Dienstfahrzeuge im Einsatz der Landesregierung

Dienstfahrzeug

/ 199
PDF herunterladen
Dienstfahrzeuge im Einsatz der Landesregierung                                                                          Anlage 2 Kleine Anfrage des Abg. Jan Wenzel Schmidt (AfD) vom 14.05.2020 (7/3736) Beantwortung der Fragen 3 und 4 Ministerium einschließlich der nachgeordnete                        2019                 2020 (Stichtag: 31.03.2020) Bereiche der Ministerien Antriebsart      Kosten in €    Antriebsart       Kosten in € JVA Burg - Kfz 11b                                   Benzin                    872,58 Benzin                   1.044,33 JVA Burg, AS MD - Kfz 1 JVA Burg, AS MD - Kfz 2 JVA Burg, AS MD - Kfz 3 JVA Burg, AS MD - Kfz 4 JVA Burg, AS MD - Kfz 5 JVA Burg, AS MD - Kfz 6 JVA Burg, AS MD - Kfz 7 JVA Burg, AS MD - Kfz 8 JVA Halle - Kfz 1                                    Diesel                 19.013,28 Diesel                   1.739,12 JVA Halle - Kfz 2                                    Diesel                 10.689,24 Diesel                     510,88 JVA Halle - Kfz 3                                    Diesel                 22.749,37 Diesel                   3.370,96 JVA Halle - Kfz 4                                    Diesel                 18.565,89 Diesel                   2.383,87 JVA Halle - Kfz 5                                    Diesel                 19.959,83 Diesel                   4.921,69 JVA Halle - Kfz 6                                    Diesel                 11.892,55 Diesel                   2.331,81 JVA Halle - Kfz 7                                    Benzin                  4.765,85 Benzin                   1.232,85 JVA Halle - Kfz 8                                    Benzin                  4.629,18 Benzin                   1.123,80 JVA Halle - Kfz 9 JVA Halle - Kfz 10                                   Diesel                 12.538,03 Diesel                   3.403,09 JVA Halle - Kfz 11 JVA Halle - Kfz 12                                   Diesel                 55.543,10 JVA Halle - Kfz 13                                   Diesel                 19.104,70 JVA Halle - Kfz 14                                   Diesel                 13.949,44 JVA Halle - Kfz 15                                                                    Diesel                  31.490,16 JVA Halle - Kfz 16 JVA Halle - Kfz 17                                   Benzin                  4.266,53 Benzin                     738,48 JVA Halle - Kfz 18 JVA Halle - Kfz 19                                   Diesel                    684,02 Diesel                   2.809,47 JVA Halle - Kfz 20                                   Diesel                164.486,76 Diesel                  64.679,98 JA Raßnitz - Kfz 1                                   Benzin                  2.116,13 Benzin                   1.858,08 JA Raßnitz - Kfz 2                                   Diesel                  3.881,91 Diesel                   4.361,89 JA Raßnitz - Kfz 3                                   Diesel                  3.672,23 Diesel                   4.009,85 JA Raßnitz - Kfz 4                                   Diesel                  4.560,67 Diesel                   2.201,71 JA Raßnitz - Kfz 5                                   Diesel                  6.090,97 Diesel                   5.173,66 JVA Volkstedt - Kfz 1                                Diesel                    596,72 Diesel                      62,64 JVA Volkstedt - Kfz 2                                Diesel                  2.326,39 Diesel                     411,93 JVA Volkstedt - Kfz 3                                Diesel                  2.300,94 Diesel                     323,12 JVA Volkstedt - Kfz 4                                Benzin                  1.486,61 Benzin                     944,41 JVA Volkstedt, AS NBG - Kfz 1 JVA Volkstedt, AS NBG - Kfz 2 JVA Volkstedt, AS NBG - Kfz 3 JVA Dessau-Roßlau - Kfz 1 JVA Dessau-Roßlau - Kfz 2 JVA Dessau-Roßlau - Kfz 3
141

