Vertrag_final_unterschrieben_mit_Anlagen_geschwrzt_final.pdf

Dieses Dokument ist Teil der Anfrage „Vertrag zu Erarbeitung der Digitalisierungsstrategie

/ 104
PDF herunterladen
Wirt-214 P (BVB und Eigenerklärung zu Tariftreue, Mindestentgelt und Sozialversicherungsbeiträgen) Vergabenummer Maßnahmenummer IIIB6-3505015-1/2017-1-4 Maßnahme Strategische, kommunikative und partizipative Beratung sowie Projektbegleitung bei der Entwicklung der Berliner Digitalisierungsstrategie Leistung/CPV Dienstleistungen, CPV-Codes: 79400000-8 (Hauptteil), 79411000-8, 79416000-3, 79416200-5, 79421000-1 Besondere Vertragsbedingungen (BVB) zu Tariftreue, Mindestentlohnung und Sozialversicherungsbeiträgen Der Auftragnehmer verpflichtet sich, • • • • • seinen Arbeitnehmerinnen und Arbeitnehmern bei der Ausführung mindestens diejenigen Arbeitsbedingungen einschließlich des Entgelts zu gewähren, die der nach dem Arbeitnehmerentsendegesetz (AEntG) einzuhaltende Tarifvertrag vorgibt, oder andere gesetzliche Bestimmungen über Mindestentgelte einzuhalten. seinen Arbeitnehmerinnen und Arbeitnehmern (ohne Auszubildende) bei der Ausführung der Leistung mindestens ein Stundenentgelt von 9,00 € (brutto) zu bezahlen. die von ihm beauftragten Nachunternehmer (Unterauftragnehmer) oder Verleiher schriftlich zu verpflichten, seinen Arbeitnehmerinnen und Arbeitnehmern im Rahmen der zu erfüllenden Vertragsleistung mindestens die Arbeitsbedingungen zu gewähren, die für die vom Nachunternehmer (Unterauftragnehmer) oder dem Vertragspartner des Verleihers zu erbringende Leistung nach dem Arbeitnehmerentsendegesetz (AEntG) oder nach anderen gesetzlichen Bestimmungen über Mindestentgelte maßgeblich sind. sicherzustellen, dass die Verpflichtung auf einen von ihm beauftragten Unterauftragnehmer oder Verleiher schriftlich übertragen wird (mittels Wirt-214) und dem öffentlichen Auftraggeber auf Verlangen die schriftlichen Übertragungen nachzuweisen. sicherzustellen, dass die von ihm beauftragten Unterauftragnehmer oder Verleiher ihrerseits den von ihnen beauftragten Unterauftragnehmer oder Verleihern die o.a. Verpflichtungen schriftlich übertragen und sich dazu verpflichten, dem öffentlichen Auftraggeber auf Verlangen die schriftlichen Übertragungen nachzuweisen. Die Verpflichtungen gelten nicht bei Dienstleistungen, Unterauftragnehmern im Ausland erbracht werden. die von ausländischen Verstößt der Auftragnehmer oder einer seiner Unterauftragnehmer schuldhaft gegen die o.a. Verpflichtungen, ist zwischen dem Auftraggeber und dem Auftragnehmer für jeden schuldhaften Verstoß regelmäßig eine Vertragsstrafe in Höhe von 1 v.H., bei mehreren Verstößen zusammen bis zur Höhe von 5 v.H. der Auftragssumme vereinbart. Der Auftragnehmer ist zur Zahlung einer Vertragsstrafe auch für den Fall verpflichtet, dass der Verstoß durch einen von ihm eingesetzten Unterauftragnehmer oder einen von diesem eingesetzten Unterauftragnehmer begangen wird. Die schuldhafte Nichterfüllung der o.a. Verpflichtungen durch den Auftragnehmer oder seine Unterauftragnehmer berechtigt den Auftraggeber zur fristlosen Kündigung. Wlrt-214 (P) BVB und Elgenerklämng zu Tariftreue, Mindestentgelt, SV-Beiträgen (September 2018) Selta 1von 2
