Ausgaben für SGB II-Leistungen

/ 9
PDF herunterladen
Landtag von Sachsen-Anhalt                        Drucksache 6/1123 14.05.2012 Antwort der Landesregierung auf eine Kleine Anfrage zur schrift- lichen Beantwortung Abgeordneter Christoph Erdmenger (BÜNDNIS 90/DIE GRÜNEN) Ausgaben für SGB II-Leistungen Kleine Anfrage - KA 6/7451 Antwort der Landesregierung erstellt vom Ministerium für Arbeit und Soziales Frage Nr.1 Wie haben sich die Ausgaben der Kommunen für SGB II-Leistungen in den Jahren 2005 bis 2011 entwickelt? Bitte getrennt für die Grundsicherung und Kosten der Unterkunft sowie nach Landkreisen und kreisfreien Städten sowie auch die Summen für Sachsen-Anhalt aufführen. Die Grundsicherung für Arbeitsuchende umfasst sämtliche im SGB II vorgesehenen Leistungen. Diese sind jedoch nicht kommunal-, sondern nach § 46 SGB II überwie- gend bundesfinanziert. Die ganz wesentliche finanzielle Last, die die Kommunen im Rahmen der Grundsicherung für Arbeitsuchende trifft, entfällt auf den Bereich der Leistungen für Unterkunft und Heizung nach § 22 SGB II. Die Landesregierung ver- steht die Frage nach der kommunalen Ausgabenentwicklung im SGB II daher als auf diese Aufwendungen gerichtet. Die Entwicklung in den Jahren 2005 bis 2011 ist in der nachfolgenden Tabelle dargestellt. (Ausgegeben am 14.05.2012)
1

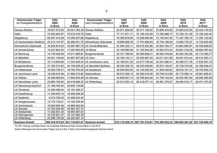
2 Kommunaler Träger                      KdU                  KdU               Kommunaler Träger         KdU            KdU            KdU            KdU            KdU vor Kreisgebietsreform                  2005                 2006           nach Kreisgebietsreform      2007           2008           2009           2010          2011* in Euro             in Euro                                      in Euro        in Euro        in Euro        in Euro        in Euro Dessau-Roßlau                       19.657.572,95        20.551.765,39 Dessau-Roßlau                   20.971.826,83  20.317.192,62  23.806.478,05  23.093.816,95  22.444.174,93 Halle                               72.030.842,87        79.510.418,78 Halle                           77.171.671,71  75.150.333,09  73.784.688,17  72.708.131,39  73.184.242,40 Magdeburg                           65.957.514,28        74.290.207,68 Magdeburg                       74.389.679,59  73.208.084,66  73.150.547,20  71.447.760,10  71.397.153,80 LK Aschersleben-Staßfurt            24.313.147,67        26.280.251,76 Altmarkkreis Salzwedel          18.699.606,76  17.791.666,83  16.739.188,09  15.605.776,27  14.725.652,06 Altmarkkreis Salzwedel              16.226.814,02        18.297.987,79 LK Anhalt-Bitterfeld            57.484.322,11  49.415.932,88  44.942.700,77  43.663.880,97  44.446.668,64 LK Anhalt-Zerbst                    15.427.662,55        17.067.963,93 LK Börde                        33.150.690,90  31.162.944,56  30.662.574,03  29.601.218,29  28.665.397,64 LK Bernburg                         14.778.026,59        15.511.060,91 Burgenlandkreis                 52.721.799,93  50.360.858,41  48.500.749,85  46.404.332,99  45.172.483,77 LK Bitterfeld                       24.021.149,90        24.967.927,69 LK Harz                         54.109.125,11  52.592.667,05  50.611.531,96  48.541.610,44  48.012.593,17 LK Bördekreis                       15.113.650,89        17.234.309,34 LK Jerichower Land              22.169.521,02  22.617.738,48  22.247.066,31  20.298.571,78  17.832.947,73 Burgenlandkreis                     31.782.214,52        34.748.628,22 LK Mansfeld-Südharz             39.254.529,75  36.553.648,85  35.872.146,97  35.729.319,06  34.769.546,07 LK Halberstadt                      16.222.736,41        18.748.793,00 LK Saalekreis                   45.200.903,63  43.145.030,54  41.934.030,63  39.816.151,37  39.753.093,74 LK Jerichower Land                  19.236.616,38        21.668.272,80 Salzlandkreis                   59.015.369,12  56.290.516,26  55.746.514,68  52.716.598,14  53.901.992,91 LK Köthen                           