren nicht 780 Buchenberg-Ursersberg I        10.09.2012            i      3000 n eingeleitet WKA beantragt; Genehmigungsverfahren nicht 780 Buchenberg-Ursersberg II       10.09.2012            i      3000 n eingeleitet WKA beantragt; Genehmigungsverfahren nicht 780 Buchenberg-Ursersberg III      10.09.2012            i      3000 n eingeleitet WKA beantragt; Genehmigungsverfahren nicht 780 Buchenberg-Ursersberg IV       10.09.2012            i      3000 n eingeleitet WKA beantragt; Genehmigungsverfahren nicht 780 Buchenberg-Ursersberg V        10.09.2012            i      3000 n eingeleitet Änderungsgenehmigung vom 11.04.2006 und 780 Dietmannsried-Bärenwies        17.08.2006 20.12.2006 i      2000 j   17.08.2006; ursprüngliche Baugenehmigung vom 19.02.2004 und 05.05.2004 780 Dietmannsried-Bärenwies        30.07.2000 21.12.2000 i      1300 j   WKA baurechtlich genehmigt (§ 67 BImSchG) 780 Haldenwang                     05.06.2001 20.11.2001 i      1600 j   WKA baurechtlich genehmigt (§ 67 BImSchG) 780 Wiggensbach-Schmidsreute                  31.07.1996 i      1000 j   WKA baurechtlich genehmigt (§ 67 BImSchG) 780 Wildpoldsried -Fuchsbau Süd    04.02.2011 19.12.2011 i      2300 j 780 Wildpoldsried-Albratsmoos      30.12.2013            i      3000 n   immissionsschutzrechtliches Verfahren läuft 780 Wildpoldsried-Fuchsbau Nord    04.02.2011 16.12.2011 i      2300 j 780 Wildpoldsried-Haarberg I       25.04.2001 25.07.2001 i      1600 j   WKA baurechtlich genehmigt (§ 67 BImSchG) 780 Wildpoldsried-Haarberg II      25.04.2001 25.07.2001 i      1600 j   WKA baurechtlich genehmigt (§ 67 BImSchG) 780 Wildpoldsried-Hochbachtel      26.06.2006 18.01.2007 i      2000 j 780 Wildpoldsried-Hochbachtel Mit  30.12.2013            i      2350 n   immissionsschutzrechtliches Verfahren läuft 780 Wildpoldsried-Hochbachtel No   30.12.2013            i      2350 n   immissionsschutzrechtliches Verfahren läuft 780 Wildpoldsried-Hutoi Nord       18.01.1999 23.07.1999 i       850 j   WKA baurechtlich genehmigt (§ 67 BImSchG) 780 Wildpoldsried-Hutoi Süd        18.01.1999 23.07.1999 i       850 j   WKA baurechtlich genehmigt (§ 67 BImSchG) Antrag zurückgezogen (Schreiben v. 780 Wildpoldsried-In der Höll I    04.12.2012            i      3000 n 7 09.07.2013) Antrag zurückgezogen (Schreiben v. 780 Wildpoldsried-In der Höll II   04.12.2012            i      3000 n 7 09.07.2013) Antrag zurückgezogen (Schreiben v. 780 Wildpoldsried-In der Höll III  04.12.2012            i      3000 n 7 09.07.2013) 780 Wildpoldsried-In der Höll Nord 30.12.2013            i      3000 n   immissionsschutzrechtliches Verfahren läuft
49

Anlage 5 Oberfranken Standort                                                      Genehmigungsablauf                                               Status                  Bei Ablehnung Kreis- beantragt       Planung                               Genehmigungs-      Nennleistung             In               Begründung kenn-    Gemeinde/Ortsteil                                                                          Vorbescheid   Genehmigung                                  In Bau           abgelehnt                           Bemerkung KVB           ROFr                                  bedürftigkeit      d. Anlage            Betrieb             der Ablehnung ziffer 1) Bauplanungsrecht     1) fehlende Antragsunterlagen 2) Raumordnungsrecht    2) ausstehende Stellungnahmen anderer Behörden 3) Naturschutzrecht     3) Sonstiges + Begründung 4) Landschaftsschutz KKZ                                                                                                                                                Einheit: TT.MM.JJJJ     TT.MM.JJJJ   TT.MM.JJJJ     TT.MM.JJJJ       I/B                        J/N/S    J/N/S    TT.MM.JJJJ 5) Immissionsschutz [kW] 6) Sonstiges (bitte Bemerkungsfeld nutzen) 7) Antrag zurückgezogen (bitte mit Datum) Burgebrach, "WEA 1", WP Treppendorf, Flur-Nr. 1149, Gemarkung 471 Mönchsambach 13.01.2014                                                  I                3000        N        N                                        1) Burgebrach, "WEA 1", WP Walsdorf/Burgebrach, Flur-Nr. 616, 471 Gemarkung Ampferbach 13.01.2014                                                  I                3000        N        N                                        1), 2) Burgebrach, "WEA 10", WP Walsdorf/Burgebrach, Flur-Nr. 790, 471 Gemarkung Walsdorf 13.01.2014                                                  I                3000        N        N                                        1), 2) Burgebrach, "WEA 11", WP Walsdorf/Burgebrach, Flur-Nr. 790, 471 Gemarkung Walsdorf 13.01.2014                                                  I                3000        N        N                                        1), 2) Burgebrach, "WEA 2", WP Treppendorf, Flur-Nr. 1383, Gemarkung 471 Mönchsambach 13.01.2014                                                  I                3000        N        N                                        1), 2) Burgebrach, "WEA 2, WP Walsdorf/Burgebrach, Flur-Nr. 624, 471 Gemarkung Ampferbach 13.01.2014                                                  I                3000        N        