Nitratbelastungen des Grundwassers und der Gewässer - 2

/ 28
PDF herunterladen
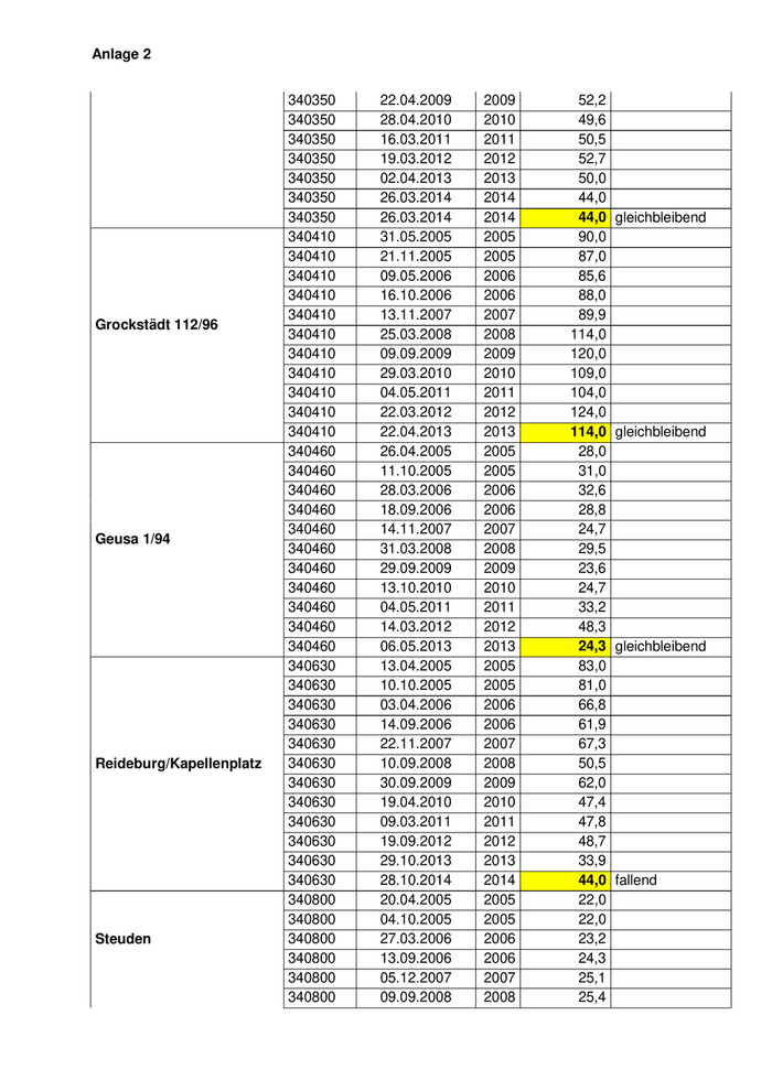
Anlage 2 340350 22.04.2009 2009  52,2 340350 28.04.2010 2010  49,6 340350 16.03.2011 2011  50,5 340350 19.03.2012 2012  52,7 340350 02.04.2013 2013  50,0 340350 26.03.2014 2014  44,0 340350 26.03.2014 2014  44,0 gleichbleibend 340410 31.05.2005 2005  90,0 340410 21.11.2005 2005  87,0 340410 09.05.2006 2006  85,6 340410 16.10.2006 2006  88,0 340410 13.11.2007 2007  89,9 Grockstädt 112/96 340410 25.03.2008 2008 114,0 340410 09.09.2009 2009 120,0 340410 29.03.2010 2010 109,0 340410 04.05.2011 2011 104,0 340410 22.03.2012 2012 124,0 340410 22.04.2013 2013 114,0 gleichbleibend 340460 26.04.2005 2005  28,0 340460 11.10.2005 2005  31,0 340460 28.03.2006 2006  32,6 340460 18.09.2006 2006  28,8 340460 14.11.2007 2007  24,7 Geusa 1/94 340460 31.03.2008 2008  29,5 340460 29.09.2009 2009  23,6 340460 13.10.2010 2010  24,7 340460 04.05.2011 2011  33,2 340460 14.03.2012 2012  48,3 340460 06.05.2013 2013  24,3 gleichbleibend 340630 13.04.2005 2005  83,0 340630 10.10.2005 2005  81,0 340630 03.04.2006 2006  66,8 340630 14.09.2006 2006  61,9 340630 22.11.2007 2007  67,3 Reideburg/Kapellenplatz 340630 10.09.2008 2008  50,5 340630 30.09.2009 2009  62,0 340630 19.04.2010 2010  47,4 340630 09.03.2011 2011  47,8 340630 19.09.2012 2012  48,7 340630 29.10.2013 2013  33,9 340630 28.10.2014 2014  44,0 fallend 340800 20.04.2005 2005  22,0 340800 04.10.2005 2005  22,0 Steuden                 340800 27.03.2006 2006  23,2 340800 13.09.2006 2006  24,3 340800 05.12.2007 2007  25,1 340800 09.09.2008 2008  25,4
11

Anlage 2 340800 07.10.2009 2009  25,7 340800 07.04.2010 2010  37,2 340800 28.03.2011 2011  36,7 340800 06.06.2012 2012  40,0 340800 27.11.2012 2012  50,9 340800 16.09.2013 2013  62,4 340800 03.04.2014 2014  62,0 340800 03.04.2014 2014  62,0 steigend 440001 15.06.2005 2005 140,0 440001 16.11.2005 2005 170,0 440001 03.04.2006 2006 173,0 440001 01.11.2006 2006 217,0 440001 27.11.2007 2007 208,0 Ellersell - Güte 440001 21.10.2008 2008 196,0 440001 03.06.2009 2009 193,0 440001 14.09.2010 2010 168,0 440001 10.05.2011 2011 197,0 440001 12.06.2012 2012 210,0 440001 03.04.2013 2013 187,0 gleichbleibend 440006 30.05.2005 2005  22,0 440006 21.11.2005 2005  24,0 440006 20.02.2006 2006  19,9 440006 12.09.2006 2006  27,9 440006 13.12.2007 2007  36,1 Schönebeck-Güte      440006 22.09.2008 2008  33,7 440006 06.05.2009 2009  32,8 440006 05.07.2010 2010  46,5 440006 20.10.2010 2010  44,7 440006 05.07.2011 2011  23,6 440006 26.09.2012 2012  20,9 440006 21.10.2013 2013  20,0 fallend 440010 23.05.2005 2005  49,0 440010 22.11.2005 2005  40,0 440010 21.03.2006 2006  44,2 440010 25.09.2006 2006  39,8 440010 10.10.2007 2007  35,5 Quadendambeck - Güte 440010 18.06.2008 2008  25,1 440010 04.05.2009 2009  30,3 440010 13.10.2010 2010  21,6 440010 06.07.2011 2011  23,9 440010 15.11.2012 2012  23,2 440010 05.11.2013 2013  39,7 gleichbleibend 440012 08.06.2005 2005 180,0 440012 10.10.2005 2005 180,0 Pietzpuhl - Güte 440012 06.03.2006 2006 199,0 440012 04.10.2006 2006 199,0 440012 27.11.2007 2007 216,0
12

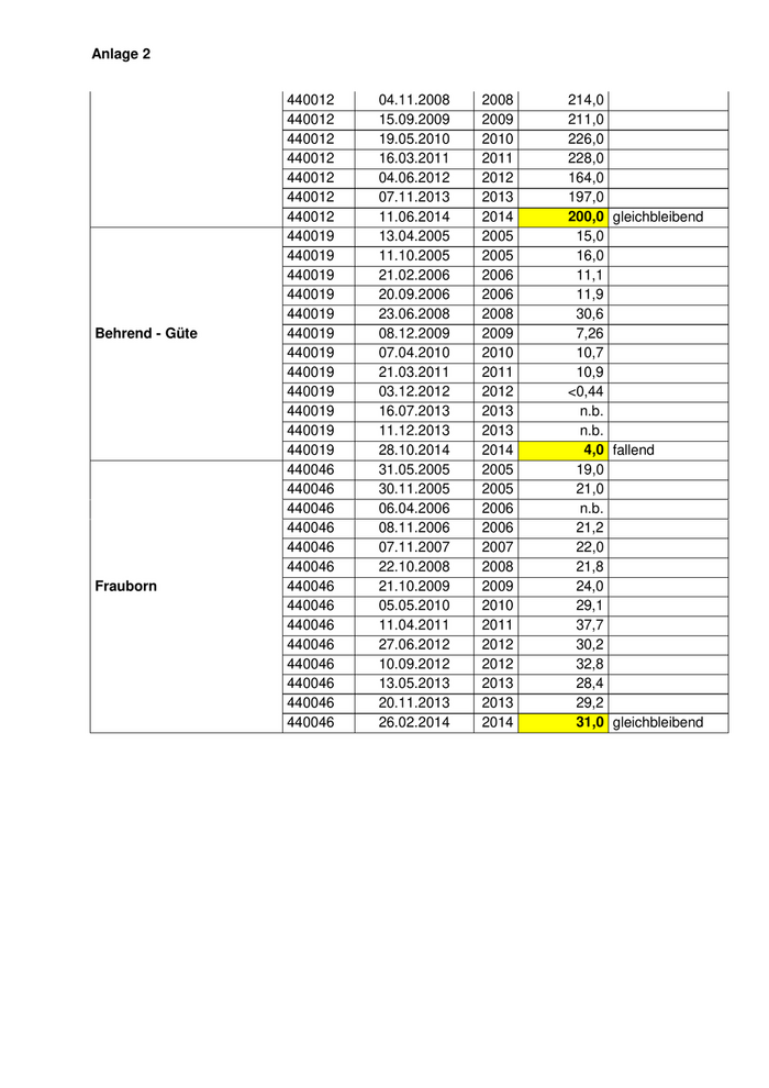
Anlage 2 440012 04.11.2008 2008 214,0 440012 15.09.2009 2009 211,0 440012 19.05.2010 2010 226,0 440012 16.03.2011 2011 228,0 440012 04.06.2012 2012 164,0 440012 07.11.2013 2013 197,0 440012 11.06.2014 2014 200,0 gleichbleibend 440019 13.04.2005 2005  15,0 440019 11.10.2005 2005  16,0 440019 21.02.2006 2006  11,1 440019 20.09.2006 2006  11,9 440019 23.06.2008 2008  30,6 Behrend - Güte 440019 08.12.2009 2009  7,26 440019 07.04.2010 2010  10,7 440019 21.03.2011 2011  10,9 440019 03.12.2012 2012 <0,44 440019 16.07.2013 2013  n.b. 440019 11.12.2013 2013  n.b. 440019 28.10.2014 2014   4,0 fallend 440046 31.05.2005 2005  19,0 440046 30.11.2005 2005  21,0 440046 06.04.2006 2006  n.b. 440046 08.11.2006 2006  21,2 440046 07.11.2007 2007  22,0 440046 22.10.2008 2008  21,8 Frauborn       440046 21.10.2009 2009  24,0 440046 05.05.2010 2010  29,1 440046 11.04.2011 2011  37,7 440046 27.06.2012 2012  30,2 440046 10.09.2012 2012  32,8 440046 13.05.2013 2013  28,4 440046 20.11.2013 2013  29,2 440046 26.02.2014 2014  31,0 gleichbleibend
