Bibliotheken in Sachsen-Anhalt

Bibliothek

/ 231
PDF herunterladen
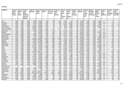
Anlage 23 Jahr 2009 Bibliothek     Frage 11: Frage      Frage 12:    Frage 15a: Frage 15a: Frage         Frage      Frage 15b:   Frage 16:  Frage 16:    Frage 18: Frage 19:   Frage 20:  Frage 21:    Frage 22:   Frage 26: Frage 30: Biblio‐    11:       ohne biblio‐ Besucher Entleih‐        15b:       15b:       Nutzer       Anteil     Anteil       Entleih‐ Bestand      Erneu‐     Öffnungs‐    Mittel      Benut‐    Veran‐ thekare Assis‐       theksfach‐                ungen       Nutzer     Nutzer bis über         Nutzer     Nutzer       ungen                 erungs‐    stunden      Medien‐     zungs‐    staltungen tenten    liche Aus‐                                       12 Jahre   60 Jahre     bis 12     ab 60 Jahre  je Nutzer             quote      pro Woche    kauf        gebühren  gesamt bildung                                                                  Jahre      in %                               in %                    in Euro in % Ilsenburg            1,90      0,70         0,00      15.860       53.196      1.084        319         471       29,43       43,45          49    27.657       14,21        20,0      14.845       ja              52 Jessen               0,00      1,60         0,00      12.837       20.615      1.098        326         115       29,69       10,47          19    41.299        3,63        32,0      10.995      nein             45 Kalbe                0,80      0,00         0,00       4.440       15.233        528        243          64       46,02       12,12          29    13.649        5,72        17,0        3.171      ja              35 Klötze               0,95      0,00         0,75      13.018       35.597        886        261          99       29,46       11,17          40    33.368        4,82        21,0      13.100       ja             106 Könnern              0,00      0,00         2,00       1.743        2.227         70         41          29       58,57       41,43          32    14.572        1,60        20,0          193      ja               0 Köthen, SB           2,25      3,00         0,00      55.257       94.677      2.621        513         278       19,57       10,61          36    52.703       15,83        30,0      28.100       ja             193 Köthen, KB           1,00      0,00         0,00         491       23.770         57          0            3       0,00        5,26         417    46.939        4,05        36,0      10.177       ja              14 Landsberg            1,00      0,00         0,00      20.317       46.302        911        349          88       38,31        9,66          51    12.374       30,00        26,0        5.012     nein            191 Leuna                0,00      1,00         1,00      10.962       46.168      2.783        436         606       15,67       21,78          17    30.572       17,66        21,0      28.552      nein             44 Eisleben, RMZ        1,00      0,00         3,60       7.546       21.838      3.578        485         463       13,56       12,94           6    56.604       11,59        35,0      21.322       ja             177 Eisleben, SB         1,00      2,20         0,00      11.634       69.814        638        122         155       19,12       24,29         109    28.585       12,84        30,0      17.803       ja              63 Wittenberg, SB       1,69      4,27         0,83      34.694      117.335      1.967        344         531       17,49       27,00          60    88.052        3,10        29,0      28.957       ja             157 Wittenberg, KB       0,50      0,00         0,00         169        2.504         14          0            2       0,00       14,29         179    22.523        0,64        20,0        1.000     nein              2 Lützen               0,00      0,00         0,00       4.133       26.748        140         27          31       19,29       22,14         191    12.985        3,00        13,0          460      ja               4 Magdeburg          23,28      20,97         7,00     363.796    1.025.570    13.992       3.576       2.409       25,56       17,22          73   361.228        5,31        48,0     198.674       ja             598 Merseburg            2,00      5,00         1,00      46.299      133.497      2.378        225         429        9,46       18,04          56    71.458        6,88        27,0      35.000       ja              79 Mücheln              0,75      0,00         0,00       9.670       42.561        988        209         k.A.      21,15        k. A.         43    16.584        9,46        23,0        6.493     nein             33 Naumburg             2,60      3,90         0,00      28.345      156.925      2.609        469         352       17,98       13,49          60    63.638        6,41        23,0      27.484       ja              62 Nebra                0,00      0,00         0,50       4.150       14.935        446         83          81       18,61       18,16          33    17.175        2,40        16,0          563     nein             64 Oebisfelde           0,00      1,00         0,30       7.576       37.142        549        362         k.A.      65,94        k. A.         68    12.994        4,34        12,0        5.960      ja             119 Oschersleben         2,00      3,75         1,00      26.241       80.509      1.886        666         298       35,31       15,80          43    38.623        6,61        27,0      22.612       ja             172 Osterburg            2,76      0,00         7,85      42.834      147.840      2.761        873         529       31,62       19,16          54    57.107        6,84        33,0      47.921       ja             300 Osternienburg        1,00      0,00         0,00       3.903       22.113        169         59          68       34,91       40,24         131      7.461       3,00        11,0          499      ja               6 Osterwieck           0,00      0,00         0,00      12.796       39.529      1.879        291         k.A.      15,49        k. A.         21    18.736        1,91        26,0        6.432     nein             21 Quedlinburg          3,73      1,70         0,77         k.A.      41.863        798         93         155       11,65       19,42          52    66.851        2,93        36,0      18.900       ja              27 Querfurt             1,00      0,00         0,00      13.488       67.708        955        379         175       39,69       18,32          71    22.366        5,36        23,0        6.000      ja              66 Raguhn               0,00      0,00         0,55       1.986        7.269        272         24          81        8,82       29,78          27      8.581       1,89        16,0          656      ja              15 Salzwedel            3,17      3,61         1,60      59.359      207.113      3.984      1.452         466       36,45       11,70          52    77.851        5,93        32,0      34.355       ja             236 Sandersdorf          0,00      0,00         0,00       2.425        6.145        166         17         136       10,24       81,93          37    13.968        7,33          8,0         800     nein            271 Sangerhausen         2,05      1,00         0,00      21.099       70.395      1.527        442         274       28,95       17,94          46    40.181        7,97        33,0        6.704      ja             130 Schkopau             0,00      0,63         0,00       3.783       13.870        433        161         128       37,18       29,56          32      8.053       3,61        14,5        4.079     nein             13 Schönebeck           1,75      3,00         0,00      22.703      100.263      2.079        352         466       16,93       22,41          48    36.021       14,02        22,0      49.109      nein            103 Seehausen            0,00      0,00         0,00       5.145       20.059        286        117          29       40,91       10,14          70    17.987        2,69        37,0        2.000      ja              64 Staßfurt             1,00      1,60         0,00      15.471       30.861        803        158         134       19,68       16,69          38    29.721        1,23        25,0        9.900      ja             208 Stendal              2,00      0,00         3,75      44.544      136.174      3.244      1.209         368       37,27       11,34          42    65.409        4,85        29,0      28.165       ja             223 Sülzetal             0,00      0,75         0,00       1.622        3.696        150         76          64       50,67       42,67          25      6.906       2,59        15,5            0      ja              12 2/3
101

