Unterbringung von Geflüchteten und Asylsuchenden in Sachsen-Anhalt

Flüchtlingsunterbringung

/ 126
PDF herunterladen
11 erhaft aufenthaltsberechtigten Ausländern vom 1. Januar 2015 erwähnten Standards seit 1. Januar 2016 tätig werden? Bitte aufschlüsseln nach Unter- kunft, Aufsichtsbehörde und Art der Missstände. Auf die Antworten auf die Fragen Nrn. 1 und 18 wird verwiesen. Die im Jahr 2017 im Rahmen der Fachaufsicht durch das Landesverwaltungsamt durchgeführten Kontrollen waren allgemeiner Art im Hinblick auf die Einhaltung der Unterbringungsleitlinien und erfolgten nicht aufgrund von Verstößen gegen diese Empfehlungen. Frage Nr. 20 In wie vielen Fällen wurden Missstände registriert, die nicht in der Verletzung der Leitlinien, sondern anderer, allgemeingültiger Maßstäbe bestanden? Es wurden keine Fälle von derartigen Missständen registriert. Frage Nr. 21 Welche Möglichkeiten der Beschwerden gibt es für Bewohnerinnen und Be- wohner? In welcher Form wird den Beschwerden nachgegangen? Bitte nach Landkreisen/kreisfreien Städten aufschlüsseln. Die erbetenen Angaben sind der Anlage 16 zu entnehmen. Im Übrigen wird auf die Vorbemerkung der Landesregierung Bezug genommen. Frage Nr. 22 Welche Bedingungen müssen nach Sicht der Landesregierung erfüllt sein, um eine unabhängige, landesweite Beschwerdestelle in dieser Domäne zu etablie- ren? Die Landesregierung sieht derzeit keine Notwendigkeit, derartige landesweite Be- schwerdestellen einzurichten. Die Aufnahmekommunen unternehmen erhebliche Anstrengungen, um die Qualität der Unterbringung stetig zu verbessern und zu sichern. Bei der Aufgabenwahrneh- mung unterliegen die Aufnahmekommunen der Fachaufsicht durch das Land. Es fin- det eine enge Abstimmung mit dem Landesverwaltungsamt zur Sicherstellung einer menschenwürdigen Unterbringung statt. Ferner steht den Asylbegehrenden ein landesweites Netzwerk von Beratungsstellen und Migrantenselbstorganisationen außerhalb der Einrichtungen zur Verfügung, an die sich die Betroffenen jederzeit mit ihren Anliegen wenden können. Frage Nr. 23 Welche Gemeinschaftsunterkünfte wurden seit 1. Januar 2015 durch private Sicherheitsdienste überwacht und welche Kosten entstanden dadurch? Wo
11

12 und seit wann findet eine Einlasskontrolle statt? Bitte aufschlüsseln nach Landkreisen und kreisfreien Städten sowie Einrichtung. Die erbetenen Angaben sind der Anlage 17 zu entnehmen. Im Übrigen wird auf die Vorbemerkung der Landesregierung Bezug genommen. Frage Nr. 24 Welche Anforderungen müssen die privaten Sicherheitsdienste in Unterbrin- gungseinrichtungen erfüllen und wie erfolgt deren Kontrolle? Der Einsatz von Unternehmen des Bewachungsgewerbes in Unterkünften für Aus- länderinnen und Ausländer stellt hohe Anforderungen an das eingesetzte Sicher- heitspersonal. Nach § 34a Abs. 1 Satz 1 Gewerbeordnung (GewO) bedürfen Unter- nehmen des Bewachungsgewerbes der Erlaubnis. Diese ist gemäß § 34a Abs. 1 Satz 3 Nr. 1 GewO insbesondere zu versagen, wenn Tatsachen die Annahme recht- fertigen, dass der Gewerbetreibende nicht die erforderliche Zuverlässigkeit besitzt. Der Gewerbetreibende darf gemäß § 34a Abs. 1 Satz 5 GewO mit der Durchführung von Bewachungsaufgaben nur Personen betrauen, die nach § 34a Abs. 1 Satz 3 Nr. 1 GewO zuverlässig sind und gemäß § 34a Abs. 1 Satz 3 Nr. 3 GewO durch eine Bescheinigung der Industrie- und Handelskammer nachweisen, dass sie über die für die Ausübung des Gewerbes notwendigen rechtlichen Vorschriften unterrichtet wur- den und mit ihnen vertraut sind. Der Gewerbetreibende hat die Wachpersonen, de- ren Beschäftigung er beabsichtigt, der zuständigen Gewerbeaufsichtsbehörde ge- mäß § 9 Abs. 3 Bewachungsverordnung (BewachV) vorher zu melden. Zur Überprü- fung holt die zuständige Gewerbeaufsichtsbehörde gemäß § 9 Abs. 1 Satz 2 Be- wachV für jede einzelne Wachperson eine unbeschränkte Auskunft nach § 41 Abs. 1 Nr. 9 des Bundeszentralregistergesetzes ein. Für die Zuverlässigkeit und Qualifikati- on des Sicherheitspersonals sowie für eine Sicherheitsüberprüfung dieses Personals gibt es über die gewerberechtlichen Regelungen hinaus derzeit keine weiteren recht- lich verbindlichen Anforderungen. Daher wurden durch Erlass des Ministeriums für Inneres und Sport vom 22. Oktober 2015 Empfehlungen und Hinweise für die Beauftragung und den Einsatz des Bewa- chungsgewerbes (Sicherheitsunternehmen) in Unterkünften für Ausländerinnen und Ausländer nach § 1 AufnG gegeben, u. a. zur Einhaltung der gewerberechtlichen Vo- raussetzungen, zur zusätzlichen Unbedenklichkeitsprüfung, zu den Qualitätskriterien für die Ausschreibung und Vergabe von Sicherheitsdienstleistungen, zur Qualifikation des Sicherheitspersonals sowie zum Einsatz von Subunternehmen. Die Angaben der Landkreise und kreisfreien Städte sind der Anlage 18 zu entneh- men. Im Übrigen wird auf die Vorbemerkung der Landesregierung Bezug genom- men. Frage Nr. 25 In welchen Einrichtungen werden optische und/oder akustische oder sonstige technische Überwachungsmaßnahmen eingesetzt? Wer wertet die so gewon- nenen Daten aus? Wie lange werden die Daten gespeichert? Bitte je Einrich- tung nach Art der Maßnahme aufschlüsseln.
12

13 Die erbetenen Angaben sind der Anlage 19 zu entnehmen. Im Übrigen wird auf die Vorbemerkung der Landesregierung Bezug genommen. Frage Nr. 26 Wie viele Sozialarbeiterinnen und Sozialarbeiter sind in den einzelnen Gemein- schaftsunterkünften des Landes jeweils vorgesehen und wie viele Stellen sind derzeit tatsächlich besetzt? Über welche Qualifikationen (Fachrichtung) und welche Sprachkenntnisse verfügen sie? Bitte aufschlüsseln nach Sprache und Niveau (Muttersprache, fließend, Grundkenntnisse) sowie Fachrichtung (mit/ohne entsprechendem Abschluss). Die erbetenen Angaben sind der Anlage 20 zu entnehmen. Im Übrigen wird auf die Vorbemerkung der Landesregierung Bezug genommen. Frage Nr. 27 Wie erfolgt die soziale Betreuung von nicht dauerhaft aufenthaltsberechtigten Ausländern in dezentraler Wohnungsunterbringung? Wie viele Sozialarbeite- rinnen und Sozialarbeiter waren im Zeitraum 2016 bis heute in welchen Land- kreisen und kreisfreien Städten im Einsatz? Welche qualitativen und quantitati- ven Vorgaben gelten für sie? Zu Teilfrage 1: Die Landkreise und kreisfreien Städte setzen für die soziale Betreuung von nicht dauerhaft aufenthaltsberechtigten Ausländern in dezentraler Wohnungsunterbrin- gung eigenes Personal ein. Daneben erfolgt die soziale Bereuung durch die Stellen der gesonderten Beratung und Betreuung. Teilweise kommen auch ehrenamtlich Tä- tige zum Einsatz. Zu Teilfrage 2: Der Anlage 21 sind Angaben zu den eingesetzten Beschäftigten der Landkreise und kreisfreien Städte zu entnehmen. Im Übrigen wird auf die Vorbemerkung der Landes- regierung Bezug genommen. Zu Teilfrage 3: Eine hinreichende Qualifikation für die Durchführung der gesonderten Beratung und Betreuung haben Sozialarbeiterinnen und Sozialarbeiter mit staatlicher Anerkennung sowie Sozialpädagoginnen und Sozialpädagogen oder Personen mit gleichwertiger Ausbildung. Personen, die diesen beruflichen Qualifikationen nicht entsprechen, können als Beratungs- und Betreuungskraft eingesetzt werden, wenn sie bereits mindestens fünf Jahre in einem hauptamtlichen Beschäftigungsverhältnis einer Stelle der gesonderten Beratung und Betreuung, der Migrationserstberatung des Bundes oder des Jugendmigrationsdienstes tätig waren, die letzte hauptamtliche Beschäfti- gung nicht länger als drei Jahre zurückliegt und sie sich verpflichten, sich in geeigne- ter Weise aus-, fort- und weiterzubilden.
