nrw-mags-heinsberg

Dieses Dokument ist Teil der Anfrage „Informationen zur Heinsberg-Studie

/ 115
PDF herunterladen
Gesamtzah·l der Personen in der jeweiligen Gruppe an. Anmerkung: Es waren keine Kinder unter 5 Jahren beteiligt. Zahlen über den Cis geben die oberen Cl-Grenzen an. 8: Für jede der Komorbiditäten wurde die mittlere Anzahl von Symptomen bei den infizierten Teilnehmern durch Anpassung eines Nicht-GEE-Quasi-Poisson-Modells mit der Anzahl der Symptome als Reaktionsvariable auf die Daten der infizierten Studienteilnehmer bestimmt {hellgrau: Komorbidität vorhanden (+), dunkelgrau: · Komorbidität nicht vorhanden(-)). Aus dem gleichen Grund wie in A wurden Quasi-Poisson-Modelle anstelle von GEE-Modellen verwendet.          Die  Ergebnisse basieren auf den 126 infizierten Studienteilnehmern, ohne dass Werte in einem der Symptomparameter fehlten. Aus den Modellen erhaltene Punktschätzungen werden durch ausgefüllte Kreise (mit 95 % Cis) dargestellt. Die Balken repräsentieren das empirische Mittel der Anzahl der Symptome in jeder der Untergruppen. Die Rohproportionszahlen in jeder der Untergruppen werden über den Balken angezeigt. Zahlen über Fehlerbalken geberi das obere Ende der Fehlerleiste an. Es wurden keine signifikanten Assoziationen zwischen dem Vorhandensein einer der Komorbiditäten und der Anzahl der Symptome gefunden (Bonferroni-Holm korrigiert). Analoge Ergebnisse wurden gefunden, wenn Geschlechtund Alter als Kovariablen zu den Quasi-Poisson-Modellen hinzugefügt wurden. Ergänzende Figur 5: Zusammenhänge zwischen lgG-Spiege/n, Komorbiditäten und Karnevalteilnahme bei den infizierten Studienteilnehmern. Die Boxplots zeigen die log(lgG}-Niveaus der infizierten Studienteilnehmer in Untergruppen, die durch das Vorhandensein von Komorbiditäten und das Feiern des Karnevals definiert sind. ln Gauß-Modellen mit log(lgG) als Reaktionsvariable (aus dem gleichen Grund wie in der ergänzenden Figur 4 A anstelle von GEE-Modellen verwendet) wurden keine Assoziationen zwischen log(lgG), den Komorbiditäten und dem Feiern des Karnevals gefunden. 23
99

II Ii !i    A      SARS-CoV-2-Situation in Gangelt (12.597 Einwohner)                                                                                                                          Untersuchungszeitraum -·- .. - . - ·-·-· :-'~:_:.:.     . -·-··-     ~ !--~ Karneval                  Testbeginn Shutdown 85/4 Tage SARS-CoV-2 assoziierte Todesfälle: 7                       Probenmenge                    5' ·--:1                                                                                                     N I :.:~- ---                                                                         1007                           w II                                                                                                                                         SARS-CoV-2 PCR.-.0 ,: 439                                                                 2:· 1 I               l                                                                     Fragebogen                    ... 0.. 11) ~·~ .! 1                           11                                                                                                                                                                                        ~ 1 iI            '                       •• · PCRntu : I                         I ~ i                                                          i                                       33 I     ;      '                  -,:      ( r---- -- .l '••''1 ,,•w'' ••• • - ----.------ I - I   I'1 1      :I• I II     I' I I          ! iII --- - - - - - - -            - - . I      I.      !        i          1: 48 4) ..... I    ~ S" 15.02                                   26.02                  01.03        05.03       09.03          13.03            17.03         21.03          24.03                   30.03                        06.04~       •i$ 44 Tage                                                                        : 7 Tage                               nr ~--------------------------------------·                            ----------------                                                                                            ~----------~ "1-i ;+ ro. ................ ··········· ....................... ; :' !  lgG/IgA                       I ! :s Gestrichelte Linie                                                                                                                                                                  PCRrtp Studiendatenakquisition B      Studienteilnehmer (gemäß den Empfehlungen derWHO für COVID-19-Studien) Kontaktaufnahme mit 600             +              407 Personen antworteten                    1007 Studienteilnehmer                                       Ana lysedatensatz: Personen mit verschiedenen                         405 Haushalte geprOft                   +    987 Studienakquisitionszentrum                      +       919 Studienteilnehmer Nachnahmen                                         1009 Personen geprüft                       20 zu Hause besucht                                         405 Haushalte ~                                        ~ 2 Kinder wegen Verweigerung                    10 Bioproben weder PCR noch lgG der T-eilnahme ausgeschlossen                  10 Bioproben nicht PCR analyslerbar 68 Bioproben nicht lgG analyslerbar HauptgrOnde: Sammlung von ~aterlal (z. B. Venen), geringe Materlalmenge, mangelnde Zustimmung Figur 1
100

