doks

Dieses Dokument ist Teil der Anfrage „Lageberichte der Vertretungen in China 30.12.2019 bis 21.03.2020

/ 177
PDF herunterladen
Bo.   Pe ki ng / La ge m el du ng  C hina  C or on  a- Vi ru s N r. 45  / 13  .0 3. 20 20  , 13 :3  0 h / ve    r.E      I    E     R 1Z)usammenfassung Verschärfte Einreisequarantäne im gesamten La                  nd  , au ch  fü r Re  ise nd  e m  it Vo  ra uf en  th al t in  De  ut sc  hla nd , wird von Provinzen mit sehr         div er gie rend  en   Re  ge ln  un te rfü tte rt.  So   uth Ch   ina M   or nin  g Post (SCMP) ‘berichtet von Daten chn. Gesundheits             be  hö rde  n, da   ss SA RS   -C oV  -2- Inf ek tio ne n in  W  uh  an   be  re its ab   de  m 17.11.2019 nachweisbar seien.           Au  ch  be i die se n  Fä llen  ha  nd ele  es  sic  h nic  ht  um   „P  ati en t-Z   ero “. Außenamtssprecher Zhao beschuldigt USA in                  Tw   ee  t, mö gli ch er  We   ise  für  de  n Co   ron  aa us   bru ch   in  Ch ina verantwortlich zu sein. 2) Entwicklung der Fallzahlen (in Klammern Entwicklung zum Vortag): Insgesamt bes    täti gte Fäl le: 80. 801   (+8 ) dav  on   bed  ürfe  n 13.  526   we  iter  er  Beh   and  lun  g, ink  l. 4.0 20   sch  we  re Verläufe (-237). Aktuelle Ver       dac  hts fäll e 147   (ge  ste  rn neu  auf  gen   om   me  n:  +33  ). Ver   sto rbe    ne insg   .: 3.1 76 (+7). Aus Behandlung entlassen: 64.111 (+1.318). Kontakte unter med. Beobachtung: 12.161. Aufteilung der bestätigten Fälle nach Provinzen: 1.) Hubei 67.786 (+5) davon Wuhan 49.991 (+5) Neufälle in weiteren Provinzen (in Klammern Entwicklung zum Vortag): Shanghai (+2); Beijing (+1) Nachtrag zum 12.03.: Gestern unerklärter Fall stammte aus Provinz Heilongjiang, Regierungsbezirk . Großes Hinggan-Gebirge, lokale Ansteckung. Alle gemeldeten Neufälle außerhalb Hubeis sind Reisende aus dem Ausland (USA, ITA). Datenquelle: Offizielle Statistik der Nationalen Gesundheitskommission, Provinzdaten von staatl, Nachrichtenagentur Xinhua. 3) Lage Provinz Hubei / Wühan Weiter sinkende Fallzahlen. SCMP berichtet von Daten chn. Gesundheitsbehörden, dass SARS-CoV-2- Infektionen in Wuhan bereits ab dem 17.11.2019 nachweisbar seien. Auch bei diesen Fällen handele es sich nicht um „Patient-Zero“. 4) Weiteres zur landesweiten Situation In den vergarigenen Tagen haben die CHN Behörden die Quarantäneanforderungen an aus dem Ausland nach CHN einreisende Personen erheblich verschärft. Erschwerend kommt hinzu, dass die Implementierung dieser Quarantänemaßnahmen an den verschiedenen Flughäfen des Landes ° unterschiedlich transparent gehandhabt wird. Shanghai stuft Deutschland (sowie Frankreich, Spanien und USA) seit heute als Risikoland ein und ordnet nach Einreise eine 14-tägige Quarantäne zu Hause oder in zentraler Einrichtung an. Für Konsulatsangehörige ist bei Symptomfreiheit Heimquarantäne möglich. Geschäftsreisende mit Aufenthalt bis zu einer Woche werden bei Ankunft auf Covid-9 getestet und können bei negativem Ergebnis die Reise unter Auflagen (u.a. Fiebermessung) fortsetzen. Luftverkehr: Im nach wie vor schwer eingebrochenen Flugverkehr kündigt Hainan Airlines an, Flugbetrieb von und nach der südchinesischen Ferieninsel Hainan zu 39 Städten in China mit fast 500 wöchentlichen Flügen wieder aufzunehmen. Finanzen/Banken: Kleine und mittlere Banken werden angehalten sog. perpetual bonds (d.h. Anleihen mit unbegrenzter Laufzeit; in DEU werden solche Anleihen nicht emittiert) auszugeben, um Eigenkapitalerfordernisse für politisch gewünschte ausgeweitete Kreditvergabe an KMU erfüllen zu können. Zusammen mit der angekündigten Herabsetzung der Reserve Ratio Requirements (RRR, vgl. Lagemeldung Nr. 44 von gestern) liegt darin ein weiterer Schritt zur Lockerung bankenaufsichtsrechtlicher regulatorischer Erfordernisse. Finanzen/Börsen: Börsen in Shanghai-und Shenzhen zeigen sich weitgehend unbeeindruckt von den Börsenereignissen in USA und Europa. Seit Eröffnung der chinesischen Börsen am 3. Februar befindensie sich im Plus. US-CHN Phase I Deal/Sojabohnen: Hohe Sojapreise in den USA und durch die Folgen des Coronavirus geschwächte Nachfrage in China werden dazu führen, dass vorgesehenen Käufe von US-Sojabohnen vsstl. nicht vor dem 2.-Halbjahr getätigt werden. In dem Deal hatte sich China u.a. zum Kauf landwirtschaftlicher Produkte im Wert von 32 Mrd. USD in den nächsten zwei Jahren verpflichtet.