Anlage 23 Jahr 2009 Bibliothek    Frage 11: Frage     Frage 12:    Frage 15a: Frage 15a: Frage        Frage      Frage 15b:   Frage 16:  Frage 16:    Frage 18: Frage 19:   Frage 20:  Frage 21:   Frage 22:    Frage 26: Frage 30: Biblio‐    11:      ohne biblio‐ Besucher Entleih‐       15b:       15b:       Nutzer       Anteil     Anteil       Entleih‐ Bestand      Erneu‐     Öffnungs‐   Mittel       Benut‐    Veran‐ thekare Assis‐      theksfach‐               ungen       Nutzer     Nutzer bis über         Nutzer     Nutzer       ungen                 erungs‐    stunden     Medien‐      zungs‐    staltungen tenten   liche Aus‐                                      12 Jahre   60 Jahre     bis 12     ab 60 Jahre  je Nutzer             quote      pro Woche   kauf         gebühren  gesamt bildung                                                                 Jahre      in %                               in %                   in Euro in % Tangermünde         1,00     0,00         1,00       5.484       7.535        506        56          k.A.      11,07        k. A.         15    15.113        3,41        32,0         k.A.     nein             36 Teutschenthal       1,00     0,00         2,00      26.093     71.780       2.067       817           92       39,53        4,45          35    30.238       18,49        30,0     13.733       nein            148 Thale               1,50     0,00         0,90      11.557     31.196         782       205          k.A.      26,21        k. A.         40    26.255        4,67        17,0       8.100       ja              45 Tröglitz            0,00     0,75         0,00       3.897       8.946        223       101           60       45,29       26,91          40      9.944       1,14        20,0         795       ja              10 Wanzleben           0,00     1,00         1,00      13.876     62.402       1.037       353           74       34,04        7,14          60    30.702        6,71        22,0     16.661        ja             138 Weferlingen         0,00     0,50         0,00       6.116     13.627         372       136           38       36,56       10,22          37      9.183       7,31        13,0       3.200      nein             37 Weißenfels          3,10     1,00         0,00      31.290    105.318       1.821       306          254       16,80       13,95          58    42.600        5,75        30,0     34.191        ja              67 Wernigerode         3,88     1,38         1,75      56.233    157.355       3.214       781          547       24,30       17,02          49    91.253       11,22        27,0     38.750       nein            131 Wolmirstedt         1,80     0,95         0,00      15.993     34.308       1.038       255          138       24,57       13,29          33    23.329        6,59        28,0       8.986       ja              72 Zahna               1,00     0,00         0,00       6.590     14.090         404       167           52       41,34       12,87          35    16.203        3,02        20,0         520       ja             143 Zeitz               1,85     2,81         1,85      53.524    182.840       1.731       116          438        6,70       25,30         106    82.513        3,69        35,0     18.060        ja             146 Zerbst              1,58     0,63         0,00      10.000     47.014         904       146          152       16,15       16,81          52    24.402        6,20        23,0     11.678        ja             106 Zielitz             0,00     0,80         0,00       9.800     11.958         450       128           43       28,44        9,56          27      9.975      17,82        18,5       8.200      nein             53 Gesamt 2009      139,91    118,94        61,73   2.118.029  6.697.592    127.634     30.105       22.000       23,59       17,24          52 3.428.851        5,90              1.489.681                    8.218 3/3
102

Anlage 24 Jahr 2010 Bibliothek       Frage 11:   Frage 11:  Frage 12: Frage 15a: Frage 15a: Frage 15b: Frage 15b:         Frage 15b:   Frage 16:    Frage 16:   Frage 18: Frage 19:    Frage 20:  Frage 21:   Frage 22:   Frage 26: Frage 30:    Frage 30: Anzahl      Anzahl     ohne         Besucher Entleih‐       Nutzer      Nutzer bis   Nutzer       Anteil       Anteil      Entleih‐    Bestand    Erneu‐     Öffnungs‐   Mittel      Benut‐    Veran‐       Veran‐ Biblio‐     Assis‐     biblio‐                  ungen                   12 Jahre     über         Nutzer       Nutzer      ungen                  erungs‐    stunden     Medien‐     zungs‐    staltungen   staltungen thekare     tenten     theksfach‐                                                    60 Jahre     bis          ab          je Nutzer              quote      pro Woche   kauf        gebühren  gesamt       für Kinder liche Aus‐                                                                 12 Jahre     60 Jahre                           in %                   in EUR bildung                                                                    in %         in % Aken                    0,00       0,50         0,00      2.802      14.615         233           38          k.A.      16,31          k.a.          63    17.330        1,38        16,0      2.300      ja               3           3 Annaburg               0,00        1,00         0,00      3.618      15.892         659           74          223       11,23        33,84           24    10.561        0,99        20,0      1.000     nein             21           6 Arendsee               0,40        0,40         0,00      2.771      10.174         244           99           44       40,57        18,03           42    10.071        1,21        18,0      1.400      ja              23          15 Aschersleben           1,00        1,73         0,00     16.298      83.286       1.177             0            0        0,00        0,00           71    54.753        3,37        20,5     23.710      ja            115           59 Bad Dürrenberg         0,95        0,00         0,75     22.090      39.953         593           57          213         9,61       35,92           67    26.236        6,86        16,0      5.609      ja              11           2 Bad Schmiedeberg       1,50        0,00         0,00     11.813      19.251       1.856          k.A.         k.A.        k. A.       k. A.          10    16.100        4,76        31,0           0    nein             27           2 Ballenstedt            1,00        0,00         0,56      5.839      14.998         432          118           69       27,31        15,97           35    32.393        1,83        20,0      1.779      ja              40          25 Barleben               1,00        1,00         0,50        k.A.     48.320         855          169           98       19,77        11,46           57    14.687        9,85        24,0     13.136     nein             32          17 Beesenlaublingen       0,00        0,00         0,50      3.009      10.792         461          125           89       27,11        19,31           23    10.837        0,00        21,0        316     nein             10           5 Beetzendorf            0,72        0,00         0,00      3.741      14.704         518          151           79       29,15        15,25           28    14.141        4,68        18,0      1.914     nein             80          52 Bernburg KB            0,35        0,00         0,00        k.A.      8.796         k.A.         k.A.         k.A.        k. A.       k. A.        k.A.    10.528        k.A.        10,0      5.000     nein              1           0 Bernburg SB            1,65        2,70         1,00     66.084     180.065       2.499          386          388       15,45        15,53           72    61.953        6,66        32,0     28.000      ja              94          51 Bismark                0,00        0,00         0,50      3.527      15.905         504          265           53       52,58        10,52           32    13.907        1,71        15,0      1.983      ja              25          11 Bitterfeld             2,75        2,17         0,82     29.317     154.158       1.989          180          462         9,05       23,23           78    74.920        9,55        20,0     36.532      ja            120           68 Blankenburg            0,75        0,50         0,00      7.925      19.178         357           60          140       16,81        39,22           54    29.965        1,97        13,0      1.739      ja              22           9 Braunsbedra            1,00        1,00         0,00     21.787      36.523       1.125          290          176       25,78        15,64           32    23.022       15,31        19,0     30.000     nein             34          30 Burg                   0,75        0,75         0,00     13.625      39.318       1.288          402          171       31,21        13,28           31    62.164        2,17        22,0     27.000      ja            172           41 Calbe                  0,50        0,50         0,00      1.549      16.419         187           49           51       26,20        27,27           88    23.812        1,87        14,0        890      ja               5           5 Coswig                 1,25        0,00         0,00      7.638      23.917         735          157          122       21,36        16,60           33    19.476        4,86        21,0      4.866      ja              35          19 Dessau                12,45        6,27         8,89    137.978     308.715       5.199          706        1.337       13,58        25,72           59   247.256        2,33        35,0     82.847      ja            363         169 Diesdorf               0,50        0,00         0,00      2.714      14.695         314          174          k.A.      55,41         k. A.          47    14.681        2,19        15,0      2.593     nein             31          13 Droyßig                0,50        0,00         0,00      3.307      10.425         292          121           23       41,44         7,88           36    10.716        4,15        17,0      1.914     nein             29          23 Elbingerode            