Tiefe der Abstandsflächen bei Windkraftanlagen

/ 61
PDF herunterladen
§6 Abstandsflächen (1) Vor den Außenwänden von Gebäuden sind Flächen von oberirdischen Gebäuden freizuhalten (Ab- standsflächen). Satz 1 gilt entsprechend für andere Anlagen, von denen Wirkungen wie von Gebäu- den ausgehen, gegenüber Gebäuden und Grundstücksgrenzen. Eine Abstandsfläche ist nicht erforder- lich vor Außenwänden, die an Grundstücksgrenzen errichtet werden, wenn nach planungsrechtlichen oder bauordnungsrechtlichen Vorschriften an die Grenze gebaut werden muss oder gebaut werden darf. (2) Abstandsflächen müssen auf dem Grundstück liegen. Sie dürfen auch auf öffentlichen Verkehrs-, Grün- und Wasserflächen liegen, jedoch nur bis zu deren Mitte. Bei öffentlichen Grünflächen gilt dies nur sofern die Gebäude oder Anlagen innerhalb von Baulinien oder Baugrenzen errichtet werden. Ab- standsflächen dürfen sich ganz oder teilweise auf andere Grundstücke erstrecken, wenn durch Bau- last gesichert ist, dass sie nicht überbaut werden; Absatz 3 bleibt unberührt. Bei Wohngebäuden der
31

Gebäudeklassen 1 bis 3 ist ein Flächenausgleich innerhalb einer unregelmäßig begrenzten Abstands- fläche zulässig. (3) Die Abstandsflächen dürfen sich nicht überdecken; dies gilt nicht für 1.      Außenwände, die in einem Winkel von mehr als 75 Grad zueinander stehen, 2.      Außenwände zu einem fremder Sicht entzogenen Gartenhof bei Wohngebäuden der Gebäude- klassen 1 und 2, 3.      Gebäude und andere Anlagen, die in den Abstandsflächen zulässig sind. (4) Die Tiefe der Abstandsfläche bemisst sich nach der Wandhöhe; sie wird rechtwinklig zur Wand ge- messen. Wandhöhe ist das Maß von der Geländeoberfläche bis zum Schnittpunkt der Wandaußensei- te mit der Dachhaut oder bis zum oberen Abschluss der Wand. Die Höhe von Dächern mit einer Nei- gung von weniger als 70 Grad wird zu einem Drittel der Wandhöhe hinzugerechnet. Andernfalls wird die Höhe des Daches voll hinzugerechnet. Die Sätze 1 bis 4 gelten für Dachaufbauten entsprechend. Das sich ergebende Maß ist H. (5) Die Tiefe der Abstandsflächen beträgt 0,4 H, mindestens 2,5 m. In Gewerbe- und Industriegebie- ten genügt eine Tiefe von 0,2 H, mindestens 2,5 m. (6) Bei der Bemessung der Abstandsflächen bleiben außer Betracht 1.      vor die Außenwand vortretende untergeordnete Bauteile wie Gesimse und Dachüberstände, 2.      Vorbauten einschließlich Balkone, wenn sie a)     insgesamt nicht mehr als ein Drittel der Breite der jeweiligen Außenwand in Anspruch nehmen, b)     nicht mehr als 1,50 m vor die Außenwand vortreten und c)     mindestens 2,50 m von der gegenüberliegenden Nachbargrenze entfernt bleiben, 3.      nachträgliche Wärmeschutzmaßnahmen an bestehenden Gebäuden mit höchstens 0,20 m Dicke, wenn ein Abstand von mindestens 2,3 m zur Nachbargrenze erhalten bleibt. (7) In den Abstandsflächen eines Gebäudes sowie ohne eigene Abstandsflächen sind, auch wenn sie nicht an die Grundstücksgrenze oder an das Gebäude angebaut werden, zulässig 1.      eingeschossige Garagen und eingeschossige Gebäude ohne Aufenthaltsräume und Feuerstät- ten mit einer mittleren Wandhöhe bis zu 3,0 m und einer Gesamtlänge je Grundstücksgrenze von bis zu 9,0 m, 2.      gebäudeunabhängige Solaranlagen mit einer Höhe bis zu 3,0 m und einer Gesamtlänge je Grundstücksgrenze von bis zu 9,0 m, 3.      Stützmauern und Einfriedigungen in Gewerbe- und Industriegebieten, außerhalb dieser Bauge- biete mit einer Höhe bis zu 2,0 m. Die Länge der in Satz 1 Nummern 1 und 2 genannten Anlagen darf auf einem Grundstück insgesamt 15,0 m nicht überschreiten. (8) Zwingende Festsetzungen eines Bebauungsplans, die andere Bemessungen der Abstandsfläche ergeben, haben Vorrang.
32

