Finanzanlagen des Landes Sachsen-Anhalt und Carbon Divestment

Kapitalanlage

/ 129
PDF herunterladen
= UNIVERSAL
# INVESTMENT

 

Collateral Debt Obligations (CLO / CBO) /
Collateral debt obligations (CLO / CBO)

4.2.3.17. Loan Participation Notes /
Loan participation notes
4.2.3.18. Weitere Restriktionen für Renten /
Additional restrictions for bonds
4.2.3.18.1, Emissionsland /
Country of issuer
4.2.3.18.2, Emissionswährung /
Currency of issue
4.2.3.18.3. Emissionsvolumen /
Amount issued
4.2.3.18.4. Restlaufzeit /

Time to maturity

 

4.2.3.18.5. Einzelemittentenlimit /

Single issuer limit

4.2.3.18.6. Ratingvorgaben für Renten /

Rating requirements for bonds

4.2.3.18.6,1. Berücksichtigung Emittentenrating /

Consideration issuer rating

4.2.3.18.6.2.  Mindestrating / Minimum bond rating

4.2.3.18.6.3. Für Anleihen deutscher Bundesländer ohne
Emissions- und Emittentenrating kann das Rating der
Bundesrepublik Deutschland herangezogen

werden. /

If a bond of a German state ("Bundesland”) lacks
both, a bond and an issuer rating, the rating ofthe
Federal Republik of Germany can be referred to.

4.2.3.18.6.4. Anleihen ohne relevantes Rating /

Bonds without applicable rating

 

 

  
   

Zulässig /
Allowed

Nein /No

Zulässig /
Allowed

Nein /No

Anwendbar’/
Applicable

Nein /No

Anwendbar / |JEUR
Applicable

Ja/Yes

Anwendbar’/
Applicable

Nein /No

Anwendbar / |max. 5 Jahre

Applicable
Ja/Yes
Anwendbar / Limit Gilt nicht für die Emittenten Staat Deutschland un Staat Frankreich
licable
App Max (%)
Ja/Yes
5,00

Anwendbar /
Applicable

Ja/\Yes

Standard-Universal-Investment Regellogik:

Schritt 1: Regel berücksichtigt ausschließlich Gattungsratings

Schritt 2! Einbeziehung der Standardanbieter (S&P, Moody's, Fitch)

Schritt 3: Das schlechteste Rating ist entscheidend

Schritt 4: Grenzprüfung erfolgt auf Basis Mindestrating /

Universal Investment model to check rating limits:

Step 1: This rule solely factors class ratings

Step 2: The standard rating providers S&P, Moody's, Fitch will be considered
Step 3: Worst rating is decisive

Step 4: Limit check is based on minimum rating

Zulässig /
Allowed

Ja/\Yes

Nur wenn kein Gattungsrating vorliegt, wird das Emittentenrating herangezogen.
only ifthere is no bond rating the issuer rating is decisive

Anwendbar
Applicable

Ja/Yes

Führt die Verschlechterung eines Ratings („Downgrade*) zu einer Verletzung der
Ratingvorgaben, so erfolgt eine Abstimmung und Freigabe durch den Anleger. In der
Anlage [B3] aufgeführte Wertpapiere sind von dieser Regelung ausgenommen und
können unabhängig von Ratingvorgaben im Portfolio gehalten werden.

In case ofa rating downgrade, the Investor is responsible for the reconciliation and the
approval. All securities listed in appendix [B3] are exciuded from this rule and can be
held in the portfolio without application of further rating !imits.

S&P=A-

Moody's=A3

Fitch=A-

Die in der Anlage B-3 aufgeführten Titel dürfen weiterhin gehalten werden aber nicht
weiter aufgestockt werden.

