Tiefe der Abstandsflächen bei Windkraftanlagen

/ 61
PDF herunterladen
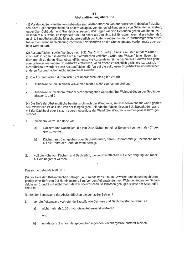
§6 Abstandflächen, Abstände (1) Vor den Außenwänden von Gebäuden sind Abstandflächen von oberirdischen Gebäuden freizuhal- ten. Satz 1 gilt entsprechend für andere Anlagen, von denen Wirkungen wie von Gebäuden ausgehen, gegenüber Gebäuden und Grundstücksgrenzen. Wirkungen wie von Gebäuden gehen von ihnen ins- besondere aus, wenn sie länger als 5 m und höher als 2 m sind, bei Terrassen, wenn diese höher als 1 m sind. Eine Abstandfläche ist nicht erforderlich vor Außenwänden, die an Grundstücksgrenzen errich- tet werden, wenn nach planungsrechtlichen Vorschriften an die Grenze gebaut werden muss oder ge- baut werden darf. (2) Abstandflächen sowie Abstände nach § 31 Abs. 2 Nr. 1 und § 33 Abs. 2 müssen auf dem Grund- stück selbst liegen. Sie dürfen auch auf öffentlichen Verkehrs-, Grün- und Wasserflächen liegen, je- doch nur bis zu deren Mitte. Abstandflächen sowie Abstände im Sinne des Satzes 1 dürfen sich ganz oder teilweise auf andere Grundstücke erstrecken, wenn öffentlich-rechtlich gesichert ist, dass sie nicht überbaut werden; diese Abstandflächen dürfen auf die auf diesen Grundstücken erforderlichen anderen Abstandflächen nicht angerechnet werden. (3) Die Abstandflächen dürfen sich nicht überdecken; dies gilt nicht für 1.    Außenwände, die in einem Winkel von mehr als 75° zueinander stehen, 2,      Außenwände zu einem fremder Sicht entzogenen Gartenhof bei Wohngebäuden der Gebäude- klassen 1 und 2, (4) Die Tiefe der Abstandfläche bemisst sich nach der Wandhöhe; sie wird senkrecht zur Wand gemes- sen. Wandhöhe ist das Maß von der festgelegten Geländeoberfläche bis zum Schnittpunkt der Wand mit der Dachhaut oder bis zum oberen Abschluss der Wand. Zur Wandhöhe werden jeweils hinzuge- rechnet 1,      zu einem Viertel die Höhe von a)   Dächern und Dachteilen, die von Dachflächen mit einer Neigung von mehr als 45° be- grenzt werden, b)     Dächern mit Dachgauben oder Dachaufbauten, deren Gesamtbreite je Dachfläche mehr als die Hälfte der Gebäudewand beträgt, 2,      voll die Höhe von Dächern und Dachteilen, die von Dachflächen mit einer Neigung von mehr als 70° begrenzt werden. Das sich ergebende Maß ist H. (5) Die Tiefe der Abstandflächen beträgt 0,4 H, mindestens 3 m. In Gewerbe- und Industriegebieten genügt eine Tiefe von 0,2 H, mindestens 3 m. Vor den Außenwänden von Wohngebäuden der Gebäu- deklassen 1 und 2 mit nicht mehr als drei oberirdischen Geschossen genügt als Tiefe der Abstandflä- che 3 m. (6) Bei der Bemessung der Abstandflächen bleiben außer Betracht 1.    vor die Außenwand vortretende Bauteile wie Gesimse und Dachüberstände, wenn sie a)   nicht mehr als 1,50 m vor diese Außenwand vortreten und b) mindestens 2 m von der gegenüber liegenden Nachbargrenze entfernt bleiben,
41

Gesamtes Gesetz Amtliche Abkürzung:           SächsBO                    Quelle: Ausfertigungsdatum:           28.05.2OO4 Gültig ab:                    01,I0.2004 Dokumenttyp:                 Gesetz                      Fundstelle:      SächsGVBI. 2004, 200 Gliederungs-Nr: 421-1/3 Sächsische Bauordnung (SächsBO) Vom 28. Mai 2004 Zum 20.01.2012 aktuellste verfügbare Fassung der Gesamtausgabe Stand: zuletzt geändert durch Artikel 1 des Gesetzes vom 04. Oktober 2011 (SächsGVBl. S. 377) Fußnoten ,)    Verkündet als Artikel 1 des Gesetzes zur Neufassung der Sächsischen Bauordnung und zur Än- derung anderer Gesetze vom 28. Mai 2004
42

