doks

Dieses Dokument ist Teil der Anfrage „Lageberichte der Vertretungen in China 30.12.2019 bis 21.03.2020

/ 177
PDF herunterladen
505-22 Graf, Gabriele Heike GK Chengdu unterrichtet zur aktuellen Lage im Amtsbezirk (Provinzen Sichuan, Yunnan, Guizhou und regierungsunmittelbare Stadt Chongging) wie folgt: 1)  Fallzahlen: Während ringsum in Asien und Europa die Neuinfektionen weiter zunehmen (z.B. JPN, KOR, IRN, ITA) gibt es im Amtsbezirk nach den offiziell veröffentlichten Zahlen augenscheinlich kaum mehr neue Fälle. ProvinzGuizhouseitneunTagen,Yunnan seitfünfTagenohneneueFälle. Chonggingheutezumersten Malohne Neuinfektion, aber 2 in Sichuan. Die Zahl der Wiedergenesenen (d.h. nicht mehr positiv getesteten) nimmt zweistellig zu. Nach-Guizhou und Yunnan (von 1 auf3) hat gestern auch Sichuan den „threat level“ von 1 auf 2 reduziert, ohne allerdings auszuführen, was dasim Einzelnen bedeutet, (Tabelle s.u.)
97

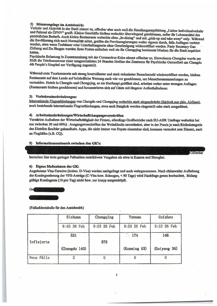
2) Stimmungslage im Amtsbezirk: Verkehr undAktivität inder Stadtnimmtzu, offenb araberauchweil die Handlungsempfehlung„Lieber Individualverkehr und Fahrrad als ÖPNV“ greift. Kleine Geschäfte bl eiben weiterhin überwiegend geschlossen, außer fü r Lebensmittel des persönliche Be n darfs. AuchkleineRestaurants weiterhin ohne „In-dinin g“ und mit „pick-up and take away“ only. Während die Bevölkerungsich nachNormalität sehnt, greifen die Prov inzregierungenweiter rigoros durch, falls Auflagen verletzt werden, etwawennTeehäuseroder Unterhaltungsorteohne Genehmigungwidereröffnetwerden. Party Secretary Gao . LE undDu ShuganwurdenihresPostenenthobenweilsiefü rChonggingbestimmteMaskenfürdieStadtrequiriert atten.                                                            en Psychische Belastung in Zusammenhang mit der Coronavirus-Krise nimmt offenbar zu. Einwohnern Chengdus wurde per SMS die Telefonnummer einerneugeschalteten24 Stunden Hotline des Ze ntrums für Psychische Gesundheit am Chengdu 4th People’s Hospital zur Verfügung zugestellt. Während erste Tourismusorte mit streng kontrollierter und stark reduzierter Besucherzahl wiedererö ffnnet werden, bleiben Restaurants aufdem Lande aufbehördliche Weisung nach wie vor geschlossen, umMenschenansammlu ngen zu vermeiden. Hotels in Chengdu und Chongaing, so sie iberhaupt geöffnet sind, arbeiten weiter unter strenge n Auflagen (Restaurants bleiben geschlossen) und konzentrieren sich auf Gäste mit längerer Aufenthaltsdauer. 3)   Verkehrseinschränkungen: Internationale Flugyerbindungen von Chengdu und Chongging weiterhin stark eingeschränkt (faktisch nur chin. Airlines), noch bestehende internationale Flugverbindungen, etwa nach Bangkok: werden eingestellt oder stark ausgedünnt. N Arbeitseinschränkungen/Wirtschaft/Ausgangsvorschriften Verstärkte Aufnahme der Wirtschaftstätigkeit der Firmen, allerdings Großbetriebe nach EU-AHK Umfrage weiterhiri bei nur zwischen 50 und 60%) . Ausgangsvorschriften der Wohnblocks unverändert, aber in der Praxis je nach Risikokategorie des Distrikts flexibler gehandhabt. Apps, die nicht immer von Expats einsetzbar sind, kommen vermehrt zum Einsatz, auch an Flughäfen (z.B, CO). 5)   Informationsaustausch zwischen den GK’s:; herrschen hier trotz geringer Fallzahlen restriktivere Vorgaben als etwa in Kanton und Shanghai. 6)   Eigene Maßnahmen des GK:                                                                              ' Angebotene Visa-Termine (insbes. D-Visa) werden nachgefragt und auch wahrgenommen. Nach chinaweiter Aufhebung der Kontingentierung der VFS-Anträge (C-Visa bzw. Schengen, < 90 Tage) wird Nachfrage genaubeobachtet. Bislang gültige Kontingente (10 pro Tag) nicht bzw. nur knapp ausgeschöpft. (Fallzahlentabelle für den Amtsbezirk) Sichuan              Chongging               Yunnan               Guizhou. 9:53 26Feb           9:53 26 Feb            9:53 26 Feb          9:53 26 Feb       - 531                                          174                  146. Infizierte                                          576 (Chengdu’ 143)                               (Kunming 53)         (Guiyang 36) Neue Fälle                      2                      0                    0                    0
98