Gesamtes Gesetz Amtliche Abkürzung:          BauO LSA                       Quelle: Ausfertigungsdatum:          20.12.2005 Gültig ab:                   15.03.2006 Dokumenttyp:                 Gesetz                         Fundstelle:         GVBI. LSA 2005, 769 Gliederungs-Nr:     213.37 Bauordnung des Landes Sachsen-Anhalt (BauO LSA) Vom 20. Dezember 2005 Zum 25.01.2012 aktuellste verfügbare Fassung der Gesamtausgabe Stand: letzte berücksichtigte Änderung: §§ 59 und 60 geändert durch § 38 Abs. 2 des Gesetzes vom 10. Dezember 2010 (GVBI. LSA S. 569, 577) Fußnoten ,)    Verkündet als Artikel 1 des Dritten Gesetzes zur Erleichterung von Investitionen, Gesetz über die Bauordnung des Landes Sachsen-Anhalt und zur Änderung weiterer Gesetze (Drittes Investi- tionserleichterungsgesetz) vom 20. Dezember 2005
33

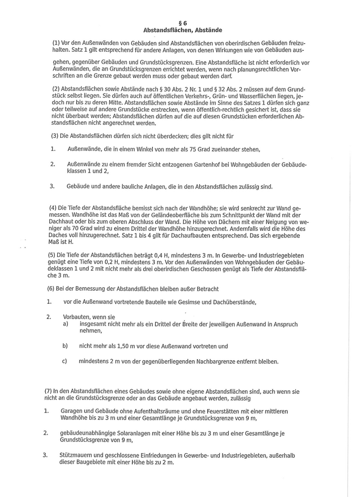
§6 Abstandsflächen, Abstände (1) Vor den Außenwänden von Gebäuden sind Abstandsflächen von oberirdischen Gebäuden freizu- halten. Satz 1 gilt entsprechend für Anlagen, von denen Wirkungen wie von Gebäuden ausgehen, ge- genüber Gebäuden und Grundstücksgrenzen. Eine Abstandsfläche ist nicht erforderlich vor Außen- wänden, die an Grundstücksgrenzen errichtet werden, wenn nach planungsrechtlichen Vorschriften an die Grenze gebaut werden muss oder gebaut werden darf. (2) Abstandsflächen sowie Abstände nach § 29 Abs. 2 Nr. 1 und § 31 Abs. 2 müssen auf dem Grund- stück selbst liegen. Sie dürfen auch auf öffentlichen Verkehrs-, Grün- und Wasserflächen liegen, je- doch nur bis zu deren Mitte. Abstandsflächen sowie Abstände im Sinne des Satzes 1 dürfen sich ganz ,ÿ,ÿÿr l-ÿilweise auf andere Grundstücke erstrecken, wenn öffentlich-rechtlich aesichert ist. dass sie nicht überbaut werden; Abstandsflächen dürfen auf die auf diesen Grundstücken erforderlichen Ab- standsflächen nicht angerechnet werden. (3) Die Abstandsflächen dürfen sich nicht überdecken; dies gilt nicht für 1. Außenwände, die in einem Winkel von mehr als 75 Grad zueinander stehen, 2,       Außenwände zu einem fremder Sicht entzogenen Gartenhof bei Wohngebäuden der Gebäude- klassen 1 und 2 und 3.    Gebäude und andere bauliche Anlagen, die in den Abstandsflächen zulässig sind. (4) Die Tiefe der Abstandsflächen bemisst sich nach der Wandhöhe; sie wird senkrecht zur Wand ge- messen. Wandhöhe ist das Maß von der Geländeoberfläche bis zum Schnittpunkt der Wand mit der Dachhaut oder bis zum oberen Abschluss der Wand. Die Höhe von Dächern mit einer Neigung von we- niger als 70 Grad wird zu einem Drittel der Wandhöhe hinzugerechnet. Andernfalls wird die Höhe des Daches voll hinzugerechnet. Die Sätze 1 bis 4 gelten für Dachaufbauten entsprechend. Das sich erge- bende Maß ist H. (5) Die Tiefe der Abstandsflächen beträgt 0,4 H, mindestens 3 m. In Gewerbe- und Industriegebieten genügt eine Tiefe von 0,2 H, mindestens 3 m. Vor den Außenwänden von Wohngebäuden der Gebäu- deklassen 1 und 2 mit nicht mehr als drei oberirdischen Geschossen genügt als Tiefe der Abstandsflä- che 3 m. (6) Bei der Bemessung der Abstandsflächen bleiben außer Betracht 1. vor die Außenwand vortretende Bauteile wie Gesimse und Dachüberstände und 2,        Vorbauten, wenn sie a)    insgesamt nicht mehr als ein Drittel der Breite der jeweiligen Außenwand in Anspruch nehmen, b)    nicht mehr als 1,50 m vor diese Außenwand vortreten und c)    mindestens 2 m von der gegenüberliegenden Nachbargrenze entfernt bleiben. (7) Für Windkraftanlagen gelten der Absatz 2 Satz 2 und die Absätze 4 bis 6 nicht. Bei diesen Anlagen bemisst sich die Tiefe der Abstandsfläche nach der größten Höhe der Anlage. Die größte Höhe errech- net sich bei Anlagen mit Horizontalachse aus der Höhe der Rotorachse über der Geländeoberfläche in der geometrischen Mitte des Mastes zuzüglich des Rotorradius. Die Abstandsfläche ist ein Kreis um den geometrischen Mittelpunkt des Mastes.
34