Dienstfahrzeuge im Einsatz der Landesregierung                                                                          Anlage 2 Kleine Anfrage des Abg. Jan Wenzel Schmidt (AfD) vom 14.05.2020 (7/3736) Beantwortung der Fragen 3 und 4 Ministerium einschließlich der nachgeordnete                        2019                 2020 (Stichtag: 31.03.2020) Bereiche der Ministerien Antriebsart      Kosten in €    Antriebsart       Kosten in € JVA Dessau-Roßlau - Kfz 4 JVA Dessau-Roßlau - Kfz 5 JVA Dessau-Roßlau - Kfz 6 LBBG Zentrale - Kfz 1a LBBG Zentrale - Kfz 1b                               Benzin                  5.128,87 Benzin                   1.179,21 LBBG Zentrale - Kfz 2 LBBG Zentrale - Kfz 3 LBBG Zentrale - Kfz 4 LBBG NL Burg - Kfz 1                                 Diesel                  5.589,25 Diesel                   3.906,57 LBBG NL Burg - Kfz 2                                 Diesel                 14.617,46 Diesel                   3.939,68 LBBG NL Volkstedt - Kfz 1                            Diesel                  5.933,76 Diesel                   1.399,70 LBBG NL Volkstedt - Kfz 2                            Diesel                  8.583,42 Diesel                   2.497,04 LBBG NL Volkstedt - Kfz 3 LBBG NL Dessau - Kfz 1 LBBG NL Dessau - Kfz 2 LBBG NL Naumburg - Kfz 1 LBBG NL Naumburg - Kfz 2 LBBG NL Naumburg - Kfz 3 LBBG NL Halle - Kfz 1a LBBG NL Halle - Kfz 1b                               Benzin                  5.065,05 Benzin                   1.108,47 MJ gesamt                                                                  702.584,45                        205.669,78
142

Dienstfahrzeuge im Einsatz der Landesregierung                                                                                                                          Anlage 2 Kleine Anfrage des Abg. Jan Wenzel Schmidt (AfD) vom 14.05.2020 (7/3736) Beantwortung der Fragen 3 und 4 Ministerium für Wirtschaft, Wissenschaft und Digitalisierung (MW) Ministerium einschließlich der nachgeordnete                        2011                        2012                        2013                        2014 Bereiche der Ministerien Antriebsart   Kosten in €   Antriebsart   Kosten in €   Antriebsart   Kosten in €   Antriebsart   Kosten in € MW Diesel            15.738,47 Diesel            15.559,79 Diesel            13.235,11 Diesel            14.561,69 Diesel             8.360,07 Diesel            12.364,30 Diesel            12.978,23 Diesel            14.726,22 Diesel            10.973,94 Diesel            12.201,00 Diesel            10.201,30 Diesel             7.100,16 Diesel             4.659,82 Diesel             4.134,74 Diesel             3.609,66 Diesel             4.066,95 Diesel             4.885,16 Diesel             5.183,85 Diesel             5.482,53 Diesel             6.257,00 Diesel             4.142,23 Diesel             4.612,13 Diesel             5.082,02 Diesel             5.623,61 Diesel             4.639,70 Diesel             4.245,24 Diesel             3.850,78 Diesel             3.591,57 Landesamt für Geologie und Bergwesen (LAGB) Diesel             3.032,49 Diesel               562,85 Diesel             1.254,77 Diesel             1.667,57 Diesel               932,92 Diesel             4.412,00 Diesel             2.200,85 Diesel             3.362,91 Diesel             1.863,00 Diesel             5.464,65 Diesel             4.405,87 Diesel             6.426,16 Diesel             6.551,76 Diesel             8.265,56 Diesel             9.800,54 Diesel            12.294,19 Diesel             9.109,71 Diesel             5.688,97 Diesel             6.053,23 Diesel             7.960,82 Diesel             5.873,87 Diesel             5.886,63 Diesel             5.954,26 Diesel             7.314,57 Diesel             6.133,76 Diesel             5.279,55 Diesel             9.291,70 Diesel            12.127,13 Diesel             9.543,26 Diesel             5.899,65 Diesel             6.679,56 Diesel             8.328,53 Diesel             5.502,89 Diesel             5.778,49 Diesel             6.250,93 Diesel             7.633,22 Diesel             6.232,49 Diesel             6.867,14 Diesel             6.480,30 Diesel             9.949,52 Diesel             5.887,04 Diesel             4.985,36 Diesel             9.122,16 Diesel            11.218,55 Diesel             6.116,85 Diesel             2.492,98 Diesel             5.906,62 Diesel             7.236,35 Diesel             5.987,28 Diesel             7.419,23 Diesel             5.771,09 Diesel             5.956,10 Diesel             8.302,60 Diesel             9.573,92 Diesel             8.212,90 Landeseichamt (LEA) Diesel             1.308,97 Diesel             6.279,19 Diesel             5.610,97 Diesel             2.222,89 Diesel             5.247,45 Diesel             7.007,40 Diesel               461,00 Diesel            19.677,29 Diesel             6.180,82 Diesel             6.582,27 Diesel             5.822,08 Diesel             6.016,93 Diesel             9.804,49 Diesel             6.932,60 Diesel             8.092,16 Diesel             7.701,81 Benzin             4.062,30 Benzin             2.620,81 Benzin             3.261,66 Benzin             2.777,68 Benzin             3.434,15 Benzin            15.595,05 Benzin             1.525,42 Benzin             2.011,15 Benzin             1.948,98 Benzin             2.082,40 Benzin             1.636,79 Benzin             1.737,52 Benzin             2.499,88 Benzin            14.565,37 Diesel             7.171,89 Diesel             3.269,91 Benzin             2.151,30 Benzin             1.568,74 Diesel             3.703,36 Diesel             5.111,68 Benzin             2.531,03 Benzin            14.852,20 Diesel             1.197,10 Diesel             3.104,29 Diesel             3.252,19 Diesel             7.021,04 Diesel             7.154,58 Diesel               870,19 Diesel             5.995,45 Diesel             3.000,28 Diesel             7.177,63 Diesel             4.195,90 Benzin             4.415,44 Diesel             1.963,76 Diesel             5.968,54 Diesel            19.468,63 Diesel             1.434,56 Diesel             6.284,85 Benzin             3.179,10 Diesel             4.312,82 Diesel             2.626,53 Diesel             7.782,07 Diesel             1.237,78 Diesel            22.213,45 Diesel             3.724,96 Diesel             5.586,61 Diesel             5.553,38 Diesel             5.724,72 Diesel             4.726,32 Diesel             3.363,55 Benzin             1.564,65 Benzin             1.596,66 Diesel             3.916,78 Benzin            16.118,49 Diesel             2.385,16 Diesel             1.017,42
143