Zulässig /
Allowed

Ja/Yes

Zulässig /
Allowed

Nein /No

 

12.02.2015 12:33:42

4-6 Version 1.0.0
81

—— UNIVERSAL
—d INVESTMENT

 

 
  

Ratingvorgaben für Commercial Papers
(CPs)/Certificate of Deposits
(CDs)/unverzinsliche Schatzanweisungen /
Rating requirements for CPs/CDsizero-
coupon treasury bills

4.2.3.18.7.1.  Erbwerbsgrenze /
Purchase limit

4.2.3.18.7.2.  Mindestrating /
Minimum rating

4.2.3.18.7.3.  CPs/CDs/unverzinsliche Schatzanweisungen ohne
Emittentenrating /
CPs/CDsi/zero-coupon treasury bills without any
rating of issuer

4.2.3.18.8. Prozedere bei Ratingherabstufung /
Procedure upon downgrade

4.2.4. Zertifikate /
Certificates

4.3. Investmentfonds /
Investment funds

4.4. Sonstige Wertpapiere /
Other securities

4.5. Edelmetalle /
Precious metals

4.6. Derivate /
Derivatives
7. Fremdwährungen / Foreign (non

base) currencies

4.8. Kasse (inkl. Tagesgeld/Festgeld) /
Cash (incl. call money and deposits)

 

 

Anwendbar / | Standard-Universal-Investment Regellogik:
Applicable |Schritt 1: Regel berücksichtigt ausschließlich Emittentenratings

Schritt 2: Einbeziehung der Standardanbieter (S&P, Moody's, Fitch)

Ja/Yes  |Schritt 3: Das schlechteste Rating ist entscheidend
Schritt 4: Grenzprüfung erfolgt auf Basis Mindestrating /
Universal - Investment model to check rating limits:
Step 1: This rule solely factors issuer ratings
Step 2: The standard rating providers S&P, Moody's, Fitch will be considered
Step 3: Worst rating is decisive
Step 4: Limit check is based on minimum rating

Anwendbar / | Ja bedeutet: Prüfung nur zum Zeitpunkt des Erwerbs /
Applicable |"Yes" means: Check only at the time of investment

Ja/Yes

Anwendbar / | S&P=A-2
Applicable |Moody's=P-2
Fitch=F2
Ja/Yes

entspricht A-/A3 (langfristiges Rating)

Zulässig /
Allowed

Nein /No

Anwendbar / | Führt die Verschlechterung eines Ratings („Downgrade*) zu einer Verletzung der

Applicable |Ratingvorgaben, so hat der Asset-Manger die Positionen innerhalb eines Zeitraums von
30 Handelstagennach Rücksprache mit dem Anleger zu veräußern. In der Anlage [B3]
Ja/ Yes aufgeführte Wertpapiere sind von dieser Regelung ausgenommen und können
unabhängig von Ratingvorgaben im Portfolio gehalten werden.

Zulässig /
Allowed

Nein /No

Zulässig /
Allowed

Nein /No

Zulässig / |Definition: Aktienanleihen, Schuldscheindarlehen (Standard) , Private Equity -
Allowed Beteiligungen / Unternehmensbeteiligungen, Reits, unverbriefte Darlehensforderungen
Nein / No Definition: Reverse Convertibles, Promissory notes, Privat equity, Reits, loans

Zulässig / }Der direkte Erwerb von Edelmetallen ist nicht zulässig. /
Allowed The direct purchase of precious metals is not permitted.

Nein /No

Zulässig / |Dazu zählen: Futures, Optionen, Optionsscheine und OTC-Derivate
Allowed

Nein /No

Zulässig / |Falls "NEIN". Keinerlei Fremdwährungspositionen (neben Euro) sind erlaubt /
Allowed In case of"NO": No foreign currency (additionaliy to Euro) is permitted.