(8) In den Abstandsflächen eines Gebäudes sowie ohne eigene Abstandsflächen sind, auch wenn sie nicht an die Grundstücksgrenze oder an das Gebäude angebaut werden, zulässig 1,      Garagen und Gebäude ohne Aufenthaltsräume und Feuerstätten mit einer mittleren Wandhöhe bis zu 3 m und einer Gesamtlänge je Grundstücksgrenze von 9 m, 2,     gebäudeunabhängige Solaranlagen mit einer Höhe bis zu 3 m und einer Gesamtlänge je Grundstücksgrenze von 9 m und 3,     Stützmauern und geschlossene Einfriedungen in Gewerbe- und Industriegebieten, außerhalb dieser Baugebiete mit einer Höhe bis zu 2 m. Die Länge der die Abstandsflächentiefe gegenüber den Grundstücksgrenzen nicht einhaltenden Be- bauung nach Satz 1 Nrn. 1 und 2 darf auf einem Grundstück insgesamt 15 m nicht überschreiten.
35

Gesamtes Gesetz Amtliche Abkürzung:          LBauO M-V                    Quelle: Ausfertigungsdatum:          18.04.2006 Gültig ab:                   01.09.2006 Dokumenttyp:                 Gesetz                       Fundstelle:        GVOBI. M-V 2006, 102 Gliederungs-Nr:    2130-10 Landesbauordnung Mecklenbu rg-Vorpommern (LBauO M-V) Vom 18. April 2006 Zum 20.01.2012 aktuellste verfügbare Fassung der Gesamtausgabe Stand" letzte berücksichtigte Änderung: § 59 geändert durch Artikel 2 des Gesetzes vom 20. Mai 2011 (GVOBI. M-V S. 323) Fußnoten ,)    Verkündet als Artikel 1 des Gesetzes zur Neugestaltung der Landesbauordnung und zur Ände- rung anderer Gesetze vom 18. April 2006 (GVOßl. M-V S. 102)
36