13

14 Frage Nr. 28 Auf welche Dauer sind Betreiberverträge der Gemeinschaftsunterkünfte grund- sätzlich angelegt? Wann werden die Verträge verlängert bzw. neu ausge- schrieben? Bitte nach Unterbringungsform und Landkreisen/kreisfreien Städ- ten auflisten. Betreiberverträge werden nur für Gemeinschaftsunterkünfte ausgeschrieben. Die erbetenen Angaben sind der Anlage 22 zu entnehmen. Im Übrigen wird auf die Vorbemerkung der Landesregierung Bezug genommen. Frage Nr. 29 In welchen Einrichtungen existieren aktuell Heimbeiräte und wie sind diese er- reichbar bzw. wer fungiert als Ansprechpartner? Ist die Gründung von weiteren Heimbeiräten beabsichtigt bzw. in Vorbereitung? Wo verfügen die Heimbeiräte über welche Infrastruktur (Büroraum, Computer, Internetanschluss)? Was sind die Ursachen für ggf. nicht vorhandene Heimbeiräte? Bitte nach Gemein- schaftsunterkünften sowie Landkreisen/kreisfreien Städten auflisten. Die erbetenen Angaben sind der Anlage 23 zu entnehmen. Im Übrigen wird auf die Vorbemerkung der Landesregierung Bezug genommen. Frage Nr. 30 Welche anderen Formen der demokratischen Teilhabe und Mitbestimmung gibt es in den Unterkünften? Bitte aufschlüsseln nach Landkreisen/kreisfreien Städ- ten, Unterkunft und Art der Mitgestaltungsmöglichkeiten. Die erbetenen Angaben sind der Anlage 24 zu entnehmen. Im Übrigen wird auf die Vorbemerkung der Landesregierung Bezug genommen. Frage Nr. 31 Welche Betriebskosten entstanden im Jahr 2016 und im I. Quartal 2017 für die als Unterkünfte genutzten Immobilien? Bitte aufschlüsseln nach Landkrei- sen/kreisfreien Städten sowie je nach Unterbringungsform und dazu gehörigen Wohngebäuden. Die erbetenen Angaben sind den Anlagen 25a (Gemeinschaftsunterkünfte) und 25b (Wohnungen) zu entnehmen. Im Übrigen wird auf die Vorbemerkung der Landesre- gierung Bezug genommen. Frage Nr. 32 In welchen Landkreisen und kreisfreien Städten finden welche Unterstützungs- angebote statt? Bitte unterscheiden zwischen Angebotsform (Sprachkurs, Be- ratung, usw.), Träger, Häufigkeit und Umfang, ehrenamtlich oder hauptamtlich organisiert, Finanzierungsart, Zugangsvoraussetzungen.
