Verwendung von Haushaltsmitteln im Thüringer Ministerium für Arbeit, Soziales, Gesundheit, Frauen und Familie

/ 5
PDF herunterladen
Thüringer Landtag 6. Wahlperiode Drucksache 6/ 18.09.2015 1079 Kleine Anfrage des Abgeordneten Kießling (AfD) und Antwort des Thüringer Ministeriums für Arbeit, Soziales, Gesundheit, Frauen und Familie Verwendung von Haushaltsmitteln im Thüringer Ministerium für Arbeit, Soziales, Gesundheit, Frauen und Familie Die Kleine Anfrage 433 vom 29. Juli 2015 hat folgenden Wortlaut: Die Ausgaben des Thüringer Ministeriums für Arbeit, Soziales, Gesundheit, Frauen und Familie sind zu ei- nem hohen Anteil durch gesetzliche Pflichtausgaben gebunden. Nur ein geringer Teil des gesamten Haus- haltsvolumens steht für die Schwerpunktsetzung der Landesregierung zur Verfügung. Die Kleine Anfrage dient dem Zweck, diese Mittelverwendung abzufragen. Ich frage die Landesregierung: 1. Welche Grundlagen für die Ausgaben und den Ausgabenzweck liegen im Kapitel 08 29 Titel 526 02 "Kosten für Sachverständige" vor? 2. Welche konkreten Projekte und welche Sachverständigentätigkeit wurden mit den Haushaltsmitteln der oben genannten Haushaltsstelle in den Jahren 2013 und 2014 finanziert? 3. Woraus ergeben sich die Verpflichtungsermächtigungen der Jahre 2014 und 2015 der oben genannten Haushaltsstelle? 4. Welche Projekte wurden in den Jahren 2013 und 2014 aus den Mitteln des Kapitels 08 29 Titel 893 02 "Sonstige Investitionen im Gesundheitsbereich" finanziert? 5. Wie gliedern sich die Mittel der oben genannten Haushaltsstelle in investive Ausgaben (beispielsweise Baukostenzuschüsse, Unterhaltungskosten und Personalkosten)? 6. Auf welchen Betrag belaufen sich jeweils die Haushaltsmittel in den einzelnen Projekten (Nummer 1 bis Nummer 11) im Kapitel 08 29 Titel 547 71? a) Welche Projekte wurden im Rahmen der "Gesundheitsberichterstattung" durchgeführt? b) Welche Projekte wurden im Rahmen des WHO-Programms "Masern-Eliminierung" durchgeführt? c) Welche Projekte wurden durch die Landesarbeitsgemeinschaft für Jugendzahnpflege Thüringen e.V. durchgeführt und jeweils in welcher Höhe finanziert? 7. Welche Projekte wurden im Rahmen der "Maßnahmen der Gesundheitsförderung und Krankheitsprä- vention sowie Unterstützung des Thüringer Gesundheitszielprozesses" in den Jahren 2013 und 2014 sowie zum jetzigen Zeitpunkt im Jahr 2015 in welcher Höhe unterstützt (Kapitel 08 29 Titel 684 71)? Druck: Thüringer Landtag, 6. Oktober 2015
1

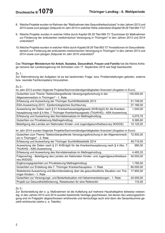
Drucksache 6/      1079                                     Thüringer Landtag - 6. Wahlperiode 8. Welche Projekte wurden im Rahmen der "Maßnahmen des Gesundheitsschutzes" in den Jahren 2013 und 2014 sowie zum jetzigen Zeitpunkt im Jahr 2015 in welcher Höhe unterstützt (Kapitel 08 29 Titel 684 71)? 9. Welche Projekte wurden in welcher Höhe durch Kapitel 08 29 Titel 686 73 "Zuschüsse für Maßnahmen zur Förderung der ambulanten medizinischen Versorgung in Thüringen" in den Jahren 2013 und 2014 unterstützt? 10.Welche Projekte wurden in welcher Höhe durch Kapitel 08 29 Titel 893 73 "Investitionen im Gesundheits- bereich zur Förderung der ambulanten medizinischen Versorgung in Thüringen" in den Jahren 2013 und 2014 sowie zum jetzigen Zeitpunkt im Jahr 2015 unterstützt? Das Thüringer Ministerium für Arbeit, Soziales, Gesundheit, Frauen und Familie hat die Kleine Anfra- ge namens der Lan­desre­gierung mit Schreiben vom 17. September 2015 wie folgt beantwortet: Zu 1.: Zur Wahrnehmung der Aufgaben ist es bei bestimmten Frage- bzw. Problemstellungen geboten, externe bzw. neutrale Fachkompetenz hinzuziehen. Zu 2.: Im Jahr 2013 wurden folgende Projekte/Sachverständigentätigkeiten finanziert (Angaben in Euro): Gutachten zum Thema "Sektorübergreifende Versorgungs­forschung in der                        145.000,00 Allgemeinmedizin in Thüringen" - 1. Rate Erfassung und Auswertung der Thüringer Suchthilfestatistik 2013                               51.748,00 ESA-Auswertung 2013 - Epidemiologisches