0,00        0,00         0,00     14.372      16.811       1.796          484          155       26,95         8,63            9    13.231        0,91        10,0      2.900     nein           122         112 Freyburg               0,50        0,00         0,00      6.726      32.051         849          247           94       29,09        11,07           38    13.720        5,76        18,0      1.326     nein             47          36 Gardelegen             1,55        2,20         0,00     23.447      47.078       1.671          396          174       23,70        10,41           28    50.427        5,56        30,0     16.056      ja              69          34 Gatersleben            0,00        0,00         0,00      6.903      23.667         427           85           29       19,91         6,79           55    13.539        3,37        14,5        382     nein             32          18 Genthin                1,48        1,25         1,25     33.062      61.168       2.484        1.129          354       45,45        14,25           25    38.349        3,28        30,0     16.360     nein           302         155 Gommern                0,75        0,00         0,00      4.829       8.285         470          163           93       34,68        19,79           18    13.940        7,39        19,0      3.020     nein             45          27 Gräfenhainichen                                                      33.387       1.351          k.A.         k.A.        k.A.         k.A.          25    25.962        6,04        22,0     10.000      ja              88          65 Hadmersleben           0,00        0,62         0,00      2.566      11.488         242           72           55       29,75        22,73           47     9.939        3,13        20,0        928     nein             18           9 Halberstadt            4,80        4,90         0,75        k.A.        k.A.        k.A.         k.A.         k.A.        k. A.        k.A.        k.A.       k.A.       k.A.        35,0     20.000      ja            174           95 Haldensleben           3,00        2,00         0,00     45.223     120.411       1.767          496          204       28,07        11,54           68    76.029        9,21        24,0     45.259      ja            173           93 Halle                 21,20      18,45          4,60    334.651   1.222.925      14.447        2.560        1.888       17,72        13,07           85   247.740       10,43        45,0    230.649      ja            501         316 Harzgerode             1,00        0,00         0,00      1.168       7.484         266          102          162       38,35        60,90           28    10.236        1,09        12,0        985     nein              8           6 Hettstedt              1,00        0,00         2,00     10.528      28.210         507           95          122       18,74        24,06           56    37.449        5,19        17,0      7.374      ja              46          18 Hohenmölsen            0,00        1,50         0,00     11.793      24.397         543           99           84       18,23        15,47           45    20.270        2,98        18,0      1.466     nein             55          32 Ilsenburg              1,56        0,70         0,00     13.175      51.715       1.018          272          559       26,72        54,91           51    29.810       11,51        20,0     12.788      ja              45          19 1/3
103

Anlage 24 Jahr 2010 Bibliothek      Frage 11:  Frage 11:  Frage 12: Frage 15a: Frage 15a: Frage 15b: Frage 15b:      Frage 15b:   Frage 16:    Frage 16:   Frage 18: Frage 19:   Frage 20:  Frage 21:   Frage 22:   Frage 26: Frage 30:    Frage 30: Anzahl     Anzahl     ohne         Besucher Entleih‐     Nutzer     Nutzer bis   Nutzer       Anteil       Anteil      Entleih‐    Bestand   Erneu‐     Öffnungs‐   Mittel      Benut‐    Veran‐       Veran‐ Biblio‐    Assis‐     biblio‐                  ungen                12 Jahre     über         Nutzer       Nutzer      ungen                 erungs‐    stunden     Medien‐     zungs‐    staltungen   staltungen thekare    tenten     theksfach‐                                                 60 Jahre     bis          ab          je Nutzer             quote      pro Woche   kauf        gebühren  gesamt       für Kinder liche Aus‐                                                              12 Jahre     60 Jahre                          in %                   in EUR bildung                                                                 in %         in % Jessen                0,00       1,60         0,00     12.831     15.429      1.177         324          118       27,53        10,03           13    44.203       2,95        32,0     11.071     nein             53          38 Kalbe                 0,80       0,00         0,00      4.638     16.082        651         285             0      43,78         0,00           25    13.580       4,10        17,0      2.674      ja              47          12 Klötze                0,95       0,00         0,86     12.165     33.244      1.052         353          141       33,56        13,40           32    36.735       2,85        27,0      8.095      ja              83          47 Könnern               0,00       0,00         0,50      1.703      1.186         55          27           28       49,09        50,91           22    14.863       2,31        20,0        417     nein              0           0 Köthen                2,25       3,00         0,00     47.071     98.907      3.041         663          320       21,80        10,52           33    51.644       8,07        30,0     29.334      ja            192           84 Landsberg             1,00       0,00         0,00     25.349     41.795        852         282           97       33,10        11,38           49    11.817       3,22        26,0        k.A.    nein           238         196 Leuna                 0,00       1,50         0,50      8.826     51.529      2.191         419          446       19,12        20,36           24    30.312       8,36        21,0     23.050     nein             39          22 Eisleben, RMZ         1,00       0,00         4,50      8.500     28.364        750         117           43       15,60         5,73           38    56.394       6,66        13,5     36.077      ja            100           57 Eisleben, SB         1,00       2,20         0,00     11.030     74.494        658            0            0        0,00        0,00         113     31.144       6,99        30,0     20.993      ja              62          40 Wittenberg, SB       1,69       4,27         1,23     33.463    130.113      1.539         206          458       13,39        29,76           85    86.989       3,33        29,0     29.480      ja            150           16 Wittenberg, KB       0,50       0,00         0,00        180      2.686         14            0            2        0,00       14,29         192     18.060       0,74        20,0           0    nein              1           1 Lützen                0,00       0,00         0,00      4.300     26.029        156          44           29       28,21        18,59         167     13.003       3,63        13,0        590      ja               5           2 Magdeburg            23,33     21,85          7,00    341.731 1.004.226      13.632       3.877        2.438       28,44        17,88           74   362.090       7,03        48,0    202.709      ja            706         266 Merseburg             2,00       4,58         1,00     42.936    128.887      1.830         210          362       11,48        19,78           70    66.918       6,79        27,0     35.000      ja              55          34 Mücheln               0,78       0,00         0,00      9.745     38.680        932         221          146       23,71        15,67           42    17.293       8,43        23,0      5.653     nein             31          20 Naumburg              2,60       3,78         0,00     34.449    167.514      2.523         480          369       19,02        14,63           66    65.555       6,02        23,0     42.331      ja              77          23 Nebra                 0,00       0,00         0,50      5.388     15.573        427          56           43       13,11        10,07           36    17.687       1,74        16,0      3.473     nein             41           0 Oschersleben          2,87       2,88         0,00     23.860     82.413      1.791         661          269       36,91        15,02           46    38.950       7,27        27,0     11.587      ja            171           87 Osterburg             2,76       0,00         3,85     37.620    154.356      2.357         771          529       32,71        22,44           65    55.519       3,97        33,0     43.067      ja            320         251 Osternienburg         0,40       0,00         0,00      4.113     20.064        171          63           65       36,84        38,01         117      8.565      19,01        11,0           0     ja               8           2 Osterwieck            0,00       0,00         0,00     10.823     42.273      1.808         416          k.A.      23,01         k. A.          23    18.892       2,37        26,0      6.165     nein             30          12 Quedlinburg           2,73       1,00         0,50        k.A.    37.664        746         102          177       13,67        23,73           50    49.930       5,92        