16.409.909,84        17.905.505,49 LK Stendal                      34.859.927,13  32.766.824,64  31.746.142,05  29.503.597,90  28.946.385,99 LK Mansfelder Land                  22.664.746,84        25.416.668,35 LK Wittenberg                   22.913.553,15  26.418.077,14  29.561.276,57  29.494.516,17  28.471.707,87 LK Merseburg-Querfurt               31.186.784,92        34.609.135,66 LK Ohrekreis                        14.290.486,04        16.191.406,37 LK Quedlinburg                      17.429.635,15        19.506.558,28 LK Saalkreis                          9.315.746,25       10.486.632,40 LK Sangerhausen                     13.172.133,01        14.728.356,48 LK Schönebeck                       19.002.926,49        19.980.620,95 LK Stendal                          31.753.554,59        34.564.761,74 LK Weißenfels                       17.202.931,35        18.997.467,54 LK Wernigerode                      14.722.621,37        16.127.583,78 LK Wittenberg                       23.599.149,36        24.324.567,14 Sachsen-Anhalt                    565.518.574,24 621.716.851,47 Sachsen-Anhalt                        612.112.526,74 587.791.516,01 579.305.635,33 558.625.281,82 551.724.040,72 *für 2011 bislang vorläufige Werte, die endgültige Meldung erfolgt voraussichtlich im Juli 2012 Quelle: Meldungen der kommunalen Träger nach § 4 Abs. 5 Satz 2 Grundsicherungsgesetz Sachsen-Anhalt
2

3 Frage Nr. 2 Wie haben sich die Zahl der Bedarfsgemeinschaften und die Personalzahl in Bedarfsgemeinschaften von 2005 bis 2011 entwickelt? Bitte getrennt nach Landkreisen und kreisfreien Städten sowie auch die Summen für Sachsen- Anhalt aufführen. Die jeweils jahresdurchschnittlichen Werte 2005 bis 2011 zu den Bedarfsgemein- schaften sind in den nachfolgenden Tabellen enthalten. Der Wert des Jahres 2005 ist jedoch nicht für alle kommunalen Träger verfügbar. Darüber hinaus können die er- fragten Zahlen - laufend aktualisiert - auf der folgenden Internetseite unter Eingabe des                 entsprechenden                    Suchbegriffs            abgerufen          werden: http://statistik.arbeitsagentur.de. Anzahl der Bedarfsgemeinschaften Jahresdurchschnittswerte Landkreise/kreisfreie Städte                 2005     2006      2007    2008    2009    2010     2011 Altmarkkreis Salzwedel                      6.663    7.201     6.690   6.488    6.091   5.692   5.200 Anhalt-Bitterfeld                             k.A.  18.200    16.081 15.186 14.736     14.163 13.702 Börde                                     11.643    12.555    11.668 10.986 10.646     10.359   9.651 Burgenlandkreis                           18.879    19.518    17.620 16.845 16.126     15.472 14.481 Harz                                          k.A.  20.179    19.039 18.322 17.786     17.123 16.138 Jerichower Land                               k.A.   8.051     7.478   7.242    7.044   6.801   6.225 Mansfeld-Südharz                          15.046    15.592    14.137 13.223 12.703     12.437 11.779 Saalekreis                                    k.A.  17.650    15.159 14.812 14.135     13.645 12.994 Salzlandkreis                                 k.A.  23.204    20.985 20.054 19.353     18.694 18.097 Stendal                                   12.766    13.093    12.140 11.501 11.090     10.597 10.102 Wittenberg                                    k.A.  11.863    10.575   9.939    9.952   9.940   9.262 Magdeburg, Landeshauptstadt               20.941    22.918    21.989 21.522 21.099     21.039 20.089 Halle (Saale), Stadt                      23.795    25.160    23.576 22.848 22.321     22.134 21.282 Dessau-Roßlau, Stadt                          k.A.   8.306     7.796   7.583    7.414   7.207   6.836 Sachsen-Anhalt                                     223.491  204.932 196.548 190.493   185.301 175.837 Quelle: Statistik Bundesagentur für Arbeit Anzahl der Personen in Bedarfsgemeinschaften Jahresdurchschnittswerte Landkreise/kreisfreie Städte                 2005     2006      2007    2008     2009    2010    