Suchtsurvey                                           27.166,00 Auswertung der Daten nach § 21 Krankenhausentgeltgesetz (KHEntgG) für die Kranken-              1.040,00 hausplanung nach § 4 Abs. 7 Thüringer Krankenhausgesetz (ThürKHG) - ASK-Auswertung Erfassung und Auswertung des Kerndatensatzes im Maßregelvollzug                                 4.075,75 Gutachten zur Privatisierung Maßregelvollzug                                                    9.366,60 Beteiligung des Landes am Nationalen Kinder- und Jugendgesundheitssurvey (KIGGS)              10.125,00 Im Jahr 2014 wurden folgende Projekte/Sachverständigentätigkeiten finanziert (Angaben in Euro): Gutachten zum Thema "Sektorübergreifende Versorgungs­forschung in der Allgemeinmedi- 72.500,00 zin in Thüringen" - 2. Rate Erfassung und Auswertung der Thüringer Suchthilfestatistik 2014                               49.715,00 Auswertung der Daten nach § 21 KHEntgG für die Krankenhausplanung nach § 4 Abs. 7                  980,00 ThürKHG - ASK-Auswertung Erfassung und Auswertung des Kerndatensatzes im Maßregelvollzug                                 4.483,33 Folgevertrag - Beteiligung des Landes am Nationalen Kinder- und Jugendgesundheitssur- 40.000,00 vey (KIGGS) Ergänzungsgutachten zur Privatisierung Maßregelvollzug                                          1.785,00 Gutachten zur Erstellung des 7. Thüringer Krankenhausplans - 1. Rate                          80.000,00 Statistische Auswertung und Berichterstattung über die gesundheitliche Situation von Thü- 17.850,00 ringer Kindern - 1. Rate Gutachten zur Versorgungs- und Bedarfssituation mit Hebammenleistungen - 1. Rate              24.000,00 Projekt zur Gesundheitsförderung, Reisekosten für eine Referentin                                  115,40 Zu 3.: Zur Sicherstellung der o. g. Maßnahmen ist die Aufteilung auf mehrere Haushaltsjahre teilweise notwen- dig. In den Jahren 2013 und 2014 wurden bestimmte Verträge geschlossen, bei denen die Leistungserbrin- gung erst im Folgejahr abgeschlossen wird/wurde und demzufolge auch erst dann die Gesamtsumme ge- zahlt wird/wurde (siehe o. a. Tabelle). 2
2

Thüringer Landtag - 6. Wahlperiode                                        Drucksache 6/      1079 Zu 4.: Im Jahr 2013 wurden folgende Projekte finanziert: a) Erweiterung der Fachklinik für Drogenabhängige in Rusteberg (2. BA) b) Erweiterung der Tagesstruktur am sozialtherapeutischen Wohnheim "Waidwäsche" in Erfurt c) Brandschutztechnische Anpassung an den Gebäuden der Stiftung Rehabilitationszentrum in Schleusin- gen d) Bau von ambulanten Versorgungsstrukturen für drogenabhängige Mütter und ihre Kinder und einer in- tegrierten Kinderbetreuung am Mutter-Kind-Wohnheim in Wolfersdorf e) Teilsanierung des Wohnheimes für suchtmittelabhängige Menschen in Freienbessingen Im Jahr 2014 wurden folgende Projekte finanziert: a) Erweiterung der Fachklinik für Drogenabhängige in Rusteberg (2. und 3. BA) b) Erneuerung der Wärme- und Stromversorgung in den Gebäuden der Stiftung Rehabilitationszentrum in Schleusingen c) Erneuerung der Versorgungsküche im Rehabilitationszentrum Schleusingen d) Anschaffung eines Multicars mit Hänger und Winterdienstausstattung für die Stiftung Rehabilitationszen- trum in Schleusingen e) Erweiterung der Tagesstrukturierung am sozialtherapeutischen Wohnheim für suchtmittelabhängige Men- schen "Haus Jona" in Freienbessingen f) Umbau und Sanierung des sozialtherapeutischen Wohnheims für suchtmittelabhängige Menschen in Kämmeritz "Holzmühle Christliche Suchthilfe" g) Erstausstattung des Teilhabezentrums für psychisch erkrankte Menschen in Weimar/Apolda Zu 5.: Bei den investiven Ausgaben aus dem Haushaltstitel 08 29/893 02 handelt es sich ausschließlich um Bau- kostenzuschüsse. Zu 6.: 2013 IST     2014 IST       2015 Soll 1. Verwaltungsausgaben im Rahmen der Gesundheitsförder- 4.040,68     9.505,10           6.000,00 ung, Suchtprävention und der psychiatrischen Versorgung 2. Veranstaltungen im Rahmen der