§6 Abstandsflächen, Abstände (1) Vor den Außenwänden von Gebäuden sind Abstandsflächen von oberirdischen Gebäuden freizu- halten. Satz 1 gilt entsprechend für andere Anlagen, von denen Wirkungen wie von Gebäuden aus- gehen, gegenüber Gebäuden und Grundstücksgrenzen. Eine Abstandsfläche ist nicht erforderlich vor Außenwänden, die an Grundstücksgrenzen errichtet werden, wenn nach planungsrechtlichen Vor- schriften an die Grenze gebaut werden muss oder gebaut werden darf. (2) Abstandsflächen sowie Abstände nach § 30 Abs. 2 Nr. 1 und § 32 Abs. 2 müssen auf dem Grund- stück selbst liegen. Sie dürfen auch auf öffentlichen Verkehrs-, Grün- und Wasserflächen liegen, je- doch nur bis zu deren Mitte. Abstandsflächen sowie Abstände im Sinne des Satzes 1 dürfen sich ganz oder teilweise auf andere Grundstücke erstrecken, wenn öffentlich-rechtlich gesichert ist, dass sie nicht überbaut werden; Abstandsflächen dürfen auf die auf diesen Grundstücken erforderlichen Ab- standsflächen nicht angerechnet werden. (3) Die Abstandsflächen dürfen sich nicht überdecken; dies gilt nicht für 1.    Augenwände, die in einem Winkel von mehr als 75 Grad zueinander stehen, 2,      Außenwände zu einem fremder Sicht entzogenen Gartenhof bei Wohngebäuden der Gebäude- klassen 1 und 2, 3, Gebäude und andere bauliche Anlagen, die in den Abstandsflächen zulässig sind. (4) Die Tiefe der Abstandsfläche bemisst sich nach der Wandhöhe; sie wird senkrecht zur Wand ge- messen. Wandhöhe ist das Maß von der Geländeoberfläche bis zum Schnittpunkt der Wand mit der Dachhaut oder bis zum oberen Abschluss der Wand. Die Höhe von Dächern mit einer Neigung von we- niger als 70 Grad wird zu einem Drittel der Wandhöhe hinzugerechnet. Andernfalls wird die Höhe des Daches voll hinzugerechnet. Satz 1 bis 4 gilt für Dachaufbauten entsprechend. Das sich ergebende Maß ist H. (5) Die Tiefe der Abstandsflächen beträgt 0,4 H, mindestens 3 m. In Gewerbe- und Industriegebieten genügt eine Tiefe von 0,2 H, mindestens 3 m. Vor den Außenwänden von Wohngebäuden der Gebäu- deklassen 1 und 2 mit nicht mehr als drei oberirdischen Geschossen genügt als Tiefe der Abstandsflä- che 3 m. (6) Bei der Bemessung der Abstandsflächen bleiben außer Betracht 1,       vor die Außenwand vortretende Bauteile wie Gesimse und Dachüberstände, 2.       Vorbauten, wenn sie a) insgesamt nicht mehr als ein Drittel der [3reite der jeweiligen Außenwand in Anspruch nehmen, b) nicht mehr als 1,50 m vor diese Augenwand vortreten und c) mindestens 2 m von der gegenüberliegenden Nachbargrenze entfernt bleiben. (7) In den Abstandsflächen eines Gebäudes sowie ohne eigene Abstandsflächen sind, auch wenn sie nicht an die Grundstücksgrenze oder an das Gebäude angebaut werden, zulässig 1.        Garagen und Gebäude ohne Aufenthaltsräume und ohne Feuerstätten mit einer mittleren Wandhöhe bis zu 3 m und einer Gesamtlänge je Grundstücksgrenze von 9 m, 2,        gebäudeunabhängige Solaranlagen mit einer Höhe bis zu 3 m und einer Gesamtlänge je Grundstücksgrenze von 9 m, 3,       Stützmauern und geschlossene Einfriedungen in Gewerbe- und Industriegebieten, außerhalb dieser Baugebiete mit einer Höhe bis zu 2 m.
37

Die Länge der die Abstandsflächentiefe gegenüber den Grundstücksgrenzen nicht einhaltenden Be- bauung nach Nummern 1 und 2 darf auf einem Grundstück insgesamt 15 m nicht überschreiten. in unmittelbarer Nähe auf einem anderen geeigneten Grundstück, dessen dauerhafte Nutzung für die- sen Zweck öffentlich-rechtlich gesichert sein muss, ein ausreichend großer Spielplatz für Kleinkinder anzulegen. Dies gilt nicht, wenn in unmittelbarer Nähe eine Gemeinschaftsanlage oder ein sonstiger für die Kinder nutzbarer Spielplatz geschaffen wird oder vorhanden oder ein solcher Spielplatz wegen der Art und der Lage der Wohnung nicht erforderlich ist. Bei bestehenden Gebäuden nach Satz 1 kann die Herstellung von Spielplätzen für Kleinkinder verlangt werden, wenn dies die Gesundheit und der Schutz der Kinder erfordern.
38

Gesamtes Gesetz Amtliche Abkürzung:          LBO                             Quelle: Ausfertigungsdatum:          22.01.2009 Gültig ab:                   01.05.2009 Dokumenttyp:                 Gesetz                          Fundstelle:                   GVOBI. 2009, 6 Gliederungs-Nr:               2130-14 Landesbauordnung für das Land Schleswig-Holstein (LBO) Vom 22. Januar 2009 Zum 20.01.2012 aktuellste verfügbare Fassung der Gesamtausgabe Stand: letzte berücksichtigte Änderung: § 18 Abs, 8 gestrichen (Art. 4 Ges. v. 17.01.2011, GVOBI. S. 3) Fußnoten 1)    Die Verpflichtungen aus der Richtlinie 98/34/EG des Europäischen Parlaments und des Rates vom 22. Juni 1998 über ein Informationsverfahren auf dem Gebiet der Normen und technischen Vorschriften und der Vorschriften für die Dienste der Informationsgesellschaft (ABI. EG Nr. L 204 S. 37), zuletzt geändert durch die Richtlinie 98/48/EG des Europäischen Parlaments und des Ra- tes vom 20. Juli 1998 (ABI. EG Nr. L 217 S. 18), sind beachtet worden. Das Gesetz dient der Um- setzung - der Richtlinie 85/337/EWG des Rates vom 27. Juni 1985 über die Umweltverträglich- keitsprüfung bei bestimmten öffentlichen und privaten Projekten (ABI. EG Nr. L 175 S. 40), ge- ändert durch Richtlinie 97/11/EG des Rates vom 3. März 1997 (ABI. EG Nr. L 73 S. 5), und - der Richtlinie 89/106/EWG des Rates vom 21. Dezember 1988 zur Angleichung der Rechts- und Ver- waltungsvorschriften über Bauprodukte (ABI. EG Nr. L 40 S. 12).
39