§6 Abstandsflächen, Abstände (1) Vor den Außenwänden von Gebäuden sind Abstandsflächen von oberirdischen Gebäuden freizu- halten. Satz i gilt entsprechend für andere Anlagen, von denen Wirkungen wie von Gebäuden aus- gehen, gegenüber Gebäuden und Grundstücksgrenzen. Eine Abstandsfläche ist nicht erforderlich vor Außenwänden, die an Grundstücksgrenzen errichtet werden, wenn nach planungsrechtlichen Vor- schriften an die Grenze gebaut werden muss oder gebaut werden darf. (2) Abstandsflächen sowie Abstände nach § 30 Abs. 2 Nr. 1 und § 32 Abs. 2 müssen auf dem Grund- stück selbst liegen. Sie dürfen auch auf öffentlichen Verkehrs-, Grün- und Wasserflächen liegen, je- doch nur bis zu deren Mitte. Abstandsflächen sowie Abstände im Sinne des Satzes 1 dürfen sich ganz oder teilweise auf andere Grundstücke erstrecken, wenn rechtlich gesichert ist, dass sie nicht über- baut werden. Abstandsflächen dürfen auf die auf diesen Grundstücken erforderlichen Abstandsflä- chen nicht angerechnet werden. (3) Die Abstandsflächen dürfen sich nicht überdecken. Dies gilt nicht für 1.   Außenwände, die in einem Winkel von mehr als 75 Grad zueinander stehen; 2,      Außenwände zu einem fremder Sicht entzogenen Gartenhof bei Wohngebäuden der Gebäude- klassen 1 und 2 oder 3. Gebäude und andere bauliche Anlagen, die in den Abstandsflächen zulässig sind. (4) Die Tiefe der Abstandsfläche bemisst sich nach der Wandhöhe. Sie wird senkrecht zur Wand ge- messen. Wandhöhe ist das Maß von der Geländeoberfläche bis zum Schnittpunkt der Wand mit der Dachhaut oder bis zum oberen Abschluss der Wand. Die Höhe von Dächern mit einer Neigung von we- niger als 70 Grad wird zu einem Drittel der Wandhöhe hinzugerechnet. Andernfalls wird die Höhe des Daches voll hinzugerechnet. Die Sätze 1 bis 4 gelten für Dachaufbauten entsprechend. Das sich erge- bende Maß ist H. (5) Die Tiefe der Abstandsflächen beträgt 0,4 H, mindestens 3 m. In Gewerbe- und Industriegebieten genügt eine Tiefe von 0,2 H, mindestens 3 m. Vor den Außenwänden von Wohngebäuden der Gebäu- deklassen 1 und 2 mit nicht mehr als drei oberirdischen Geschossen genügt als Tiefe der Abstandsflä- che 3 m. (6) Bei der Bemessung der Abstandsflächen bleiben außer Betracht 1.    vor die Außenwand vortre[ende Bauteile wie Gesimse und Dachüberstände sowie 2,      Vorbauten, wenn sie a)   insgesamt nicht mehr als ein Drittel der Breite der jeweiligen Augenwand in Anspruch nehmen, b)   nicht mehr als 1,50 m vor diese Außenwand vortreten und c)  mindestens 2 m von der gegenüberliegenden Nachbargrenze entfernt bleiben.
43