Dienstfahrzeuge im Einsatz der Landesregierung                                                                                                                          Anlage 2 Kleine Anfrage des Abg. Jan Wenzel Schmidt (AfD) vom 14.05.2020 (7/3736) Beantwortung der Fragen 3 und 4 Ministerium für Wirtschaft, Wissenschaft und Digitalisierung (MW) Ministerium einschließlich der nachgeordnete                        2011                        2012                        2013                        2014 Bereiche der Ministerien Antriebsart   Kosten in €   Antriebsart   Kosten in €   Antriebsart   Kosten in €   Antriebsart   Kosten in € Diesel             6.676,29 Diesel             1.457,69 Diesel             2.882,72 Diesel             2.117,78 Benzin             3.974,09 Diesel             6.107,64 Diesel             3.421,23 Diesel             4.775,70 Diesel             2.369,71 Benzin             2.114,38 Diesel             3.361,13 Benzin             1.658,86 Diesel             4.803,30 Benzin            14.820,93 Benzin             1.162,49 Diesel             2.793,27 Benzin             3.727,48 Diesel             6.772,26 Diesel             5.018,10 Diesel             5.281,77 Benzin             2.335,21 Diesel             6.424,65 Diesel             6.174,40 Diesel             2.081,08 Benzin             4.661,56 Diesel             4.736,04 Diesel             3.905,55 Diesel            30.314,27 Diesel             2.462,43 Benzin             1.767,84 Diesel             2.142,13 Benzin             1.240,56 Diesel             6.467,97 Benzin            15.978,08 Diesel             1.936,76 Diesel             5.175,24 Diesel             4.109,52 Diesel             1.529,48 Diesel             4.347,04 Diesel             7.828,26 Diesel             6.143,29 Diesel             2.628,53 Benzin             1.324,25 Diesel            21.950,33 Diesel             5.251,60 Diesel             1.203,88 Diesel             4.593,29 Diesel             4.104,23 Benzin             2.874,19 Diesel             4.670,74                             Diesel               471,35 Benzin             2.560,06 Diesel             3.269,73                             Diesel            28.046,32 Diesel               705,89 Diesel             1.156,41                             Diesel             4.302,81 Diesel             1.857,10 Diesel             5.109,42                             Benzin             1.593,98 Diesel             4.636,19 Benzin             2.552,16                             Diesel             5.076,39 Benzin             3.216,63 Benzin            14.480,21 Benzin             2.569,40 Diesel             3.100,96 Diesel             6.674,19 Diesel             3.729,86 MW gesamt                                                                272.457,54                  375.935,15                  275.744,12                  381.408,50
144