56

Bo. Peking/ LagemeldungChina Corona-Virus N                   r. 45  / 13 .0 3. 20  20  , 13 :3 0 h /  ve   r.    E      E       E 1) Zusammenfassung Verschärfte Einreisequarantäne im ge           sa  mt en La nd  , au ch fü r  Re ise  nd  e m  it Vo ra ufe  nth  alt  in De  uts ch lan d, wird von Provinzen mit sehr divergier         en de  n  Re ge ln  un ter füt ter t.  So   uth Ch  ina  Mo   rni ng  Po   st (SC  MP ) ‘berichtet von Daten chn. Gesundheitsbehörde               n, da  ss SA  RS  -C oV   -2- Infek tio ne n in  Wu   ha  n  be rei ts ab de  m 17.11.2019 nachweis      ba r sei en . Au ch be  i die sen  Fä llen  ha nd ele  es   sic  h nic ht  um  . „Pa  tie nt-Ze  ro“ . Außenamtsspre      che r Zha o bes  chu  ldig t US  A in Tw  eet  , mö glic her   We   ise  für  den   Co  ron  aau  sbr  uch   in Ch ina verantwortlich zu sein. 2) Entwicklung der Fallzahlen (in Klammern Entwicklung zumVortag): Insgesamt bestätigte Fälle: 80.801 (+8) davon bedürfen 13.526 weiterer Behandlung, inkl. 4.020 schwere Verläufe (-237). Aktuelle Verdachtsfälle 147 (gestern neu aufgenommen: +33). Verstorbene insg.: 3.176 (+7). Aus Behandlung entlassen: 64.111 (+1.318). Kontakte unter med. Beobachtung: 12.161. Aufteilung der bestätigten Fälle nach Provinzen: 1.) Hubei 67.786 (+5) davon Wuhan 49.991 (+5) Neufälle in weiteren Provinzen (in Klammern Entwicklung zum Vortag): Shanghai (+2); Beijing (+1) Nachtrag zum 12.03.: Gestern unerklärter Fall stammte aus Provinz Heilongjiang, Regierungsbezirk Großes Hinggan-Gebirge, lokale Ansteckung. Alle gemeldeten Neufälle außerhalb Hubeis sind Reisende aus dem Ausland (USA, ITA). . Datenquelle: Offizielle Statistik der Nationalen Gesundheitskommission, Provinzdaten von staat. Nachrichtenagentur Xinhua. 3) Lage Provinz Hubei / Wuhan Weiter sinkende Fallzahlen. SCMP berichtet von Daten chn, Gesundheitsbehörden, dass SARS-CoV-2- Infektionen in Wuhan bereits ab dem 17.11.2019 nachweisbar seien. Auch bei diesen Fällen handele es sich nicht um „Patient-Zero“, 4) Weiteres zur landesweiten Situation In den vergangenen Tagen haben die CHN Behörden die Quarantäneanforderungen an aus dem Ausland nach CHN einreisende Personen erheblich verschärft. Erschwerend kommt hinzu, dass die Implementierung dieser Quarantänemaßnahmenan den verschiedenen Flughäfen des Landes unterschiedlich transparent gehandhabt wird. Shanghai stuft Deutschland (sowie Frankreich, Spanien und USA) seit heute als Risikoland ein und ordnet nach Einreise eine 14-tägige Quarantäne zu Hause oder in zentraler Einrichtung an. Für Konsulatsangehörige ist bei Symptomfreiheit Heimquarantäne möglich. Geschäftsreisende mit Aufenthalt bis zu einer Woche werden bei Ankunft auf Covid-9 getestet und können bei negativem Ergebnis die Reise unter Auflagen (u.a. Fiebermessung) fortsetzen. Luftverkehr: Im nach wie vor schwer eingebrochenen Flugverkehr kündigt Hainan Airlines an, Flugbetrieb von und nach der südchinesischen Ferieninsel Hainan zu 39 Städten in China mit fast 500 wöchentlichen Flügen wieder aufzunehmen. Finanzen/Banken;: Kleine und mittlere Banken werden angehalten sog. perpetual bonds (d.h. Anleihen mit unbegrenzter Laufzeit; in DEU werden solche Anleihen nicht emittiert) auszugeben, um Eigenkapitalerfordernisse für politisch gewünschte ausgeweitete Kreditvergabe an KMU erfüllen zu können. Zusammen mit der angekündigten Herabsetzung der Reserve Ratio Requirements (RRR, vgl. Lagemeldung Nr. 44 von gestern) liegt darin ein weiterer Schritt zur Lockerung bankenaufsichtsrechtlicher regulatorischer Erfordernisse. Finanzen/Börsen: Börsen in Shanghai-und Shenzhen zeigen sich weitgehend unbeeindruckt von den Börsenereignissen in USA und Europa. Seit Eröffnung der chinesischen Börsen am 3. Februar befinden sie sich im Plus. US-CHN Phase | Deal/Sojabohnen: Hohe Sojapreise in den USA und durch die Folgen des Coronavirus geschwächte Nachfrage in China werden dazu führen, dass vorgesehenen Käufe von US-Sojabohnen vsstl. nicht vor dem 2..Halbjahr getätigt werden. In dem Deal hatte sich China u.a. zum Kauf landwirtschaftlicher Produkte im Wert von 32 Mrd. USD in den nächsten zwei Jahren verpflichtet.