13

Anlage 3 Mest.-                                                  Bedeckung Messstelle    Landkreis           erfasster GWL           Petrographie Nr.                                                   (Schichtung) Dambeck                     445062  Pleistozän      Mittelsand                  nein Altmark- Pleistozän, Rappin (2010)    kreis      445171                  S, Mittelsand               nein Saale Salzwedel Pleistozän,     S2n-iE (Warthe-Stadium), südlich Jübar               445163                                              nein Saale           Mittelsand, gs 246401                  gQE1, Fein- bis Mittelkies, ja, 1,4 m Lösslehm, Edderitz                            Pleistozän 9                       gs                          4,1 m GM 244401  Pleistozän, Gossa                                               Kies, Grobsand              nein 3       Elster 246100  Pleistozän,                                 ja sehr gering, 4 m Klein-Wülknitz                                      fQS1v, Mittelsand, gs 5       Saale                                       GM 246402  Pleistozän, Libbesdorf                                          Mittelsand, gs              nein 2       Saale 246401  Pleistozän,                                 ja sehr gering, 0,5 Osternienburg                                       S1v-S1n, Feinkies, mg 7       Saale                                       m GM 246402  Pleistozän/Saal Quellendorf                                         E2n-S1v, Feinkies, mg       nein Anhalt-    1       e/Elster Bitterfeld 242402  Pleistozän,                                 ja sehr gering, 0,3 Quetzdölsdorf                                       S1n-S2v, Mittelsand, fs 0       Saale                                       m Löss 246401  Pleistozän, Reinsdorf 01/06                                     S1v, Mittelkies, fg         ja, 2,6 m GM 5       Saale 252310 Salzfurtkapelle                     Pleistozän      Mittelsand, Mittelkies      nein 3 242401 Thalheim                            Pleistozän      Mittelsand, gs              nein 7 241401                                              ja sehr gering, 0,3 Wörbzig                             Pleistozän      Mittelsand, gs 2                                                   m Schluff S/(S2n-S3v-Ho/S1n-S2v), 246402  Pleistozän, Wulfen                                              Steine, kiesig, Mittelkies, ja, 2,5 m GM 0       Saale fg Barneberg                                                                       ja, 8,7 m 445176  Pleistozän      Qs, Sand, Feinkies, mg (2010)                                                                          Geschiebemergel Bhf. Loitsche 445020  Pleistozän      Grobsand, kiesig            nein (neu) ku/mo2, WL Feinsand- Eimersleben                         Keuper/Musche 445145                  stein, Schluffstein,        ja, 0,6 m Lösslehm (Erxleben)                          lkalk Kalkstein, klüftig Ellersell - Güte            440001  Pleistozän      Grobsand bis Feinkies, ms   nein Mittelsand, gs, Feinsand, Heinrichsberg               445092  Pleistozän                                  nein schluffig Hornhausen BR                                       Niederterrasse, Mittelsand, ja sehr gering, 1,5 445066  Pleistozän 2a                                                  gs, fs                      m Schluff Börde                              Sandstein, Kalkstein, unterer Klinze                      445166                  plattig bis dünnplattig,    0,8 m Löss Buntsandstein marin Mammendorf / Eichenbarleben              