N                                        1), 2) Burgebrach, "WEA 3", WP Treppendorf, Flur-Nr. 1339 oder 1340, 471 Gemarkung Mönchsambach 13.01.2014                                                  I                3000        N        N                                        1), 2), 3) Flur-Nr. stimmt auf Plan nicht mit Antragsunterlagen überein Burgebrach, "WEA 3", WP Walsdorf/Burgebrach, Flur-Nr. 669, 471 Gemarkung Ampferbach 13.01.2014                                                  I                3000        N        N                                        1), 2) Burgebrach, "WEA 4", WP Treppendorf, Flur-Nr. 1336, Gemarkung 471 Mönchsambach 13.01.2014                                                  I                3000        N        N                                        1), 2) Burgebrach, "WEA 4", WP Walsdorf/Burgebrach, Flur-Nr. 682, 471 Gemarkung Ampferbach 13.01.2014                                                  I                3000        N        N                                        1), 2) Burgebrach, "WEA 5", WP Walsdorf/Burgebrach, Flur-Nr. 692, 471 Gemarkung Ampferbach 13.01.2014                                                  I                3000        N        N                                        1), 2) Burgebrach, "WEA 6", WP Walsdorf/Burgebrach, Flur-Nr. 782, 471 Gemarkung Ampferbach 13.01.2014                                                  I                3000        N        N                                        1), 2) Burgebrach, "WEA 7", WP Walsdorf/Burgebrach, Flur-Nr. 796/1, 471 Gemarkung Walsdorf 13.01.2014                                                  I                3000        N        N                                        1), 2) Burgebrach, "WEA 8", WP Walsdorf/Burgebrach, Flur-Nr. 795, 471 Gemarkung Walsdorf 13.01.2014                                                  I                3000        N        N                                        1), 2) Burgebrach, "WEA 9", WP Walsdorf/Burgebrach, Flur-Nr. 794/3, 471 Gemarkung Walsdorf 13.01.2014                                                  I                3000        N        N                                        1), 2) 471    Buttenheim, Flur-Nr. 1472, Gemarkung Tiefenhöchstadt            04.02.2002     04.02.2002                  08.08.2002       I                1500        N         J 471    Heiligenstadt i. Ofr., Flur-Nr. 311, Gemarkung Oberngrub        04.03.2002     04.03.2002                  08.08.2002       I                1500        N         J 471    Heiligenstadt i. Ofr., Flur-Nr. 312, Gemarkung Oberngrub        04.03.2002     04.03.2002                  08.08.2002       I                1500        N         J 471    Heiligenstadt i. Ofr., Flur-Nr. 315, Gemarkung Oberngrub        04.03.2002     04.03.2002                  08.08.2002       I                1500        N         J 471    Heiligenstadt i. Ofr., Flur-Nr. 327, Gemarkung Oberngrub        04.03.2002     04.03.2002                  08.08.2002       I                1500        N         J 471    Königsfeld, Fl.Nr. 1012, Gemarkung Poxdorf                      13.01.2014                                                  I                3000        N        N                                        1), 2) 471    Königsfeld, Fl.Nr. 934, Gemarkung Poxdorf                       13.01.2014                                                  I                3000        N        N                                        1), 2) 471    Königsfeld, Fl.Nr. 973, Gemarkung Poxdorf                       13.01.2014                                                  I                3000        N        N                                        1), 2) 471    Königsfeld, Flur-Nr. 1019, Gemarkung Poxdorf                    29.12.2010     04.02.2011                  24.05.2011       I                2500        N         J 471    Lisberg, "WEA 2" Flur-Nr. 1151 (neu), Gemarkung Priesendorf     25.03.2014     05.05.2014                                   I                3050        N        N                                        vor Flurbereinigung: auf Flurnummer 133 der Gemarkung Trabelsdorf 15.11.2011 Vorbescheid gem. § 9 15.11.2011 Vorbescheid gem. § 9 BImSchG; 13.01.2014 Antrag gem. § 471    Litzendorf, Fl.Nr. 1426 Gemarkung Tiefenellern                  BImSchG;                                                    I                  ?         N        N                                        4 BImSchG 13.01.2014 Antrag gem. § 4 BImSchG 15.11.2011 Vorbescheid gem. § 9 15.11.2011 Vorbescheid gem. § 9 BImSchG; 13.01.2014 Antrag gem. § 471    Litzendorf, Fl.Nr. 1439 Gemarkung Tiefenellern                  BImSchG;                                                    I                  ?         N        N                                        4 BImSchG 13.01.2014 Antrag gem. § 4 BImSchG 15.11.2011 Vorbescheid gem. § 9 15.11.2011 Vorbescheid gem. § 9 BImSchG; 13.01.2014 Antrag gem. § 471    Litzendorf, Fl.Nr. 1459 Gemarkung Tiefenellern                  BImSchG;                                                    I                  ?         N        N                                        4 BImSchG 13.01.2014 Antrag gem. § 4 BImSchG Seite 1 von 14
50

Zur nächsten Seite