27,0     20.702      ja              32          16 Querfurt              1,00       0,00         0,00     13.398     65.765        804         351          105       43,66        13,06           82    22.730       6,75        23,0      7.000      ja              89          64 Raguhn                0,00       0,00         0,55      1.820      6.622        312          28           84         8,97       26,92           21     8.615       0,40        16,0        656      ja              12           3 Salzwedel             3,17       4,09         1,00     59.550    211.325      3.789       1.313          476       34,65        12,56           56    75.707       6,88        32,0     35.008      ja            233         135 Sandersdorf           0,00       0,00         0,75      3.980      8.481        317          31          258         9,78       81,39           27    14.101       2,15        26,0        600      ja              17          14 Sangerhausen          1,38       1,00         0,50     19.766     59.148      1.299         143          298       11,01        22,94           46    40.919       5,79        33,0     12.993      ja              99          72 Schkopau                                                          13.513        422         k.A.         k.A.        k. A.       k. A.          32     8.101       4,45        15,0      4.016     nein             15           5 Schönebeck            1,75       3,00         0,00     21.550    101.045      2.023         368          468       18,19        23,13           50    36.119       9,25        22,0     21.308     nein             97          52 Seehausen             0,00       0,00         0,00      4.671     19.504        305         148           30       48,52         9,84           64    17.114       2,81        50,0      1.000      ja              71          16 Stendal               2,00       0,00         3,75     41.892    135.425      3.002       1.079          375       35,94        12,49           45    65.833       4,88        29,0     32.411      ja            201         140 Sülzetal              0,00       0,75         0,00      1.440      3.166        150          60           80       40,00        53,33           21     6.289       7,54        18,0        479      ja              19           6 Tangermünde           1,00       0,00         1,00      4.388      7.295        387          35             0        9,04        0,00           19    15.518       3,59        32,0      8.000     nein             23           4 Teutschenthal         1,00       0,00         2,00     22.409     75.554      2.582         866          193       33,54         7,47           29    33.759      11,62        30,0     15.937     nein           155           94 Thale                 1,50       0,00         0,75     12.077     31.924        776         k.A.         k.A.        k.A.         k.A.          41    24.796       2,62        17,0      1.000      ja              41          26 Tröglitz              0,00       0,75         0,00      3.548     10.763        206          94           59       45,63        28,64           52    10.011       0,67        20,0        795      ja               9           6 Wanzleben             0,00       1,00         1,00     14.665     66.153      1.104         353           88       31,97         7,97           60    30.914       6,69        22,0     16.536      ja            142           61 Weferlingen           0,00       0,50         0,00      5.976     14.089        326         134           59       41,10        18,10           43     8.924       5,54        13,0      1.900     nein             49          45 2/3
104

Anlage 24 Jahr 2010 Bibliothek  Frage 11:  Frage 11:  Frage 12: Frage 15a: Frage 15a: Frage 15b: Frage 15b:     Frage 15b:  Frage 16:   Frage 16:  Frage 18: Frage 19:   Frage 20: Frage 21:   Frage 22:  Frage 26: Frage 30:    Frage 30: Anzahl     Anzahl     ohne         Besucher Entleih‐     Nutzer     Nutzer bis  Nutzer      Anteil      Anteil     Entleih‐    Bestand   Erneu‐    Öffnungs‐   Mittel     Benut‐    Veran‐       Veran‐ Biblio‐    Assis‐     biblio‐                  ungen                12 Jahre    über        Nutzer      Nutzer     ungen                 erungs‐   stunden     Medien‐    zungs‐    staltungen   staltungen thekare    tenten     theksfach‐                                                60 Jahre    bis         ab         je Nutzer             quote     pro Woche   kauf       gebühren  gesamt       für Kinder liche Aus‐                                                            12 Jahre    60 Jahre                         in %                  in EUR bildung                                                               in %        in % Weißenfels        3,33       1,19         0,00     30.008    105.288      1.777         319         256      17,95       14,41          59    42.408      7,05        30,0     34.164     ja              71          25 Wernigerode       3,88       1,38         1,44     34.102    143.363      3.056         755         558      24,71       18,26          47    90.047      8,36        26,0     41.882    nein           179          116 Wettin            0,13       0,00         0,00      8.320      9.749        756         440          40      58,20        5,29          13    12.500      0,00        20,0      1.261     ja              97          89 Wolmirstedt       1,80       0,95         0,00     14.779     31.433        970         280         145      28,87       14,95          32    23.001      5,75        28,0      4.238     ja              67          43 Zahna             1,00       0,00         0,00      5.992     12.689        404         159          50      39,36       12,38          31    16.570      3,59        20,0      1.652     ja            115           85 Zeitz             1,85       3,28         1,93     44.310    168.431      1.570         118         431        7,52      27,45        107     71.517      3,64        35,0     17.022     ja            150           80 Zerbst            2,00       0,63         0,00     11.500     50.421        931         161         162      17,29       17,40          54    23.842      6,46        23,0     10.484     ja            140          103 Zielitz           0,00       0,80         0,00        k.A.    12.259        455         188          35      41,32        7,69          27    10.400      8,80        21,2      8.000    nein             72          37 Gesamt 2010     139,31    116,12         57,23 1.936.737 6.333.582     114.539       26.821      18.041      23,42       15,75          55 3.192.137      5,07              1.454.831                 7.598        4.198 3/3
105

Anlage 25 Jahr 2011 Bibliothek       Frage 11: Frage 11: Frage 12: Frage 15a: Frage 15a: Frage 15b:       Frage 15b:   Frage 15b:   Frage 16:   Frage 16:   Frage 18: Frage 19:  Frage 20: Frage 21:   Frage 22:   Frage 26: Frage 30: Frage 30: Biblio‐    Assis‐     ohne         Besucher Entleih‐     Nutzer      Nutzer       Nutzer       Anteil      Anteil      Entleih‐ Bestand     Erneu‐    Öffnungs‐   Mittel      Nutzungs‐ Veran‐    Veran‐ thekare tenten        biblio‐                  ungen                 bis          über         Nutzer      Nutzer      ungen                erungs‐   stunden     Medien‐     gebühren  stal‐     stal‐ theksfach‐                                     12 Jahre     60 Jahre     bis         ab          je Nutzer            quote     pro Woche   kauf        ja/Nein   tungen    tungen liche                                                                    12 Jahre    60 Jahre                                               in EUR                gesamt    für Kinder Ausbildung                                                               in %        in % Aken                   0,00       0,50         0,00      3.052     14.682        198           49           69       24,75       34,85          74    17.297      1,55        16,0      1.800       ja           3           3 Annaburg               0,00       1,00         0,00      3.374     15.398        652           68          219       10,43       33,59          24    10.607      1,59        20,0      1.400      nein         20           6 Arendsee               0,40       0,40         0,00      2.998      9.515        232           87           51       37,50       21,98          41    10.090      1,30        18,0        550       ja          27         19 Aschersleben           1,00       1,73         0,31     16.643     93.930      1.175          310          k.A.      26,38        k. A.         80    53.020      3,41        20,5     21.364       ja         110         53 Bad Dürrenberg         0,95       0,00         0,00     21.470     38.229        529           54          198       10,21       37,43          72    25.508      7,57        16,0      3.617       ja          10           4 Bad Schmiedeberg       1,50       0,00         0,00     11.058     18.176      1.709          k.A.         k.A.       k. A.       k. A.         11    15.349      4,71        31,0           0     nein         28           5 Ballenstedt            0,75       0,00         0,56      5.809     14.004        440          134           60       30,45       13,64          32    35.013      9,13        20,0        992       ja          55         33 Barleben               1,00       1,00         0,00        k.A.    36.334        763          152           96       19,92       