Tote Geheilte 292 372 129 104
99

Betreff: Lagebericht GK Chengdu Coronavirus - Nr. 17, 3. März 2020 16.30 OZ
100

GKChengduunterrichtet zuraktuellen L ageimAmtsbezirk(ProvinzenSichuan, Y regierungsunmittelbare Stad unnan, Guizhou und t Chongging) wie folgt: 1)  Fallzahlen: Währendringsum in Asien und Europa d ie Neuinfektionenweiterzunehmen(z.B. JP N, KOR, IRN, ITA, aberauch Deutschland)gibt esim Amtsbezirknachde noffiziell veröffentlichtenZahlenseit zwei Tag en keine Neuinfektionen mehr, Provinz Guizhou ist seitfastzweiWochen, Yunnan seitzehnTagenohneneueFälle. Chonggingu. Sichuan seitzwei Tagen.Nach Guizhouund Yunnan (von 1 auf3) hatau ch Sichuan den„threat level“ von 1 auf 2 reduziert, nur Chongging bleibtnochbei 1, hat allerdingsweitgeh endbegrenztaufdas urbaneZentrum, (aktuelleFallzah lens.u.) Inzwischengroße Sorge insbes. in Chonggingund SichuanvorR e-importen des Virus. (s.u.). 2). Stimmungslage im Amtsbezirk: ° Verkehr und Aktivität in der Stadtnimmt sichtbarzu. Staus in derrush-h our sind wiederAlltag. Auch in Chongging werden U-Bahn und S-Bahnlinien sukzessive wieder eröffnet, ebenso Bu slinienzwischenden-Provinzen (außernach Peking und Hubei). Während Shopping Malls wieder öffnen, bleiben viele kleine Geschäfte weiterhi n geschlossen, viele werden vermutlich mangels Geschäftsbasis auch nicht wiedereröffnen. Noch immer wenige Resta urants mit „In-dining“, viele praktizieren inzwischen „pick-up and take away“. In den wenigen von Expats besuchten und ge öffneten Restaurants können auch mehr als 4 Personenam Tisch sitzen. Erste Tourismusorte sind bei kontrollierter (App/Q R Code) und stark reduzierter Besucherzahl wiedereröffnet. Großprojekte in Sichuan und Chongging, darunter der Bau des neuen Großflughafens haben nach Verlautbarungen zu über 90% den Betrieb wieder aufgenommen/bzw. seien neu begonn en worden. Ein(Rück-)reisende von Südkorea nach Chongqing und Chengdu haben große Unruhe verursacht. Nach Aufschreien in den Sozialen Medien (Befürchtung des Re-imiports des Virus), wurden trotz Temperatur- und Virenchecks Reiseende nachträglich in ihren Wohncompounds und medizinischen Einrichtungen unter überwachte Quarantäne gestellt, zugespielte Fotos zeigen „Bewachung“ durch die Nachbarschaftskommittees vor der Wohnungstür. 3)    Verkehrseinschränkungen: es wieder erste internationale Direktflüge (Chengdu —Frankfurt mit Air China, Chengdu-Kairo mit Sichuan Airlines). Dagegen verlängert KLM Suspendierung des Fluges Chengdu-Amsterdam          jetzt bis 3. Mai. 4) Arbeitseinschränkungen/Wirtschaft/Ausgangsvorschriften .                  E Ausgangsvorschriften der Wohnblocks unverändert, aber in der Praxis je nach Risikokategorie des Distrikts flexibler gehandhabt, außer für Rückkehrer aus sog. Risikogebieten (s.0.). Apps und QR Codes kommen vermehrt zum Einsatz, auch an Touristenorten, in Guizou seit gestern auch an den Bahnhöfen, Sichuan und Chongging haben nach Presseberichten einen gemeinsamen CODIV-19 Präventions- und Kontrollmechanismus errichtet, der den gegenseitigen. Informationsaustausch, Bevölkerungsbewegungen, medizinische Hilfeleistung etc, erleichtern soll. In Chengdu kehren noch immer täglich ca. 80 000 Menschen an ihre Arbeitsplätze zurück. Es fehlten nach Pressemeldungen bei den 29 Firmen im derzeit prioritären Sektor der Produktion von medizinischen Schutzgütern 9229 Arbeitskräfte, in Schwerpunktindustrien sogar noch etwa 100 000 Arbeitskräfte, um die volle Auslastung zu erreichen, im Dienstleistungssektor (große Entitäten) klaffe eine Lücke von 160 000 Arbeitskräften. 5)    Informationsaustausch zwischen den GR’s: Angesichts der fortdauernden Weigerung des FAO Provinz Sichuan Informationstreffen für das (begrenzte) Konsularische Korps in Chengdu durchzuführen, weiteres internes Treffen der GK’s am 5. März im DEU GK. 6)    Eigene Maßnahmen des GK:                                                                        .     . Angebotene Visa-Termine (C- und D-Visa) werden nachgefragt und auch wahrgenommen. GK Betrieb wird ab nächster Woche wieder weitgehend normalisiert.
101