Nein /No

 

12.02.2015 12:33:42

5-6 Version 1.0.0
82

—— UNIVEKSAL
—d INVESTMENT

 

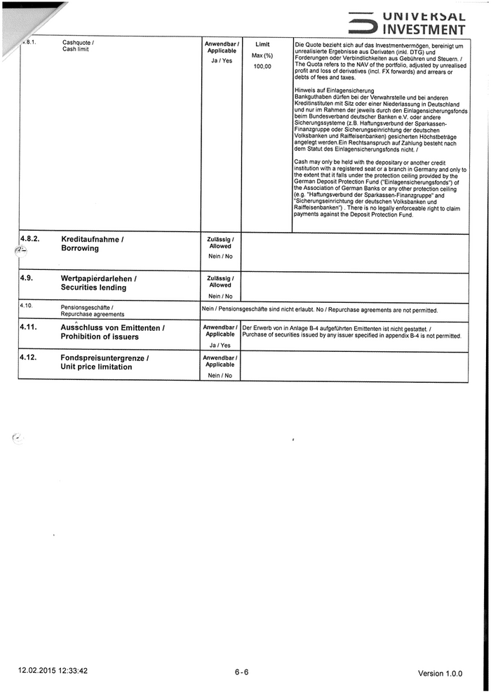
Cashquote /

 

Cash limit

4.8.2, Kreditaufnahme /

: Borrowing

4.9, Wertpapierdarlehen /
Securities lending

4.10. Pensionsgeschäfte /
Repurchase agreements

4.11. Ausschluss von Emittenten /
Prohibition of issuers

4.12. Fondspreisuntergrenze /
Unit price limitation

 

12.02.2015 12:33:42

 

Anwendbar /
Applicable

JalYes

Zulässig /
Allowed

Nein /No

Zulässig /
Allowed

Nein / No

Limit
Max (%)
100,00

Die Quote bezieht sich auf das Investmentvermögen, bereinigt um
unrealisierte Ergebnisse aus Derivaten (inkl. DTG) und
Forderungen oder Verbindlichkeiten aus Gebühren und Steuern. /
The Quota refers to the NAV of the portfolio, adjusted by unrealised
profit and loss of derivatives (incl. FX forwards) and arrears or
debts of fees and taxes.

Hinweis auf Einlagensicherung

Bankguthaben dürfen bei der Verwahrstelle und bei anderen
Kreditinstituten mit Sitz oder einer Niederlassung in Deutschland
und nur im Rahmen der jeweils durch den Einlagensicherungsfonds
beim Bundesverband deutscher Banken e.V. oder andere
Sicherungssysteme (z.B. Haftungsverbund der Sparkassen-
Finanzgruppe oder Sicherungseinrichtung der deutschen
Volksbanken und Raiffeisenbanken) gesicherten Höchstbeträge
angelegt werden.Ein Rechtsanspruch auf Zahlung besteht nach
dem Statut des Einlagensicherungsfonds nicht. /

Cash may only be held with the depositary or another credit
Institution with a registered seat or a branch in Germany and only to
the extent that it falls under the protection ceiling provided by the
German Deposit Protection Fund ("Einlagensicherungsfonds”) of
the Association of German Banks or any other protection ceiling
(e.g. "Haftungsverbund der Sparkassen-Finanzgruppe" and
"Sicherungseinrichtung der deutschen Volksbanken und
Raiffeisenbanken") . There is no legally enforceable right to claim
payments against the Deposit Protection Fund.

Nein / Pensionsgeschäfte sind nicht erlaubt. No / Repurchase agreements are not permitted,

   

Ja/Yes
Anwendbar /

Applicable
Nein /No

6-6

Anwendbar / | Der Erwerb von in Anlage B-4 aufgeführten Emittenten ist nicht gestattet. /
Applicable |Purchase of securities issued by any issuer specified in appendix B-4 is not permitted.

Version 1.0.0
83

ANHANG B-2
Anlage B-3
ANNEX B-2

Appendix B-3

Anlage B-3 zum Anhang B-2 Anlagerichtlinien

Appendix B-3 to Annex B-2 Guidelines

Einzelautorisierung bei Downgrade
Single authorization in case of downgrade

 

 

 

Einzelautorisierung
Single authorization

X50414340074
HSBC 3 3/4 11/04/15
X50233988004

Nord/LB öff, Namens-Pfandb

XF0004978502

 

 

Die oben aufgeführten Titel dürfen nicht weiter aufgestockt werden.