57

Bo. Peking/ LagemeldungChina Corona-Viru                    s N  r. 46  / 16  .0 3. 20 20  , 14 :0 0 h / v e t     E     IE     R Zusammenfassung 1) Erneute Verschärfung der Einreisebedingungen                  , vie ler or ts ist die  14  -tä gig eQu  ar an tän ena  ch Ei nr eis  e nun aneinem vonder jew            eili ge n  Pro vinzre gie run  g fes tge  leg ten  Or  t ve rpf lich ten d (in sb. Pe kin g). Bestätigte Neufä    lle  übe  r das   Wo   che nen   de zu gro  ße  n Te  ilen  bei  ein reis  end  en  Pe rso nen . 2) Entwicklung der Fa       llza  hle  n (in Kla mm   ern  En  twi ckl ung   enFre   ita g /Sa ms   tag /So nnt  ag) : Insges   am t bes täti gte Fäl  le: 80.  860  (+1  1/+ 20/+16   ) dav  on   bed  ürfe  n 9.8  98  we  iterer Beh  and  lun g, ink l. 3.032 schwere Verläufe (-410/-384/-194). Aktuelle Verdachtsfälle 134 (neu aufgenommen: +17/+39/+41). Verstorbene insg.: 3.213 (+13/+10/+14). Aus Behandlung entlassen: 67.749 (+1.430/+1.370/+838). Kontakte unter med. Beobachtung: 9.582. Aufteilung derbestätigten Fälle nach Provinzen: 1.) Hubei 67.798 (+4/+4/+4) davon Wuhan 50.003 (+4/+4/+4) Neufälle in weiteren Provinzen (in Klammern Entwicklung zum Vortag): Beijing (+1/+5/+4); Shanghai (+4/+3/+2); Gansu (+2/+3/+1); Guangdong (+0/+1/+4); Zhejiang (+0/+4/+0); Yunnan (+0/+0/+1). Alle gemeldeten Neufälle außerhalb Hubeis sind Reisende aus dem Ausland (u.a. USA, UK, ITA, IRN, THA). Datenquelle: Offizielle Statistik der Nationalen Gesundheitskommission, Provinzdaten von staatl. Nachrichtenagentur Xinhua. 3) Lage Provinz Hubei / Wuhan -keine signifikanten Entwicklungen- 4) Weiteres zur landesweiten Situation Stadt Peking hat durch Pressekonferenz am Nachmittag des 15.03. angekündigt, ab dem 16.03., 00:00 Uhr, sämtliche aus dem Ausland einreisende Personen zu Quarantänezwecken in zentralen’ Unterkünften (Hotels) unterzubringen: Kosten des 14-tägigen Aufenthalts sind von den Reisenden zu tragen. Ausnahmen für Diplomaten gelten weiterhin. In Guangdong verlief Einführung 14-tägiger Quarantäne für Einreisende mit Reisehistorie in Deutschland äußerst holprig auch zur Frage Heimquarantäne/Hotelunterbringung. Heimquarantäne für Expats mit Wohnsitz grds. möglich, aber Abläufe vor Ort (noch) nicht eingespielt; teilweise stunden-bis tageweise Zwischenunterbringung in Hotels. Als freiwillig angekündigte Corona-Tests werden teilweise doch obligatorisch gefordert, auch um Heimquarantäne für Wohncompounds akzeptabel zu machen, Kostenübernahme Hotelquarantäne/Behandlungskosten offen. Provinz Sichuan hat DEU und FRA in die Liste von Hochrisikogebieten aufgenommen. Alle Einreisenden, die sich in den vorangegangenen 14 Tagen in diesen Ländern aufgehalten haben müssen in eine zentrale Quarantäneeinrichtung, um Tests durchführen zu lassen. Finanzen/Staatseinnahmen gesunken: Trotz gesunkener Staatseinnahmen habe China ausreichende fiskalische Spielräume zur Bewältigung der sozialen und wirtschaftlichen Folgen der Corona-Krise, so ein Sprecher des Finanzministeriums..China habe auf allen Ebenen bis jetzt für die Maßnahmen zur Vermeidung und Eindämimung des Corona-Virus rund 117 Mrd RMB (etwa 15 Mrd. EUR) ausgegeben. Finanzen/Sozialpolitik: Peking werde im Haushalt Mittel für bedürftige Bevölkerungsgruppen zur Existenzsicherüng vormerken. Finanzmarkt/Banken; Schnitt der reserve requirement ratio {RRR) tritt heute in Kraft. Banken erhalten dadurch von der Zentralbank mehr Liquidität für Kreditvergaben. Finanzmarkt/Börsen: Nach turbulenter Börsenwoche mit hohen Verlusten an den internationalen - Aktienindex Shanghai Composite meldet für abgelaufene Woche Verlust von -1,7%. Etwas stärker ging es für die Shenzhen Börse mit Minus von 4,7% zurück.. Inflation Lebensmittelpreise auf dem Rückzug: Preissteigerung ermäßigte sich von 14,6% auf 11,4% in der abgelaufenen Woche (jeweils im Jahresvergleich). Wirtschaft/Stärkung der Binnennachfrage: 23 Ministerien und Behörden stellen Maßnahmen zur Förderung der Binnennachfrage vor. Handelsministerium kündigt dabei Überarbeitung des Investitionslenkungskatalogs (sog. negative list) an.