12,58          48    14.982      5,56        25,0      6.554      nein         31         18 Beesenlaublingen       0,00       0,00         0,50      3.002     10.712        451          120           84       26,61       18,63          24    10.876      0,00        20,0        335      nein          9           5 Beetzendorf            0,72       0,00         0,00      3.722     14.012        489          176           80       35,99       16,36          29    13.650      5,19        18,0      1.807      nein         77         47 Bernburg KB            0,35       0,00         0,00        k.A.     4.122        k.A.         k.A.         k.A.       k. A.       k. A.       k.A.    10.009      2,81        10,0      4.000      nein          0           0 Bernburg SB            1,65       2,85         1,00     65.092    182.411      2.412          296          361       12,27       14,97          76    60.970      6,96        32,0     28.000       ja          84         44 Bismark                0,00       0,00         0,50      3.538     14.551        497          284           52       57,14       10,46          29    14.025      1,22        15,0        807       ja          12           5 Bitterfeld             1,75       2,95         0,57     31.276    142.217      1.883          169          496         8,98      26,34          76    75.479      6,23        20,0     36.819       ja          99         48 Blankenburg            1,25       0,50         0,00      7.826     18.129        357           75          131       21,01       36,69          51    27.492      2,49        13,0      1.930       ja          19           8 Braunsbedra            1,00       1,00         0,00     22.183     42.348      1.149          318          182       27,68       15,84          37    24.301     15,28        19,0     29.892      nein         32         23 Burg                   0,75       0,75         4,50     14.687     28.255      1.250          190          325       15,20       26,00          23    62.863      2,33        36,0      2.733       ja         148         32 Calbe                  0,50       0,50         0,00      1.914     15.705        167           39           53       23,35       31,74          94    23.218      1,84        14,0      1.490       ja           9           4 Coswig                 1,25       0,00         0,00      7.326     24.831        729          176          170       24,14       23,32          34    19.127      5,59        21,0      3.298       ja          38         18 Dessau               12,14        6,41         8,93    197.635    316.000      5.026          697        1.356       13,87       26,98          63   212.210      1,96        35,0    104.469       ja         365        151 Diesdorf               0,50       0,00         0,00      2.723     13.775        294          161           45       54,76       15,31          47    14.837      2,04        15,0      2.650       ja          29         15 Droyßig                0,50       0,00         0,00      3.753     10.745        338          141           56       41,72       16,57          32    10.908      4,71        17,0      3.346      nein         41         35 Elbingerode            0,00       0,00         0,00     14.670     16.878      1.808          276        1.532       15,27       84,73           9    13.322      4,22        10,0           0     nein        137        133 Freyburg               0,50       0,00         0,00      6.685     32.218        852          245           94       28,76       11,03          38    13.656      6,41        18,0      1.227      nein         52         42 Gardelegen             1,55       2,20         1,13     25.773     47.403      1.877          522          256       27,81       13,64          25    50.310      6,16        30,0     14.905       ja         102         49 Gatersleben            0,00       0,00         0,00      8.137     27.652        421           87           30       20,67         7,13         66    13.567      5,16        14,0        931      nein         37         16 Genthin                1,71       0,75         2,42     25.696     51.699      2.152        1.015          296       47,17       13,75          24    44.136     17,79        30,0     19.217      nein        268        151 Gommern                0,75       0,00         0,00      4.059      7.947        506          206           98       40,71       19,37          16    14.264      3,66        19,0      2.958      nein         42         21 Gräfenhainichen        0,95       0,77         0,38     13.284     34.254      1.121          230          173       20,52       15,43          31    25.680      6,42        22,0      8.386       ja          75         41 Hadmersleben           0,00       0,62         0,00      3.119      9.889        218           71           50       32,57       22,94          45    10.061      3,16        20,0      1.093       ja          24         15 Halberstadt            4,00       4,30         0,75        k.A.   257.105        k.A.         k.A.         k.A.       k. A.       k. A.       k.A.    86.467      0,00        35,0     25.300       ja         163         84 Haldensleben           3,00       2,00         0,00     44.465    125.263      1.717          460          215       26,79       12,52          73    73.440      8,57        24,0     47.777       ja         188        125 Halle                21,20      18,44          4,60    350.344 1.302.287     14.585         2.674        1.959       18,33       13,43          89   244.678     10,99        45,0    230.207       ja         561        396 Harzgerode             0,87       0,00         0,00      1.132      5.181        228           76          152       33,33       66,67          23    10.275      1,10        10,0      1.200       ja          10           7 Hettstedt              1,00       0,00         2,00     11.577     39.409        516          110          127       21,32       24,61          76    30.006      5,63        17,0      7.473       ja          63         39 Hohenmölsen            0,00       1,50         0,00     15.259     21.965        530           87          443       16,42       83,58          41    20.256      2,78        18,0      3.779      nein         61         42 Ilsenburg              1,56       0,70         0,00     15.021     54.875      1.039          309          236       29,74       22,71          53    27.764      7,73        20,0     18.807       ja          60         41 Jessen                 0,00       1,60         1,20     12.358      9.627        783          284           82       36,27       10,47          12    43.847      4,99        32,0      3.032      nein         42         28 1/3
106

Anlage 25 Jahr 2011 Bibliothek      Frage 11: Frage 11: Frage 12: Frage 15a: Frage 15a: Frage 15b:      Frage 15b:   Frage 15b:   Frage 16:    Frage 16:    Frage 18: Frage 19:  Frage 20: Frage 21:   Frage 22:   Frage 26: Frage 30: Frage 30: Biblio‐    Assis‐     ohne         Besucher Entleih‐     Nutzer     Nutzer       Nutzer       Anteil       Anteil       Entleih‐ Bestand     Erneu‐    Öffnungs‐   Mittel      Nutzungs‐ Veran‐    Veran‐ thekare tenten        biblio‐                  ungen                bis          über         Nutzer       Nutzer       ungen                erungs‐   stunden     Medien‐     gebühren  stal‐     stal‐ theksfach‐                                    12 Jahre     60 Jahre     bis          ab           je Nutzer            quote     pro Woche   kauf        ja/Nein   tungen    tungen liche                                                                   12 Jahre     60 Jahre                                                in EUR                gesamt    für Kinder Ausbildung                                                              in %         in % Kalbe                 0,80       0,00         0,00      3.473     12.271        356         156           35       43,82          9,83          34    13.868      3,09        15,0      2.503       ja          24           3 Klötze                0,95       0,00         0,93     13.567     28.517      1.004         356          143       35,46        14,24           28    36.878      2,66        27,0      3.450       ja          83         39 Könnern               0,00       0,00         0,50     23.128      1.079         51          35           16       68,63        31,37           21    12.778      1,86        20,0        179      nein          0           0 Köthen                2,25       3,00         0,00     65.901     87.733      2.966         690          316       23,26        10,65           30    50.464      5,55        30,0     10.000       ja         200        101 Landsberg             1,00       0,00         0,00     26.832     50.562        893         357          126       39,98        14,11           57    13.606     21,37        26,0     11.317      nein        192        148 Leuna                 0,00       1,50         0,50     11.521     59.798      1.961         268          617       13,67        31,46           30    33.749      7,19        21,0     18.570      nein         38         19 Eisleben, RMZ         1,00       0,00         4,30     10.400     86.821        641         239           54       37,29          8,42        135     53.693      5,56        13,5     35.000       ja         109         82 Eisleben, SB         1,00       2,20         0,00     10.448     63.955        703         k.A.         