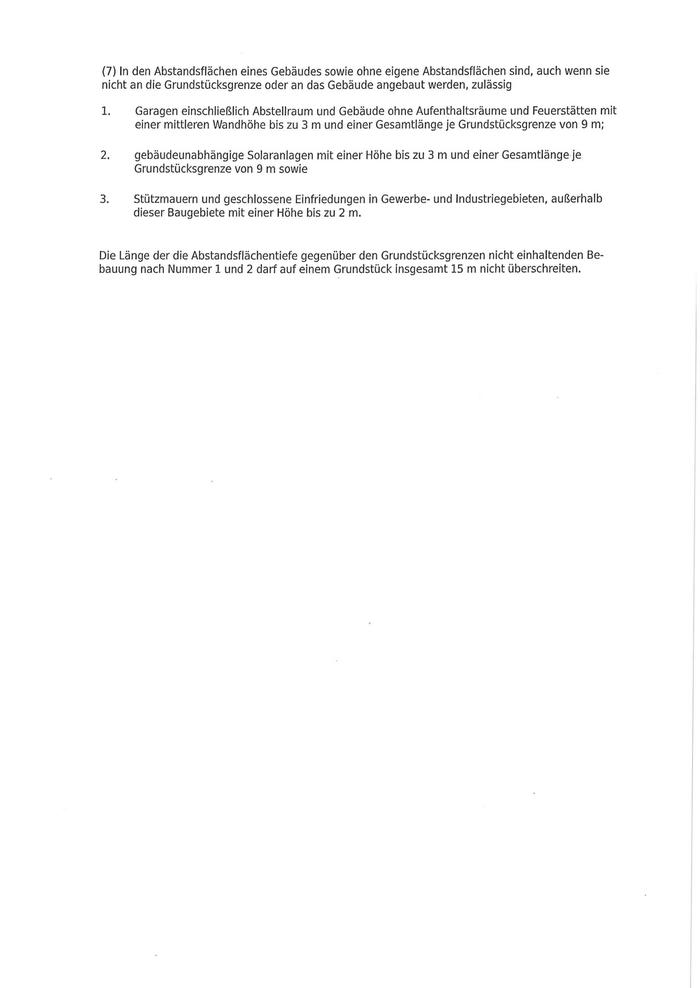
(7) In den Abstandsflächen eines Gebäudes sowie ohne eigene Abstandsflächen sind, auch wenn sie nicht an die Grundstücksgrenze oder an das Gebäude angebaut werden, zulässig 1,      Garagen einschließlich Abstellraum und Gebäude ohne Aufenthaltsräume und Feuerstätten mit einer mittleren Wandhöhe bis zu 3 m und einer Gesamtlänge je Grundstücksgrenze von 9 m; 2,     gebäudeunabhängige Solaranlagen mit einer Höhe bis zu 3 m und einer Gesamtlänge je Grundstücksgrenze von 9 m sowie 3,     Stützmauern und geschlossene Einfriedungen in Gewerbe- und Industriegebieten, außerhalb dieser Baugebiete mit einer Höhe bis zu 2 m. Die Länge der die Abstandsflächentiefe gegenüber den Grundstücksgrenzen nicht einhaltenden Be- bauung nach Nummer 1 und 2 darf auf einem Grundstück insgesamt 15 m nicht überschreiten.
44

Gesamtes Gesetz Amtliche Abkür-          ThürBO                           Quelle: zung: Neugefasst durch         16.03.2004 Bek. vom:                                                 Fundstelle:          GVBl 2004, 349 Gültig ab:               01.05.2004                       Gliederungs-Nr:      2130-9 Dokumenttyp:             Gesetz Thüringer Bauordnung (ThürBO) in der Fassung der Bekanntmachung vom 16. März 2004 Zum 20.01.2012 aktuellste verfügbare Fassung der Gesamtausgabe Stand:     letzte berücksichtigte Änderung: mehrfach geändert durch Gesetz vom 23. Mai 2011 (GVBl. S. 85) Fußnoten *)    Die Verpflichtungen aus der Richtlinie 98/34/EG des Europäischen Parlaments und des Rates vom 22. Juni 1998 über ein Informationsverfahren auf dem Gebiet der Normen und technischen Vorschriften (ABl. EG Nr. L 204 S. 37), zuletzt geändert durch die Richtlinie 98/48/EG des Euro- päischen Parlaments und des Rates vom 20. Juli 1998 (ABl. EG Nr. L 217 S. 18), sind beachtet worden. *)    Dieses Gesetz dient der Umsetzung der Richtlinie 2009/28/EG des Europäischen Parlaments und des Rates vom 23. April 2009 zur Förderung der Nutzung von Energie aus erneuerbaren Quellen und zur Änderung und anschließenden Aufhebung der Richtlinien 2001/77/EG und 2003/30/EG (ABl. L 140 S. 16) sowie der Durchführung des Kapitels III der Verordnung (EG) Nr. 765/2008 des Europäischen Parlaments und des Rates vom 9. Juli 2008 über die Vorschriften für die Akkreditierung und Marktüberwachung im Zusammenhang mit der Vermarktung von Pro- dukten und zur Aufhebung der Verordnung (EWG) Nr. 339/93 des Rates (ABl. L 218 S. 30).
45

