BVVG-Ausschreibungen mit potentiellen Flächen zur Errichtung von Windenergieanlagen

Windenergieanlage

/ 7
PDF herunterladen
Landtag von Sachsen-Anhalt                                      Drucksache 7/3788 02.01.2019 Antwort der Landesregierung auf eine Kleine Anfrage zur schrift- lichen Beantwortung Abgeordneter Andreas Gehlmann (AfD) BVVG-Ausschreibungen mit potentiellen Flächen zur Errichtung von Wind- energieanlagen Kleine Anfrage - KA 7/2161 Vorbemerkung des Fragestellenden: In der Zeitschrift Neue Energie werden regelmäßig Ausschreibungen mit potentiellen Flächen zur Errichtung von Windenergieanlagen (WEA) veröffentlicht. Zu den nachfolgend benannten Beispielen besteht weiterer Informationsbedarf. Antwort der Landesregierung erstellt vom Ministerium für Landesentwicklung und Verkehr 1. Potentielle Flächen für WEA nördlich von Ditfurt (Landkreis Harz), Größe ca. 23 ha, landwirtschaftlich verpachtet bis 30. September 2021, Orientie- rungswert 16.500 € (jährliches Optionsgeld) 2. Potentielle Flächen für WEA bei Wedderstedt (Landkreis Harz), Größe ca. 44 ha, landwirtschaftlich verpachtet bis 30. September 2021, Orientie- rungswert 31.000 € (jährliches Optionsgeld) 3. Potentielle Flächen für WEA zwischen Sandersleben und Belleben (Land- kreis Mansfeld-Südharz), Größe ca. 45 ha, landwirtschaftlich verpachtet bis 30. September 2021 (Weiterverpachtung in Vorbereitung), Orientierungs- wert 31.300 € (jährliches Optionsgeld) 4. Potentielle Flächen für WEA bei Unterrißdorf (Landkreis Mansfeld-Südharz), Größe ca. 25 ha, landwirtschaftlich verpachtet bis 30. September 2018 (Wei- Hinweis:   Die Drucksache steht vollständig digital im Internet/Intranet zur Verfügung. Die Anlage ist in Word als Objekt beigefügt und öffnet durch Doppelklick den Acrobat Reader. Bei Bedarf kann Einsichtnahme in der Bibliothek des Landtages von Sachsen-Anhalt er- folgen oder die gedruckte Form abgefordert werden. (Ausgegeben am 03.01.2019)
1

2 terverpachtung in Vorbereitung), Orientierungswert 17.800 € (jährliches Op- tionsgeld) 5. Potentielle Flächen für WEA bei Neehausen und Hedersleben (Landkreis Mansfeld-Südharz), Größe ca. 17 ha, landwirtschaftlich verpachtet bis 30. September 2020 (Weiterverpachtung in Vorbereitung), Orientierungs- wert 11.950 € (jährliches Optionsgeld) Antwort zu den Fragen 1 bis 5 Zur Abgabe einer sachgerechten Auskunft ist eine regionalplanerische Prüfung der ausgeschriebenen BVVG-Flächen für Windenergieanlagen erforderlich. Die allge- meine Benennung der betreffenden Orte oder Landkreise bzw. der Flächengröße ist für eine räumliche Zuordnung nicht ausreichend, um diese Flächen den in Regiona- len Entwicklungsplänen festgelegten Vorranggebieten mit der Wirkung von Eig- nungsgebieten zur Nutzung der Windenergie (VR-/EG) räumlich konkret zuzuordnen. Eine belastbare Auskunft zu den hier benannten, (vermeintlich) potentiellen BVVG- Flächen zur Errichtung von WEA kann daher angesichts der kurzen Bearbeitungszeit nicht gegeben werden. 