k.A.       k. A.        k. A.          91    23.879      4,24        30,0     10.604       ja          47         35 Wittenberg, SB        1,69       4,63         0,87     35.903    122.725      1.854         306          350       16,50        18,88           66    85.645      3,35        29,0     30.478       ja         163         16 Wittenberg, KB       0,50       0,00         0,00        189      2.420         16            0            3        0,00       18,75         151     18.060      0,00        16,0           0     nein          0           0 Lützen                0,00       0,00         0,00      4.371     24.767        110          50           35       45,45        31,82         225     12.156      3,49        13,0      1.117       ja           5           2 Magdeburg           22,08      19,93          6,23    325.026 1.084.795     13.216        3.843        2.284       29,08        17,28           82   366.680      7,24        48,0    215.620       ja         545        123 Merseburg             2,00       4,08         1,00     46.356    139.258      2.192         290          440       13,23        20,07           64    67.436      7,61        27,0     35.000       ja          83         40 Mücheln               0,78       0,00         0,00     11.092     46.177        909         208          142       22,88        15,62           51    18.111      8,75        23,0      7.332      nein         27         21 Naumburg              3,00       3,85         0,00     32.344    178.511      2.485         603          384       24,27        15,45           72    50.884      5,34        23,0     37.371       ja          92         41 Nebra                 0,00       0,00         0,50      5.976     14.470        473         120           77       25,37        16,28           31    17.019      2,55        16,0      2.438      nein         64         17 Oebisfelde            0,00       1,00         0,00      6.316     23.049        493         331           75       67,14        15,21           47    12.925      0,00        12,0      2.254       ja         111         71 Oschersleben          2,00       2,87         0,00     24.914     89.391      1.631         633          200       38,81        12,26           55    37.116      5,68        27,0     15.457       ja         229        111 Osterburg             2,67       0,00         3,47     33.991    136.352      2.320         782          442       33,71        19,05           59    56.410      6,31        28,0     43.218       ja         220        162 Osternienburg         0,50       0,00         0,00      3.854     14.853        169          65           59       38,46        34,91           88     8.778      6,90        11,0      1.732       ja          24         18 Osterwieck            0,00       0,00         1,00     11.147     42.175      1.992         367          k.A.      18,42         k. A.          21    16.604      5,28        26,0      6.099      nein         29         12 Quedlinburg           2,73       0,75         0,70        k.A.    38.309        784         143          197       18,24        25,13           49    49.636      6,10        18,0     20.127       ja          29         13 Querfurt              1,00       0,00         0,00      9.925     48.544        842         361          132       42,87        15,68           58    22.602      6,17        23,0      7.000       ja          68         50 Raguhn                0,00       0,00         0,55      1.668      7.086        309          73           76       23,62        24,60           23     9.027      0,42        16,0        656       ja          11           3 Salzwedel             3,17       3,85         0,95     57.717    210.048      3.630       1.298          482       35,76        13,28           58    75.941      5,64        32,0     32.889       ja         199        112 Sandersdorf           0,00       0,00         1,00      4.002      9.903        473          53          420       11,21        88,79           21    16.008      0,00        28,0        600       ja           7           5 Sangerhausen          1,38       1,50         0,75     21.182     62.527      1.291         442          287       34,24        22,23           48    34.926      6,16        33,0     11.886       ja         119         87 Schkopau              0,00       0,63         0,00      3.801     13.144        393         120          103       30,53        26,21           33     8.041      4,75        14,5      4.932      nein         19           4 Schönebeck            2,21       3,33         0,00     23.013    104.659      2.033         381          501       18,74        24,64           51    37.699      8,69        30,0     21.357      nein        112         69 Seehausen             0,00       0,00         0,00      4.010     17.927        256         117           34       45,70        13,28           70    17.280      2,44        50,0           0      ja          68         11 Staßfurt              1,00       0,88         0,00      6.200     12.698        410         105          131       25,61        31,95           31    29.249      0,00        25,0     12.075       ja          95         71 Stendal               2,00       0,00         3,75     27.292    109.394      3.001         930          345       30,99        11,50           36    65.009      6,87        29,0     38.537       ja         130        107 Sülzetal              0,00       0,75         0,00      1.350      2.843        155          72           72       46,45        46,45           18     6.367      3,93        11,0        292       ja          14           3 Tangermünde           1,00       0,00         0,83      4.505      6.961        342          35           95       10,23        27,78           20    16.233      5,18        22,0      8.000      nein         29           9 Teutschenthal         1,00       0,00         1,75     31.081     75.253      2.537       1.066          162       42,02          6,39          30    35.440     11,66        30,0     26.952      nein        163        111 Thale                 1,50       0,00         0,90     12.037     29.905        728         k.A.         k.A.        k. A.        k. A.         41    25.263      2,22        17,0      3.000       ja          41         25 Tröglitz              0,00       0,75         0,00        k.A.    10.588        193          83           67       43,01        34,72           55    10.094      0,83        20,0      1.022       ja           7           5 Wanzleben             0,00       1,00         1,00     14.468     69.788      1.105         459          101       41,54          9,14          63    30.964      5,54        22,0     15.235       ja         127         52 Weferlingen           0,00       0,50         0,00      3.601     10.301        304         110           60       36,18        19,74           34     8.761      2,07        13,0      1.490      nein         19         16 2/3
107

Anlage 25 Jahr 2011 Bibliothek  Frage 11: Frage 11: Frage 12: Frage 15a: Frage 15a: Frage 15b:      Frage 15b:  Frage 15b:  Frage 16:   Frage 16:   Frage 18: Frage 19:  Frage 20: Frage 21:   Frage 22:  Frage 26: Frage 30:  Frage 30: Biblio‐    Assis‐     ohne         Besucher Entleih‐     Nutzer     Nutzer      Nutzer      Anteil      Anteil      Entleih‐ Bestand     Erneu‐    Öffnungs‐   Mittel     Nutzungs‐ Veran‐     Veran‐ thekare tenten        biblio‐                  ungen                bis         über        Nutzer      Nutzer      ungen                erungs‐   stunden     Medien‐    gebühren  stal‐      stal‐ theksfach‐                                    12 Jahre    60 Jahre    bis         ab          je Nutzer            quote     pro Woche   kauf       ja/Nein   tungen     tungen liche                                                                 12 Jahre    60 Jahre                                               in EUR               gesamt     für Kinder Ausbildung                                                            in %        in % Weißenfels        2,67       1,59         0,00     28.319    104.448      1.591         323         245      20,30       15,40          66    43.261      6,53        30,0     38.073      ja           61          28 Wernigerode       3,75       1,38         1,25     35.624    149.345      3.666       1.009         685      27,52       18,69          41    95.113     11,03        26,0     47.460     nein         170         115 Wettin            0,13       0,37         0,00      8.280      9.217        847         447          63      52,77         7,44         11    10.794      1,30        20,0      1.500      ja           88          78 Wolmirstedt       1,90       0,75         0,00     13.082     30.505        893         263         135      29,45       15,12          34    23.616     10,70        24,0      6.612      ja           80          48 Zahna             1,00       0,00         0,00      6.396     13.069        355         151          44      42,54       12,39          37    16.680      3,66        20,0      1.200      ja          125          91 Zeitz             1,85       3,28         1,93     33.553    134.262      1.352         102         401        7,54      29,66          99    73.453      9,66        35,0     13.879      ja          138          78 Zerbst            2,13       0,50         0,00     12.000     52.269        878         152         180      17,31       20,50          60    23.210      7,78        23,0     10.449      ja          161         142 Zielitz           0,00       1,00         0,32        k.A.    13.112        970         245          66      25,26         6,80         14    10.819      7,54        21,3     10.000     nein          71          46 Gesamt 2011    137,69     118,34         64,33 2.050.515 6.762.835     114.668       28.587      20.709      24,93       18,06          59 3.268.488      6,35              1.469.107                7.564       4.243 3/3