A      lgG und lgA Niveau                                                                                          B      lgG und lgA Positiv     C              Anzahl der SARS-CoV-2-Infizierten l,.            I I ~-                                                                              •     ••       *J .: 111:~ ·c     "'                                                                     ..           .•• .• ~.....• "•.·                                                 138 von 919: 15.02% +-'                                                                   .. iiö              r=O .. 778                                               • • • , • •-: •••• ..                           20 I J:                                                            ~     • • PCRrep. 11...::;1 ,...._, n=22 r:~ PCRnew n=33 ,.·.·....... ,..~ • • l-''11111 •• - - • • • • - - - • • · - · · : , Qj -                                                      •        • ....... : •• :             I            •  -                  • L.:-1      r.-:-1 > (!)                                                         • ' ••      • \ •I                 ·~ - I I bO                                             .. ' •• "               •. • • •            •                    ~       15                           n              n=3                                 n=1               B                11=9            I I N                                            ·.       . ·... . . ..                                                N                             14.1%           (0.33%)                            (0.11%)                 i              (0.98%)           I >0 I   C) .          •          ··=··\· • • • •. • (~ \: •    1 • ..                                 >0 u I                                                                                                                                      I I I y                                      '• ) ':. ••• • •,                                                              I ' t./')                                  • ••• ,~,:'.l • I••"~ ·._,-:   •••    :                                       ~      10                                                                                               l . CX: <( ,... I                          '. • • -'1• .• ·~~\f • •• • • '                             w. <(                                               n=16                                 11=3                               n=20 V')          •           • t • ....~                ~-:\ ,...:.::,. •         ••   •                       •       t?                                            (1.63%)                            (0.33%) ~                              (2.18%) •...., .!..       • •             •   ••  ••             ~~.....;.r.                                                   ·- ~..."k..                                                       ...... c::: : • • ••• a;: tl• I              .     ,.t-   A •• I                        •     ..                   c:                                                                     ······'"-····· ~. ,.J ______________ , ~ tl.O ')'            .•• ·:.tr.:..::-z:·;.:.••;. • ••        -· ··..    .  .      .   .                                  <(      5 0                                                                                                                                                                                                    11=97 (9.47%). '? -3             -2                _,                o               ,                   2                             lgA      lgG                                        lgG                   n=125 log(anti-SARS-CoV-21gA Verhältnis) Figur 2
101