§6 Abstandsflächen, Abstände (1) Vor den Außenwänden von Gebäuden sind Abstandsflächen von oberirdischen Gebäuden freizu- halten. Für bauliche Anlagen, andere Anlagen und Einrichtungen, von denen Wirkungen wie von Ge- bäuden ausgehen, gilt Satz 1 gegenüber Gebäuden und Nachbargrenzen sinngemäß. Eine Abstands- fläche ist nicht erforderlich vor Außenwänden, die an Grundstücksgrenzen errichtet werden, wenn nach planungsrechtlichen Vorschriften an die Grenze gebaut werden muss oder gebaut werden darf. (2) Abstandsflächen sowie Abstände nach § 29 Abs. 2 Nr. 1 und § 31 Abs. 2 müssen auf dem Grund- stück selbst liegen. Sie dürfen auch auf öffentlichen Verkehrs-, Grün- und Wasserflächen liegen, je- doch nur bis zu deren Mitte. Abstandsflächen sowie Abstände im Sinne des Satzes 1 dürfen sich ganz oder teilweise auf andere Grundstücke erstrecken, wenn öffentlich-rechtlich gesichert ist, dass sie nicht überbaut werden; Abstandsflächen dürfen auf die auf diesen Grundstücken erforderlichen Ab- standsflächen nicht angerechnet werden. (3) Abstandsflächen dürfen sich nicht überdecken; dies gilt nicht für 1.      Außenwände, die in einem Winkel von mehr als 75 Grad zueinander stehen, 2.      Außenwände zu einem fremder Sicht entzogenen Gartenhof bei Wohngebäuden der Gebäude- klassen 1 und 2 und 3.      Gebäude und andere bauliche Anlagen, die in den Abstandsflächen zulässig sind. (4) Die Abstandsfläche bemisst sich nach der Wandhöhe; sie wird senkrecht zur Wand gemessen. Wandhöhe ist das Maß von der Geländeoberfläche bis zum Schnittpunkt der Wand mit der Dachhaut oder bis zum oberen Abschluss der Wand. Die Höhe von Dächern mit einer Neigung von weniger als 70 Grad wird zu einem Drittel der Wandhöhe hinzugerechnet. Anderenfalls wird die Höhe des Dachs voll hinzugerechnet. Die Sätze 1 bis 4 gelten für Dachaufbauten entsprechend. Das sich ergebende Maß ist 'H'. (5) Die Tiefe der Abstandsflächen beträgt 0,4 H, mindestens 3 m. In Gewerbe- und Industriegebieten sowie in Sondergebieten, deren Nutzung mit einem Gewerbe- oder Industriegebiet vergleichbar ist, genügt eine Tiefe von 0,2 H, mindestens 3 m. Vor den Außenwänden von Wohngebäuden der Gebäu- deklassen 1 und 2 mit nicht mehr als drei oberirdischen Geschossen genügt als Tiefe der Abstandsflä- che 3 m. (6) Bei der Bemessung der Abstandsflächen bleiben außer Betracht 1.      vor die Außenwand vortretende Bauteile wie Gesimse und Dachüberstände, 2.      Vorbauten, wenn sie
46