445059  Rotliegendes    Porphyrit                   ja, 4,3 m Löß / 5/03L Mittelsand, gs, Schluff, Meitzendorf                 445019  Pleistozän                                  ja, 3,9 m Schluff tonig fluviatiler Oschersleben                                                                    ja sehr gering, 0,8 445054  Pleistozän      weichselkaltzeitlicher BR 1a                                                                           m Schluff Mittelsand, fg Übergang Hauptmuschel- Salzquell                           unterer 445087                  kalk + Anhydrit-Folge, WL   Quellaustritt Remkersleben                        Muschelkalk Kalkstein, Mergelstein Sauerbach-       Börde                              Schluffstein, Sandstein, 445088  oberer Keuper                               Quellaustritt quelle                                              Kalkstein, Dolomit
14

Anlage 3 Siegersleben -                    mittlerer 440042                Sandstein, Schluffstein     ja, 32 m GM Güte                              Keuper T3-3, Sandstein, fein - Ummendorf                  445124 oberer Keuper                              nein mittelkörnig, kompakt Uthmöden                   445017 Pleistozän     Feinsand                    nein Wedringen                                                                    ja, 2,7 m Schluff, 445021 Tertiär        Grünsand Kanal Süd                                                                    0,4m Ton TWL, Wellenkalk Folge, unterer Amosequelle                345275                Mergelstein mit             Quellaustritt Muschelkalk Kalksteinbänken Bärenplatz-                       mittlerer      TSI-THd des TB2, Solling- 345280                                            Quellaustritt quelle                            Buntsandstein  Hardegsen-Folge, Sdst. unterer                                    ja sehr gering, 1,9 Baumersroda                341013                Kalkstein Muschelkalk                                m Lösslehm oberer Freyburg/Mühle             341105                Tonstein, fest              ja, Tonstein Buntsandstein Knittelholz-                      unterer 345305                TB1                         Quellaustritt quelle                            Buntsandstein ja sehr gering, 2,1 m GL , 1,2 m TNh (Nordhausenfolge), unterer                                    Schluff Kretzschau                 341325                WL Schluffstein, Tonstein, Burgen-          Buntsandstein                              (Verwitterungshoriz Kalkstein (Rogenstein) landkreis                                                   ont), WL Tonstein, Schluffstein oberer Lochquelle                 345315                Kalkstein, Mergelstein      Quellaustritt Muschelkalk ja, 1,9 m Schluff, unterer        TBb (Bernburg-Folge),       1,4 m Schluff Memleben 1/02              340955 Buntsandstein  Schluffstein, Feinsandstein (Verwitterungszone ), Schluffstein gfQW (weichselkalt- Pleistozän, Nebra 1/02                 340953                zeitliche NT), Mittelsand,  ja, 7 m Auelehm Weichsel Grobsand, Feinsand Städteborn                        mittlerer 345350                Dolomitischer Mergelstein   Quellaustritt Mallendorf                        Keuper Tromsdorf/Herr ja, 23 m Ton/ engosserstedt              340952 unterer Keuper Sust., Tst., Gips Schluff 1/02 Eckernberg-                                      Campan-Santon Sand- Harz      445090 Oberkreide                                 Quellaustritt quelle                                           stein, Mergelstein 249401 Pleistozän,    S/(S2n-S3v-Ho/S1n-S2v),     ja, 2,2 m Schluff, 4 Loburg 0      Saale          Mittelsand, gs              m GM Jeri-     249480 Nielebock                         Pleistozän     Mittelsand, gs, fs          nein chower    2 Land      249480 Paplitz OP                        Pleistozän     