2011 Altmarkkreis Salzwedel                     12.001   13.088    12.795 12.373 11.243     10.321   9.236 Anhalt-Bitterfeld                             k.A.  32.244    30.529 28.308 26.578     24.974 24.121 Börde                                      20.764   22.513    22.128 20.356 19.309     18.385 16.705 Burgenlandkreis                            33.327   34.414    33.149 31.141 28.673     27.413 25.249 Harz                                          k.A.  35.445    34.712 32.817 30.936     29.839 27.706 Jerichower Land                               k.A.  14.451    14.212 13.540 12.758     12.101 10.794 Mansfeld-Südharz                           27.329   28.419    27.521 25.098 23.364     22.524 20.952 Saalekreis                                    k.A.  30.466    27.742 27.658 25.690     23.740 22.735 Salzlandkreis                                 k.A.  40.699    39.203 37.000 34.953     33.500 32.035 Stendal                                    22.727   23.826    23.607 21.914 20.705     19.439 18.140 Wittenberg                                    k.A.  20.927    19.764 18.131 17.755     17.448 16.005 Magdeburg, Landeshauptstadt                35.333   38.423    38.488 37.364 36.017     35.394 33.579 Halle (Saale), Stadt                       40.740   43.147    42.317 40.850 38.336     37.235 36.736 Dessau-Roßlau, Stadt                          k.A.  14.151    13.887 13.234 12.633     12.160 11.438 Sachsen-Anhalt                                     392.212   380.053 359.784 338.949  324.473 305.433 Quelle: Statistik Bundesagentur für Arbeit
3

4 Frage Nr. 3 Welche absoluten Summen, welche Summe pro Bedarfsgemeinschaft und wel- che prozentualen Anteile an den Gesamtausgaben wurden zwischen 2005 und 2011 jeweils von Land und Bund erstattet? Bitte getrennt für die Grundsiche- rung und Kosten der Unterkunft sowie nach Landkreisen und kreisfreien Städ- ten sowie auch die Summen für Sachsen-Anhalt aufführen. Hinsichtlich der Trennung zwischen Grundsicherung und Kosten der Unterkunft im Hinblick auf die Finanzierung wird zunächst auf die Ausführungen zu Frage Nr. 1 verwiesen. An den Aufwendungen der kommunalen Träger für die Leistungen für Unterkunft und Heizung beteiligt sich der Bund prozentual nach § 46 Abs. 5 SGB II. Darüber hinaus werden den kommunalen Trägern zur Minderung der aus § 22 SGB II herrührenden finanziellen Lasten vom Land Sonderbedarfs-Bundesergänzungszuweisungen (SoBEZ) sowie Landesmittel aus im Zuge der Einführung des SGB II eingesparten Wohngeldaufwendungen zugewiesen. Die Verteilung an die Kommunen erfolgt nach jeweiligem Anteil an den Gesamtaufwendungen im Land. Das Verhältnis zwischen dem erstatteten Betrag und seinen Aufwendungen ist folglich für jeden kommunalen Träger gleich hoch. Die Erstattung einer Summe pro Bedarfsgemeinschaft ist nicht vorgesehen. Bei der Bundesbeteiligung ist ab dem Jahr 2011 zu beachten, dass diese nur zu ei- nem Anteil von (jetzt dauerhaft) 27,6 Prozentpunkten zur Minderung der Lasten der kommunalen Träger aus den Leistungen für Unterkunft und Heizung bestimmt ist. Der darüber hinausgehende jährlich variable Teil dient zur vollständigen Deckung der kommunalen Aufwendungen für die im Jahr 2011 hinzu gekommenen Leistungen aus dem Bildungs- und Teilhabepaket nach § 28 SGB II und § 6b BKGG sowie (be- fristet) für den Ausbau der Schulsozialarbeit. Die hier gewählte Übersicht beschränkt sich aus Gründen des Sachzusammenhangs auf die Darstellung des für die Minde- rung der Lasten aus den Leistungen für Unterkunft und Heizung bestimmten Bun- desanteils. Die weiteren Einzelheiten und Zahlen sind den Tabellen der Anlage zu entnehmen (Seite 6 - 9). Frage Nr. 4 Welche Gestaltungsmöglichkeiten haben die Kommunen in Sachsen-Anhalt nach Ansicht der Landesregierung, um die Ausgaben für SGB II zurückzufüh- ren? Die vorhandenen Gestaltungsmöglichkeiten sind begrenzt. Gleich mehrere Faktoren beeinflussen die Höhe bzw. den Verlauf der Kosten der Unterkunft und Heizung. Da- zu gehören in erster Linie das örtliche Mietniveau, die Neben- und insbesondere die Heizkosten, die Zahl der Leistungsberechtigten, die Struktur der Bedarfsgemein- schaften, die Höhe des in den Bedarfsgemeinschaften erzielten Einkommens. Nur ein verhältnismäßig geringer Teil davon ist durch den kommunalen Träger beein-