Dienstfahrzeuge im Einsatz der Landesregierung                                                                                                                        Anlage 2 Kleine Anfrage des Abg. Jan Wenzel Schmidt (AfD) vom 14.05.2020 (7/3736) Beantwortung der Fragen 3 und 4 Ministerium einschließlich der nachgeordnete                      2015                         2016                       2017                        2018 Bereiche der Ministerien Antriebsart    Kosten in €    Antriebsart   Kosten in €   Antriebsart  Kosten in €   Antriebsart   Kosten in € MW Diesel              16.052,19 Diesel            10.777,99 Diesel           16.088,19 Diesel            17.390,00 Diesel              12.672,07 Diesel             9.909,28 Diesel            9.315,35 Diesel            13.328,00 Diesel               7.782,05 Diesel            10.084,68 Diesel           12.740,00 Diesel            17.102,10 Diesel               3.583,06 Diesel             3.109,81 Diesel            4.168,15 Diesel             3.162,79 Diesel               6.378,61 Diesel             5.603,82 Diesel            6.009,92 Diesel             6.985,50 Diesel               5.778,22 Diesel             5.176,52 Diesel            5.001,29 Diesel             5.807,92 Diesel               3.147,80 Diesel             2.808,35 Diesel            4.450,62 Diesel             4.045,13 Landesamt für Geologie und Bergwesen (LAGB) Diesel               3.153,47 Diesel               731,77 Diesel              384,26 Diesel               5.637,20 Diesel             5.042,27 Diesel            5.596,06 Diesel             9.236,33 Diesel              12.232,95 Diesel            10.330,57 Diesel            7.877,25 Diesel             8.775,12 Diesel               1.503,54 Diesel             4.481,47 Diesel            5.686,19 Diesel             7.692,31 Diesel               5.088,26 Diesel             4.320,84 Diesel            5.825,52 Diesel             7.518,00 Diesel               7.966,40 Diesel             4.607,20 Diesel            4.989,15 Diesel             7.753,29 Diesel              12.302,94 Diesel             8.432,59 Diesel            7.946,56 Diesel             8.240,21 Diesel               4.675,32 Diesel             4.658,75 Diesel            5.062,01 Diesel             6.582,47 Diesel               5.344,17 Diesel             5.047,28 Diesel            4.777,60 Diesel            11.306,25 Diesel               5.152,27 Diesel             3.833,77 Diesel            4.326,71 Diesel             5.298,62 Diesel               4.935,88 Diesel             3.691,86 Diesel            4.608,39 Diesel             7.473,12 Diesel               5.367,46 Diesel             3.421,38 Diesel            3.322,03 Diesel             5.375,58 Diesel               5.196,55 Diesel             3.735,19 Diesel            3.880,63 Diesel             5.249,69 Diesel               7.050,37 Diesel             6.564,83 Diesel            5.326,03 Diesel             7.116,50 Diesel            2.660,99 Diesel             8.027,69 Landeseichamt (LEA) Diesel               2.399,91 Diesel             2.054,86 Diesel            1.646,29 Diesel             2.247,43 Diesel               5.051,80 Diesel               359,48 Diesel            1.924,63 Diesel             2.369,10 Diesel               5.409,54 Diesel            24.206,68 Diesel            2.491,30 Diesel             3.648,51 Diesel              29.555,96 Diesel             2.017,67 Benzin            3.514,81 Benzin             3.267,85 Benzin               3.668,95 Benzin             3.366,07 Benzin              827,26 Benzin             1.071,16 Benzin               1.417,13 Benzin             1.325,64 Benzin           20.568,12 Benzin             1.822,38 Benzin               2.018,29 Benzin             2.556,41 Benzin            2.121,81 Diesel             2.012,52 Diesel               6.157,61 Diesel             5.508,81 Diesel            3.486,21 Diesel             1.871,64 Diesel               4.429,04 Diesel             4.381,96 Diesel           30.659,03 Diesel             3.642,65 Diesel                 553,52 Diesel             2.096,77 Diesel             -352,30 Diesel             2.480,07 Diesel               1.979,32 Diesel             3.097,81 Diesel            4.058,60 Diesel             3.654,34 Diesel               2.207,18 Diesel             1.102,48 Diesel            2.074,71 Diesel             1.604,19 Diesel               2.918,02 Benzin             1.633,01 Diesel            3.128,47 Benzin             1.670,23 Diesel              17.767,46                             Diesel            1.750,25 Diesel             1.452,34 Benzin               1.815,62 Diesel            27.062,75 Benzin            3.421,44 Diesel             3.288,74 Diesel                 811,82 Diesel            17.556,20 Diesel            2.546,56 Diesel             1.739,73 Diesel               5.303,09 Diesel             5.224,91 Diesel            2.898,37 Diesel             1.629,25 Benzin               1.535,11 Benzin             1.883,40 Diesel            1.039,45 Benzin             1.722,32
145