6. Flächen im Windvorranggebiet Biere (Salzlandkreis), Fläche ca. 17 ha, landwirtschaftlich verpachtet bis 30. September 2023, Orientierungswert 11.865 € (jährliches Optionsgeld) a) In welchem Windvorranggebiet (WVG) befindet sich die Fläche bzw. wel- chem WVG wird die Fläche zugeordnet? b) Wie viele Windenergieanlagen (WEA) können auf der Fläche errichtet wer- den? c) Welche technischen Parameter können / sollen die in a) benannten WEA er- füllen? Bitte angeben Nabenhöhe, Durchmesser und Leistung. d) Welche Abstände zur Wohnbebauung liegen vor? Bitte Ortschaften um Fläche mit Entfernung zur Fläche eingeben. e) Liegt eine Stellungnahme der zuständigen Unteren Naturschutzbehörde zum Einfluss der WEA auf dieser Fläche vor? f) Welche Schutzgebiete (FFH, SPA, Ramsar, UNESCO-Biosphärenreservat usw.) befinden sich im Umfeld der Fläche? g) Welchen Bodenwert hat die Fläche? h) Gibt es Hamstervorkommen auf der Fläche? i) Was wird auf der Fläche typischerweise angebaut? j) Welche weiteren Strukturen (Gehölze, Gewässer usw.) befinden sich auf der Fläche? k) Welche Kaufangebote von welchen Interessenten (Landwirtschaftsbetriebe oder Betriebe anderer Bewirtschaftungsweisen) liegen vor? l) Wie hoch ist der Verkaufswert der Fläche (gesamt und Preis/ha)? Antwort zu Frage 6 a)     Die Flächen befinden sich im VR-/EG Nr. III „Biere-Borne“. b)     Eine genaue Anzahl von WEA kann nicht genannt werden. Die mögliche An- zahl von WEA, die auf der Fläche errichtet werden können, hängt ab von der
2

3 Anlagenhöhe und den gem. Bauordnungsrecht LSA erforderlichen Abständen zwischen den Anlagen. Zudem ist die genaue Anzahl von WEA abhängig von der Entscheidung der Genehmigungsbehörde. c)      Die Entscheidung über technische Parameter hängt ab vom Investor und den zur Genehmigung beantragten WEA, weshalb eine Antwort im Sinne der Fra- gestellung nicht gegeben werden kann. Eine Übersicht über die derzeit betriebenen WEA in dem VR-/EG Nr. III ist der Anlage 1 zu entnehmen. d)      Das VR-/EG Nr. III befindet sich gemäß Kriterienkatalog Wind der Planungs- region Magdeburg mindestens 1.000 m zur Wohnbebauung der umliegenden Orte Biere und Borne. Andere Orte sind weiter als 1.000 m entfernt. e)      Stellungnahmen der unteren (und oberen) Naturschutzbehörden liegen im Rahmen des 1. Beteiligungsverfahrens zur Neuaufstellung des Regionalen Entwicklungsplans Magdeburg vor. f)      Folgende Schutzgebiete liegen im Umfeld des VR-/EG:  FFH-Gebiet „Bode und Selke im Harzvorland“,  FFH-Gebiet „Sülzetal bei Sülldorf“,  FFH-Gebiet „Elbaue zwischen Saalemündung und Magdeburg“,  Großtrappenschongebiet „Kreuzberg“ bei Borne,  Großtrappenschongebiet nördlich Atzendorf g – j) Hierzu liegen keine Angaben vor. Diese Fragen könnten möglicherweise von den fachlich zuständigen Behörden (LAU, LK, ALFF) beantwortet werden. Ei- ne Recherche zur Beantwortung in der gewünschten Form hätte einen länge- ren Zeitaufwand verursacht. Einer Fristverlängerung wurde nicht stattgegeben. k – l) Hierzu sind keine konkreten Angaben vorhanden. Diese können abschließend nur vom Grundstückseigentümer (offensichtlich die BVVG) beantwortet wer- den. Die Fragen zur BVVG liegen nicht im Zuständigkeitsbereich der Landes- regierung und können deshalb nicht beantwortet werden. 7. Flächen im Windvorranggebiet Borne (Landkreis Börde und Salzlandkreis) Fläche ca. 39 ha, landwirtschaftlich verpachtet, Orientierungswert 27.160 € (jährliches Optionsgeld) a) In welchem Windvorranggebiet (WVG) befindet sich die Fläche bzw. wel- chem WVG wird die Fläche zugeordnet? b) Wie viele Windenergieanlagen (WEA) können auf der Fläche errichtet wer- den? c) Welche technischen Parameter können / sollen die in a) benannten WEA er- füllen? Bitte angeben Nabenhöhe, Durchmesser und Leistung. d) Welche Abstände zur Wohnbebauung liegen vor? Bitte Ortschaft um Fläche mit Entfernung zur Fläche angeben. e) Liegt eine Stellungnahme der zuständigen Unteren Naturschutzbehörde zum Einfluss der WEA auf dieser Fläche vor?