Diese Anlage wird von Zeit zu Zeit aktualisiert und kann im vereinbarten Format auf elektronischem Weg übermit-
telt werden. Änderungen bedürfen der ausdrücklichen Zustimmung aller Vertragsparteien. Veränderungen werden
von der KVG gegenüber den Vertragsparteien mit der Bitte um Rückbestätigung (innerhalb 24 Stunden) kommuni-
ziert. Nach Eingang dieser Bestätigung — per Mail - tritt die neue Version in Kraft. Es gilt die jeweils zuletzt bestä-
tigte Anlage, die sämtliche früheren Versionen ersetzt.

This Appendix will be updated from time to time and can be transmitted electronically in an agreed-upon format.
Any changes are subject to the explicit consent of the parties. Amendments will be submitted by the KVG to the
parties and shall be confirmed within 24 hours by email. The amended version will be valid upon receipt of the
confirmation. The confirmed version replaces all previous versions of this Appendix.

 

—— UNIVERSAL
Elbe-UI-Fonds 1 —d INVESTMENT
84

ANHANG B-2
Anlage B-4
ANNEX B-2

Appendix B-4

 

Anlage B-4 zum ANHANG B-2 Anlagerichtlinien
Appendix B-4 to ANNEX B-2 Guidelines

Ausschluss von Titeln folgender Emittenten (Un-Übereinkommen über Streumunition)
Prohibition of investments in titles of the follo wing issuers (UN-Convention on Cluster Munitions)

   

 

 

 

 

 

 

 

 

 

 

 

Sy 880607/
U50188041042

General Dynamics Corp. 851143 /
US3695501086

em Hanwha Corporation Ltd. 956086 /
KR7000880005

 Kaman Corp. _\861220/
US4835481031

Lockheed Martin Corp. | 894648 /
| US5398301094

Poongsan Holdings Corp. __1956289 /
KR7005810007

Singapore Technologies Engineering Ltd. 910981 /
SG1F60858221

Textron Inc. 852659 /
U58832031012

L_ !

 

Diese Anlage wird von Zeit zu Zeit aktualisiert und kann im vereinbarten Format auf elektronischem Weg übermit-
telt werden. Änderungen bedürfen der ausdrücklichen Zustimmung aller Vertragsparteien. Veränderungen werden
& von der KVG gegenüber den Vertragsparteien mit der Bitte um Rückbestätigung (innerhalb 24 Stunden) kommuni-
ziert. Nach Eingang dieser Bestätigung - per Mail - tritt die neue Version in Kraft. Es gilt die jeweils zuletzt bestä-
tigte Anlage, die sämtliche früheren Versionen ersetzt.
This Appendix will be updated from time to time and can be transmitted electronically in an agreed-upon format.
Any changes are subject to the explicit consent of the parties. Amendments will be submitted by the KVG to the
parties and shall be confirmed within 24 hours by email. The amended version will be valid upon receipt of the
confirmation. The confirmed version replaces all previous versions of this Appendix.

—— UNIVERSAL
Elbe-Ul-Fonds 11 ud INVESTMENT
85

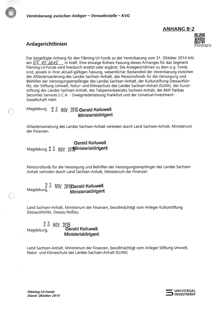
Vereinbarung zwischen Anleger - Verwahrstelle - KVG

ANHANG B-2
e IE]

lalin: OFEEh
Anlagerichtlinien P127072272

Der beigefügte Anhang für den Fläming-Ul-Fonds zu der Vereinbarung vom 31. Oktober 2014 tritt
am 03.12.2045 _ in Kraft. Eine etwaige frühere Fassung dieses Anhanges für das Segment
Fläming-Ul-Fonds wird hierdurch ersetzt oder ergänzt. Die Anlagerichtlinien zu dem o.g. Fonds
sind, jeweils in ihrer aktuell gültigen Fassung, wesentlicher Bestandteil der Vereinbarung zwischen
der Altlastensanierung des Landes Sachsen-Anhalt, des Pensionsfonds für die Versorgung und
Beihilfen der Versorgungsempfänger des Landes Sachsen-Anhalt, der Kulturstiftung DessauWör-
litz, der Stiftung Umwelt, Natur- und Klimaschutz des Landes Sachsen-Anhalt (SUNK), der Kunst-
stiftung des Landes Sachsen-Anhalt, des Talsperrenbetriebs Sachsen-Anhalt, der BNP Paribas
Securities Services S.C.A. - Zweigniederlassung Frankfurt und der Universal-Investment-
Gesellschaft mbH.