90

Wirt-214 P BVB und Eigenerklärung zu Tariftreue, Mindestentgelt und Sozialversicherungsbeiträgen) Der Auftraggeber oder ein von ihm beauftragter Dritter darf zu Kontrollzwecken Einblick in die Entgeltabrechnungen der ausführenden Unternehmen, in die Unterlagen über die Abführung von Steuern und Beiträgen an in- und ausländische Sozialversicherungsträger, in die Unterlagen über die Abführung von Beiträgen an in- und ausländische Sozialkassen des Baugewerbes und in die zwischen den ausführenden Unternehmen abgeschlossenen Verträge nehmen. Die ausführenden Unternehmen haben ihre Beschäftigten auf die Möglichkeit solcher Kontrollen schriftlich hinzuweisen. Die ausführenden Unternehmen haben vollständige und prüffähige Unterlagen zur Prüfung der o.a. Unterlagen bereitzuhalten und auf Verlangen dem öffentlichen Auftraggeber vorzulegen. Eigenerklärung zu Tariftreue, Mindestentlohnung und Sozialversicherungsbeiträgen Ich erkläre / Wir erklären, « mit meiner/unseren Unterschrift/en die vorstehend aufgeführten Besonderen Vertragsbedingungen zu Tariftreue, Mindestentlohnung und Sozialversiche­ rungsbeiträgen einzuhalten (siehe Wirt-214, Seite 1), • meinen/unseren Arbeitnehmerinnen und Arbeitnehmern bei der Ausführung der Leistung bei gleicher oder gleichwertiger Arbeit gleiches Entgelt zu bezahlen (Tarifvertragliche Regelungen bleiben davon unberührt). Die Verpflichtung gilt nicht bei Dienstleistungen, die von ausländischen Unterauftragnehmern im Ausland erbracht werden. Ich bin mir / Wir sind uns bewusst, dass ein Verstoß gegen diese Erklärung meinen/unseren Ausschluss von weiteren Auftragserteilungen zur Folge haben und mein/unser Unternehmen bis zur Dauer von drei Jahren von der Vergabe öffentlicher Aufträge ausgeschlossen werden kann. t & Young GmbH schaf tsprüfungsqesellscheft Hamburg, 18.01.2019 (Ort, Datum) Hinweis: Bei Teilnahme am schriftlichen Vergabeverfahron Ist die Erklärung an dieser Stelle zu unterschreiben. Wirt-214 (P) BVB und Eigenerklärung zu Tariftreue, Mindestentgelt, SV-Beiträgen (September 2018) Seite 2 von 2
91

Wirt-214'l P (Besondere Vertragsbedingungen und Erklärung gem. § 1 Abs. 2 der Frauenförderverordnung) Vergabenummer IIIB6-3505015-1/2017-1-4 Maßnahmenummer Maßnahme Strategische, kommunikative und partizipative Beratung sowie Projektbegleitung bei der Entwicklung def Berliner Digitalisierungsstrategie Leistung/CPV Dienstleistungen, CPV-Codes: 79400000-8 (Hauptteil), 79411000-8, 79416000-3, 79416200-5, 79421000-1 Besondere Vertragsbedingungen zur Frauenförderung Der Auftragnehmer verpflichtet sich, • das geltende Gleichbehandlungsrecht zu beachten. » sicherzustellen, dass zur Vertragserfüllung eingeschaltete Nachunternehmer sich abhängig von der Unternehmensgröße gemäß § 3 Frauenförderverordnung (FFV) zur Durchführung von Maßnahmen gemäß § 2 FFV und zur Einhaltung der Verpflichtungen nach § 4 FFV bereit erklärt. Eine Verletzung dieser Verpflichtung durch den Nachunternehmer wird dem Auftragnehmer zugerechnet. » abhängig