4

5 1 flussbar. So wurde in einer bundesweiten Studie von der Beraterfirma „Analy- se & Konzepte“ und dem Institut für Sozialforschung und Gesellschaftspolitik (ISG) festgestellt, dass eine zu großzügig bemessene Regelung des kommunalen Trägers im Hinblick auf die Bestimmung der Angemessenheitsgrenze der Kosten der Unter- kunft eine mietpreissteigernde Wirkung entfaltet. Daher ist der kommunale Träger gehalten, seine Richtlinie über die Angemessenheit der Kosten der Unterkunft und Heizung auf den tatsächlich bestehenden örtlichen Bedarf zu begrenzen. Eine weite- re Einflussmöglichkeit besteht darin, das in § 22 Abs. 1 Satz 3 SGB II vorgesehene Kostensenkungsverfahren, welches mit einer Mitteilung des kommunalen Trägers über die Unangemessenheit der Kosten der Unterkunft beginnt, frühzeitig einzuleiten und zum Abschluss zu bringen. Ferner können die Kosten nach § 22 SGB II durch den konsequenten und zeitnahen Verweis der leistungsberechtigten Person auf vor- rangige (Sozial-) Leistungen wie Wohngeld, Kinderzuschlag, Renten u. ä. sowie die kurzfristige und zielgerichtete Geltendmachung von übergegangenen Ansprüchen bzw. Ersatzansprüchen nach §§ 33 ff. SGB II (z. B. Kindesunterhalt) gesenkt werden. Dazu müssen freilich die nötigen Voraussetzungen vorliegen. Letztendlich stellt aus Sicht der Landesregierung jedoch die zügige und nachhaltige Integration erwerbsfähiger Personen einer Bedarfsgemeinschaft in bedarfsdeckende Beschäftigung den effizientesten und für alle Beteiligte befriedigendsten Weg zur Verringerung der kommunalen Aufwendungen im Rahmen des SGB II dar. 1 Die Studie ist im Januar 2010 in der Schriftenreihe "Forschungen" des Bundesministeriums für Verkehr, Bau und Stadtentwicklung und des Bundesinstituts für Bau-, Stadt- und Raumforschung erschienen (Heft 142). Sie kann unter forschung.wohnen@bbr.bund.de bestellt werden.
5

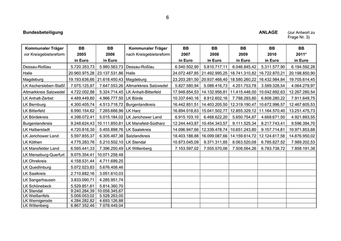
6 Bundesbeteiligung                                                                                                    ANLAGE        (zur Antwort zu Frage Nr. 3) Kommunaler Träger           BB            BB       Kommunaler Träger            BB            BB            BB            BB            BB vor Kreisgebietsreform      2005          2006     nach Kreisgebietsreform      2007          2008          2009          2010          2011* in Euro       in Euro                               in Euro       in Euro       in Euro       in Euro        in Euro Dessau-Roßlau           5.720.353,73  5.980.563,73 Dessau-Roßlau            6.540.502,90  5.810.717,11  6.046.845,42  5.311.577,90   6.194.592,28 Halle                  20.960.975,28 23.137.531,86 Halle                   24.072.487,85 21.492.995,25 18.741.310,82 16.722.870,21  20.198.850,90 Magdeburg              19.193.636,66 21.618.450,43 Magdeburg               23.203.281,50 20.937.468,40 18.580.260,22 16.432.984,84  19.705.614,45 LK Aschersleben-Staßf.  7.075.125,97  7.647.553,26 Altmarkkreis Salzwedel   5.827.580,94  5.088.416,73  4.251.753,78  3.589.328,54   4.064.279,97 Altmarkkreis Salzwedel  4.722.002,88  5.324.714,45 LK Anhalt-Bitterfeld    17.948.854,53 14.132.956,81 11.415.446,00 10.042.692,63  12.267.280,54 LK Anhalt-Zerbst        4.489.449,80  4.966.777,50 LK Börde                10.337.640,16  8.912.602,16  7.788.293,80  6.808.280,22   7.911.649,75 LK Bernburg             4.300.405,74  4.513.718,72 Burgenlandkreis         16.442.851,51 14.403.205,50 12.319.190,47 10.672.996,57  12.467.605,53 LK Bitterfeld           6.990.154,62  7.265.666,96 LK Harz                 16.894.018,63 15.041.502,77 12.855.329,12 11.164.570,40  13.251.475,73 LK Bördekreis           4.398.072,41  5.015.184,02 LK Jerichower Land       