Mittel- bis Grobsand        nein 4 Pleistozän, Pietzpuhl - Güte           440012                Mittelsand                  ja, 6 m Lehm Saale MD- Magde- Blumenbergerst             445013 Pleistozän     Mittelsand                  nein burg r. Grundgebirge/ Harzpaläozoiku D3-C1, Tonstein, Adelheidsquelle            345270                                            Quellaustritt m/ Oberdevon- Tonschiefer Unterkarbon Mansfeld- ja sehr gering, 0,8 Südharz Brücken                    341445 Pleistozän     Q-qw, Feinkies, mg          m Löss, 1,2 m Auelehm Edersleben, 341745 Pleistozän     Sande und Kiese             gering, Ton/Schluff Deponie Heidefleck-                345125 Devon          D1 bis D3, WL Quarzit,      Quellaustritt
15

Anlage 3 quelle                                          Kalk, Grauwacke, Tonschiefer PHg (Hornburger Kirchbrunnen               345200 Rotliegendes  Schichten), WL Sandstein, Quellaustritt Konglomerate, Kalke Riegenberg- 345340 Obersilur     Phyllite                    Quellaustritt quelle ja, 6 m Schluff, WL unterer Roßla 1/02                 340962               Schluffstein, Tonstein      Schluffstein, Buntsandstein Tonstein mittlerer Stedener Quelle            345355               Sandstein, (Rogenstein)     Quellaustritt Buntsandstein C2st1, Untere Mansfelder    ja, 4,9 m Schluff, 2 Schichten mit Quarzitkon-   m Schluff Vatterode 1/96             340080 Oberkarbon glomerate/Stephan, Ton-     (Verwitterungszone schiefer, quarzitisch, fest ), Schluffstein Alberstedt                 341865 Pleistozän    Sande und Kiese             ja, 8m Schluff gering, 0,5 m Altweidenbach              341845 Pleistozän    Sande und Kiese Schluff ja, 8m Schluff, Asendorf                   341850 Pleistozän tonig, GM T1-2, Sandstein mittlerer                                 ja, 1 m Lösslehm, Bad Lauchstädt             341705               (Zersatzzone), feinkörnig, Buntsandstein                             2,7 m Ton schluffig, tonig ja, 5 m Schluff, 4,6 Brachstedt                 341415 Pleistozän    gfQS1v, Mittelkies, fg      m Geschiebemergel ja, 7,1 m Lehm, 3 TPr - TSr (Pelit- bis m Schluff Salinarröt-Folge) oder Röt, Grockstädt                        oberer                                    (Verwitterungszone 340410               WL Sandstein, Schluff- 112/96                            Buntsandstein                             ), WL Schluffstein stein, Tonstein, (dominiert), dolomitisiert Tonstein Holleben 08/13             341820                                           ja, 5 m Schluff Hottentotten-                     oberer        TB 3, Sandstein, 345295                                           Quellaustritt born                              Buntsandstein Dolomitmergelstein Saalekreis Solling-Hardegsen-Folge mittlerer Käsebrotquelle             345095               (TSI-THd), WL Sandstein, Quellaustritt Buntsandstein Schluffstein, Schieferton ja, 0,5 m Lösslehm, Knapendorf /                      mittlerer     Thd, Feinsandstein, ms,     4,8 m Schluff 341720 Bündorf                           Buntsandstein gs, marin                   (Verwitterungszone ), Schluffstein fQS1 (Saalekaltzeitliche    ja, 1,9 m Löss, 1,1 Krosigk                    340830 Pleistozän Sande und Kiese), Sand      m Schluff E2n-S1v, fQS/HT (Saale- Pleistozän, Raßnitz                    341380               Hauptterrasse/GWL 1.5),     ja, 6,7 m GM Saale Mittelkies, fg C2 / o CMfD (Untere Mansfelder Schichten mit Rothenburg-Formation / Rothenburg                 340815 Oberkarbon    Stephan), WL Sandstein      ja, Schluffstein (dominiert), fein- bis mittelkörnig, Schluffstein, plattig Schafstädt                        unterer       T2-1, Kalkstein, mergelig, ja sehr gering, 0,7 341400 01/08                             Muschelkalk   bröckelig                   m Schluff cstwt (Wettiner Schichten), ja, 1,5 m Schluff Saalekreis                      WL Feinsandstein,           (holozäne Schlettau                  341700 Oberkarbon Schluffstein,               Abschwemmassen Mittelsandstein, marin      ), Schluff