von der Unternehmensgröße gemäß § 3 Frauenförderverordnung (FFV) eine oder mehrere der in § 2 FFV aufgeführten Maßnahmen der Frauenförderung und/öder der Förderung der Vereinbarkeit von Beruf und Familie durchzuführen Verstößt der Auftragnehmer oder einer seiner Nachunternehmer schuldhaft gegen die o.a. Verpflichtungen, ist zwischen dem Auftraggeberund dem Auftragnehmer für jeden schuldhaften Verstoß regelmäßig eine Vertragsstrafe in Höhe von 1 v.H., bei mehreren Verstößen zusammen bis zur Höhe von 5 v.H. der Auftragssumme vereinbart. Der Auftragnehmer ist zur Zahlung einer Vertragsstrafe auch für den Fall verpflichtet, dass der Verstoß durch einen von ihm eingesetzten Nachunternehmer oder einen von diesem eingesetzten Nachunternehmer begangen wird. Die schuldhafte Nichterfüllung der o.a. Verpflichtungen durch den Auftragnehmer oder seine Nachunternehmer berechtigt den Auftraggeber zur fristlosen Kündigung. Der Auftraggeber oder ein von ihm beauftragter Dritter darf zu Kontrollzwecken Einblick in die Entgeltabrechnungen der ausführenden Unternehmen, in die Unterlagen über die Abführung von Steuern und Beiträgen an in- und ausländische Sozialversicherungsträger, in die Unterlagen über die Abführung von Beiträgen an in- und ausländische Sozialkassen des Baugewerbes und in die zwischen den ausführenden Unternehmen abgeschlossenen Verträge nehmen. Die ausführenden Unternehmen haben ihre Beschäftigten auf die Möglichkeit solcher Kontrollen schriftlich hinzuweisen. Die ausführenden Unternehmen haben vollständige und prüffähige Unterlagen zur Prüfung der o.a. Unterlagen bereitzuhalten und auf Verlangen dem öffentlichen Auftraggeber vorzulegen. Wlrt-2141 (P) BVB/EE-FFV (September 2018) Seite 1 von 4
92

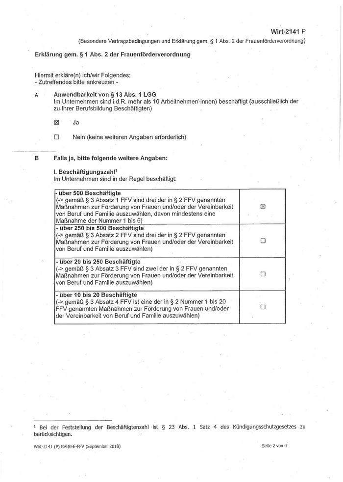
Wirt-2141 P (Besondere Vertragsbedingungen und Erklärung gem. § 1 Abs, 2 der Frauenförderverordnung) Erklärung gem. § 1 Abs. 2 der Frauenförderverordnung Hiermit erkläre(n) ich/wir Folgendes: - Zutreffendes bitte ankreuzen - A B Anwendbarkeit von § 13 Abs. 1 LGG Im Unternehmen sind i.d.R. mehr als 10 Arbeitnehmer/-innen) beschäftigt (ausschließlich der zu Ihrer Berufsbildung Beschäftigten) Kl Ja • Nein (keine weiteren Angaben erforderlich) Falls ja, bitte folgende weitere Angaben: I. Beschäftigungszahl1 Im Unternehmen sind in der Regel beschäftigt: - über 500 Beschäftigte (-> gemäß § 3 Absatz 1 FFV sind drei der in § 2 FFV genannten Maßnahmen zur Förderung von Frauen und/oder der Vereinbarkeit von Beruf und Familie auszuwählen, davon mindestens eine Maßnahme der Nummer 1 bis 6) - über 250 bis 500 Beschäftigte (-> gemäß § 3 Absatz 2 FFV sind drei der in § 2 FFV genannten Maßnahmen zur Förderung von Frauen und/oder der Vereinbarkeit von Beruf und Familie auszuwählen) • - über 20 bis 250 Beschäftigte (-> gemäß § 3 Absatz 3 FFV sind zwei der in § 2 FFV genannten Maßnahmen zur Förderung von Frauen und/oder der Vereinbarkeit von Beruf und Familie auszuwählen) • - über 10 bis 20 Beschäftigte (-> gemäß § 3 Absatz 4 FFV ist eine der in § 2 Nummer 1 bis 20 FFV genannten Mäßnahmen zur Förderung von Frauen und/oder der Vereinbarkeit von Beruf und Familie auszuwählen) • Bei der Feststellung der Beschäftigtenzahl ist § 23 Abs, 1 Satz 4 des Kündigungsschutzgesetzes zu berücksichtigen. 1 Wirt-214;l (P) BVB/EÉ-FFV (September 2018) Seite 2 von 4
