Nachtragshaushalt 2012: Kompensationszahlungen an Kommunen

/ 3
PDF herunterladen
Landtag von Sachsen-Anhalt                         Drucksache 6/1643 28.11.2012 Antwort der Landesregierung auf eine Kleine Anfrage zur schrift- lichen Beantwortung Abgeordneter Swen Knöchel (DIE LINKE) Nachtragshaushalt 2012: Kompensationszahlungen an Kommunen Kleine Anfrage - KA 6/7663 Vorbemerkung des Fragestellenden: Mit dem Nachtragshaushalt für das Jahr 2012 wurden im Einzelplan 13, Kapi- tel 13 12 Titel 633 06 einmalige Zuweisungen zum Ausgleich von Mindereinnahmen beschlossen. Antwort der Landesregierung erstellt vom Ministerium für Arbeit und Soziales Vorbemerkung: Das Land erhält nach § 11 Abs. 3a des Gesetzes über den Finanzausgleich zwi- schen Bund und Ländern (Finanzausgleichsgesetz - FAG) seit dem Jahr 2012 gerin- gere Sonderbedarfs-Bundesergänzungszuweisungen zum Ausgleich von Sonderlas- ten durch die strukturelle Arbeitslosigkeit und der daraus entstehenden überpropor- tionalen Lasten bei der Zusammenführung von Arbeitslosenhilfe und Sozialhilfe für Erwerbsfähige (sog. „Hartz IV“-SoBEZ). Die in der Vorbemerkung des Fragestellers genannte Zuweisung, die sich auf 31.749.500 Euro beläuft, trägt diesem Rückgang Rechnung. Frage Nr. 1 Wie hoch ist der Anteil jedes Landkreises und jeder kreisfreien Stadt an den be- schlossenen Kompensationszahlungen absolut und relativ? (Ausgegeben am 28.11.2012)
1

2 Frage Nr. 2 Welches Verteilungsverfahren liegt dieser Aufteilung zugrunde? Antwort zu Fragen Nr. 1 und 2 Die Verteilung der Kompensationszahlung folgt aus § 4 Abs. 2 des Gesetzes zur Ausführung des Zweiten Buches Sozialgesetzbuch (SGB II) und des Bundeskinder- geldgesetzes (Grundsicherungsgesetz Sachsen-Anhalt) vom 20. Januar 2012 in Verbindung mit der dazu ergangenen Verordnung über die Umsetzung der Grund- sicherung für Arbeitsuchende vom 21. Oktober 2010. Da die in Rede stehende ein- malige Zuweisung des Landes der Kompensation des Rückgangs der „Hartz IV“- SoBEZ dient, erfolgt die Verteilung nach dem gleichen, in § 1 Abs. 1 Satz 3 der Ver- ordnung über die Umsetzung der Grundsicherung für Arbeitsuchende vom 21. Okto- ber 2010 niedergelegten Schlüssel, der an den jeweiligen Anteil des kommunalen Trägers an den Gesamtaufwendungen für die Leistungen nach § 22 Abs. 1 SGB II im Land anknüpft. Eine endgültige Festsetzung ist folglich erst möglich, nachdem der in § 4 Abs. 6 Satz 3 Grundsicherungsgesetz Sachsen-Anhalt festgelegte Meldetermin (Schlussabrechnung) verstrichen ist. Gleichwohl erhalten die kommunalen Träger auf der Grundlage von § 1 Abs. 2 Satz 2 der Verordnung über die Umsetzung der Grundsicherung für Arbeitsuchende vom 21. Oktober 2010 eine Abschlagszahlung. Die sich für die einzelnen kommunalen Träger nach derzeitigem Erkenntnisstand er- gebenden vorläufigen Anteile an der einmaligen Zuweisung können der Anlage ent- nommen werden. Die im Nachgang endgültig festzusetzende Verteilung wird folge- richtig geringfügige Abweichungen enthalten. Frage Nr. 3 Wann erfolgt die Auszahlung der im Nachtragshaushalt beschlossenen Mittel? Antwort zu Frage Nr. 3 Die Anordnung der Zahlung wird nach der Bekanntgabe des Verteilungsschlüssels sowie der Höhe der Abschlagszahlung an die kommunalen Träger voraussichtlich im Dezember 2012 erfolgen. Frage Nr. 4 Beabsichtigt die Landesregierung, die o. g. Mindereinnahmen zukünftig auszu- gleichen und wie begründet sie ihre Haltung? Antwort zu Frage Nr. 4 Mit der Neuausrichtung des Finanzausgleichsgesetzes im Hinblick auf den sog. Blick nach vorn erfolgt zukünftig eine Berücksichtigung im Finanzausgleichsgesetz. Inso- weit wird auf den Gesetzentwurf zum Finanzausgleichsgesetz sowie das zugehörige Anlagenpaket (Anlage 1 Tabelle 1) verwiesen.
2