14

15 Die erbetenen Angaben sind der Anlage 26 zu entnehmen. Im Übrigen wird auf die Vorbemerkung der Landesregierung Bezug genommen. Frage Nr. 33 In welchen Unterkünften sind Gebetsräume vorhanden und zu welchen Zeiten können diese genutzt werden? Bitte nach Landkreisen/kreisfreien Städten und nach Unterbringungsform auflisten. Die erbetenen Angaben sind der Anlage 27 zu entnehmen. Im Übrigen wird auf die Vorbemerkung der Landesregierung und die Antwort auf Frage Nr. 1 Bezug genom- men. Frage Nr. 34 In welchen Unterkünften wird ein Internetzugang angeboten und wie erfolgt die Umsetzung (Rechner-Arbeitsplätze, WLAN-Hotspots etc.)? Wer sind die jewei- ligen technischen Provider, welche Kosten entstehen für die Betreiber sowie für die Nutzer und wie erfolgt die Abrechnung? Bitte nach Landkrei- sen/kreisfreien Städten und Unterbringungsform auflisten. Die erbetenen Angaben sind den Anlagen 28a (Gemeinschaftsunterkünfte) und 28b (Wohnungen) zu entnehmen. Im Übrigen wird auf die Vorbemerkung der Landesre- gierung und die Antwort auf Frage Nr. 1 Bezug genommen. Frage Nr. 35 Welche Unterkünfte verfügen über ein Konzept zum Gewaltschutz der Bewoh- ner*innen bzw. von besonders schutzbedürftigen Personen? Wie sehen diese Konzepte aus und wie werden sie umgesetzt? Die erbetenen Angaben sind der Anlage 29 zu entnehmen. Im Übrigen wird auf die Vorbemerkung der Landesregierung und die Antwort auf Frage Nr. 1 Bezug genom- men. Frage Nr. 36 Welche Planungen bestehen zur Einführung von Gewaltschutzkonzepten für besonders schutzbedürftige Geflüchtete in den Unterkünften? Die erbetenen Angaben sind der Anlage 29 zu entnehmen. Im Übrigen wird auf die Vorbemerkung der Landesregierung und die Antwort auf Frage Nr. 1 Bezug genom- men.
15

Anlage 1 Beantwortung Frage 2 der Großen Anfrage 7/1200 vom 03.04.2017 Beantwortung Frage 2a)                                                                                  Beantwortung Fragen 2b) und 2c) Gemeinschaftsunterkunft in           Kapazität     Belegung                   Betreiber                             Wohnungen in                K*      Anzahl       Belegung             Betreiber/Vermieter Landkreis/                               (Adresse)                    (Plätze)     (Anzahl                                                             (Adresse)               P*                    (Anzahl kreisfreie Stadt                                                                  Personen)                                                                                                         Personen) (jeweils zum Stand 05.04.2017)                                                                              (jeweils zum Stand 05.04.2017) Schillerstraße 49                                                                                                                                        K        89            262 105           84      Altmarkkreis Salzwedel               Salzwedel                                                                     Altmarkkreis Salzwedel 29410 Salzwedel                                                                                                                                          P        38            112 Lüneburger Straße 67                                                                                                                                     K        46            174 163          163      Altmarkkreis Salzwedel               Gardelegen 29410 Salzwedel                                                                                                                                          P         1              2 Altmarkkreis Salzwedel Klötze                                       K         4             22 k. A. Kalbe (Milde)                                K        16             60 Kuhfelde                                     K         7             23 Zum Erdbeergrund 1 65             62 06774 Muldestausee OT Friedersdorf Anhalt-Bitterfeld                                  Im Landkreis gibt es keine Gemeinschaftsunterkünfte.                            Magdeburger Straße 12                      k. A.                                              k. A. 20              7 06366 Köthen dezentrale Unterbringung in Wohnungen                2.211         1.227 Hafenstraße 8 180          121      campanet GmbH, Freiburg              Haldensleben                                 K        34            104 39340 Haldensleben An der Autobahn 30 515          349      BSI GmbH & Co KG                     Haldensleben                                 P         6             21 39365 Harbke Magdeburger Straße 34 / Am Pfefferbach 9                               Malteser Hilfsdienst gGmbH, Hermann- 198           73                                           Oschersleben                                 K        56            137 39387 Oschersleben                                                     Hesse-Straße 1a, 39118 Magdeburg Gardelegener Straße 20 200          109      BSI GmbH & Co KG                     Oschersleben                                 P         3              9 39356 Weferlingen Bucher Weg 8                                                           Thea Wünsch 180           4                                            Wolmirstedt                                  K        20             24 39164 Wanzleben                                                        Herr Bulut Bertingen                                    K         3              0 Calvörde                                     