58

N Bo. Pekin/g Lagemeldung China Corona-V              iru s Nr  . 47  /  17.03    .20  20  , 14 :00  h /  Ve  rf.E        E      E Zusammenfassung 1) Botschaft hat Schichtsystem eingeführt, ab 18           .03 . ist jew  eil s  nu  r ein   Te il de r Be   leg sc ha ft in  de n  Rä um  en der Botschaft im Dienst, der Rest arbeitet         vo n zu  Ha   us e so we    it die  s mö  gli ch  ist . Te am  s we   ch  se ln täg lich  . Bestätigte Neuinfektionsfä        lle im ges am ten Lan  d fas  t aus  sch  ließ  lich  bei  ein  reis end   en  Pe rso   nen   (20  von    ' 21). Für ganz China ist nur noch eine bestätigte lokale Infektion neu gemeldet (in Wuhan). 2) Entwicklung der Fallzahlen (in Klammern Entwicklung zum Vortag): Insgesa  mt  bes tätig te Fäll e: 80.8 31 (+21 ) dav on  bed   ürfe  n 8.97   6  wei   tere  r Beh   and  lung , inkl  .  2.83  0 sch wer    e Verl  äufe (202 ).  Aktu  elle  Verd  achtsfälle 128  (neu   aufg   enom     men    : +45)  . Vers   törbe  ne  insg   .: 3.22  6 (+13  ). Aus Behandlung entlassen: 68.679 (+930). Kontakte unter med. Beobachtung: 9,351. Aufteilung der bestätigten Fälle nach Provinzen: 1.) Hubei 67.799 (+1) davon Wuhan 50.004 (+1) Neufälle in weiteren Provinzen (in Klammern Entwicklung zum Vortag): Beijing (+9); Shanghai (+3); Guangdong (+3); Zhejiang (+1); Shandong (+1); Guangxi (+1); Yunnan (+1); Shaanxi (+1). Alle gemeldeten Neufälle außerhalb Hübeis sind Reisende aus dem Ausland. Datenquelle: Offizielle Statistik der Nationalen Gesundheitskommission. 3) Lage Provinz Hubei / Wuhan Lediglich eine neue bestätigte Infektion mit SARS-CoV-2. 4) Weiteres zur landesweiten Situation Einreisebestimmungen Peking: Ausnahmen (sog. special circumstances) von der Quarantäne in zentralen Quarantänestellen für Einpersonenhaushalte, Schwangere und Ältere über 70 Jahre. Sie dürfen die Quarantäne zu Hause absolvieren. Konkrete Umsetzung bleibt unklar. Covid-19 Impfstoffentwicklung: Shanghaier Wissenschaftsbehörde hat am Montag erste Fortschritte bei der Entwicklung von Covid-19-Impfstoffen verkündet. Für einen möglichen mRNA-Impfstoff sind ab Mitte April erste klinische Tests geplant. Bei einem möglichen sog. virus like particles-Impfstoff (VLP- Impfstoff) konnten bei Tests an Mäusen bereits spezifische Antikörper nachgewiesen werden. - - Lebensmittel/Schweinefleisch: Nationale Entwicklungs- und Reformkommission (NDRC) und Landwirtschaftsministerium verabschieden Maßnahmen zu Förderung der vom Afrikanischen Schweinefieber und der Corona-Krise daniederliegenden Schweinefleischindustrie entlang der gesamten Wertschöpfungskette. Wirtschaft/Einbruch bei Investitionen in Anlagevermögen: Nach Angaben des Nationalen Statistikamtes (NBS) sind Investitionen in Anlagevermögen (sog. fixed-asset investment) in den diesjährigen ersten beiden Monaten auf Jahresbasis um fast 25 Prozent eingebrochen (umgerechnet um 471'Milliarden USD).