16

Anlage 3 (Verwitterungszone ), WL Schluffstein, Tonstein TDf (Detfurth-WF), ja, 3 m Schluff, WL Schluffstein, feste mittlerer                                 Schluffstein Steuden                   340800               kompakte teils sandige Buntsandstein                             (dominiert), Zwischenlagen, Tonstein glimmerführend fQS1 (fluviatile saalekaltzeitliche Schotter Sylbitz                   341065 Pleistozän    = Saale-HT / GWL 1.5),      ja, 5,1 m Schluff Mittelsand, fs, Schluff, sandig, kiesig Pleistozän,   S1n-S2v, Mittel- bis Teicha                    341715                                           ja, 3,10 m Löss Saale         Grobsand, fg oberer        TB3 (Röt), Kalkstein, Gips Urtalsborn                345080                                           Quellaustritt Buntsandstein (teils ausgelaugt) Sandstein-Schieferton- unterer Wettiner Quelle           345360               Folge mit Rogenstein-       Quellaustritt Buntsandstein bänken fQW / H (fluviatile weichselkaltzeitliche       ja sehr gering, 1,9 Zaschwitz                 341070 Pleistozän Schotter bis Holozän),      m Schluff Fein- bis Grobkies, sandig ja, 3,4 m Lösslehm, mittlerer     WL Sandstein, Aschersleben              445157                                           WL Tonstein, Buntsandstein Feinsandstein, Schluffstein Schluffstein Etgersleben                                                                ja, 0,2 m Löss, 445063 Keuper        Tonstein Br. 7a                                                                     Tonstein fQS, Saale-Hauptterrasse, Salzland- 240200 Pleistozän, Gnölbzig 01/06                                 Mittelkies, gg, Grobkies,   ja, 3,9 m Löss kreis     7      Saale steinig, fg 241401 Pleistozän,   fQW-Ho, Mittelkies, fg, Könnern                                                                    ja, 4,3 m Schluff 6      Weichsel      Mittelsand, gs 241401 Pleistozän, Leau                                           S1, Grobsand, fg            nein 8      Saale mittlerer                                 ja, 10 m Wilsleben                 445121               Sande Buntsandstein                             Ton/Schluff gfS1v, Halle, Frohe                                                               ja sehr gering, 0,4 341340 Pleistozän    Saalehauptterrasse, Mittel- Zukunft                                                                    m Schluff bis Grobsand Stadt Halle-Silber- Halle höhe, 240900                                           ja, gering, Ton/ Freyburger                       Buntsandstein Sandstein/ Schluffstein 3                                                Schluff Ecke Kasseler Str. Feinsand, ms, Mittelsand, Neukirchen      Stendal   445032 Pleistozän                                nein fs, fg Wanzer                    445035 Pleistozän    Mittelsand                  nein 248402 Pleistozän, Gollmer Berg                                   Feinkies, gs                nein 8      Saale 248403 Pleistozän, Sackwitz OP     Witten-                        S2n-Ho, Feinkies, sandig    nein 9      Saale berg 255110 Schützberg                       Pleistozän    Grobsande                   nein 1 248403 Wörlitz                          Pleistozän    Mittelsande                 nein 4
17