6.915.103,10  6.468.622,20  5.650.754,87  4.668.671,50   4.921.893,55 Burgenlandkreis         9.248.624,43 10.111.850,81 LK Mansfeld-Südharz     12.244.443,87 10.454.343,57  9.111.525,34  8.217.743,41   9.596.394,70 LK Halberstadt          4.720.816,30  5.455.898,76 LK Saalekreis           14.096.947,66 12.339.478,74 10.651.243,80  9.157.714,81  10.971.853,88 LK Jerichower Land      5.597.855,37  6.305.467,38 Salzlandkreis           18.403.188,88 16.099.087,66 14.159.614,72 12.124.817,58  14.876.950,02 LK Köthen               4.775.283,76  5.210.502,10 LK Stendal              10.873.045,09  9.371.311,85  8.063.520,08  6.785.827,52   7.989.202,53 LK Mansfelder Land      6.595.441,33  7.396.250,49 LK Wittenberg            7.153.597,02  7.555.570,06  7.508.564,26  6.783.738,72   7.858.191,38 LK Merseburg-Querfurt   9.075.354,41 10.071.258,48 LK Ohrekreis            4.158.531,44  4.711.699,25 LK Quedlinburg          5.072.023,83  5.676.408,46 LK Saalkreis            2.710.882,16  3.051.610,03 LK Sangerhausen         3.833.090,71  4.285.951,74 LK Schönebeck           5.529.851,61 5.814.360,70 LK Stendal              9.240.284,39 10.058.345,67 LK Weißenfels           5.006.053,02 5.528.263,05 LK Wernigerode          4.284.282,82 4.693.126,88 LK Wittenberg           6.867.352,46 7.078.449,04
6

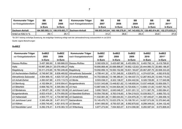
7 Kommunaler Träger                     BB                    BB              Kommunaler Träger                   BB                    BB               BB               BB              BB vor Kreisgebietsreform                2005                 2006            nach Kreisgebietsreform              2007                  2008             2009             2010            2011* in Euro              in Euro                                              in Euro               in Euro          in Euro          in Euro         in Euro Sachsen-Anhalt                  164.565.905,13 180.919.603,77 Sachsen-Anhalt                              190.953.543,64 168.108.278,81 147.143.652,70 128.483.814,85 152.275.835,21 Anteil an KdU in %                            29,1                  29,1                                                 31,2               28,6             25,4             23,0             27,6 *für 2011 bislang vorläufige Zuweisung, die endgültige Verteilung erfolgt nach der Jahresabrechnung voraussichtlich im Juli 2012 Quelle: eigene Berechnungen SoBEZ Kommunaler Träger                   SoBEZ               SoBEZ             Kommunaler Träger               SoBEZ                SoBEZ           SoBEZ           SoBEZ           SoBEZ vor Kreisgebietsreform                2005                2006           nach Kreisgebietsreform             2007                 2008            2009            2010           2011* in Euro             in Euro                                            in Euro              in Euro         in Euro         in Euro        in Euro Dessau-Roßlau                       5.457.360,90        5.189.866,03 Dessau-Roßlau                         5.382.629,33         5.425.687,88    6.453.959,15    6.493.792,14   6.419.799,91 Halle                             19.997.296,01 20.078.490,27 Halle                                      19.806.868,48 20.068.898,87 19.952.122,63 20.444.990,72 20.860.186,97 Magdeburg                         18.311.210,65 18.760.248,46 Magdeburg                                  19.092.856,10 19.550.152,69 19.831.183,87 20.067.287,75 20.508.333,20 LK Aschersleben-Staßfurt            6.749.847,59        6.636.460,82 Altmarkkreis Salzwedel                4.799.441,30         4.751.248,50    4.538.675,12    4.374.637,84   4.082.819,52 Altmarkkreis Salzwedel              4.504.909,15        4.620.727,39 LK Anhalt-Bitterfeld                14.753.926,82 13.196.380,81 12.184.037,73 12.287.903,29 12.545.715,03 LK Anhalt-Zerbst                    4.283.047,69        4.310.113,73 LK Börde                              8.503.038,31         8.322.138,57    8.304.442,94    8.328.729,89   