3

4 f)   Welche Schutzgebiete (FFH, SPA, Ramsar, Unesco-Biosphärenreservat usw.) befinden sich im Umfeld der Flächen? g) Welchen Bodenwert hat die Fläche? h) Gibt es Hamstervorkommen auf der Fläche? i) Was wird auf der Fläche typischerweise angebaut? j) Welche weiteren Strukturen (Gehölze, Gewässer usw.) befinden sich auf der Fläche? k) Welche Kaufangebote von welchen Interessenten (Landwirtschaftsbetriebe oder Betriebe anderer Bewirtschaftungsweisen) liegen vor? l) Wie hoch ist der Verkaufswert der Fläche (gesamt und Preis/ha)? Antwort zu Frage 7 a - l) siehe 6. 8. Flächen im Windvorranggebiet Sichau (Altmarkkreis Salzwedel), Fläche ca. 14 ha, landwirtschaftlich verpachtet bis 30. September 2020, Orientie- rungswert 9.745 (jährliches Optionsgeld) a) In welchem Windvorranggebiet (WVG) befindet sich die Fläche bzw. wel- chem WVG wird die Fläche zugeordnet? b) Wie viele Windenergieanlagen (WEA) können auf der Fläche errichtet wer- den? c) Welche technischen Parameter können/sollen auf der Fläche errichtet wer- den? Bitte angeben Nabenhöhe, Durchmesser und Leistung d) Welche Abstände zur Wohnbebauung liegen vor? Bitte Ortschaft um Fläche mit Entfernung zur Fläche angeben. e) Liegt eine Stellungnahme der zuständigen Unteren Naturschutzbehörde zum Einfluss der WEA auf dieser Fläche vor? f) Welche Schutzgebiete (FFH, SPA, Ramsar; UNESCO-Biosphärenreservat usw.) befinden sich im Umfeld der Flächen? g) Welchen Bodenwert hat die Fläche? h) Gibt es Hamstervorkommen auf der Fläche? i) Was wird auf der Fläche typischerweise angebaut? j) Welche weiteren Strukturen (Gehölze, Gewässer usw.) befinden sich auf der Fläche? k) Welche Kaufangebote von welchen Interessenten (Landwirtschaftsbetriebe oder Betriebe anderer Bewirtschaftungsweisen) liegen bisher vor? l) Wie hoch ist der Verkaufswert der Fläche (gesamt und Preis/ha) Antwort zu Frage 8 a)      Die Fläche befindet sich im VR-/EG Nr. VII „Sichau“. b)      Eine genaue Anzahl von WEA kann nicht genannt werden. Die mögliche An- zahl von WEA, die auf der Fläche errichtet werden können, hängt ab von der Anlagenhöhe und den gem. Bauordnungsrecht LSA erforderlichen Abständen zwischen den Anlagen. Zudem ist die genaue Anzahl von WEA abhängig von der Entscheidung der Genehmigungsbehörde.
4

5 c)      Die Entscheidung über technische Parameter hängt ab vom Investor und den zur Genehmigung beantragten WEA, weshalb eine Antwort im Sinne der Fra- gestellung nicht gegeben werden kann. Eine Übersicht über die derzeit betriebenen WEA in dem VR-/EG Nr. VII ist der Anlage 1 zu entnehmen. d)      Das VR-/EG Nr. VII befindet sich in - ca. 1.000 m Entfernung zu den Ortschaften Pechfitz und Siems, - ca. 850 m Entfernung zur Ortschaft Tarnefitz und - ca. 1.200 m Entfernung zur Ortschaft Sichau. e)      Ja, im Aufstellungsverfahren zur Ergänzung des Regionalen Entwicklungs- plans Altmark (REP Altmark) 2005 um den Sachlichen Teilplan „Wind“ für die Planungsregion Altmark zur Ausweisung des VR-/EG Nr. VII. f)      Folgende Schutzgebiete liegen im Umfeld des VR-/EG: - Naturpark Drömling, - FFH 0018LSA (Drömling), - SPA 0024LSA (Feldflur bei Kusey), - IBA 0007LSA (Vogelschutzgebiet Drömling), - LSG 0031SAW (Drömling) g – j) Hierzu liegen keine Angaben vor. Diese Fragen könnten möglicherweise von den fachlich zuständigen Behörden (LAU, LK, ALFF) beantwortet werden. Ei- ne Recherche zur Beantwortung in der gewünschten Form hätte einen länge- ren Zeitaufwand verursacht. Einer Fristverlängerung wurde nicht stattgegeben. k – l) Hierzu sind keine konkreten Angaben vorhanden. Diese können abschließend nur vom Grundstückseigentümer (offensichtlich die BVVG) beantwortet wer- den. Die Fragen zur BVVG liegen nicht im Zuständigkeitsbereich der Landes- regierung und können deshalb nicht beantwortet werden. 9. Wie viele Rückzahlungsanträge für bereits gezahlte „Abschöpfungszahlun- gen“ der Betreiber von Windenergieanlagen auf ehemaligen BVVG-Flächen des Landes Sachsen-Anhalt an die BVVG liegen bereits vor? Bitte je Rückzahlungsantrag die Anzahl der WEA den ehemaligen BVVG- Flächen zuordnen und dazu die entsprechende Rückforderung der „Ab- schöpfungszahlungen“ (Euro/Fläche) zuordnen. 