59

Bo. Pekin/g La  ge me   ldu ng  Ch ina Co  ron   a-V  iru s Nr . 48  /  18  .03 .20 20 , 13  :30  h / ve  r.       EEE Zusammenfassung 1) Offiziell kaum Neuinfektione      n.  We  ite re   Ein sch  rän kun   ge n  im  Flu gv erk  eh  r un Qu d   ara ntä  ne ma  ßn  ah  me n für Einreisende in Shanghai      und  Sü dch   ina  . Lag e  bzg  l. inte rna  tion aler  Flü  ge  nac h Pe kin  g der zei t unk lar, vermehrte Anzeichen, dass weitere Beschränkungen bevorstehen. 2) Entwicklung der Fallzahlen (in Klammern Entwicklung zum Vortag): Insgesam   t bestätig te Fälle : 80.8 94 (+13    ) dav  on   bed  ürfe  n  8.05  6 wei tere   r Beh  and lung  , inkl. 2.62  2 schw   ere Verläufe (-20  8). Akt uel le Ver dac  hts fäll e  119  (ne  u auf   gen  om   me  n: +21  ). Ver  sto rbe ne ins  g.: 3.2 37  (+1 1). Aus Behandlung entlassen: 6.9601 (+1.014). Kontakte unter med. Beobachtung: 9.222. Aufteilung der bestätigten Fälle nach Provinzen: 1.) Hubei 67.800 (+1), davon Wuhan 50.005 (+1) Neufälle in weiteren Provinzen (in Klammern Entwicklung zum Vortag): Beijing (+3); Shanghai (+3); Guangdong (+5); Sichuan (+1). Datenquelle: Offizielle Statistik der Nationalen Gesundheitskommission. 3) Lage Provinz Hubei / Wuhan Teilweise Lockerung der harten Ausgangssperren für einzelne Kommunen in Hubei. Möglichkeit für Personen die Stadt Enzhou zu verlassen, unter der Auflage, nicht nach Peking zu fahren. 4) Weiteres zur landesweiten Situation Stadt Peking: vermehrte Anzeichen, dass Flüge nach Peking zu Nachbarstädten umgeleitet werden, um dort die Gesundheitsüberprüfungen der Passagiere vorzunehmen. Genauerer Ablauf ist noch nicht bekannt. Bisher keine offizielle Bestätigung. GK Shanghai: Einreisende aus Risikogebieten nach Shanghai werden seit 17.03. von den Flughäfen in Test-Center zum obligatorischen Test auf Covid-19 gebracht. Privater Transfer ist nicht möglich. Auch bei negativem Testergebnis folgt eine 14-tägige Quarantäne zu Hause oder in einem Quarantänehotel. Kosten für zentrale Quarantäne müssen selbst getragen werden (200 bis 400 RMB pro. Person/Tag). GK Chengdu: Nach zwei „importierten“ Fällen (GBR und ESP) wurde in den soz. Medien Kritik an den Kontrollen am Flughafen in Chendu laut. Die beiden Fälle reisten über den dortigen Flughafen ein. GK Kanton: Zunehmende Einschränkung des Flugverkehrs von/nach Südchina (China Southern fliegt aktuell nur noch Paris an). Bei Einreisen in Provinzen Fujian und Hainan aus Risikogebieten stets Sammelquarantäne auf eigene Kosten. Heimquarantäne in seltenen Ausnahmefällen. In Guangdong Heimquarantäne offenbar weiterhin möglich. COVID-19-Tests auch für Ausländer zunehmend obligatorisch, aber selbst bei negativem Ergebnis 14-tägige Quarantäne. Wirtschaft/Autoabsatz: Fahrzeugmarkt im Februar zusammen gebrochen; Absatzzahlen für Februar (im Vgl. zum Vorhjahr): Pkw: 224 Tsd. (-82%), Nutzfahrzeuge: 86 Tsd. (-79%). Vier chin. Städte (Guangzhou, Foshan, Changsha, Xiangtan) zahlen Kaufprämien für vor Ort hergestellte NEVs, die auch im JV produzierten Fahrzeugen zu Gute kommen (z.B. produziert Volkswagen in Foshan und Changsha).                                          . Landwirtschaft/Schweinefleisch: Handelsministerium (MofCom) gibt weitere Schweinefleischvorräte frei. 17.000 Tonnen Schweinefleisch zusätzlich auf den Markt gebracht. Maßnahmen könnten laut Behörden bei Bedarf fortgesetzt werden. Landwirtschaft/Obst und Gemüse: Obst- und Gemüsebauern in südl. Landesteilen leiden unter Preisverfall aufgrund verfügter Bewegungs- und Verkehrsbeschränkungen. Gründe: Nachfragerückgang sowie insbesondere herunter geschraubte und verzögerte Abnahme durch Großhändler aufgrund reduzierter Lagerhaltung und verzögerten Weiterverkaufs gelagerten Obst und Gemüses. Großhändler                                        | boten Bauern, deren Ernte sonst zu verrotten drohte, nur geringe Preise. Finanzmarkt/Börse: Nach Aufhellung der Stimmung an internationalen Finanzmärkten, setzen auch die                                       | Festlandbörsen zu einer Erholungsbewegung an. Shanghai Composite Aktienindex gestern noch mit leichten Minus, jetzt mit einem deutlichen Plus von 1%;
60