K         4              5 Eilsleben                                    K         5             10 Groß Santersleben                            K         1              7 Gutenswegen                                  K         4              4 Börde                                                                                                                              Hadmersleben                                 K         1              2                       k. A. Harbke                                       K         9             11 Hermsdorf                                    K         2              6 Klein Oschersleben                           K         3              8 Loitsche                                     K         2              3 Meitzendorf                                  K         1              4 Neindorf                                     K        26             20 Nordgermersleben                             K         2              3 Oebisfelde                                   K         1              3 Wanzleben                                    K         8             16 Weferlingen                                  K         1              0 Wulferstedt                                  K         6              8 Seite 1 von 14
16

Anlage 1 Beantwortung Frage 2 der Großen Anfrage 7/1200 vom 03.04.2017 Beantwortung Frage 2a)                                                                      Beantwortung Fragen 2b) und 2c) Gemeinschaftsunterkunft in              Kapazität       Belegung                  Betreiber                   Wohnungen in             K*      Anzahl       Belegung             Betreiber/Vermieter Landkreis/                        (Adresse)                       (Plätze)       (Anzahl                                                 (Adresse)             P*                    (Anzahl kreisfreie Stadt                                                               Personen)                                                                                            Personen) (jeweils zum Stand 05.04.2017)                                                                  (jeweils zum Stand 05.04.2017) Zielitz                                    P          1              1 Albrechtstraße 39                                                                                  Donaliesstraße15 200            46     Burgenlandkreis                                                      K          5             19 06712 Zeitz                                                                                        06712 Zeitz Burgweg 13H                                                                                        Kramerplatz 7-9 60            49     Burgenlandkreis                                                      K          9             40 06648 Eckartsberga                                                                                 06618 Naumburg Sankt Barbara Straße 2                                                                             Südring 134-130 56            47     Burgenlandkreis                                                      K         75             96 06679 Hohenmölsen                                                                                  06667 Weißenfels Talstraße, Roßbacher Straße 12                                                                     Zeitzer Straße 45-49 230             0     Burgenlandkreis                                                      K         13             21 06618 Naumburg                                                                                     06667 Weißenfels Burgstraße 20                                                                                      Brühl 1 59             0     Burgenlandkreis                                                      K         80             77 06628 Bad Kösen                                                                                    06712 Zeitz Merseburger Straße 41                                                                              Karl-Liebknecht Straße 3-3b 68            54     Burgenlandkreis                                                      K         12             59 06667 Weißenfels                                                                                   06642 Nebra Friedensstraße 17, Gartenstraße 4-7, Am Park 4, Poststraße 4                    K         11             47 06638 Karsdorf Weißenfelser Str. 59/61, Burgenlandkreis                                                                                                                                                                                                 k. A. Fr.-Julius-Hoeltz-Straße 10-24             K         58            178 06618 Naumburg K         14             36 K         41            103 K         67            192 K          7             29 k. A. P         38             76 P         17             30 P         21             53 P          3              8 Ackerstraße 7                              K          1              2 Am Alten Theater 2                         K          4             21 Am Alten Theater 2                         P          2              5 Am Alten Theater 4                         K          2              8 Am Plattenwerk 1                           K          2              5 Am Plattenwerk 3                           K          1              2 Am Plattenwerk 5                           K          1              3 Dessau-Roßlau                            In der kreisfreien Stadt gibt es keine Gemeinschaftsunterkünfte.                                                                                        Stadt Dessau-Roßlau Am Plattenwerk 18                          K          1              4 Am Pollingpark 30                          K          1              1 Am Pollingpark 34                          K          1              1 Am Pollingpark 38                          K          1              3 Am Pollingpark 38                          P          1              4 Seite 2 von 14