Anlage 4 NO 3 Filteroberkante Filterunterkante   [mg/l] Messstelle               Mst.-Nr. m unter Gelände m unter Gelände  (aktueller Wert) Abtlöbnitzer Quelle      345265   Quellaustritt                       48,7 Ackendorf, 13/68         445024   28,64           31,64              <0,44 Adelheidsquelle          345270   Quellaustritt                       117 Aken                     2464014  7,20            9,20               <0,89 Alberstedt               341865   17,00           19,00               140 Alexisbrunnen            345365   Quellaustritt                       0,49 Altmersleben-Butterhorst 445022   3,35            5,35                44,1 Altweidenbach            341845   33,00           35,00               98,7 Amosequelle              345275   Quellaustritt                       77,0 Annaburg                 2451008  19,00           21,00              <0,44 Apenburg - Güte M1       440008   39,00           43,00              <0,44 Apenburg - Güte M2       440009   70,00           74,00              <0,44 Apenburg - Güte T        440026   113,00          117,00             <0,44 Apenburg H - Güte        440025   11,93           15,93              <0,44 Arendsee                 445105   11,35           13,35              <0,44 Arnsdorf                 2484021  7,20            9,20                17,1 Aschersleben             445157   32,00           36,00               147 Aseleben OP              340910   59,00           78,00              <0,44 Aseleben UP              340905   139,00          179,00             <2,21 Asendorf                 341850   10,00           12,00               50,5 Auligk 101/00            340290   13,00           21,00              <0,44 Aupitz 1/02              340956   6,40            8,40                36,6 Bad Kösen (Kukulau)      341390   42,00           46,00               39,4 Bad Lauchstädt           341705   9,20            13,20               81,9 Badetz GWBr neu          2494003  3,30            5,30                27,7 Bageritz                 340820   18,00           21,00              <0,44 Barenbergquelle          445080   Quellaustritt                       2,12 Bärenplatzquelle         345280   Quellaustritt                       51,8 Barneberg (2010)         445176   11,50           13,50               61,1 Baumersroda              341013   39,00           54,00               141 Bebertal (Dönstedt)      445152   36,00           40,00              <0,44 Belicke-Kade             2494803  5,00            7,00                2,74 Berga 1/98               340340   15,00           20,00               24,9 Bergzow                  445139   6,00            8,00                10,8 Bethau                   2484023  9,30            11,30              <0,44 Bhf. Loitsche (neu)      445020   3,56            4,56                246 Biere_2012               445211   23,60           25,60               29,2 Binde - Güte             440048   26,00           33,00              <0,44 Blumenthal               445127   7,00            9,00                1,33 Bölsdorf                 445108   8,75            10,75              <0,44 Born - Güte              440004   23,00           27,00               1,46 Boßdorf                  2481006  24,00           26,00               31,2 Brachstedt               341415   13,00           15,00               108 Braschwitz               340875   11,00           16,00              <0,44 Breitenbach 1/02         340960   5,00            7,00                3,23 Breitenfeld              445096   17,20           19,20              <0,44 Bremkerborn              445178   Quellaustritt                       5,18 Brücken                  341445   8,00            10,00               81,5 Buhlendorf               2494015  24,10           26,10              <0,44 Buko                     2474013  31,00           33,00              <0,44 Bülzig                   2484038  10,40           11,40               2,88 Burgkemmnitz             2424018  3,20            4,20                1,11 Calbe                    445028   3,10            5,10                1,15 Calbe (2010)             445172   4,00            6,00                8,54 Carlsfeld                2421012  23,00           25,00               1,02
18