Gesundheitsförderung, 1.793,37     8.921,30           4.100,00 Suchtprävention und der psychiatrischen Versorgung 3. Zuschuss an die Landesarbeits­gemeinschaft für Jugend- 6.900,00     6.900,00           6.900,00 zahn­pflege Thüringen e.V. 4. Kosten für die Gesundheits­berichterstattung                  694,68       687,09               0,00 5. Durchführung von umwelt­hygienischen Untersuchungen             0,00          0,00          5.000,00 6. Kostenerstattung für Maßnahmen nach dem Infektions- 51.799,66   29.827,67         32.000,00 schutzgesetz 7. Masern WHO-Programm "Masern-Eliminierung"                   1.108,37     3.500,00           1.500,00 8. Kosten der Badegewässeranalytik                                    0             0                 0 9. Kosten für Sektionen von CJK-Verdachtsfällen                       0             0                 0 10.Berichtswesen - Sicherstellung der Qualität in der onkolo- 0             0                 0 gischen Versorgung 11. Sonstiges (z.B. Medizinische Soforthilfe/Arzneimittel­ bevorratung, Katastrophen­schutzübungen in Kranken­        2.029,35     2.126,13           4.500,00 häusern, Landesnotfalldepot) Summe                                                         68.366,11   57.967,29         60.000,00 Zu 6. a : Bei den Kosten für die Gesundheitsberichterstattung handelt es sich um den Länderanteil nach dem Kö- nigsteiner Schlüssel zur Finanzierung von "gesundheitsziele.de", dem Kooperationsverbund zur Weiter- entwicklung des nationalen Gesundheitszieleprozesses unter Beteiligung von Bund, Ländern und Akteu- ren der Selbstverwaltung. 3
3

Drucksache 6/         1079                                        Thüringer Landtag - 6. Wahlperiode Zu 6. b : Im Kapitel 08 29 Titel 547 71 werden allgemein Haushaltsmittel für Sach­ausgaben im Rahmen der Gesund- heitsförderung, des Gesundheitsschutzes und der Gesundheitshilfen für die Durchführung von Maßnah- men im Zuständigkeitsbereich der Abteilung Gesundheit des Thüringer Ministeriums für Arbeit, Soziales, Gesundheit, Frauen und Familie eingestellt. Im Jahr 2013 waren für Maßnahmen für das WHO-Programm "Masern-Eliminierung" insgesamt 1.500 Euro eingestellt. Davon wurden sechs verschie­dene Merkblätter zur Impfaufklärung der Thüringer Bevölkerung mit einer Auflagenhöhe von 45.000 Stück gedruckt. Die Kosten beliefen sich auf 711,16 Euro. Die Merk- blätter wurden an den Öffentlichen Gesundheitsdienst (Thüringer Gesundheitsämter) verteilt. Des Weiteren wurden insgesamt 25.000 Stück Impfkarten zur Impferinnerung für 397,21 Euro gedruckt. Im Jahr 2014 war kein Bedarf an Informationsmaterial für Schutzimpfungen vorhanden. Zu 6. c: Ziel ist hier nicht eine Projektfinanzierung bei der Landesarbeitsgemeinschaft für Jugendzahnpflege Thürin- gen e.V. (LAGJ). Der Beitrag dient als Zuschuss des TMASGFF, um die Bedeutung von Kariesprophylaxe bei Thüringer Kindern auch politisch festzuschreiben und die Wahrnehmung der Verantwortung durch den Freistaat auch finanziell zu verdeutlichen. Es handelt sich um einen Beitrag zum Verwaltungshaushalt der LAGJ. Der Freistaat ist (vertreten durch das TMASGFF) ordentliches Mitglied der LAGJ, die gemäß § 21 Fünftes Buch Sozialgesetzbuch die Gruppenprophylaxe zur Förderung der Zahn- und Mundgesundheit um- setzt. Die Höhe des Beitrages ist festgelegt und jährlich gleich. Zu 7.: Die nachfolgend aufgeführten Projekte wurden wie folgt unterstützt: Projekt                                                     IST 2013        IST 2014        Zuwendung Euro            Euro             2015 Psychische Gesundheit                                         52.360          57.307           59.800 Netzwerke Gesunde Kommune                                     64.660          48.592           65.150 Gesundheitsförderung im Alter und demografi-                  59.480          62.001           65.150 scher Wandel Eltern AG - Gesundheitsförderung bei sozial Be-               24.000          16.000            8.000 nachteiligten Zuwendungen