17

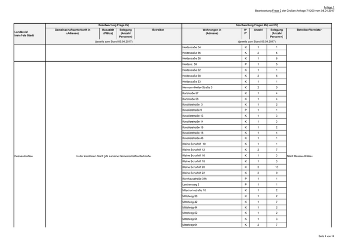
Anlage 1 Beantwortung Frage 2 der Großen Anfrage 7/1200 vom 03.04.2017 Beantwortung Frage 2a)                                                                Beantwortung Fragen 2b) und 2c) Gemeinschaftsunterkunft in            Kapazität       Belegung                  Betreiber                  Wohnungen in        K*      Anzahl       Belegung             Betreiber/Vermieter Landkreis/              (Adresse)                        (Plätze)       (Anzahl                                                (Adresse)        P*                    (Anzahl kreisfreie Stadt                                                      Personen)                                                                                      Personen) (jeweils zum Stand 05.04.2017)                                                            (jeweils zum Stand 05.04.2017) Am Pollingpark 40                    K          1              3 Antoninettenstraße 12                K          1              1 Antoninettenstraße 14                K          2              2 Askanische Straße 12                 K          2              9 Askanische Straße 79                 K          2              3 Askanische Straße 87                 K          2              5 Augustenstraße 26                    K          1              3 Augustenstraße 96                    K          2              4 Bauhofstraße 1                       P          1              4 Bernhard-Heese-Straße 2              K          2              3 Bernhard-Heese-Straße                K          2              5 Ferdinand-von-Schill-Straße 2        K          1              1 Ferdinand-von-Schill-Straße 19       K          2              6 Ferdinand-von-Schill-Straße 20       K          5             19 Ferdinand-von-Schill-Straße 38       K          1              4 Flössergasse 8                       K          1              3 Flössergasse 14                      K          1              5 Flössergasse 48                      K          1              3 Dessau-Roßlau                   In der kreisfreien Stadt gibt es keine Gemeinschaftsunterkünfte.           Flössergasse 50                      K          1              2       Stadt Dessau-Roßlau Flössergasse 52                      K          1              3 Franzstraße 94                       P          1              1 Franzstraße 147                      K          3             13 Franzstraße 160                      K          1              5 Franzstraße 162                      K          1              4 Friederikenstraße 8                  K          1              2 Friederikenstraße 16                 K          2              6 Friederikenstraße 30                 K          1              2 Friederikenstraße 32                 K          1              1 Friederikenstraße 48                 K          1              2 Fritz-Hesse-Straße 16                P          1              2 Heidestraße 50                       K          2              5 Heidestraße 52                       K          2              5 Seite 3 von 14
18

Anlage 1 Beantwortung Frage 2 der Großen Anfrage 7/1200 vom 03.04.2017 Beantwortung Frage 2a)                                                                 Beantwortung Fragen 2b) und 2c) Gemeinschaftsunterkunft in            Kapazität       Belegung                  Betreiber                    Wohnungen in       K*      Anzahl       Belegung             Betreiber/Vermieter Landkreis/              (Adresse)                        (Plätze)       (Anzahl                                                 (Adresse)        P*                    (Anzahl kreisfreie Stadt                                                      Personen)                                                                                       Personen) (jeweils zum Stand 05.04.2017)                                                             (jeweils zum Stand 05.04.2017) Heidestraße 54                        K          1              1 Heidestraße 56                        K          2              5 Heidestraße 58                        K          1              6 Heidestr. 58                          P          1              5 Heidestraße 62                        K          1              1 Heidestraße 68                        K          2              5 Heidestraße 33                        K          1              1 Hermann-Heller-Straße 3               K          2              5 Karlstraße 57                         K          1              4 Karlstraße 58                         K          1              4 Kavalierstraße 3                      K          1              2 Kavalierstraße 9                      P          1              1 Kavalierstraße 13                     K          1              3 Kavalierstraße 14                     K          1              3 Kavalierstraße 16                     K          1              2 Kavalierstraße 18                     K          1              4 Kavalierstraße 46                     K          1              1 Kleine Schaftrift 10                  K          1              1 Kleine Schaftrift 12                  K          2              7 Dessau-Roßlau                   In der kreisfreien Stadt gibt es keine Gemeinschaftsunterkünfte.           