Bo. Pekin/g Lagemel           du ng  C hi na  C  or on a-  V iru s N r. 4  9/  19  .0 3. 20 20    , 1 4  :0 0 h  /  V  e  rf . (E  E R  E  IE E R Z E R E | 1) Zusammenfassung N eu   fä lle du rc h  lo ka le A ns   te ck un g ge  m  el de t, al le rd in  gs   R   ek or dz   ah  l vo  n   Fä lle n  eing er ei st er Erstmals  ke  in e Flughäfen ungewiss, bisher ke             in e öf fe nt lic he  An kü  nd  ig un g  de  r M  aß   na   hm   e. 2) Entwicklung der Fallzah           le n  (in Kl am  m    er n En tw  ic kl un g zu  m   Vo  rta   g) : es am t be st ät ig te  Fä lle: 80 .8  81  (+ 34 )  da  vo n be dü   rfe n 7.  26  3 w ei   te  re  r Be   ha  nd  lu  ng  , inkl .  2. 31 4 sc hw   er e Insg                                                                                                                     en    e  ins g. : 3. 24 5 (+ 8) . Verläufe (-308). Aktuelle Verdachtsfälle 105 (neu                      au  fg en om   m   en :   +2  3)  . Ve   rs to rb Aus Behandlung entlassen: 70.420 (+1.0                   32  ). Ko nt ak  te  un te r m   ed .   Be   ob  ac ht  un   g: 9.  14   4. Aufteilung der bestätigten Fälle nach Provinzen: 1.) Hubei 67.800 (+0) davon Wuhan 50.005 (+0) Neufälle in weiteren Provinzen (in Kla                mm     ern  En twi  ckl un  g  zu  m  Vo     rta g):   Be   ijin g   (+2  1);  Sh   an  ghai (+2  ); Guangdong (+9); Zhejiang (+1); Heilongjiang (+1). Alle gemeldeten Neufälle sind Reisende aus dem Ausland. Datenquelle: Offizielle Statistik der Nationalen Gesundheitskommission. 3) Lage Provinz Hubei/ Wuhan Erstmals keine Neuinfektionen in der Provinz Hubei gemeldet. 4) Weiteres zur landesweiten Situation Umsetzung von Flugumleitungen von Peking an andere Flughäfen ungewiss, bisher keine öffentliche Ankündigung der Maßnahme, Ansprechpartner auf Arbeitsebene signalisieren, dass Vorbereitungen getroffen werden, aber noch Hürden bestehen. Ob künftig Flüge nach Peking zunächst an anderen Orten zwischenlanden müssen, um dort Gesundheitschecks durchzuführen bleibt offen. Ständiger Ausschuss des Politbureaus hat bei seiner Sitzung aktuelle Epidemielage beraten. Vorsichtige Lockerung der Maßnahmen in Hubei, verstärkte Vorsichtsmaßnahmen gegen Wiedereinführung aus Hubei oder dem Ausland in andere Gebiete, weitere Analyse der Effekte der weltweiten Eintrübung der Konjunktur auf chinesische Wirtschaft wurden angeordnet. Weitere Senkungen der Krisenstufe in vielen Städten landesweit. Teilweise Aufhebung von Vorkehrungsmaßnahmen (u. a. Maskenpflicht in Chengdu aufgehoben). Anstieg notleidender Kredite im CHN Bankensektor. Die oberste Aufsichtsbehörde der Branche sagte jedoch, dass die Risiken unter Kontrolle sind und der Bankensektor die steigenden notleidenden Kredite aufgrund großer Kapitalreserven verdauen kann. Für den Anstieg verantwortlich seien in erster Linie Konsumentenkredite (Kreditkartenkredite, Eigenheimkredite): Gleichzeitig habe sich das Wachstum der Konsumentenkredite seit Ausbruch der COVID19-Krise deutlich verlangsamt. BIP-Entwicklung: Mehrere Finanzinstitute haben ihre Prognosen zur BIP-Leistung Chinas im ersten Quartal gesenkt, nachdem die CHN Statistikbehörde neue Daten veröffentlicht hatte, aus denen hervorgeht, dass die wichtigsten Wirtschaftsindikatoren                         in den ersten beiden Monaten dieses Jahres teilweise zweistellig gesunken sind. UBS geht für das erste Quartal von einem Rückgang von 5% aus. Für das zweite Quartal geht Morgan Stanley von neuem Wachstum aus. Energieverbrauch ging in den ersten. beiden Monaten im Vergleich zum Vorjahreszeitraum um 7,8% zurück (Nationale Planungskommission, NDRC). Der Industrieverbrauch sank um 12% und im Dienstleistungssektor um 3,1 %.                                                              \
61

Bo. Peking / Lagemeldun            g Ch ina   Co ro na -V iru  s  Nr . 50   /  20  .0 3.  20 20  , 14  :0 0  h Zusammenfassung 1) Erneut keine lokalen Ansteckungen gemeldet. Alle geme                       lde   ten   be  stä  tig te  n Fä  lle sin d   Re  ise  nd e au s de  m Ausland. Stadt Peking ric        hte t off en ba  r sc hri ttw eis e Um   lei tun  gs sy  ste  m   für   Flü  ge  ein . In den öffentlichen und sozialen Medien zunehm                    en d  lau tes    Un  ve  rst än  dn   is üb  er  die  ve   rm  ein tlich  nic ht ausreichenden Maßnahmen in Deutschland und Europa. 2) Entwickl   un g de  r Fa llza hle n  (in Kla  mm   ern   En twi ckl un  g  zu  m  Vo   rta  g): Insgesamt bestätigte Fälle: 80.967 (+39)              da vo  n be  dü rfe n  6.5  69   we   ite rer   Be  ha  nd  lun g,  ink  l. 2.1  36 sc hw  ere Verläufe (-178). Aktuelle Verdachtsf             älle  10 4  (ne u au fge  no  mm    en  : +3  1).  Ve   rst orb  en e   ins  g.:  3.2 48  (+3 ). Au s Beh   and lung  entl ass  en: 71.1  50   (+7 30).  Kon  takt  e unt er  med    .  Beo   bac   htun   g:  8.98   9. Aufteilung der bestätigten Fälle nach Provinzen: 1.) Hubei 67.800 (+0), davon Wuhan 50.005 (+0) Neufälle    in wei tere   n Pro  vinz en   (in Kla  mm   ern   Ent wic  klun   g  zum    Vor   tag   ): Bei  jing  (+6   ); Sha   ngh  ai (+8 ); Gua   ngd  ong  (+1 4); Fuji an  (+3  ); Sich  uan   (+1 ); Tia njin (+1  );  Zhe  jian   g  (+1  ), Hei   long  jian  g  (+1  ), Liao  ning  (+1) , Gansu (+1), Guangxi (+1), Shandong (+1). Sämtliche Fälle sind Reisende aus dem Ausland. Datenquelle: Offizielle Statistik der Nationalen Gesundheitskommission. 