Sichuan      Chongaing °     Yunnan           Guizhou 9:19 3. März | 9:19 3.März | 9:19 3. März   | 9:19 3. März 538                          174              146 Infizierte                    576                                 , (Chengdu 143)                (Kunming 53) |   (Guiyang 36) Neue Fälle       2             0              0                0, Tote            3              6              2                2 'Geheilte       389+11       469+19          168+5            104+2
102

505-22 Graf, Gabriele Heike Von:                                          ‚non ED Gesendet:                                    Freitag, 7. Februar 2020 04:34 An:                                                          M Lagezentrum, Auswaertiges Amt             .        . Betreff:                                       HK Aktuell Bulletin vom 6. bis 7. Februar 2020 Hong Kong Aktuell — Corona Virus Edition Überblick Entwicklungen in Hongkong vom 6. bis 7. Februar 2020 e   Infizierte Personen mit dem Coronavirus infizierte | Todesfälle              Local-infected-cases            eilung + Entlassung aus i                                       rankenhaus Hongkong|      24           1 (hatte                e    5 bestätigt Vorerkrankungen) | e         3 unter Untersuchung° Macau          10           -                       3°                            1 e   Situation in Hong Kong o    Ab heute (8.2.) Nacht, 0.00 Uhr, haben sich alle von Festlandchina aus nach Hongkong Einreisende Personen sich einer 14-tägigen Quarantäne zu unterziehen. Einzelheiten zu Quarantäne-Regelungen, vor allem auch offene Fragen zum Procedere von Transitpassagieren am Hongkonger Flughafen, wurden bisher nicht bekanntgegeben. Wir haben heute Nachmittag Termin mit Gesundheits- und Flughafenbehörden, danach hoffentlich abschließende Klarheit. o   Streik der Krankenhausgewerkschaft um die Regierung zur vollständigen Grenzschließung zu bewegen wird den 5. Tag mit erhöhten Frustrationslevel der Streikenden aufgrund gescheiterter Gespräche in Folge fortgesetzt. Bislang unklar, ob der Streik morgen (8.2.) fortgeführt wird. ° Streik- | Datum| Anzahl an             Auswirkungen | tag                   Streikenden 1         3.2.       2.700              Kleinere Beeinträchtigungen 2         4.2.       7.000              Erhebliche Beeinträchtigungen des Betriebs der öffentlichen Krankenhäuser 3         5.2.       7.000              Erhebliche Beeinträchtigungen des Betriebs der öffentlichen Krankenhäuser 4         6.2.       Über 6.400         Erhebliche Beeinträchtigungen des Betriebs der öffentlichen Krankenhäuser 5         I.2: o Panikkäufe (Hygieneprodukte, Konserven, Reis), nachdem die Regierung zu den Einzelheiten der neuen Quarantäne-Regelung bisher schweigt
103