108

Anlage 26 Jahr 2012 Bibliothek       Frage 11: Frage 11: Frage 12: Frage 15a: Frage 15a: Frage 15b:       Frage 15b:  Frage 15b:   Frage 16:   Frage 16:  Frage 18: Frage 19: Frage 20:  Frage 21:   Frage 22:  Frage 26: Frage 30: Frage 30: Biblio‐    Assis‐     ohne         Besucher Entleih‐      Nutzer     Nutzer      Nutzer       Anteil      Anteil     Entleih‐ Bestand    Erneu‐     Öffnungs‐   Mittel     Benut‐    Veran‐    Veran‐ thekare tenten        biblio‐                  ungen                 bis         über         Nutzer      Nutzer     ungen               erungs‐    stunden     Medien‐    zungs‐    stal‐     stal‐ theksfach‐                                     12 Jahre    60 Jahre     bis         ab         je Nutzer           quote      pro Woche   kauf       gebühren  tungen    tungen liche Aus‐                                                              12 Jahre    60 Jahre                       in %                   in EUR               gesamt    für Kinder bildung                                                                 in %        in % Aken                   0,00       0,50         0,00      2.766      15.006        191          40          80       20,94      41,88          79   17.375       1,57        16,0      1.800     ja            3           3 Annaburg               0,00       1,00         0,00      3.444      15.038        649          64         226        9,86      34,82          23   10.692       1,87        20,0      1.000    nein          19           5 Arendsee               0,40       0,40         0,00      2.866       8.299        274        139           60       50,73      21,90          30    9.783       2,56        18,0      1.441     ja           17           3 Aschersleben           1,00       1,73         0,75     17.631      95.581      1.166        295          k.A.      25,30       k. A.         82   51.724       3,72        25,5     21.778     ja          110         50 Bad Dürrenberg         0,95       0,00         0,75     19.927      35.470        510          58         192       11,37      37,65          70   25.681       7,44        16,0      4.088     ja           12           3 Bad Schmiedeberg       1,50       0,00         0,00     11.255      19.064      1.715        k.A.         k.A.       k. A.      k. A.         11   16.098       7,18        31,0          0    nein          21           0 Ballenstedt            0,75       0,00         0,44      6.140     13.170         438        145           61       33,11      13,93          30   37.328       8,59        20,0      1.274     ja           56         39 Barleben               1,00       1,00         0,00        k.A.     32.460        799        220          112       27,53      14,02          41   13.715       4,59        25,0     10.655    nein          40         30 Beesenlaublingen       0,00       0,00         0,00      2.876       9.416        402        100           55       24,88      13,68          23   11.623       0,00        20,0        340    nein           9           5 Beetzendorf            0,72       0,00         0,00      2.718      11.618        453        143           78       31,57      17,22          26   13.169       4,39        18,0      1.787    nein          60         28 Bernburg               1,50       3,15         1,00     64.737    180.122       2.431        392          442       16,13      18,18          74   62.452      11,12        32,0     29.000     ja          107         42 Bismark                0,00       0,00         0,50      2.835      11.617        423        230          108       54,37      25,53          27   13.973       0,54        13,0        976     ja           19         13 Bitterfeld             1,75       3,50         0,28     32.450    149.236       2.046        256          537       12,51      26,25          73   74.492       5,28        36,0     35.864     ja          154         91 Blankenburg            0,50       0,50         0,00      7.920      19.857        368          91         133       24,73      36,14          54   26.132       2,53        13,0      1.922     ja           26         13 Braunsbedra            1,00       1,00         0,00     24.132      42.654      1.091        299          174       27,41      15,95          39   24.236      12,62        19,0     24.135    nein          25         18 Burg                   0,75       0,35         3,75     17.864      34.039      1.238        151          352       12,20      28,43          27   63.599       1,38        36,0      6.100     ja          140         36 Coswig                 1,50       0,00         0,00      7.617      25.426        771        198          153       25,68      19,84          33   18.756       6,22        21,0      4.725     ja           44         26 Dessau                10,50       5,49         6,75    199.158    337.460       5.041        793        1.354       15,73      26,86          67  208.602       3,05        35,0   108.348      ja          446        175 Diesdorf               0,50       0,00         0,00      2.606      14.455        289        169           31       58,48      10,73          50   14.886       2,70        15,0      2.599     ja           29         15 Droyßig                0,50       0,00         0,00      3.861      12.767        347        150           28       43,23       8,07          37   11.137       6,03        17,0      2.694    nein          45         40 Elbingerode            0,50       0,00         0,00     12.603      17.267      1.606        285          569       17,75      35,43          11   13.358       6,18        10,0          0     ja          144        137 Freyburg               0,50       0,00         0,00      6.603      30.906        832        209          100       25,12      12,02          37   13.474       6,11        18,0      1.225    nein          42         35 Gardelegen             1,55       2,33         0,55     27.089      55.966      1.888        488          331       25,85      17,53          30   59.156       5,54        22,5     27.178     ja          106         70 Gatersleben            0,00       0,00         0,75      7.873      23.847        437          95          39       21,74       8,92          55   13.120       5,17        16,0        199    nein          47         35 Genthin                1,95       1,44         0,00     28.656     56.363       1.873        697          328       37,21      17,51          30   46.347       3,43        30,0     18.459    nein         326        141 Gommern                0,75       0,00         0,00      4.929       8.613        518        162          101       31,27      19,50          17   13.415       3,99        19,0      2.562    nein          55         29 Gräfenhainichen        0,95       0,77         0,38     12.871     36.385         959        241          176       25,13      18,35          38   24.268       9,07        22,0      7.000     ja           44         18 Hadmersleben           0,00       0,62         0,00      2.929      10.018        197          72          44       36,55      22,34          51    9.977       4,48        20,0      3.061     ja           36         24 Halberstadt            4,00       3,65         0,75        k.A.   219.438       4.426      1.260          537       28,47      12,13          50   81.994       5,97        31,0     25.300     ja          187        109 Haldensleben           3,00       2,00         0,50     41.536    119.603       1.710        459          238       26,84      13,92          70   68.100       7,43        24,0     42.000     ja          191        102 Halle                 19,50     18,88          3,80    321.352 1.273.576      14.418       2.760        2.014       19,14      13,97          88  247.332      10,51        45,0   223.120      ja          547        408 Hettstedt              1,00       0,00         2,00     10.473      38.562        493        117          129       23,73      26,17          78   32.422       6,53        17,0      7.627     ja           51         26 Hohenmölsen            0,00       1,50         0,00     14.139     19.287         488          85          83       17,42      17,01          40   20.200       3,13        19,0      3.989    nein          59         38 Ilsenburg              1,80       0,00         0,70     15.550      54.170      1.111        341          170       30,69      15,30          49   30.503      15,05        20,0     14.580     ja           60         34 Jessen                 0,00       1,57         1,17     10.753      25.091        915        288          139       31,48      15,19          27   38.030       3,22        28,0      3.199     ja           67         52 Kalbe                  0,80       0,00         0,00      2.452      10.064        201          79          30       39,30      14,93          50   13.854       3,76        15,0      2.513     ja           26           5 Klötze                 1,37       0,00         0,31     13.516      28.475      1.000        388          140       38,80      14,00          28   37.009       3,51        27,0     13.000     ja           90         53 1/3