Kleine Schaftrift 16                  K          1              3       Stadt Dessau-Roßlau Kleine Schaftrift 18                  K          1              3 Kleine Schaftrift 20                  K          2             10 Kleine Schaftrift 22                  K          2              9 Kornhausstraße 31h                    P          1              1 Lerchenweg 2                          P          1              1 Mitschurinstraße 10                   K          1              2 Mittelweg 38                          K          1              2 Mittelweg 42                          K          1              7 Mittelweg 44                          K          1              2 Mittelweg 52                          K          1              2 Mittelweg 54                          K          1              3 Mittelweg 64                          K          2              7 Seite 4 von 14
19

Anlage 1 Beantwortung Frage 2 der Großen Anfrage 7/1200 vom 03.04.2017 Beantwortung Frage 2a)                                                                        Beantwortung Fragen 2b) und 2c) Gemeinschaftsunterkunft in               Kapazität       Belegung                  Betreiber                    Wohnungen in              K*      Anzahl       Belegung             Betreiber/Vermieter Landkreis/                         (Adresse)                       (Plätze)       (Anzahl                                                 (Adresse)               P*                    (Anzahl kreisfreie Stadt                                                                Personen)                                                                                              Personen) (jeweils zum Stand 05.04.2017)                                                                    (jeweils zum Stand 05.04.2017) Poetschstraße 31                           P           1             1 Prof-R.-Paulick-Ring 7                     K          1              5 Puschkinallee 14                           K          1              1 Schloßplatz 1                              K           4            18 Schloßplatz 1                              P           2             6 Schloßplatz 2                              P           2             5 Schloßplatz 2                              K           3            18 Schloßstraße 2                             K           1             5 Waschkestraße 10                           K           1             2 W.-Seelenbinder-Ring 22                    K          2              4 W.-Seelenbinder-Ring 24                    K          1              5 W.-Seelenbinder-Ring 46                    K          1              3 W.-Seelenbinder-Ring 48                    K          1              5 Dessau-Roßlau                             In der kreisfreien Stadt gibt es keine Gemeinschaftsunterkünfte.                                                                                          Stadt Dessau-Roßlau W.-Seelenbinder-Ring 66                    K          1              3 W.-Seelenbinder-Ring 68                    K          2              4 W.-Seelenbinder-Ring 70                    K          1              4 W.-Seelenbinder-Ring 72                    K          2             10 Willy-Lohmann-Straße 12                    K          1              3 Willy-Lohmann-Straße 12c                   K          1              3 Willy-Lohmann-Straße 14a                   K          1              3 Willy-Lohmann-Straße 14b                   K          1              2 Willy-Lohmann-Straße 14c                   K          1              2 Ernst-Kamieth-Straße 3 90            40     Wohnheimbetrieb S. Hönig    Volkmannstraße 16/17                       K         22              8 06112 Halle (Saale) Ludwig-Wucherer-Str. 40 112            75     Wohnheimbetrieb J. F. Hönig W.-Borchert-Straße 21-27                   K         46             38 06108 Halle (Saale) Halle (Saale)                                                                                                                                                                                                      k. A. An der Magistrale 71/73                    K          80            71 Landsberger Straße 65                      K          26            28 Integrationswohnungen im Stadtgebiet       K         731           489 Oberbecken 1 70            82     Frau Katja Apel             Thale                                      K          5              7       Wohnungsgesellschaft mbH Thale 06502 Thale OT Wendefurth Wohnungsgenossenschaft e.G. Hasselfelder Str. 5 50            50     Frau Andrea Kühnold         Osterwieck                                 K         12             34       Osterwieck/Wohnungsgesellschaft 38889 Oberharz am Brocken OT Rübeland Osterwieck mbH Wohnungswirtschaftsgesellschaft Quedlinburg                                K          2             12 mbH Quedlinburg Halberstädter Wohnungsgesellschaft Harz                                                                                                                   Halberstadt                                K         30             83       mbH/ Schöner wohnen in Halberstadt GmbH Seite 5 von 14
20

Zur nächsten Seite