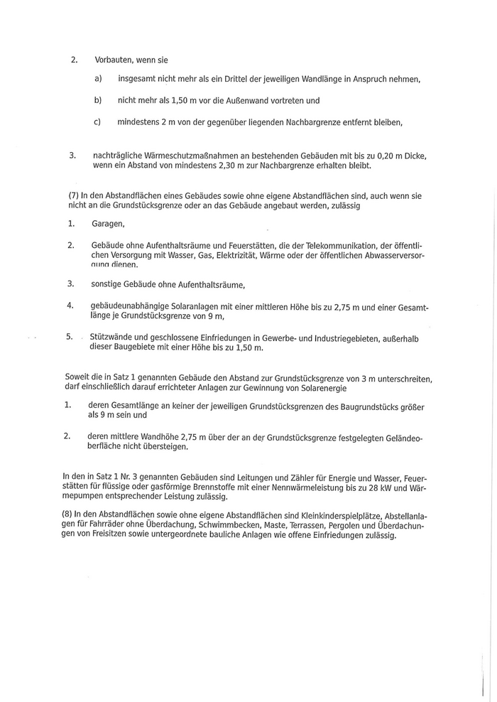
2. Vorbauten, wenn sie a)    insgesamt nicht mehr als ein Drittel der jeweiligen Wandlänge in Anspruch nehmen, b)     nicht mehr als 1,50 m vor die Außenwand vortreten und c)     mindestens 2 m von der gegenüber liegenden Nachbargrenze entfernt bleiben, 3,      nachträgliche Wärmeschutzmaßnahmen an bestehenden Gebäuden mit bis zu 0,20 m Dicke, wenn ein Abstand von mindestens 2,30 m zur Nachbargrenze erhalten bleibt. (7) In den Abstandflächen eines Gebäudes sowie ohne eigene Abstandflächen sind, auch wenn sie nicht an die Grundstücksgrenze oder an das Gebäude angebaut werden, zulässig 1.   Garagen, 2. Gebäude ohne Aufenthaltsräume und Feuerstätten, die der Telekommunikation, der öffentli- chen Versorgung mit Wasser, Gas, Elektrizität, Wärme oder der öffentlichen Abwasserversor- nùnn dienen. 3. sonstige Gebäude ohne Aufenthaltsräume, 4. gebäudeunabhängige Solaranlagen mit einer mittleren Höhe bis zu 2,75 m und einer Gesamt- länge je Grundstücksgrenze von 9 m, 5.    Stützwände und geschlossene Einfriedungen in Gewerbe- und Industriegebieten, außerhalb dieser 13augebiete mit einer Höhe bis zu 1,50 m. Soweit die in Satz 1 genannten Gebäude den Abstand zur Grundstücksgrenze von 3 m unterschreiten, darf einschließlich darauf errichteter Anlagen zur Gewinnung von 5olarenergie 1.    deren Gesamtlänge an keiner der jeweiligen Grundstücksgrenzen des Baugrundstücks größer als 9 m sein und 2,      deren mittlere Wandhöhe 2,75 m über der an der Grundstücksgrenze festgelegten Geländeo- berfläche nicht übersteigen. In den in Satz 1 Nr. 3 genannten Gebäuden sind Leitungen und Zähler fOr Energie und Wasser, Feuer- stätten für flüssige oder gasförmige Brennstoffe mit einer Nennwärmeleistung bis zu 28 kW und Wär- mepumpen entsprechender Leistung zulässig. (8) In den Abstandflächen sowie ohne eigene Abstandflächen sind Kleinkinderspielplätze, Abstellanla- gen für Fahrräder ohne Überdachung, Schwimmbecken, Maste, Terrassen, Pergolen und überdachun- gen von Freisitzen sowie untergeordnete bauliche Anlagen wie offene Einfriedungen zulässig.
40

Zur nächsten Seite