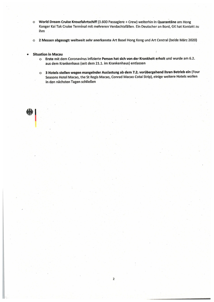
o   World Dream Cruise Kreuzfahrtschiff (3.600 Passagiere + Crew) weiterhin in Quarantäne am Hong Konger Kai Tak Cruise Terminal mit mehreren Verdachtsfällen. Ein Deutscher an Bord, GK hat Kontakt zu ihm Situation in Macau o   Erste mit dem Coronavirus infizierte Person hat sich von der Krankheit erholt und wurde am 6.2. aus dem Krankenhaus (seit dem 21.1. im Krankenhaus) entlassen o   3 Hotels stellen wegen mangelnder Auslastung ab dem 7.2. vorübergehend ihren Betrieb ein (Four Seasons Hotel Macao, the St Regis Macao, Conrad Macao Cotai Strip), einige weitere Hotels wollen in den nächsten Tagen schließen »
104

505-22 Graf, Gabriele Heike                      EF EREEENET                                  TERBEIKETEUE ERFAIFEIRE Von:                                                  oncREREEEER03:EE             REEEN Gesendet:                                            Mittwoch, 4. März 2020    18 An:                                                   LAGEZENTRUM Lagezentrum, Auswaertiges Amt cc Betreff:                                              Hong Kong Aktuell Bulletin vom 03.03. bis 04.03.2020 zum COVID-19 Hong Kong Aktuell - COVID-19 Edition Überblick Entwicklungen in Hongkong vom 03.03. bis zum 04.0                 920 zum COVID-19 e    infizierte Personen mit dem COVID-19 Infizierte | Todesfälle | Heilung + Entlassung aus Krankenhaus Hongkong| 100                   2                 37 Macau           10              -                 9 e.   Situation in Hongkong o    Keine neuen Fälle seit gestern. >    1Fall weiter offen. >    1 weitere Person aus Krankenhaus entlassen. >»   123 Personen unter Quarantäne. o    553 in Hubei festsitzende HKG Bürger (440 in Wuhan und 93 weitere in Provinz Hubei) werden am Mittwoch und Donnerstag (04.-05.03.) durch vier Charterflüge zurückgeholt. >    Eswerden vor Boarding 4 Temperaturmessungen durchgeführt und Sicherheitskleidung bereitgestellt, um eine Infektion und Symptome auszuschließen. o    Das “Enhanced Laboratory Surveillance Programme” (Programm zur frühzeitigen Durchführung von Tests auf Covid-19 und andere Atemwegserkrankungen bei ersten Krankheitsanzeichen) wird ab dem 04.03. auf 10 Virusarten, u.a..Influenza, Parainfluenza und Rhinovirus, ausgeweitet. e    Situation in Macau o   Seit 28 Tagen kein neuer Fall. >   .1 weitere Peron aus Krankenhaus entlassen. >    9Verdachtsfälle. o   Wiedereröffnung von Museen. onsulate   General of the Federal Republic of Germany 21/F United Centre, 95 Queensway,    Hong  Kong SAR | T:2                        +852 er
105

#GermanyinHK &
106

Zur nächsten Seite