) A Studienteilnehmer: Zufallsstichprobe der Bevölkerung in Gangelt Anzahl der Infizierten (i) SARS-CoV-2-positive gemeldete Fälle {r) Gangelt: Prozentsatz der aus dem Studienergebnis extrapolierten Infizierten {i "'138 In "'919) f=7          IFR  =f/1 =0.370% B                     Anzahl der Infizierten                             c          Infektionssterblichkeitsrate (IFR) ~ -10 Q) ~                                                                      ... VI  0.4 - ~~~ .......ro Q)                                         ~:.~·.--:,: _:_:.~;~: ~~~: :;.:·:· :·.• . f:·:   ~:.'::.,.:: ';:;   ~ ~ ..c ~~~ VI t: .~  0.3 0                                                                    ::c - 15 ~· 1- Q) Q) t:  0.2 .E 10 VI c 0 •  Spezlfität 99.1%                  ~    0.1                  .Spezifität99.1% 5 Spezifltät 98.0%                  ~                             Spezifltät 98.0% c 0~.·----------------------                                    0.0+----------------- Korrigiert für:    Korrigiert tar:                             Korrigiert für:   Korrigiert f(lr: -Empfindlichkeit   -Empfindlichkeit                            -Empfindlichkeit  -Empfindlichkeit -Spezlfität        -Spezifität                                 -Spezlfltät       -Spezifität -Ciustering        -Ciustering                                 -Ciustering       -Ciustering -unter repräsentativ                                          -unter repräsentativ Figur 3
102

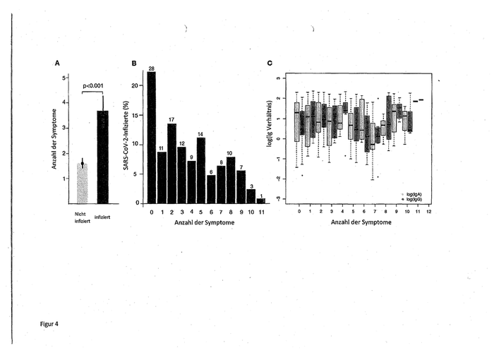
.,) ) A                                B                                        c 5l p<0.001               20 !Ii                                        (') Q) 4                       -- ~ Vi' "2 ~ N E                              ~· 15                                        :ca 0                               Q)           17                             ..t: .... +' I,. • ~;::;                                          Q) c.   3                                                                      > E                             Q::: c: Ji                                                         14                 b.O ....                          ;:::;                                         b:OO Q)                            > 10                                           0 "'C                             0 .... .'           ..: . ~ ~ llllil.-il• 2 ..t: ctl N c: \i)~{'~ I' : : .!.. I   I .....' '   I I ... •  I ... I ...   ...... ' I 'I '' - '                                         '    I <(                                                                                     ~ 'I 1-l 5 ')' .                                           I ' ' ..!.' " log(lgA} (') " log{lgG) Ol-                                          I 0 1  2   3     4  5 6 7  8 9 10 11             0     1       2    3   4      5     6            7 8 9  10     11 12 Nicht infiziert infiziert                              Anzahl der Symptome                                         Anzahl der Symptome Figur4
103

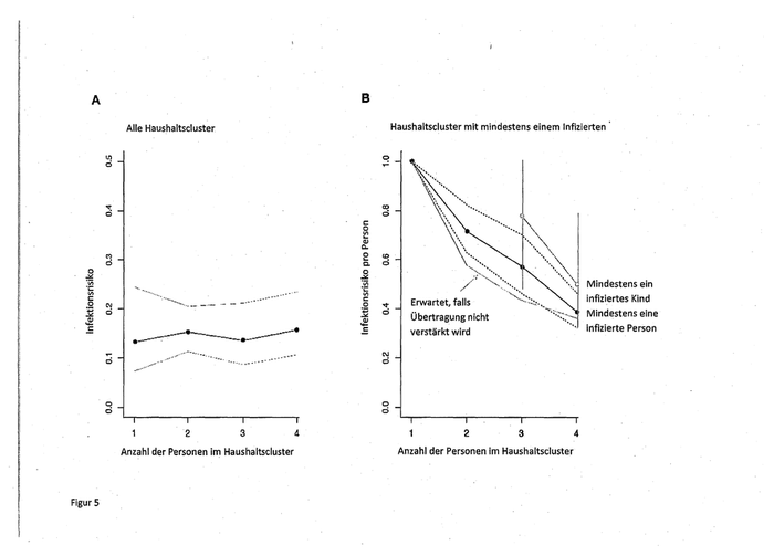
A                                                                               B Alle Haushaltscluster                                                             Haushaltscluster mit mindestens einem Infizierten · IJ) ~ ,... ci CO d                                                                                   ci c::: 0 ~ Q) c.. cq 0 ...c. 0 ~ 0 0 ~ 'iii ß 'iii                                                        Mindestens ein ·;::                                                                                 ·;:: VI              ··~. ~-······~ ..                                                    V'l c::: 0                                  .·- ....................... - --·-                c 0     '<t      Erwartet, falls                             infiziertes Kind ~~•;·.-.:::~ t\J ::e      ci                                                                          ::e     0 Übertragung nicht                           Mindestens eine ----·----·--------· .E:!c:::                                                                             .E:!c verstärkt wird                           ••· infizierte Person .____...-:-             . .....                                                                               t\l c::)              __ ."....                                      - .... ~ d _....... C!                                                                                  0 0                                                                                   c:) 1                                       2              3          4                 1             2           3                4 Anzahl der Personen im Haushaltscluster                                             Anzahl der Personen im Haushaltscluster Figur 5
104