Magdeburg, 75. NOV. 2015 Gerald Keiluweit
Ministerialdirigent

Altlastensanierung des Landes Sachsen-Anhalt vertreten durch Land Sachsen-Anhalt, Ministerium
der Finanzen

Gerald Keiluweit
Magdeburg, 2 3. N0y. 201Mlinisterialdirigent

Pensionsfonds für die Versorgung und Beihilfen der Versorgungsempfänger des Landes Sachsen-
Anhalt vertreten durch Land Sachsen-Anhalt, Ministerium der Finanzen

3. NOV. 2015Gerald Keiluweit

2
Magdeburg, Ministerialdirigent

Land Sachsen-Anhalt, Ministerium der Finanzen, bevollmächtigt vom Anleger Kulturstiftung
DessauWörlitz, Dessau-Roßlau

23.
Magdeburg, un IB rate Keiluweit

Ministerialdirigent

Land Sachsen-Anhalt, Ministerium der Finanzen, bevollmächtigt vom Anleger Stiftung Umwelt,
Natur- und Klimaschutz des Landes Sachsen-Anhalt (SUNK)

Fläming-Ul-Fonds —— UNIVERSAL
Stand: Oktober 2015 =D INVESTMENT
86

Vereinbarung zwischen Anleger - Verwahrstelle - KVG

Magdeburg, 73. 10V. 2015 Gerald Keiluweit
| °  Ministerialdirigent

Land Sachsen-Anhalt, Ministerium der Finanzen, bevollmächtigt vom Anleger Kunststiftung des
Landes Sachsen-Anhalt, Halle

Gerald Keiluweit

Magdeburg, 93, ypy 2015 Ministerialdirigent

Land Sachsen-Anhalt, Ministerium der Finanzen, bevollmächtigt vom Anleger Talsperrenbetrieb
Sachsen-Anhalt, Blankenburg

Frankfurt am Main,
RNP Pafrnas Securities Services S.C.A. - Zweigniederlassung Frankfurt
Frankfurt am Main, 15.041205

Universai-Investment-Gesellschaft mbH

Fläming-Ul-Fonds 2 —— UNIVERSAL
Stand: Oktober 2015 md INVESTMENT
87

UNIVERSAL
INVESTMENT

Anlagerichtlinien / Investment Guidelines

In Ergänzung zu den Allgemeinen und Besonderen Anlagebedingungen gelten folgende Vereinbarungen: /
In addition to general and specific rules the following investment restrictions apply:

   

 

 

 

 

 

 

 

 

1. Allgemeine Informationen / General Information

 

 

 

 

 

 

 

     

  

Fonds- bzw. Segmentname /
Name of fund/portfolio

Fläming-Ul-Fonds

 

 

 

 

 

 

 

 

 

 

 

 

 

 

 

 

 

 

 

 

 

 

 

 

 

 

 

 

 

 

 

 

 

 

 

 

 

1.2. Fonds- bzw. Segmentnummer / 376801
Fundi/portfolio ID |
1.3. Advisor / Asset Manager NORDI/LB Asset Management AG
1.4, Management Mandat / Outsoureing
Management model
1.5. Datum des Inkrafttretens / Die KVG versendet diese Anlagerichtlinien vorab per Email/Fax zur Unterschrift an Anleger,
Effective as of Depotbank und Asset Manager. Diese Anlagerichtlinien treten zwei Bankarbeitstage nach Vorliegen

der Unterschriften aller Parteien auf der per Email/Fax versendeten Version in Kraft. Das Datum des
Inkrafttretens wird durch die KVG per Email kommuniziert. Das Datum des inkrafttretens wird
entsprechend auf den in Papierform zu unterzeichnenden und per Post versendeten Anlagerichtlinien