93

Wirt-2141 P (Besondere Vertragsbedingungen und Erklärung gem. § 1 Abs. 2 der Frauenförderverordnung) II. Maßnahmen zur Frauenförderung und/oder zur Förderung der Vereinbarkeit von Beruf und Familie In meinem/unserem Unternehmen wird/werden während der Durchführung des Auftrags folgende Maßnahme(n) gemäß § 2 FFV durchgeführt oder eingeleitet: 1. Umsetzung eines qualifizierten Frauenförderplans E 2. verbindliche Zielvorgaben zur Erhöhung des Frauenanteils an den Beschäftigten in allen Funktionsebenen El 3. Erhöhung des Anteils der weiblichen Beschäftigten in gehobenen und Leitungspositionen El 4. Erhöhung des Anteils der Vergabe von Ausbildungsplätzen an Bewerberinnen El 5. Berücksichtigung von weiblichen Auszubildenden bei der Übernahme in ein Arbeitsverhältnis zumindest entsprechend ihrem Ausbildungsanteil El 6. Einsetzung einer Frauenbeauftragten El 7. Überprüfung der Entgeltgleichheit im Unternehmen mit Hilfe anerkannter und geeigneter Instrumente El 8. Angebot von Praktikumsplätzen für Mädchen und junge Frauen, insbesondere in Berufen, in denen Frauen unterrepräsentiert sind EI 9. Teilnahme an anerkannten und geeigneten Maßnahmen und Initiativen, die Mädchen und junge Frauen für männlich dominierte Berufe interessieren sollen El 10. spezielle Bildungsmaßnahm'en nur für Frauen, die zur Erreichung qualifizierter Positionen befähigen sollen El 11. Bereitstellung der Plätze bei sonstigen betrieblichen Bildungsmaßnahmen für Frauen zumindest entsprechend ihrem Anteil an den Beschäftigten El 12. Bereitstellung der Plätze außerbetrieblicher, vom Betrieb finanzierter Bildungsmaßnahmen für Frauen zumindest entsprechend ihrem Anteil an den Beschäftigten bevorzugte Berücksichtigung von Frauen beim beruflichen Aufstieg nach erfolgreichem Abschluss einer inner- oder außerbetrieblichen Bildungsmaßnahme 13. El El 14. Angebot flexibler, den individuellen Bedürfnissen entsprechender Gestaltung der Arbeitszeit El 15. Angebot alternierender Telearbeit El 16. Möglichkeit befristeter Teilzeltarbeit, vorzugsweise vollzeitnah, mit Rückkehroption in eine Vollzeitarbeit, auch in Führungspositionen El 17. Kontakthalteangebote, Möglichkeit zur Teilnahme an betrieblicher Fortbildung, zu Vertretungseinsätzen und Rückkehrvereinbarungen für Beschäftigte in Elternzeit El 18. Bereitstellung betrieblicher oder externer Kinderbetreuung, auch für Arbeitszeiten außerhalb der üblichen Öffnungszeit der regulären Kinderbetreuung • 19. Bereitstellung geeigneter Unterstützung und Flexibilität am Arbeitsplatz für Beschäftigte, die Erziehungs- und Pflegeaufgaben wahrnehmen El 20. Umwandlung geringfügiger Beschäftigungsverhältnisse in mindestens Teilzeitarbeitsplätze • 21. Vermeidung einer überproportionalen Verringerung des Frauenanteils an der Gesamtzahl der Beschäftigten bei Personalabbaumaßnahmen El Wirt-2141 (R) BVB/EE-FFV (September 2018) Seite 3 von 4 .