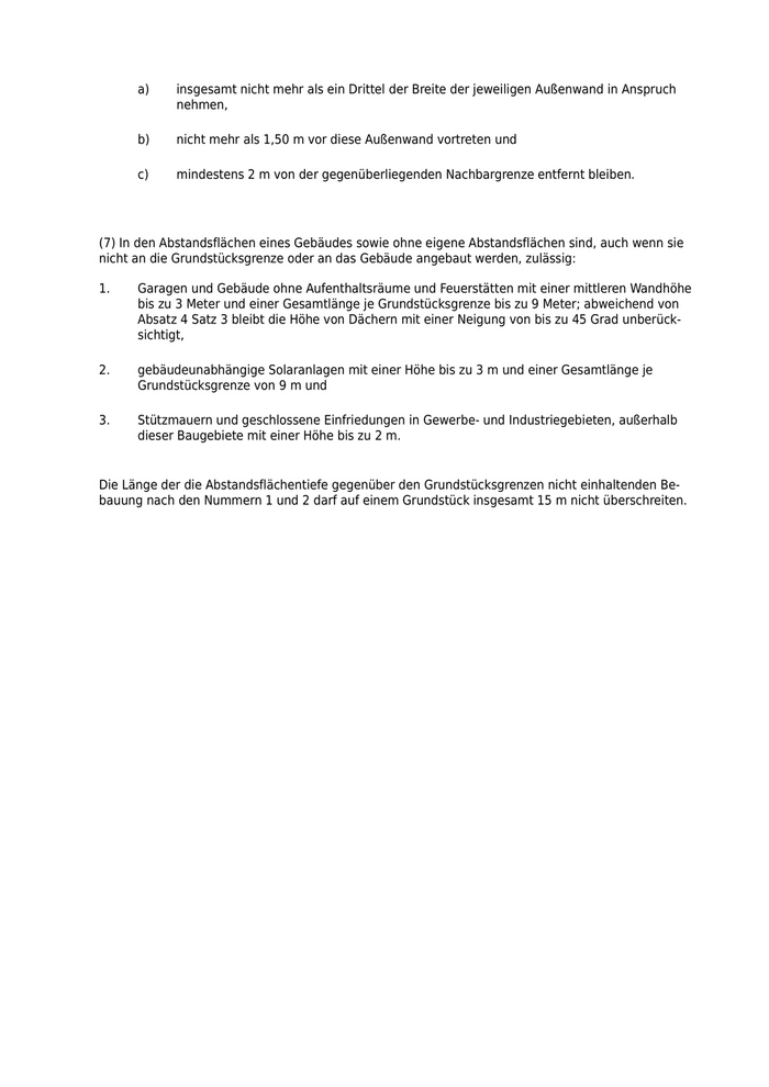
a)     insgesamt nicht mehr als ein Drittel der Breite der jeweiligen Außenwand in Anspruch nehmen, b)     nicht mehr als 1,50 m vor diese Außenwand vortreten und c)     mindestens 2 m von der gegenüberliegenden Nachbargrenze entfernt bleiben. (7) In den Abstandsflächen eines Gebäudes sowie ohne eigene Abstandsflächen sind, auch wenn sie nicht an die Grundstücksgrenze oder an das Gebäude angebaut werden, zulässig: 1.      Garagen und Gebäude ohne Aufenthaltsräume und Feuerstätten mit einer mittleren Wandhöhe bis zu 3 Meter und einer Gesamtlänge je Grundstücksgrenze bis zu 9 Meter; abweichend von Absatz 4 Satz 3 bleibt die Höhe von Dächern mit einer Neigung von bis zu 45 Grad unberück- sichtigt, 2.      gebäudeunabhängige Solaranlagen mit einer Höhe bis zu 3 m und einer Gesamtlänge je Grundstücksgrenze von 9 m und 3.      Stützmauern und geschlossene Einfriedungen in Gewerbe- und Industriegebieten, außerhalb dieser Baugebiete mit einer Höhe bis zu 2 m. Die Länge der die Abstandsflächentiefe gegenüber den Grundstücksgrenzen nicht einhaltenden Be- bauung nach den Nummern 1 und 2 darf auf einem Grundstück insgesamt 15 m nicht überschreiten.
47

MUSTERBAUORDNUNG – MBO – FASSUNG NOVEMBER 2002* *ZULETZT GEÄNDERT DURCH BESCHLUSSES DER BAUMINISTERKONFERENZ VOM OKTOBER 1 2008 1 Einschl. Änderung von § 20 Satz 1 gem. Beschluss der FK Bauaufsicht vom Mai 2009 1
48