 

 

 

 

 

 

 

 

 

 

 

 

 

 

 

 

 

 

 

 

 

 

 

 

 

 

 

 

 

 

 

 

 

 

 

 

 

 

 

 

 

 

 

 

 

 

 

 

 

 

 

 

 

 

 

 

 

 

 

 

 

 

 

 

 

 

 

 

 

 

 

 

 

 

 

 

 

 

 

 

 

 

 

 

 

 

 

 

 

 

 

 

 

 

 

 

 

 

 

 

 

 

 

 

 

 

 

 

 

 

 

 

 

 

 

 

 

 

 

 

 

 

 

 

 

 

 

 

 

 

 

 

 

 

 

 

 

 

 

 

 

 

 

 

 

 

 

 

 

 

 

 

 

 

 

 

 

 

 

 

 

 

 

 

 

 

 

ergänzt.
1.6. Gesetzesgrundlage / Kapitalanlagegesetzbuch /
Regulatory basis Capital Investment Act
1.7. Fondsart / KAGB - offener inländischer Spezial-AIF mit festen Anlagebedingungen (alle Anlagemöglichkeiten)
Type
1.8. Art der Anlagebedingungen / Spezialfonds
Type of investment rules
1.9. Basiswährung / Euro
Base currency
1.10. Verwahrstelle / BNP Paribas Securities Services S.C.A. - Zweigniederlassung Frankfurt
Depositary
1.11. Weder KVG noch Berater oder Asset Manager haften für das Erreichen der Anlageziele oder einer bestimmten Wertentwicklung. /
Neither KVG nor advisor or asset manager guarantee the achievement of the investment objectives or a certain performance of the portfolio.
1.12. Diese Anlagerichtlinien ersetzen etwaige frühere Versionen für diesen Fonds. / 7]
These Investment Guidelines shall replace any prior version for this fund.
Zukünftige Änderungen bedürfen der schriftlichen Form. /
Future changes will require the written form.
Innen nsmennannnemernrprrsrrneerr En
2, Investmentstrategie / Investment strategy
a
2.1. Investmentstrategie / „Corporate Mandat €*
van Investment strategy L
F
#2. Benchmark / 30% IBoxx € Corporate Financials Senior (IYG3X)
Benchmark 70% iBoxx € Non-Financials Senior (I4BL)
komm az!
2.3. Risikomanagementansatz / Qualifizierter Ansatz / Qualified approach
Risk management approach J
2.4. Vergleichsvermögen / festgelegt in Anlage B-5 / Specified in Appendix B-5
Comparable fictitious benchmark fund
2.5. Marktrisikolimit: Qualifizierter Ansatz / Anwendbar / Limit Aus Gründen der Risikosteuerung (DerivateVO) für den
Market risk limit: qualified approach Applicable o Gesamtfonds behält sich die KVG individuelle Regelungen mit dem
Ja/Y Max (%) Berater bzw. Asset Manager vor, um diese Grenze zu halten. /
a’yes For risk management purposes (DerV) of the master fund the KVG
200.00 RERIRBI RN . .
may define individual rules with the advisor / asset manager.
a
2.6. Maximal zulässiges Risiko nach Brutto-Methode Anwendbar / Limit
(Hebelfinanzierung) nach Art. 6 bis 11 der Applicable "
Verordnung (EU) Nr. 231/2013 der Kommissionvom | ,2,y Max (%)
19. Dezember 2012 (AIFM-VO). } alres 150.00
Maximum leverage of the AIF calculated in \
accordance with the gross method as set outin
articles 6 to 11 ofthe commission delegated
regulation (EU) No. 231/2013 of 19 December 2012
supplementing Directive 2011/6V/EU.
3. Berechnungsgrundlage / Basis for limit utilization calculation |
3.1, Limitbezug / %-Grenze beziehen sich auf NAV / % limit refers to NAV
The limit check refers to