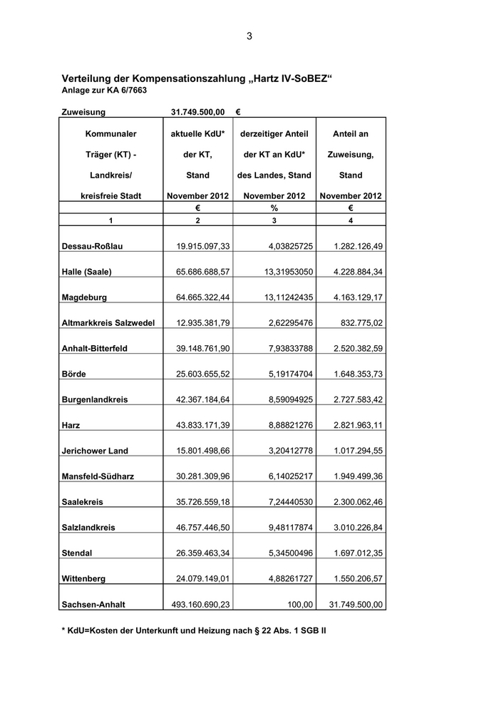
3 Verteilung der Kompensationszahlung „Hartz IV-SoBEZ“ Anlage zur KA 6/7663 Zuweisung                31.749.500,00   € Kommunaler         aktuelle KdU*    derzeitiger Anteil     Anteil an Träger (KT) -         der KT,       der KT an KdU*       Zuweisung, Landkreis/            Stand      des Landes, Stand        Stand kreisfreie Stadt   November 2012      November 2012     November 2012 €                 %                  € 1                  2                  3                 4 Dessau-Roßlau             19.915.097,33           4,03825725     1.282.126,49 Halle (Saale)             65.686.688,57         13,31953050      4.228.884,34 Magdeburg                 64.665.322,44         13,11242435      4.163.129,17 Altmarkkreis Salzwedel    12.935.381,79           2,62295476       832.775,02 Anhalt-Bitterfeld         39.148.761,90           7,93833788     2.520.382,59 Börde                     25.603.655,52           5,19174704     1.648.353,73 Burgenlandkreis           42.367.184,64           8,59094925     2.727.583,42 Harz                      43.833.171,39           8,88821276     2.821.963,11 Jerichower Land           15.801.498,66           3,20412778     1.017.294,55 Mansfeld-Südharz          30.281.309,96           6,14025217     1.949.499,36 Saalekreis                35.726.559,18           7,24440530     2.300.062,46 Salzlandkreis             46.757.446,50           9,48117874     3.010.226,84 Stendal                   26.359.463,34           5,34500496     1.697.012,35 Wittenberg                24.079.149,01           4,88261727     1.550.206,57 Sachsen-Anhalt           493.160.690,23               100,00    31.749.500,00 * KdU=Kosten der Unterkunft und Heizung nach § 22 Abs. 1 SGB II
3