8.117.640,96 LK Bernburg                         4.102.694,91        3.916.954,41 Burgenlandkreis                     13.531.543,68 13.448.821,62 13.148.600,04 13.037.448,68 12.859.559,71 LK Bitterfeld                       6.668.782,79        6.305.064,18 LK Harz                             13.887.648,72 14.044.824,09 13.720.835,11 13.606.121,83 13.657.763,75 LK Bördekreis                       4.195.871,36        4.352.120,36 LK Jerichower Land                    5.690.739,81         6.040.046,57    6.031.201,12    5.711.567,76   5.083.084,41 Burgenlandkreis                     8.823.419,61        8.774.950,55 LK Mansfeld-Südharz                 10.054.700,90          9.763.016,60    9.784.219,03 10.039.563,77     9.869.753,12 LK Halberstadt                      4.503.777,12        4.734.567,66 LK Saalekreis                       11.532.061,38 11.560.044,83 11.334.975,35 11.187.445,67 11.306.558,10 LK Jerichower Land                  5.340.494,39        5.471.813,77 Salzlandkreis                       15.145.470,73 15.023.278,14 15.108.781,41 14.827.573,59 15.370.843,48 LK Köthen                           4.555.740,45        4.521.615,19 LK Stendal                            8.941.800,50         8.750.537,26    8.592.875,92    8.299.349,53   8.244.132,40 LK Mansfelder Land                  6.292.216,41        6.418.383,10 LK Wittenberg                         5.877.273,94         7.054.923,57    8.014.090,58    8.293.587,54   8.073.809,44
7

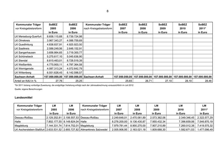
8 Kommunaler Träger                  SoBEZ                SoBEZ               Kommunaler Träger                SoBEZ                SoBEZ             SoBEZ        SoBEZ          SoBEZ vor Kreisgebietsreform               2005                  2006            nach Kreisgebietsreform              2007                 2008             2009          2010         2011* in Euro               in Euro                                              in Euro              in Euro          in Euro       in Euro       in Euro LK Merseburg-Querfurt              8.658.115,68         8.739.724,98 LK Ohrekreis                       3.967.343,27         4.088.759,69 LK Quedlinburg                     4.838.837,91         4.925.923,50 LK Saalkreis                       2.586.249,56         2.648.152,91 LK Sangerhausen                    3.656.864,65         3.719.300,77 LK Schönebeck                      5.275.617,10         5.045.636,90 LK Stendal                         8.815.463,01         8.728.519,39 LK Weißenfels                      4.775.900,11         4.797.364,58 LK Wernigerode                     4.087.313,24         4.072.642,79 LK Wittenberg                      6.551.626,45         6.142.598,57 Sachsen-Anhalt                  157.000.000,00 157.000.000,00 Sachsen-Anhalt                              157.000.000,00 157.000.000,00 157.000.000,00 157.000.000,00 157.000.000,00 Anteil an KdU in %                           27,76                25,25                                                25,65              26,71            27,10         28,10         28,46 *für 2011 bislang vorläufige Zuweisung, die endgültige Verteilung erfolgt nach der Jahresabrechnung voraussichtlich im Juli 2012 Quelle: eigene Berechnungen Landesmittel Kommunaler Träger                    LM                 LM              Kommunaler Träger                 LM                   LM               LM               LM               LM vor Kreisgebietsreform               2005               2006          nach Kreisgebietsreform             2007                 2008             2009             2010             2011* in Euro            in Euro                                           in Euro              in Euro          in Euro          in Euro           in Euro Dessau-Roßlau                     2.129.252,81 2.106.557,53 Dessau-Roßlau                               2.249.648,01         2.470.061,89     2.573.362,06          2.349.346,45 2.322.577,29 Halle                             7.802.177,55 8.149.824,04 Halle                                       8.278.200,00         9.136.430,87     7.955.432,34          7.396.659,06 7.546.870,19 Magdeburg                         7.144.331,74 7.614.752,01 Magdeburg                                   7.979.781,44         8.900.270,00     7.907.210,89          7.260.012,38 7.419.575,32 LK Aschersleben-Staßfurt 2.633.531,52 2.693.727,82 Altmarkkreis Salzwedel                               2.005.906,95         2.163.021,18     1.809.688,30          1.582.671,53 1.477.096,49