 

9710/2015 3:04:49 PM 1-6 Version 1.0.0
88

UNIVERSAL
INVESTMENT

 

 

 

Berechnungsgrundlage /
Calculation basis

Marktwerte der Vermögensgegenstände / Market price of holdings in the portfolio

 

een nDere and

 

 

 

 

 

 

 

 

 

Aktien und aktienähnliche

4. Anlageuniversum / Investment universe

 

 

 

 

 

 

 

 

 

 

 

 

 

 
  
      
        
 
   
  

       

Zulässig /
Allowed

Ul-Definition Aktien: Stammaktien, Vorzugsaktien, Bezugsrechte, Sparaktien,
Partizipationsscheine mit Aktiencharakter;

 

 

 

 

 

 

  
    
     

 

 

 

 

 

 

 

 

 

 

 

 

 

 

 

 

 
    

     
   
 

    
 

       
  

   

Wertpapiere / PN . UI-Definition aktienähnliche Wertpapiere: Genußrechte/-scheine (Aktiencharakter),
Equities and securities with equity Nein/No | Units aktienähnlich, Depositary Receipts /
character Ul-definition equities! common stocks, preferred stock, subscription rights, saving
shares ("Sparaktien"), participation notes on equity
Ul-definition securities with equity character: Participation certificates (with equity
character), units (with equity character), depositary receipts
4.2. Renten / Zulässig /
Bonds Allowed
Ja/Yes
4.2.1. Nicht notierte Renten (ohne Zertifikate) / Zulässig / Limit Ul-Definition: Prüfungsgrundiage ist das Kriterium "Börsennotiz"
Unlisted bonds except certificates Allowed R des Datenproviders WM Datenservice /
Ja/Y Max (%) Ul-definition: Check of the criteria "exchange-listed" as of
alres 10.00 dataprovider WM Datenservice
. (nur bei Neuemissionen)
none nennen

 

 

 

 

 

 

 

 

 

 

 

 

 

 

 

 

 

 

 

 

 

 

 

 

 

 

Covered bonds

4.2.23. Kommunalobligationen /
Public sector debentures

 

 

 

 

 

 

 

 

 

4.2.2.4. Unternehmensanleihen /
Corporate bonds

4.2.2. Emittenten /
Issuers
bone u
4.2.2.1. Staatsanleihen / Zulässig /
Government bonds Allowed
Ja/Yes
4.2,2.1.1. Schatzanweisungen / Zulässig /
Treasury bills Allowed
Ja/Yes
4.2.2.2. Pfandbriefe / Zulässig /

 

 

 

 

 

 

 

 

42.241, Inkl. Titel aus Finanzsektor /
Incl. financials

4.2.2.4.2. „ Nur mit Staatsgarantie /
Only with government guaranty

 

 

 

 

 

 

 

 

 

 

 

     
  
 

Allowed
Ja/Yes

 

 

 

 

 

 

 

 

 

 

 

 

 

Zulässig /
Allowed

Ja/Yes

 

 

 

 

 

 

 

 

 

 

Zulässig / | weitere Restriktionen unter Punkt 5
Allowed

Jal/Yes

 

 

 

 

 

 

 

 

 

 

 

 

 

 

 

Zulässig / |Finanzsektor = gemäß Bloomberg Industrie-Sektor /
Allowed Financial = according to Bloomberg industry-sector

Ja/Yes

 

 

 

 

 

 

 

Zulässig /
Allowed

Nein /No

  

 

 

 

 

 

 

 

 

 

 

 

 

 

 

 

 

 

 

 

 

 

 

4.2.2.5. Supranationals /
Supranationals

 

 

 

4.2.3. Rentenarten /
Bond types
4.2.3.1. Festzinsanleihen (Standard) /

Fixed rate bonds (standard)

 

Zulässig /

Allowed
Ja/Yes

 

 

 

 

 

 