§6 Abstandsflächen, Abstände 1 (1)       Vor den Außenwänden von Gebäuden sind Abstandsflächen von oberirdi- 2 schen Gebäuden freizuhalten. Satz 1 gilt entsprechend für andere Anlagen, von de- nen Wirkungen wie von Gebäuden ausgehen, gegenüber Gebäuden und Grund- 3 stücksgrenzen. Eine Abstandsfläche ist nicht erforderlich vor Außenwänden, die an Grundstücksgrenzen errichtet werden, wenn nach planungsrechtlichen Vorschriften an die Grenze gebaut werden muss oder gebaut werden darf. 1 (2)       Abstandsflächen sowie Abstände nach § 30 Abs. 2 Nr. 1 und § 32 Abs. 2 2 müssen auf dem Grundstück selbst liegen. Sie dürfen auch auf öffentlichen Ver- kehrs-, Grün- und Wasserflächen liegen, jedoch nur bis zu deren Mitte. 3 Abstandsflächen sowie Abstände im Sinne des Satzes 1 dürfen sich ganz oder teil- weise auf andere Grundstücke erstrecken, wenn öffentlich-rechtlich gesichert ist, dass sie nicht überbaut werden; Abstandsflächen dürfen auf die auf diesen Grundstücken erforderlichen Abstandsflächen nicht angerechnet werden. (3)       Die Abstandsflächen dürfen sich nicht überdecken; dies gilt nicht für 1.        Außenwände, die in einem Winkel von mehr als 75 Grad zueinander stehen, 2.        Außenwände zu einem fremder Sicht entzogenen Gartenhof bei Wohnge- bäuden der Gebäudeklassen 1 und 2, 3.        Gebäude und andere bauliche Anlagen, die in den Abstandsflächen zulässig sind. 1 (4)       Die Tiefe der Abstandsfläche bemisst sich nach der Wandhöhe; sie wird 2 senkrecht zur Wand gemessen. Wandhöhe ist das Maß von der Geländeoberfläche bis zum Schnittpunkt der Wand mit der Dachhaut oder bis zum oberen Abschluss der 3 Wand. Die Höhe von Dächern mit einer Neigung von weniger als 70 Grad wird zu 4 einem Drittel der Wandhöhe hinzugerechnet. Andernfalls wird die Höhe des Daches 5                                                         6 voll hinzugerechnet. Die Sätze 1 bis 4 gelten für Dachaufbauten entsprechend. Das sich ergebende Maß ist H.
49

1                                                                     2 (5)      Die Tiefe der Abstandsflächen beträgt 0,4 H, mindestens 3 m. In Gewerbe- 3 und Industriegebieten genügt eine Tiefe von 0,2 H, mindestens 3 m. Vor den Au- ßenwänden von Wohngebäuden der Gebäudeklassen 1 und 2 mit nicht mehr als drei oberirdischen Geschossen genügt als Tiefe der Abstandsfläche 3 m. (6)       Bei der Bemessung der Abstandsflächen bleiben außer Betracht 1.        vor die Außenwand vortretende Bauteile wie Gesimse und Dachüberstände, 2.        Vorbauten, wenn sie a)     insgesamt nicht mehr als ein Drittel der Breite der jeweiligen Außen- wand in Anspruch nehmen, b)     nicht mehr als 1,50 m vor diese Außenwand vortreten und c)     mindestens 2 m von der gegenüberliegenden Nachbargrenze entfernt bleiben. 1 (7)      In den Abstandsflächen eines Gebäudes sowie ohne eigene Abstandsflächen sind, auch wenn sie nicht an die Grundstücksgrenze oder an das Gebäude angebaut werden, zulässig 1.        Garagen und Gebäude ohne Aufenthaltsräume und Feuerstätten mit einer mittleren Wandhöhe bis zu 3 m und einer Gesamtlänge je Grundstücksgren- ze von 9 m, 2.        gebäudeunabhängige Solaranlagen mit einer Höhe bis zu 3 m und einer Ge- samtlänge je Grundstücksgrenze von 9 m, 3.        Stützmauern und geschlossene Einfriedungen in Gewerbe- und Industriege- bieten, außerhalb dieser Baugebiete mit einer Höhe bis zu 2 m. 2 Die Länge der die Abstandsflächentiefe gegenüber den Grundstücksgrenzen nicht einhaltenden Bebauung nach Nummern 1 und 2 darf auf einem Grundstück insge- samt 15 m nicht überschreiten.
50

Zur nächsten Seite