94

Wirt-2141 P (Besondere Vertragsbedingungen und Erklärung gem. § 1 Abs. 2 der Frauenförderverordnung) III. Weitere vertragliche Verpflichtungen Ich/Wir erkläre(n) mich/uns darüber hinaus mit folgenden Verpflichtungen gem. § 4 FFV einverstanden: 1. Der Auftragnehmer hat das geltende Gleichbehandlungsrecht zu beachten. 2. Sofern sich der Auftragnehmer zur Vertragserfüllung eines Unterauftragnehmers bedient, hat er sicherzustellen, dass die Nachunternehmenden sich nach Maßgabe von § 3 FFV zur Durchführung von Maßnahmen gem. §2 FFV und zur Einhaltung der Verpflichtungen nach § 4 FFV bereit erklären. Eine schuldhafte Verletzung dieser Verpflichtung durch die Nachunternehmenden wird den Auftragnehmenden zugerechnet. 3. Auf Verlangen der Vergabestelle hat der Auftragnehmer die Einhaltung der übernommenen vertraglichen Verpflichtungen nach der Fraueneförderverordnung in geeigneter Form nachzuweisen. IV. Rechtliche Hindernisse (Erforderlichenfalls anzugeben) An der Durchführung folgender Maßnahmen unter II. bzw. an der Übernahme folgender Verpflichtungen nach III. bin ich/sind wir gem. §5 abs. 2 FFV aus rechtlichen Gründen gehindert: Begründung: (auf Verlangen nachzuweisen) Mir/uns ist bekannt, dass Falschangaben im Rahmen dieser Erklärung oder Verstöße gegen darin — •" n gemäß § 7 FFV führen können. Hinweis: Bei Teilnahme am schriftlichen Vorgabeverfahren ist die Erklärung an dieser Stelle zu unterschreiben. Wirt-2141 (P) BVB/EE-FFV (September 2018) Seite 4 von 4
95

Wirt-2141 P (Besondere Vertragsbedingungen und Erklärung gem. § 1 Abs. 2 der Frauenförderverordnung) Maßnahmenummer Vergabenummer 111B6-3505015-1/2017-1-4 Maßnahme Strategische, kommunikative und partizipative Beratung sowie Projektbegleitung bei der Entwicklung der Berliner Digitalisierungsstrategie Leistung/CPV Dienstleistungen, CPV-Codes: 79400000-8 (Hauptteil), 79411000-8, 79416000-3, 79416200-5, 79421000-1 Besondere Vertragsbedingungen zur Frauenförderung Der Auftragnehmer verpflichtet sich, o das geltende Gleichbehandlungsrecht zu beachten. ° sicherzustellen, dass zur Vertragserfüllung eingeschaltete Nachunternehmer sich abhängig von der Unternehmensgröße gemäß § 3 Frauenförderverordnung (FFV) zur Durchführung von Maßnahmen gemäß § 2 FFV und zur Einhaltung der Verpflichtungen nach § 4 FFV bereit erklärt. Eine Verletzung dieser Verpflichtung durch den Nachunternehmer wird dem Auftragnehmer zugerechnet. o abhängig von der Unternehmensgröße gemäß § 3 Frauenförderverordnung (FFV) eine oder mehrere der in § 2 FFV aufgeführten Maßnahmen der Frauenförderung und/oder der Förderung der Vereinbarkeit von Beruf und Familie durchzuführen Verstößt der Auftragnehmer oder einer seiner Nachunternehmer schuldhaft gegen die o.a.- Verpflichtungen, ist zwischen dem Auftraggeber und dem Auftragnehmer für jeden schuldhaften Verstoß regelmäßig eine Vertragsstrafe in Höhe von 1 v.H., bei mehreren Verstößen zusammen bis zur Höhe von 5 v.H. der Auftragssumme vereinbart. Der Auftragnehmer ist zur Zahlung einer Vertragsstrafe auch für den Fall verpflichtet, dass der Verstoß durch einen von ihm eingesetzten Nachunternehmer oder einen von diesem eingesetzten Nachunternehmer begangen wird. Die schuldhafte. Nichterfüllung der o.a. Verpflichtungen durch den Auftragnehmer oder seine Nachunternehmer berechtigt den Auftraggeber zur fristlosen Kündigung. Der Auftraggeber oder ein von ihm beauftragter