109

Anlage 26 Jahr 2012 Bibliothek    Frage 11: Frage 11: Frage 12: Frage 15a: Frage 15a: Frage 15b:       Frage 15b:  Frage 15b:   Frage 16:   Frage 16:  Frage 18: Frage 19: Frage 20:  Frage 21:   Frage 22:  Frage 26: Frage 30: Frage 30: Biblio‐    Assis‐     ohne         Besucher Entleih‐      Nutzer     Nutzer      Nutzer       Anteil      Anteil     Entleih‐ Bestand    Erneu‐     Öffnungs‐   Mittel     Benut‐    Veran‐    Veran‐ thekare tenten        biblio‐                  ungen                 bis         über         Nutzer      Nutzer     ungen               erungs‐    stunden     Medien‐    zungs‐    stal‐     stal‐ theksfach‐                                     12 Jahre    60 Jahre     bis         ab         je Nutzer           quote      pro Woche   kauf       gebühren  tungen    tungen liche Aus‐                                                              12 Jahre    60 Jahre                       in %                   in EUR               gesamt    für Kinder bildung                                                                 in %        in % Könnern             0,00       0,00         0,50      2.220       1.628         75          62          13       82,67      17,33          22   15.140       1,28        20,0        185    nein           0           0 Köthen              2,25       3,00         0,00     92.460      81.398      2.628        682          275       25,95      10,46          31   49.729       5,78        30,0     10.385     ja          181         80 Landsberg           1,00       0,00         0,00     24.663      49.993        926        374          112       40,39      12,10          54   13.850       9,69        26,0      5.458    nein         157        125 Leuna               0,00       2,50         0,50     10.869      54.280      1.892        229          716       12,10      37,84          29   28.371       5,03        21,0     12.546    nein          34         15 Eisleben, RMZ       1,03       0,00         4,51     10.989      91.621        666        410          458       61,56      68,77         138   52.782       4,93        25,5     35.000     ja          171        139 Eisleben, SB       1,00       2,20         0,00     12.819      60.974        715        199          181       27,83      25,31          85   23.358       5,78        30,0     13.082     ja           79         46 Wittenberg          1,80       3,77         0,88     36.285    117.672       1.788        276          500       15,44      27,96          66   85.959       2,77        32,0     31.816     ja          209         38 Lützen              0,00       0,50         0,00      4.255      23.122        163          55          23       33,74      14,11         142   12.227       4,89        13,0      1.500     ja            4           2 Magdeburg          20,41     19,35          6,33    311.302 1.137.690      13.398       4.085        2.315       30,49      17,28          85  375.057       6,53        48,0   212.947      ja          549        257 Merseburg           2,00       4,00         1,00     44.299    132.620       2.141        311          454       14,53      21,21          62   67.590       7,34        27,0     35.000     ja           93         53 Mücheln             0,77       0,00         0,00     10.789     43.462         898        221          139       24,61      15,48          48   18.841       9,14        23,0      6.718    nein          42         34 Naumburg            3,00       3,52         0,33     35.219    194.916       1.639        231          359       14,09      21,90         119   47.718      13,16        23,0     39.153     ja           76         42 Nebra               0,00       0,00         0,50      5.905      13.046        397          88          86       22,17      21,66          33   16.953       1,16        16,0      1.034    nein          47         15 Oebisfelde          0,00       1,00         1,00      5.252     25.979         500        340           76       68,00      15,20          52   12.894       1,95        12,0      1.968     ja          137         86 Oschersleben        2,00       3,30         0,00     23.643      91.543      1.651        616          211       37,31      12,78          55   37.134       6,98        27,0     16.023     ja          255         86 Osterburg           2,63       0,00         3,70     34.940    130.036       2.215        707          401       31,92      18,10          59   56.055       8,23        28,0     39.244     ja          271        218 Osternienburg       0,50       0,00         0,00      3.737      13.244        154          63          55       40,91      35,71          86    8.678       1,93        11,0      1.680     ja           21         16 Osterwieck          0,00       0,00         1,00     10.379      41.776      1.837        315          k.A.      17,15       k. A.         23   15.760       4,76        26,0      4.098    nein          27         13 Quedlinburg         2,61       0,44         1,37        k.A.     55.391        811        151          198       18,62      24,41          68   51.139       6,17        18,0     26.397     ja           43         21 Querfurt            1,00       0,00         0,00     12.384      63.010        825        377          151       45,70      18,30          76   22.263       5,07        23,0      4.900     ja           68         49 Raguhn              0,55       0,00         0,00      1.289       6.966        304          64          79       21,05      25,99          23    8.820       0,56        19,0        798     ja           26           5 Salzwedel           3,17       3,91         0,95     55.756    203.113       3.562      1.238          438       34,76      12,30          57   73.327       5,79        32,0     30.773     ja          153         76 Sangerhausen        0,86       2,00         0,75     21.633      67.632      1.300        358          351       27,54      27,00          52   32.993       4,57        31,5     11.894     ja          142        110 Schkopau            0,00       0,63         0,00      3.624     12.880         380        134          100       35,26      26,32          34    8.033       2,52        14,5      2.133    nein          22           3 Schönebeck          1,60       3,15         0,00     23.756    104.241       2.082        414          572       19,88      27,47          50   38.777       8,07        30,0     21.627    nein         127         21 Seehausen           0,00       0,75         0,00      3.281      12.656        208        107           26       51,44      12,50          61   16.860       1,91        25,0      1.990     ja           52           8 Staßfurt            0,88       1,75         0,00     13.088     24.785         699        162          109       23,18      15,59          35   29.548       3,48        25,0      8.000     ja          143        105 Stendal             1,60       0,00         3,75     43.676    187.472       4.889      1.675          604       34,26      12,35          38   66.433       4,77        32,0     36.225     ja          247        140 Tangermünde         1,00       0,00         0,00      3.321       5.517        347          36          94       10,37      27,09          16   16.676       2,89        22,0      7.998    nein          16           2 Teutschenthal       1,00       0,00         1,75     27.790     86.253       2.549        974          187       38,21       7,34          34   36.927       8,50        30,0      8.237    nein         139         79 Thale               1,00       0,00         0,90     11.039      27.930        716        k.A.         k.A.       k. A.      k. A.         39   25.344       2,02        17,0      3.000     ja           31         24 Tröglitz            0,00       0,75         0,00      3.856      10.166        220        118           65       53,64      29,55          46   10.197       1,02        20,0        346     ja           12           7 Wanzleben           0,00       1,00         1,00     14.558      70.460      1.124        410          112       36,48       9,96          63   28.309       4,43        22,0     14.265     ja          113         35 Weferlingen         0,00       0,50         0,00      4.321      13.832        278        128           49       46,04      17,63          50    8.677       3,84        13,0      1.590     ja           27         20 Weißenfels          3,18       0,90         0,00     27.655    100.108       1.420        288          246       20,28      17,32          70   41.721       5,63        30,0     29.703     ja           48         18 Wernigerode         3,75       1,38         0,52     42.710    146.108       4.493      1.050          720       23,37      16,02          33   96.432       8,13        26,0     49.885    nein         155         97 Wettin              0,13       0,37         0,00      8.160       6.618        886        550           90       62,08      10,16           7    7.780       0,97        20,0      1.500     ja           77         64 Wolmirstedt         1,90       0,75         0,00     14.335      32.915        956        297          157       31,07      16,42          34   22.230       6,71        24,0     11.227     ja           89         58 2/3
110

Zur nächsten Seite