10. Wie viele Kaufverträge zwischen BVVG und Käufern von BVVG-Flächen mit nachfolgender Nutzung von Windenergie liegen in Sachsen-Anhalt vor? Bitte die entsprechende Anzahl der Verträge mit den jeweiligen Flächen- größen (ha) seit 2000 listen. 11. Wie hoch waren die Zahlungen (Euro), die Windkraftnutzer auf ehemaligen BVVG-Flächen bisher an die BVVG geleistet haben? Bitte die entsprechenden Summen seit 20000 listen und den jeweiligen Ver- trägen und Flächen (nach Frage 10) zuordnen. Antwort zu den Fragen 9 bis 11 Die Fragen zur BVVG liegen nicht im Zuständigkeitsbereich der Landesregierung und können deshalb nicht beantwortet werden.
5

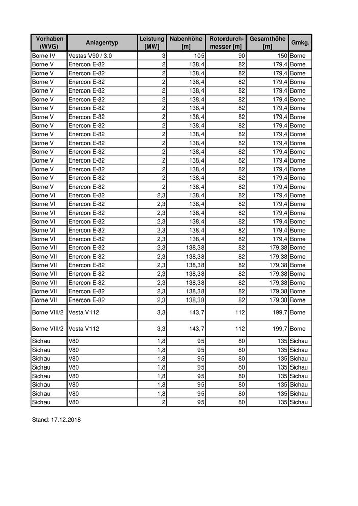
Anlage 1: Technische Parameter, der derzeit betriebenen Windenergieanlagen in den Windvorranggebieten Biere, Borne und Sichau Vorhaben                       Leistung Nabenhöhe Rotordurch- Gesamthöhe Anlagentyp                                                    Gmkg. (WVG)                          [MW]         [m]      messer [m]    [m] -           E40 5.4 C.3/65 mNH         0,5           65          40          85 Biere -           E40 5.4 C.3/65 mNH         0,5           65          40          85 Biere -           E40 5.4 C.3/65 mNH         0,5         93,6          40       113,6 Biere Biere I     NEG Micon NM 52            0,9           74          52         100 Biere Biere I     NEG Micon NM 52            0,9           74          52         100 Biere Biere I     NEG Micon NM 52            0,9           74          52         100 Biere Biere II    NEG Micon NM 72 C          1,5           64          72         100 Biere Biere II    NEG Micon NM 82            1,5         93,6          82       134,6 Biere Biere II    NEG Micon NM 72 C          1,5           64          72         100 Biere Biere II    NM82/1.5 82/93.6 NH        1,5         93,6          82       134,6 Biere Biere II    NM82/1.5 82/93.6 NH        1,5         93,6          82       134,6 Biere Biere II    NEG Micon NM 72 C          1,5           64          72         100 Biere Biere II    NM82/1.5 82/93.6 NH        1,5         93,6          82       134,6 Biere Biere II    NEG Micon NM 72 C          1,5           64          72         100 Biere Biere II    NM82/1.5 82/93.6 NH        1,5         93,6          82       134,6 Biere Biere II    NEG Micon NM 72 C          1,5           64          72         100 Biere Biere II    NM82/1.5 82/93.6 NH        1,5         93,6          82       134,6 Biere Biere II    NM82/1.5 82/93.6 NH        1,5         93,6          82       134,6 Biere Biere II    NEG Micon NM 72 C          1,5           64          72         100 Biere Biere II    NM82/1.5 82/93.6 NH        1,5         93,6          82       134,6 Biere Biere II    NM82/1.5 82/93.6 NH        1,5         93,6          82       134,6 Biere Biere II    NM82/1.5 82/93.6 NH        1,5         93,6          82       134,6 Biere Biere II    NM82/1.5 82/93.6 NH        1,5         93,6          82       134,6 Biere Biere-Borne Enercon E 82                 3       138,5           82       179,5 Biere Biere-Borne Enercon E 82                 3       138,5           82       179,5 Biere Biere-Borne Enercon E 82                 3       138,5           82       179,5 Biere Biere-Borne Enercon E 82                 3       138,5           82       179,5 Biere Biere-Borne Enercon E 82                 3       138,5           82       179,5 Biere Biere-Borne Enercon E 82                 3       138,5           82       179,5 Biere Biere-Borne Enercon E 82                 3       138,5           82       179,5 Biere Biere-Borne Enercon E 82                 3       138,5           82       179,5 Biere Biere-Borne Enercon E 82                 3       138,5           82       179,5 Biere Borne I     Windworld W5200 / 7       0,75         73,9          52        99,9 Borne Borne I     Windworld W5200 / 7       0,75         73,9          52        99,9 Borne Borne I     Windworld W5200 / 7       0,75         73,9          52        99,9 Borne Borne I     