3) Lage Provinz Hubei/ Wuhan -keine signifikante Lageänderung - . 4) Weiteres zur landesweiten Situation Stadt Peking: Umleitungssystem für Flüge nach Peking: erste Flüge müssen zunächst in einem von vier Ausweichflughäfen landen, u.a. aus Moskau, Toronto und Tokyo. Passagiere werden dort Gesundheitschecks unterzogen. Lediglich Passagiere ohne Symptome und ohne direkten Kontakt zu Verdachtsfällen dürfen Reise nach Peking fortsetzen. GK Shanghai: Shanghai scheint mit der Umsetzung der obligatorischen Tests nach Einreise aus Risikoländern überfordert. Es kommt zu langen Wartezeiten in den Test-Centern unter teilweise unzumutbaren Zuständen. GK Chengu: ALLE einreisenden aus dem Ausland unterliegen 14-tägigen Quarantäne in zentralen Einrichtungen. Diplomaten sind wohl ausgenommenund dürfen in Heimquarantäne. Provinz Guiyang wendet Restriktionen sehr streng an: Bürger sind aufgerufen, niemanden aus dem Ausland einzuladen. Bis auf Weiteres keine Genehmigung für sämtliche Auslandsreisen (auch official Travel). GK Kanton: Deutliche Ausweitung der „Risikogebiete“ mit zwingender 14tägiger Quarantäne. Neu: Rückkehrende Studierende aller Nationalitäten und alle rückkehrenden chinesische Staatsangehörige müssen stets in Quarantäne; sonstige Ausländer nur bei Rückkehr aus einem der Risikogebiete. Kostenloser Corona-Test inzwischen auch für Ausländer obligatorisch. Wirtschaft/Liste förderungswürdiger Investitionen: Ausweitung der Liste förderungswürdiger Investitionen durch Entwicklungs- und Planungskommission {NDRC) und Handelsministerium (MofCom) _ für hochwertigen Entwicklung des produzierenden Gewerbes:in Zentral- West- und Nordostchina, Binnenkonsum: Versuchsweise Verteilung von Einkaufsgutscheinen an Verbraucher {u.a. in Nanjing, Jinan, Ningbo). NDRC beobachtet Gutscheinpraxis auf ihre Wirksamkeit, um sie ggf. auszuweiten. Huawei: rechnet mit Verzögerung bei der Markteinführung neuer Produkte wegen Corona-bedingtem Lieferausfall von Bauteilen aus dem Ausland. Landwirtschaft/Frühjahrsaussaat beginnt: Landwirtschaftsministerium {MARA) geht für 2020 von einer Getreideernte „in normaler Höhe“ (über 650 Mio. metrische Tonnen) aus. Finanzmarkt/Börsen: Shanghai Composite zeigte sich über die Woche relativ widerstandsfähig; seit Wochenanfang nur ein Minus von 2,2%. Seit dem Wochentief am gestrigen Donnerstag konnte die Börse sogar um 2,5% wieder zulegen.
62

Provinzen Guizhou und Sichuan unt        ers tützen die Mö    glic hke it für Wa nde  rarb eite r vor alle m nac h  Gua ndong  und  Zhe   jian g zurückzukehren    , dur ch Aus gabe von Ges und  heit sze rtifik aten und  Ret abli erun g der  Eise nba  hnv erbi ndunge n, z.B . dre i Züg e von Guiyang nach Shanghai/Guanzhou vom 17-19.Feb. 3)   Verkehrseinschränkungen: Internationale Flugverbindungen von Chengdu und Chongging weiterhin stark eingeschränkt. Chongaing führt ab 17. Februar auch in 30 Buslinien Temperaturmessungen ein (bisher nur (U-Bahn). Guizhou konzentriert Straßenchecks nur noch auf die Provinzgrenzen. Inter-City Zugverbindungen teilw. wieder aufgenommen (5.0.). 4) Arbeitseinschränkungen/Wirtschaft/Ausgangsvorschriften Umsetzung der Zu-und Ausgangsbeschränkungen in Yunnan und der regierungsunmittelbaren Stadt Chongging, weiterhin strikter als in Sichuan, Bei FAW-VW sind nach eigenen Angaben 100% der Arbeiter wieder im Werk. Produktion läuft vielfach wieder an. Schulen und Universitäten bleiben bis Ende-März, u.U. sogar länger geschlossen. 5) Informationsaustausch zwischen den CK’                         EEE 6)   Eigene Maßnahmen des GK: Weiter eingeschränkter Dienstbetrieb. Sr REREEE
63

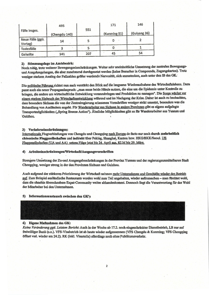
505-22 Graf, Gabriele Heike Gesendet: Dienstag, 18. Februar 2020 10:14 An: 040        !ace Cc: Betreff: Lagebericht Nr. 13 GK Chengdu -Coronavirus - 18.2.2020 16.30 OZ Lagebericht GKChengdu Nr. 13 vom 18.2.2020 GK Chengdu unterrichtet zur aktuellen Lage im Amtsbezirk (Provinzen Sichuan, Yunnan, Guizhou und regierungsunmittelbare Stadt Chongging) wiefolgt: 1)   Fallzahlen: Weiterhin verlangsamter Anstieg der absoluten Fallzahlen im Amtsbezirk, mehr geheilte Fälle als Neuinfektionen. Sieben der Neuinfektionen in Sichuan werden aus dem Autonomen Tibetischen Distrikt Ganze im Westen der Provinz berichtet, mit schwächer ausgeprägtem Gesundheitssystem als in den großen Städten. Stand: 18.02, .                       Sichuan       . Chongging             Yunnan            Guizhou 09.36 Uhr                     .                                  . 