Anlage 4 Charlottenhof                 445142  2,00          3,00    0,49 Cheine - Güte                 440039  14,00         16,00   106 Chörau                        2464012 5,20          7,20   <0,44 CLH HySchb1692                445091  31,00         35,00  <0,44 Colbitz                       445150  3,00          4,00    29,7 Colbitz_0595 MP               2494901 40,00         44,00  <0,44 Colbitz_1293 OP               2494903 8,00          14,00   9,83 Colbitz_1493 OP               2494904 45,00         51,00   0,84 Colbitz_2393 OP               2494906 50,00         56,00   5,93 Colbitz_2793 OP               2494908 16,00         21,00   4,91 Colbitz_4193 OP               2494910 8,00          12,00  <0,44 Coswig                        2484029 20,00         24,00  <0,44 Cröchern                      445109  17,70         19,70  <0,44 Dähre - Güte                  440035  39,00         43,00  <0,44 Dambeck                       445062  16,00         20,00   104 Dannefeld - Güte              440020  6,57          10,57  <0,44 Demsin                        2494807 6,40          8,40    0,58 Derenburg-Güte 1/96           440044  34,00         40,00  <0,44 Dessau-Alten                  2434012 7,50          10,50   1,81 Dessau-Törten                 2434015 8,00          10,00  <0,44 Dessau-Waldersee              2431003 9,00          11,00   3,19 Deutsch (Groß Garz/Seehausen) 445148  12,70         14,70  <0,44 Diebzig                       2464011 5,20          7,20    18,1 Dieskau                       340850  5,00          8,00    44,7 Dietrichsdorf                 2484012 7,20          9,20    4,38 Dölbau                        341410  14,00         16,00  <0,44 Dorfborn Rothenschirmbach     345165  Quellaustritt         36,3 Dorna                         2484027 7,00          9,00    7,61 Dorstborn                     345405  Quellaustritt         17,8 Drosa                         2464016 10,50         12,50   10,9 Düben, Steinmühle             2471106 28,50         31,50  <0,44 Eckernbergquelle              445090  Quellaustritt         61,5 Edderitz                      2464019 16,50         18,50   93,8 Edersleben, Deponie           341745  25,00         30,00   51,8 Eggeröder Brunnen             445081  Quellaustritt         8,72 Eickendorf- Güte              440053  26,00         30,00   3,41 Eickendorf_2012               445212  31,00         35,00  <0,44 Eimersleben (Erxleben)        445145  24,00         28,00   96,5 Ellersell                     445065  2,75          4,75   <0,44 Ellersell - Güte              440001  11,00         15,00   187 Elster                        2484026 7,20          9,20   <0,44 Emseloh 1/98                  340120  60,00         80,00   9,38 Engersen                      445118  19,00         21,00  <0,44 Erbstollen                    445082  Quellaustritt         0,71 Erdeborn MP                   340899  70,00         90,00  <0,44 Erdeborn OP                   340898  16,00         20,00   14,3 Erdeborn UP                   340900  150,00        175,00 <2,21 Erlenborn                     345235  Quellaustritt         36,9 Ermlitz                       341465  5,00          7,00   <0,44 Erxleben - Güte               440015  26,50         28,50  <0,44 Eselsquelle                   445209  Quellaustritt         11,8 Esperstedt 1/96               340670  60,00         70,00  <0,44 Etgersleben Br 7a             445063  5,00          7,00    60,6 Eutzsch                       2484036 9,00          11,00  <0,44 Förderstedt OP (2010)         445174  4,40          6,40    24,7 Förderstedt UP (2010)         445173  24,00         28,00  <0,44 Forst Haideburg/Schierau      2421108 15,00         17,00  <0,44 Frauborn                      440046  Quellaustritt         29,2 Freyburg 101/97               340240  47,50         61,50   29,1
19