Dritter darf zu Kontrollzwecken Einblick in die Entgeltabrechnungen der ausführenden Unternehmen, in die Unterlagen über die Abführung von Steuern und Beiträgen an in- und ausländische Sozialversicherungsträger, in die Unterlagen über die Abführung von Beiträgen an in- und ausländische Sozialkassen des Baugewerbes und in die zwischen den ausführenden Unternehmen abgeschlossenen Verträge nehmen. Die ausführenden Unternehmen haben ihre Beschäftigten auf die Möglichkeit solcher Kontrollen schriftlich hinzuweisen. Die ausführenden Unternehmen haben vollständige und prüffähige Unterlagen zur Prüfung der o.a. Unterlagen bereitzuhalten und auf Verlangen dem öffentlichen Auftraggeber vorzulegen. Wirt-2141 (P) BVB/EE-FFV (September 2018) Seite 1 von 4
96

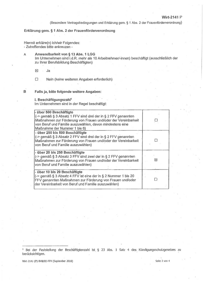
Wirt-2141 P (Besondere Vertragsbedingungen und Erklärung gem. § 1 Abs. 2 der Frauenförderverordnung) Erklärung gem. § 1 Abs, 2 der Frauenförderverordnung Hiermit erkläre(n) ich/wir Folgendes: - Zutreffendes bitte ankreuzen - A B Anwendbarkeit von § 13 Abs. 1 LGG Im Unternehmen sind i.d.R. mehr als 10 Arbeitnehmer/-innen) beschäftigt (ausschließlich der zu Ihrer Berufsbildung Beschäftigten) H Ja • Nein (keine weiteren Angaben erforderlich) Falls ja, bitte folgende weitere Angaben: I. Beschäftigungszahl1 Im Unternehmen sind in der Regel beschäftigt: - über 500 Beschäftigte (-> gemäß § 3 Absatz 1 FFV sind drei der in § 2 FFV genannten Maßnahmen zur Förderung von Frauen und/oder der Vereinbarkeit von Beruf und Familie auszuwählen, davon mindestens eine Maßnahme der Nummer 1 bis 6) - über 250 bis 500 Beschäftigte (-> gemäß § 3 Absatz 2 FFV sind drei der in § 2 FFV genannten Maßnahmen zur Förderung von Frauen und/oder der Vereinbarkeit von Beruf und Familie auszuwählen) - über 20 bis 250 Beschäftigte (-> gemäß § 3 Absatz 3 FFV sind zwei der in § 2 FFV genannten Maßnahmen zur Förderung von Frauen und/oder der Vereinbarkeit von Beruf und Familie auszuwählen) - über 10 bis 20 Beschäftigte (-> gemäß § 3 Absatz 4 FFV ist eine der in § 2 Nummer 1 bis 20 FFV genannten Maßnahmen zur Förderung von Frauen und/oder der Vereinbarkeit von Beruf und Familie auszuwählen) • • El • Bei der Feststellung der Beschäftigtenzahl ist § 23 Abs. 1 Satz 4 des Kündigungsschutzgesetzes zu berücksichtigen, s Wirt-2141 (P) BVB/EE-FFV (September 2018) Seite 2 von 4
97

Wirt-2141 P (Besondere Vertragsbedingungen und Erklärung gem. § 1 Abs. 2 der Frauenförderverordnung) II. Maßnahmen zur Frauenförderung und/oder zur Förderung der Vereinbarkeit von Beruf und Familie In meinem/unserem Unternehmen wird/werden während der Durchführung des Auftrags folgende Maßnahme(n) gemäß § 2 FFV durchgeführt oder eingeleitet: 1. Umsetzung eines qualifizierten Frauenförderplans • 2. verbindliche Zielvorgaben zur Erhöhung des Frauenanteils an den Beschäftigten in allen Funktionsebenen • 3. Erhöhung des Anteils der weiblichen Beschäftigten in gehobenen und Leitungspositionen 4. Erhöhung des Anteils der Vergabe von Ausbildungsplätzen an Bewerberinnen • 5. Berücksichtigung von weiblichen Auszubildenden bei der Übernahme in ein Arbeitsverhältnis zumindest entsprechend ihrem Ausbildungsanteil • 6. Einsetzung einer Frauenbeauftragten • 7. Überprüfung der Entgeltgleichheit im Unternehmen mit Hilfe anerkannter und geeigneter Instrumente • 8. Angebot von Praktikumsplätzen für Mädchen und junge Frauen, insbesondere