Windworld W5200 / 7       0,75         73,9          52        99,9 Borne Borne I     Windworld W5200 / 7       0,75         73,9          52        99,9 Borne Borne II    Windworld W5200 / 7        0,8           74          52         100 Borne Borne II    Windworld W5200 / 7        0,8           74          52         100 Borne Borne III   NEG Micon NM60 1000          1           70          60         100 Borne Borne III   NEG Micon NM60 1000          1           70          60         100 Borne Borne III   NEG Micon NM60 1000          1           70          60         100 Borne Borne IV    Vestas V80 / 2.0             2           95          80         135 Borne
6

Vorhaben                     Leistung Nabenhöhe  Rotordurch- Gesamthöhe Anlagentyp                                               Gmkg. (WVG)                       [MW]       [m]     messer [m]      [m] Borne IV     Vestas V90 / 3.0         3       105          90           150 Borne Borne V      Enercon E-82             2     138,4          82         179,4 Borne Borne V      Enercon E-82             2     138,4          82         179,4 Borne Borne V      Enercon E-82             2     138,4          82         179,4 Borne Borne V      Enercon E-82             2     138,4          82         179,4 Borne Borne V      Enercon E-82             2     138,4          82         179,4 Borne Borne V      Enercon E-82             2     138,4          82         179,4 Borne Borne V      Enercon E-82             2     138,4          82         179,4 Borne Borne V      Enercon E-82             2     138,4          82         179,4 Borne Borne V      Enercon E-82             2     138,4          82         179,4 Borne Borne V      Enercon E-82             2     138,4          82         179,4 Borne Borne V      Enercon E-82             2     138,4          82         179,4 Borne Borne V      Enercon E-82             2     138,4          82         179,4 Borne Borne V      Enercon E-82             2     138,4          82         179,4 Borne Borne V      Enercon E-82             2     138,4          82         179,4 Borne Borne V      Enercon E-82             2     138,4          82         179,4 Borne Borne VI     Enercon E-82           2,3     138,4          82         179,4 Borne Borne VI     Enercon E-82           2,3     138,4          82         179,4 Borne Borne VI     Enercon E-82           2,3     138,4          82         179,4 Borne Borne VI     Enercon E-82           2,3     138,4          82         179,4 Borne Borne VI     Enercon E-82           2,3     138,4          82         179,4 Borne Borne VI     Enercon E-82           2,3     138,4          82         179,4 Borne Borne VII    Enercon E-82           2,3    138,38          82       179,38  Borne Borne VII    Enercon E-82           2,3    138,38          82       179,38  Borne Borne VII    Enercon E-82           2,3    138,38          82       179,38  Borne Borne VII    Enercon E-82           2,3    138,38          82       179,38  Borne Borne VII    Enercon E-82           2,3    138,38          82       179,38  Borne Borne VII    Enercon E-82           2,3    138,38          82       179,38  Borne Borne VII    Enercon E-82           2,3    138,38          82       179,38  Borne Borne VIII/2 Vesta V112             3,3     143,7         112         199,7 Borne Borne VIII/2 Vesta V112             3,3     143,7         112         199,7 Borne Sichau       V80                    1,8        95          80           135 Sichau Sichau       V80                    1,8        95          80           135 Sichau Sichau       V80                    1,8        95          80           135 Sichau Sichau       V80                    1,8        95          80           135 Sichau Sichau       V80                    1,8        95          80           135 Sichau Sichau       V80                    1,8        95          80           135 Sichau Sichau       V80                    1,8        95          80           135 Sichau Sichau       V80                      2        95          80           135 Sichau Stand: 17.12.2018
7