Dienstfahrzeuge im Einsatz der Landesregierung                                                                                                                        Anlage 2 Kleine Anfrage des Abg. Jan Wenzel Schmidt (AfD) vom 14.05.2020 (7/3736) Beantwortung der Fragen 3 und 4 Ministerium einschließlich der nachgeordnete                      2015                         2016                       2017                        2018 Bereiche der Ministerien Antriebsart    Kosten in €    Antriebsart   Kosten in €   Antriebsart  Kosten in €   Antriebsart   Kosten in € Diesel                 699,31 Diesel             1.975,85 Diesel            1.260,38 Diesel             1.931,83 Diesel              37.102,91 Diesel             1.518,29 Diesel           23.276,07 Diesel             3.355,01 Diesel               4.536,12 Diesel            18.956,73 Benzin            1.441,41 Diesel             9.172,12 Diesel               2.000,61 Diesel             2.290,71 Diesel            2.102,30 Benzin             1.570,74 Benzin               1.206,42 Benzin             1.767,53 Diesel            2.466,26 Diesel             2.617,16 Diesel                 322,73 Diesel             3.576,08 Diesel            2.323,67 Diesel             2.002,06 Diesel              35.129,67 Diesel             1.228,42 Benzin            2.387,16 Diesel             2.816,22 Diesel               3.526,79 Diesel             2.526,44 Diesel            3.057,81 Diesel             2.624,23 Diesel              36.079,73 Diesel             1.940,45 Diesel            1.732,41 Diesel             1.345,89 Diesel               1.471,48 Diesel             1.557,92 Diesel            1.692,86 Benzin             1.607,10 Diesel               2.325,12 Diesel            28.227,85 Diesel            1.876,92 Diesel             2.789,90 Diesel               1.895,05 Benzin             1.951,55 Diesel              861,52 Diesel               4.412,87 Diesel             1.590,74 Benzin            2.276,22 Benzin               1.977,90                             Diesel            1.918,80 Diesel               3.053,29 Diesel              20.286,68 MW gesamt                                                               392.026,83                  290.913,69                 266.521,70                  246.493,33
146

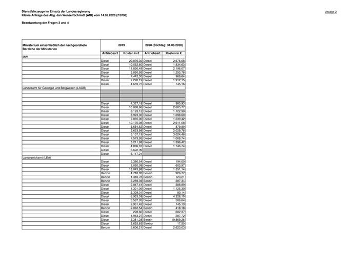
Dienstfahrzeuge im Einsatz der Landesregierung                                                                   Anlage 2 Kleine Anfrage des Abg. Jan Wenzel Schmidt (AfD) vom 14.05.2020 (7/3736) Beantwortung der Fragen 3 und 4 Ministerium einschließlich der nachgeordnete                      2019              2020 (Stichtag: 31.03.2020) Bereiche der Ministerien Antriebsart    Kosten in €    Antriebsart    Kosten in € MW Diesel              20.876,30 Diesel               2.675,08 Diesel              10.552,60 Diesel               1.834,63 Diesel              11.850,49 Diesel               2.196,07 Diesel               5.830,95 Diesel               1.253,78 Diesel               7.442,30 Diesel                 969,64 Diesel               7.220,19 Diesel               1.912,15 Diesel               4.659,75 Diesel                 745,16 Landesamt für Geologie und Bergwesen (LAGB) Diesel               4.327,18 Diesel                 980,93 Diesel              10.088,66 Diesel               2.605,77 Diesel               8.123,12 Diesel               1.122,98 Diesel               8.923,30 Diesel               1.098,60 Diesel               7.035,00 Diesel               1.239,42 Diesel              10.175,08 Diesel               2.611,58 Diesel               6.654,52 Diesel                 879,89 Diesel               5.633,98 Diesel               2.029,78 Diesel               5.107,19 Diesel               3.024,46 Diesel               7.573,95 Diesel               1.008,74 Diesel               5.211,98 Diesel               1.396,42 Diesel               4.896,87 Diesel               1.746,74 Diesel               6.622,99 Diesel               6.117,21 Landeseichamt (LEA) Diesel               3.380,54 Diesel                 194,00 Diesel               2.020,09 Diesel                 603,97 Diesel              13.043,98 Diesel               1.551,14 Benzin               4.718,03 Benzin                 926,77 Benzin               1.310,78 Benzin                 123,21 Benzin               3.259,39 Benzin                 287,34 Diesel               2.047,41 Diesel                 388,89 Diesel               1.301,09 Diesel               1.125,30 Diesel               5.308,01 Diesel                  80,14 Diesel               6.953,09 Diesel               4.328,10 Diesel               3.587,95 Diesel                 506,64 Diesel               2.901,42 Diesel                 145,13 Benzin               2.062,54 Benzin                 418,18 Diesel                 228,60 Diesel                 682,37 Diesel               1.913,27 Diesel                 287,72 Diesel               3.381,28 Benzin              19.869,26 Diesel               2.625,85 Elektro                 17,50 Benzin               3.606,21 Diesel               2.623,03
147