für die AIDS-Hilfe Thüringen e. V. -              18.406          15.906           18.261 Förderung der Stelle Projektkoordinator Zuwendung für die AIDS-Hilfe Weimar & Ostthürin-              20.594          17.094           19.339 gen e. V. - Förderung der Stelle Projektkoordinator 239.500         216.900          235.700 Ergänzend sei angemerkt, dass die Finanzierung der Koordinierungsstelle Aidsprävention und Sexualpäda- gogik bei der Landesvereinigung für Gesundheitsförderung Thüringen e. V. - AGETHUR über die institutio- nelle Förderung der AGETHUR erfolgt und deshalb nicht mit bei den Projekten im Rahmen der Maßnahmen Gesundheitsförderung und Krankheitsprävention sowie der Unterstützung des "Thüringer Gesundheitszie- leprozesses" aufgeführt ist. Zu 8.: 2013         2014        2015 Projekt                                    Träger Euro         Euro        Euro Beteiligung am Aufbau IT-Netzwerk in        Universitätsklinikum Jena  9.372,44     5.084,00 der Pilotphase für 2013 im Rahmen des       - Center for Sepsis Con- Projekts "Nosokomiale Blutstrominfek-       trol and Care, Paul-Mar- tionen, Antibiotika­resistenz und leitlini- tini-Forschungsgruppe engerechte Blutkulturdiagnostik - eine      für Klinische Sepsiser- thüringen­weite prospektive Erhebung        forschung ("Alerts-Net"), gefördert vom Bundesmi- nisterium für Gesundheit, Bewilligungs- zeitraum 1. April 2012 bis 31. Juli 2015 4
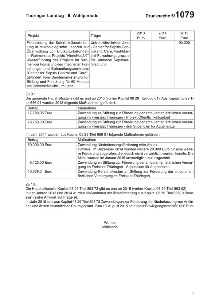
4

Thüringer Landtag - 6. Wahlperiode                                           Drucksache 6/       1079 2013          2014          2015 Projekt                                  Träger Euro          Euro         Euro Finanzierung der Schnittstelleneinrich-   Universitätsklinikum Jena                              90.000 tung in mikrobiologische Laboren zur      - Center for Sepsis Con- Übermittlung von Blutkulturbefunden       trol and Care, Paul-Mar- im Rahmen des Projekts "AlertsNet 2.0"    tini-Forschungsgruppe -Weiterführung des Projekts im Rah-       für Klinische Sepsiser- men der Förderung des Integrierten For-   forschung schungs- und Behandlungszentrums "Center for Sepsis Control and Care", gefördert vom Bundesministerium für Bildung und Forschung für 60 Monate am Universitätsklinikum Jena Zu 9.: Die genannte Haushaltsstelle gibt es erst ab 2015 (vorher Kapitel 08 29 Titel 686 01). Aus Kapitel 08 29 Ti- tel 686 01 wurden 2013 folgende Maßnahmen gefördert: Betrag                          Maßnahme 17.789,95 Euro                  Zuwendung an Stiftung zur Förderung der ambulanten ärztlichen Versor- gung im Freistaat Thüringen - Projekt Öffentlichkeitsarbeit 23.750,00 Euro                  Zuwendung an Stiftung zur Förderung der ambulanten ärztlichen Versor- gung im Freistaat Thüringen - drei Stipendien für Augenärzte Im Jahr 2014 wurden aus Kapitel 08 29 Titel 686 01 folgende Maßnahmen gefördert: Betrag                          Maßnahme 60.000,00 Euro                  Zuwendung Niederlassungsförderung (vier Ärzte) Hinweis: im Dezember 2014 wurden weitere 20.000 Euro für eine weite- re Förderung abgerufen, die jedoch nicht verwirklicht werden konnte. Die Mittel wurden im Januar 2015 unverzüglich zurückgezahlt. 8.125,00 Euro                  Zuwendung an Stiftung zur Förderung der ambulanten ärztlichen Versor- gung im Freistaat Thüringen - Stipendium für Augenärztin 10.679,24 Euro                  Zuwendung Personalkosten an Stiftung zur Förderung der ambulanten ärztlichen Versorgung im Freistaat Thüringen Zu 10.: Die Haushaltsstelle Kapitel 08 29 Titel 893 73 gibt es erst ab 2015 (vorher Kapitel 08 29 Titel 893 02). In den Jahren 2013 und 2014 wurden Maßnahmen der Ärzteförderung aus Kapitel 08 29 Titel 686 01 finan- ziert (siehe Antwort auf Frage 9). Im Jahr 2015 sind aus Kapitel 08 29 Titel 893 73 Zuwendungen zur Förderung der Niederlassung von Ärztin- nen und Ärzten im ländlichen Raum geplant. Zum 10. August 2015 betrug der Bewilligungsstand 60.000 Euro. Werner Ministerin 5
5