Anlage 4 Freyburg/Mühle                    341105  4,00          7,00   80,1 Freyburg/Wehr                     341115  3,00          6,00   47,4 Friedeburg 1/96                   340060  5,00          10,00  14,1 Friedhof HaNeu                    340690  32,60         40,60 <0,44 Friedrichsdorf                    2463011 5,80          7,80   35,7 Friedrichshohenbergquelle         345250  Quellaustritt        4,25 Gardelegen - Güte                 440003  20,00         24,00  7,79 Geestgottberg (Krüden)            445147  14,00         16,00 <0,44 Geiselquelle                      345110  Quellaustritt        31,5 Genthin                           2494801 15,00         19,00 <0,44 Gesundbrunnen Beyers Hölzchen     345390  Quellaustritt        5,14 Geusa 1/94                        340460  5,60          8,60   24,3 Giersleben MP                     440052  67,13         69,13  7,04 Glasebach 1/02                    340970  11,00         15,00 <0,44 Gleina                            341480  44,00         48,00  1,51 Gnölbzig 01/06                    2402007 9,90          11,90  104 Göbitz 102/00                     340360  21,00         27,00 <0,44 Gohre                             445141  11,40         17,40 <0,44 Gollensdorf                       445034  2,00          4,00   12,0 Gollmer Berg                      2484028 17,00         19,00  69,1 Goltewitz                         2444011 11,00         13,00  2,52 Gossa                             2444013 13,60         15,60  58,4 Griebo                            2580501 8,20          14,20  43,5 Grillenberg                       340968  15,00         19,00  19,9 Grockstädt 112/96                 340410  36,00         48,00  114 Groß Quenstedt                    445122  24,00         28,00  10,2 Großgräfendorf                    341810  19,00         21,00  4,21 Gübs-Güte 1/95                    440007  5,12          9,12   7,75 Günthersdorf neu                  445215  7,00          9,00   45,2 Gütter                            445128  8,00          10,00 <0,44 Hadmersleben Br 1a                445057  3,00          5,00  <0,44 Hagendorf                         2491004 27,90         29,90 <0,44 Hakenstedt                        445116  38,00         42,00  0,53 Haldensleben (neuer Pegel)        445119  5,00          9,00   9,56 Halle, Brauhausstraße             341350  31,00         34,00 <0,44 Halle, Frohe Zukunft              341340  5,00          8,00   54,9 Halle-Gesundbrunnen               345415  Quellaustritt       <0,44 Halle-Silberhöhe, Freyburger Ecke 2409003 12,00         15,00  58,9 Kasseler Str. Hanum nördlich                    445161  12,00         14,00 <0,44 Haselbach 2/02                    340961  11,50         15,50  23,3 Häsewig neu                       445203  16,00         18,00  1,77 Hassel                            445113  6,50          8,00   17,9 Havelberg Nord - Güte             440045  49,00         53,00 <0,44 Heckenborn                        345020  Quellaustritt        8,72 Heidefleckquelle                  345125  Quellaustritt        57,1 Heilandsbrunnen                   345115  Quellaustritt       <0,44 Heiligenbergsquell                345260  Quellaustritt        6,37 Heiligenborn Morungen             345030  Quellaustritt        17,6 Heinrichsberg                     445092  1,84          3,84   104 Helmsdorf 1/96                    340390  80,00         90,00  11,0 Hindenburg                        445037  2,00          4,00  <0,44 Hohengöhrener Damm (2010)         445168  6,00          8,00   1,68 Hohentramm                        445133  26,00         28,00 <0,44 Hohenziatz                        445011  22,40         24,40 <0,44 Holleben                          340810  31,00         39,00 <0,44 Holleben 08/13                    341820  6,00          8,00   175 Holzdorf                          2484042 7,30          9,30  <0,44 Holzhausen (Bismark/Altmark)      445154  12,00         14,00 <0,44
20

Zur nächsten Seite