in Berufen, in denen Frauen unterrepräsentiert sind • 9. Teilnahme an anerkannten und geeigneten Maßnahmen und Initiativen, die Mädchen und junge Frauen für männlich dominierte Berufe interessieren sollen • 10. spezielle Bildungsmaßnahmen nur für Frauen, die zur Erreichung qualifizierter Positionen befähigen sollen • 11. Bereitstellung der Plätze bei sonstigen betrieblichen Bildungsmaßnahmen für Frauen zumindest entsprechend ihrem Anteil an den Beschäftigten • 12. Bereitstellung der Plätze außerbetrieblicher, vom Betrieb finanzierter Bildungsmaßnahmen für Frauen zumindest entsprechend ihrem Anteil an den Beschäftigten bevorzugte Berücksichtigung von Frauen beim beruflichen Aufstieg nach erfolgreichem Abschluss einer inner- oder außerbetrieblichen Bildungsmaßnahme 13. Kl • • 14. Angebot flexibler, den individuellen Bedürfnissen entsprechender Gestaltung der Arbeitszeit (El 15. Angebot alternierender Telearbeit El 16. Möglichkeit befristeter Teilzeitarbeit, vorzugsweise vollzeitnah, mit Rückkehroption in eine Vollzeitarbeit, auch in Führungspositionen • 17. Kontakthalteangebote, Möglichkeit zur Teilnahme an betrieblicher Fortbildung, zu Vertretungseinsätzen und Rückkehrvereinbarungen für Beschäftigte in Elternzeit • 18, Bereitstellung betrieblicher oder externer Kinderbetreuung, auch für Arbeitszeiten außerhalb der üblichen Öffnungszeit der regulären Kinderbetreuung • 19. Bereitstellung geeigneter Unterstützung und Flexibilität am Arbeitsplatz für Beschäftigte, die Erziehungs- und Pflegeaufgaben wahrnehmen ia 20. Umwandlung geringfügiger Beschäftigungsverhältnisse in mindestens Teilzeitarbeitsplätze • 21. Vermeidung einer überproportionalen Verringerung des Frauenanteils an der Gesamtzahl der Beschäftigten bei Personalabbaumaßnahmen • Wirt-2141 (P) BVB/EE-FFV (September 2018) Seite 3 von 4
98

Wirt-2141 P (Besondere Vertragsbedingungen und Erklärung gem, § 1 Abs. .2 der Frauenförderverordhung) III. Weitere vertragliche Verpflichtungen Ich/Wir erkläre(n) mich/uns einverstanden: darüber hinaus mit folgenden Verpflichtungen gem. § 4 FFV 1. Der Auftragnehmer hat das geltende Gleichbehandlungsrecht zu beachten. 2. Sofern sich der Auftragnehmer zur Vertragserfüllung eines Unterauftragnehmers bedient, hat er sicherzustellen, dass die Nachunternehmenden sich nach Maßgabe von § 3 FFV zur Durchführung von Maßnahmen gem. §2 FFV und zur Einhaltung der Verpflichtungen nach § 4 FFV bereit erklären. Eine schuldhafte Verletzung dieser Verpflichtung durch die Nachunternehmenden wird den Auftragnehmenden zugerechnet. 3. Auf Verlangen der Vergabestelle hat der Auftragnehmer die Einhaltung der übernommenen vertraglichen Verpflichtungen nach der Fraueneförderverordnung in geeigneter Form nachzuweisen. IV. Rechtliche Hindernisse (Erforderlichenfalls anzugeben) An der Durchführung folgender Maßnahmen unter II. bzw. an der Übernahme folgender Verpflichtungen nach III. bin ich/sind wir gem. §5 abs. 2 FFV aus rechtlichen Gründen gehindert: Begründung: (auf Verlangen nachzuweisen) Mir/uns ist bekannt, dass Falschangaben im Rahmen dieser Erklärung oder Verstöße gegen darin übernommene Verpflichtungen zu Sanktionen gemäß § 7 FFV führen können. n u// lohuti jp qw, kreis Hinwels: Bei Teilnahme am schriftlichen Vergabeverfahren ist die Erklärung an dieser Stelle zu unterschreiben. Wirt-2141 (P) BVB/EE-FFV (September 2018) Seite 4 von 4
99

Zur nächsten Seite