A                                                                                      B                  1151798           1181779      1321a7s        124/842       129/832 D      Männer                        20/107        lö/126            6141          11/69         7179 Frauen 3) g g ~ t 81 ....l'tl 2 ) Q) Oll c: 1-                        94 l" Oll                                                                                 0 c: 0                          ,- )7                  ~ ~                                                m                         35       .!!! c: 26 .!!!                       .. ':' ..5      1 )- 29 -r - .- 1-·- ( - -- 1-· '·'' +              ....... ..,!.. + .c QJ +              + _;-              '                                                               ::J n                                                                                             ~         ~ ~ .e!     ~ ~ "§!] 110 1l             ~..c ~j 5-14      15-34    35-59         60-79             80+ Jahre                                                        -      c           ~              ." ::.:: i:! t: ~        e::>  ~ -"' :.::          C5 QJ    1:         Q/   ... .3  ~           :I:    w         z w c                                       D                                      E p<0.001                              P=0.007               %40 15                                                              Ohne Karneval 301                           c: Q) 1: Q) 5                                                                                                [] Mit Karneval 'N ~~ 20 ~ q::: .s       4 t ',:,· r!-·::~~:~}~I 30 J;l         ·o:;                        ','\\,' I     I. ",1 .0 I              E3                                      20 c: 0                                    .... 0 0.                                                 13 ~.s 10 j '; <' ~ _:,~ ! [      2                                                    6 11 6 Vl ....Q) 10-l      I I 4 71     1.1 ~UJ ol  Ohne      Mit Karneval Karneval ~' <( n Ohne I i Mit ' ; - Karneval Karneval Q 0 I 1      2       3      4          5   6         7    8        9   ·10       11 0 Anzahl der Symptome belinfizierten Figur 6
105

....--..
106

% •    Gangeil 1.-1 NRW D BRD ·II Studie 0 I                                I Jünger als 6 [6.18: [1ß.:C:51       [25.-t:Jl 140.65~ 65 und älter Alter I :/ I i II ,, lj I' il    Ergänzende Figur 1 II i I
107

• •                   • ~ -~ • •                           • c: .±::! :ru ..c: ,_ •    •              • •             > C] Q) ~ N •      I ---·-··--!-·~-!-·-. m               Ja~!J.-l.N - N • •• .•     : ••• ••              - 0 •• ••• • •••• I • I •     ••  • • •. ~ I •   :I • • •• •al' •• ···?· I I• • ... I •   ....      N _.:·-··--·-..·=-~-!.JJ_       I N ,_ - ::s -~ LL. ~         ~                                    Q) "'0 c: (uO!:!.eS!)eJ:j.nauoJ>J!W)                       Q1 N c: Ja:au.-J.N                              :m ,_ llO <C                                                      w =====~-~---·~--
108

Zur nächsten Seite