508          \                       172                146 Fälle insges.                                  553             .                               a: (Chengdu 140)                        (Kunming 52)        (Guiyang 36) Neue Fälle (ggü.               13               FR                 4                  0 Vortag). Todesfälle                      3                5.                 0                  1 Geheilte                 00163                225                  47                 66 2)   Stimmungslageim Amtsbezirk: Sichtlich zunehmender. Verkehr und Aktivität in der Stadt. Sichuan scheint Wiederaufnahme der Wirtschaftsaktivität stärker zu priorisieren als Chongging = dort weiter Politik des „safety first“, InChengdudezentralesKrisenmanagement:wiein einigenanderenStädtenwirdVerantwortung undImplementierungvon Maßnahmenandiez,T.überforderten                     nen delegiert.Dagegenwirdin Chonggingweiterhinsehrzentral verwaltet. Stadt Chengdu definiert landesweit 10 Risiko-Gebiete, in denen sie die Ausbreitung als „schwer“ bewertet: Provinzen Hubei, Guangdong, Henan, Zhejiang, Hunar, Anhui, Jiangxi, Hainan; Städte Peking, Chongging. Alle seit 13.02.2020 aus diesen Risikogebieten zurückgekehrten Personen müssen sich schriftlich registrieren, einer Gesundheitsprüfung unterziehen und sich in 14 tägige Quarantäne begeben, Außerdem identifiziert Stadt Chengdu seit 15.02.2020 18 Verbreitungsdistrikte für die gilt: Einschleppung verringern, Verbreitung stoppen.“ Nur 4 Distrikte der Stadt ohne Fälle. Alle Zufahrten zu ländlichen Ansiedlungen sind nunmehr behördlich geschlossen und nur für Anwohner zu durchqueren (bisher lokale orgnisierter „Selbschutz“,
64

495                                               171                       146 Fälle insges.                                         551 (Chengdu 140)                                    {Kunming 51)              (Guiyang 36) 14                        5                       u-                        J Neue Fälle (ggü. Vortag)                               _ Todesfälle                     3         :              5                       0                          1 Geheilte                     141                      207                      45                         54 2)   Stimmungslage im Amtsbezirk: Noch ruhig, trotz weiterer Bewegungseinschrän          kun  gen . We   iter seh r une  inh eitl ich e Um   set zun    g der zen tral en Bew   egu  ngs - und Ausgehregelungen, die aber zunehmend           dur  chg ese  tzt we  rde n (ke  ine Be suc   her  in Co  mp    oun  ds, Zug ang  ska  rten ). Tro tz weniger starkem Anstieg der Fal    lzah len  grö  ßer  wer den de   Ner  vos ität , sich anz uste   cke  n, auc    h unt er den IB  des  GK    : Diepolitische Führungrichtet nun auc       h  ver stä rkt den Blic   k auf  die lang  sam  e Wie   der  auf nah    me   des Wir tsch  afts lebe  ns. Daz u passt auch ein  neuer Pro pag and asp ruch  : „ma  n mus   s beid  e Hän   de nutz   en, die eine   um   die Epid     emi e  unt er Kon  troll e  zu bringen, die andere um wirtschaftliche Entwicklung voranzubringen und Produktion zu managen". DieSorgewächstvor einem starken Einbruch der Wirtschaftsentwieklung, während und im Nachgang der Krise. Daher ist auch zu beobachten, dass besonders Sichuan die von der Zentralregierung erlassenen Vorschriften weniger strikt umsetzt, besonders was die Behandlungvon Ausländern angeht. Für Wanderarbeiter aus Sichuan in andere Provinzen gibt es eigens aufgelegte Transportmöglichkeiten („Spring Breeze Action"). Ähnliche Möglichkeiten gibt es für Wanderarbeiter aus Yunnan und "Guizhou.                                                                    \ 3)   Verkehrseinschränkungen: Internationale Fiugverbindungen von Chengdu und Chongging nach Europa de facto nur noch durch mehrheitlich chinesische Fluggesellschaften und indirekt über Peking, Shanghai, Kanton bzw. HKG/BKK/Seoul. US Fluggesellschaften (UA und AA) setzen Flüge jetzt bis 24. April aus, KLM bis 29. März. 4)   Arbeitseinschränkungen/Wirtschaft/Ausgangsvorschriften Strengere Umsetzung der Zu-und Ausgangsbeschränkungen in der Provinz Yunnan und der regierungsunmittelbaren Stadt Chongging, weniger streng in der den Provinzen Sichuan und Guizhou. Auch aufgrund der stärkeren Priorisierung der Wirtschaft nehmen mehr Unternehmen                              und Gesc)               r den Betrieb auf. Zum Beispiel ausländische Restaurants wurden wohl zum Teil angehalten, wieder aufzumachen — man fürchtet wohl, dass die ohnehin überschaubare Expat-Community weiter abhandenkoinmt. Dennoch liegt die Verantwortung für das Wohl der Mitarbeiter bei den Unternehmen. 5)   Informationsaustausch zwischen den GK‘s
65

Zur nächsten Seite