Dienstfahrzeuge im Einsatz der Landesregierung                                                                    Anlage 2 Kleine Anfrage des Abg. Jan Wenzel Schmidt (AfD) vom 14.05.2020 (7/3736) Beantwortung der Fragen 3 und 4 Ministerium einschließlich der nachgeordnete                      2019               2020 (Stichtag: 31.03.2020) Bereiche der Ministerien Antriebsart    Kosten in €     Antriebsart    Kosten in € Diesel                2.200,96 Benzin                 579,89 Diesel                3.630,16 Diesel                 159,79 Diesel                3.045,43 Diesel                 226,45 Benzin                2.167,88 Diesel                 349,75 Diesel               33.423,36 Benzin               2.213,16 Diesel                2.304,85 Diesel                 502,19 Diesel                1.829,57 Benzin                 344,12 Diesel                1.835,59 Diesel               1.334,67 Diesel                1.337,53 Diesel                 257,00 Diesel                1.121,93 Diesel                 603,04 Benzin                2.810,05 Diesel                 236,52 Diesel                1.991,33 Diesel                 194,06 Benzin                 336,50 Diesel                 360,44 MW gesamt                                                                286.271,78                     73.188,09
148

Dienstfahrzeuge im Einsatz der Landesregierung                                                                                                              Anlage 3 Kleine Anfrage des Abg. Jan Wenzel Schmidt (AfD) vom 14.05.2020 (7/3736) Beantwortung der Fragen 1 bis 4 (Kostenfaktor) Ministerium für Bildung (MB) 2011                                                         2012 Ministerium einschließlich der nachgeordnete Bereiche der Fahrleistung in                    Kostenfaktor               Fahrleistung in                  Kostenfaktor Ministerien Antriebsart     km je Jahr        Kosten in €      € in km-     Antriebsart   km je Jahr       Kosten in €     € in km- Fahrleistung                                                Fahrleistung MB                               Diesel                     k.A.             k.A.           k.A. Diesel              196.649        46.677,54          0,24 MB MB (LSchA)                       Diesel                  24.000              k.A.           k.A. Diesel                24.000        2.295,72          0,10 MB (LISA-Halle) gesamt           Diesel                  33.915        24.757,56           0,73 Diesel                 90.891       30.222,10          0,33 MB (LpB)
149

Dienstfahrzeuge im Einsatz der Landesregierung                                                                                                           Anlage 3 Kleine Anfrage des Abg. Jan Wenzel Schmidt (AfD) vom 14.05.2020 (7/3736) Beantwortung der Fragen 1 bis 4 (Kostenfaktor) 2013                                                       2014 Ministerium einschließlich der nachgeordnete Bereiche der Fahrleistung in                  Kostenfaktor              Fahrleistung in                  Kostenfaktor Ministerien Antriebsart     km je Jahr       Kosten in €     € in km-    Antriebsart   km je Jahr       Kosten in €     € in km- Fahrleistung                                               Fahrleistung MB                               Diesel                194.916        51.635,73          0,26 Diesel              182.092        49.576,81          0,27 MB MB (LSchA)                       Diesel                  24.000        2.667,96          0,11 Diesel                24.000        3.658,09          0,15 MB (LISA-Halle) gesamt           Diesel                  66.945       21.115,44          0,32 Diesel                93.903       17.919,05          0,19 MB (LpB)                         Diesel                  20.936        5.964,53          0,28 Diesel                24.990        5.578,05          0,22
150

Zur nächsten Seite