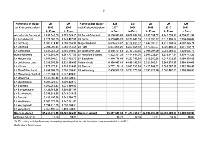
8

9 Kommunaler Träger                    LM                  LM              Kommunaler Träger                  LM                   LM           LM           LM          LM vor Kreisgebietsreform               2005                2006           nach Kreisgebietsreform             2007                 2008         2009         2010        2011* in Euro             in Euro                                            in Euro              in Euro      in Euro      in Euro      in Euro Altmarkkreis Salzwedel           1.757.642,69        1.875.545,15 LK Anhalt-Bitterfeld                  6.166.343,63          6.007.694,88 4.858.094,02 4.445.559,91 4.538.831,94 LK Anhalt-Zerbst                 1.671.080,85        1.749.467,61 LK Börde                              3.553.810,23          3.788.680,39 3.311.198,27 3.013.196,54 2.936.828,07 LK Bernburg                      1.600.714,12        1.589.884,94 Burgenlandkreis                       5.655.453,57          6.122.619,37 5.242.690,21 4.716.733,02 4.652.375,74 LK Bitterfeld                    2.601.903,14        2.559.214,51 LK Harz                               5.804.286,22          6.393.951,42 5.470.855,27 4.922.469,55 4.941.152,74 LK Bördekreis                    1.637.068,00        1.766.518,03 LK Jerichower Land                    2.378.421,53          2.749.750,66 2.404.797,39 2.066.350,63 1.838.975,76 Burgenlandkreis                  3.442.559,75        3.561.737,06 LK Mansfeld-Südharz                   4.202.321,29          4.444.644,76 3.901.223,64 3.632.147,94 3.570.713,23 LK Halberstadt                   1.757.201,01        1.921.752,72 LK Saalekreis                         4.819.778,09          5.262.747,65 4.519.550,68 4.047.432,57 4.090.525,48 LK Jerichower Land               2.083.655,98        2.220.999,63 Salzlandkreis                         6.329.987,81          6.839.395,78 6.024.265,71 5.364.370,57 5.560.916,62 LK Köthen                        1.777.475,11        1.835.315,69 LK Stendal                            3.737.189,10          3.983.710,28 3.426.204,02 3.002.567,22 2.982.590,58 LK Mansfelder Land               2.454.981,39        2.605.210,46 LK Wittenberg                         2.456.382,71          3.211.776,68 3.195.427,20 3.000.482,63 2.920.970,55 LK Merseburg-Querfurt            3.378.064,50        3.547.439,06 LK Ohrekreis                     1.547.905,10        1.659.620,40 LK Quedlinburg                   1.887.928,87        1.999.423,72 LK Saalkreis                     1.009.055,33        1.074.880,63 LK Sangerhausen                  1.426.768,26        1.509.657,67 LK Schönebeck                    2.058.343,35        2.048.015,18 LK Stendal                       3.439.455,39        3.542.890,73 LK Weißenfels                    1.863.372,96        1.947.241,88 LK Wernigerode                   1.594.712,78        1.653.078,58 LK Wittenberg                    2.556.193,24        2.493.270,00 Sachsen-Anhalt                  61.255.375,46 63.726.025,05 Sachsen-Anhalt                             65.617.510,58 71.474.755,81 62.600.000,00 56.800.000,00 56.800.000,00 Anteil an KdU in %                         10,83               10,25                                               10,72             12,16        10,81        10,17        10,30 *für 2011 bislang vorläufige Zuweisung, die endgültige Verteilung erfolgt nach der Jahresabrechnung voraussichtlich im Juli 2012 Quelle: eigene Berechnungen
9