 

 

 

 

 

 

 

 

 

 

 

 

 

 

 

 

 

Zulässig /
Allowed

Ja/\Yes

 

 

9/10/2015 3:04:49 PM

2-8 Version 1.0,0

 

|
|
Fl
|
i
89

UNIVERSAL
INVESTMENT

   

 

 

 

 

 

 

 

 

 

 

 

 

 

 

 

 

 

 

 

 

   

 

 

 

 

 

 

 

 

 

 

 

 

 

 

 

 

 

 

 

 

 

 

 

 

 

 

 

 

 

 

 

 

 

 

 

 

 

 

 

    
  
 

 

 

 

 

 

 

 

 

 

 

 

 

 

 

 

 

 

 

 

 

 

 

 

 

 

 

 

 

 

 

 

 

 

 

 

 

 

 

 

 

 

 

 

 

 

 

 

 

 

 

 

 

 

 

 

 

 

 

 

 

 

 

 

 

 

 

 

 

 

 

 

 

 

 

 

 

 

 

 

 

 

 

 

 

 

 

 

 

 

 

4.2,3.2, Variabel verzinsliche Anleihen / Zulässig /
Floater Allowed
Ja/Yes
4.2.3.2.1. Variabel verzinsliche Anleihen (Standard) / Zulässig /
Floating rate notes (standard) Allowed
Ja/Yes
He -
4.2.3.2.2. Umkehrfloater / Zulässig /
Reverse floater Allowed
Nein/No
4.2.3.3. Nullkuponanleihen (Zerobonds) / Zulässig /
Zero (coupon) bonds Allowed
Nein /No
4.2.3.4. Anleihen mit Kündigungs-/Tilgungsrechten Zulässig / | Hinweis / Note:
/Callable/puttable/sinkable bonds (Dies beinhaltet Allowed Anleihen mit Steuer-Kündigungsrechten gelten im Sinne dieser Anlagerichtlinie als
nicht Anleihen mit Steuer-Kündigungsrechten /this Jaly Standard-Rentenart. /
doesn't include bonds with tax call features) a’ Yes Bonds with tax call features are deemed to be standard bond typ w.r.t. this investment
guidelines.
nem
4.2.3.5. Anleihen mit Step-Kupon / Zulässig /
Bonds with step coupon Allowed
Nein /No
4.2.3.6. Fie-to-Float Bonds / Zulässig /
Fix to float bonds Allowed
Nein /No
4.2.3.7. Anleihen mit ratingabhängigem Kupon / Zulässig /
Bonds with rating-!inked coupon Allowed
Nein/No
4.2.3.8. Genufßrechte/-scheine (Rentencharakter) / Zulässig /
Participation certificates (with bond character) Allowed
Nein /No
ii 239. Umtauschanleihen (Umtausch in Anleihen) / Zulässig / v .
” Exchangeable notes (in other bonds) Allowed
Nein /No
u .- ua TEN TErEETETEmETmEEEEERenE
4.2.3.10. Wandelanleihen / Convertible bonds Zulässig /
Umtauschanleihen / Exchangeable bonds Allowed
Nein /No
je Fre
4.2,3.11. Pflichtwandelanleihen / Zulässig /
Contingent convertibles Allowed
Nein /No
4.2.3.12. Units rentenähnlich / Zulässig / | Ul-Definition: Bei Units handelt es sich um eine Klasse von Wertpapieren, die sich
Units with bond character Allowed individuell aus einer Kombination anderer Wertpapiere ergeben. /
\ Nein/N Ul-definition: A unit is a financial instrument which is comprised of two or more classes
ein!No Tofsecurities traded together as one security. !
4.2.3.13, Doppelwährungsanleihen / Zulässig / |
Dual currency bonds Allowed ;
Nein/No |
au |
4.2.3.14. Inflationsindizierte Anleihen / Zulässig / |
Inflation linked bonds Allowed
Nein /No

 

 

 

9/10/2015 3:04:49 PM 3-6 Version 1.0.0
90

Zur nächsten Seite