Bibliotheken in Sachsen-Anhalt

Bibliothek

/ 231
PDF herunterladen
Anlage 12 Jahr 1998 Bibliothek                 Frage 15a: Frage 15a: Frage 15b: Frage 18: Frage 19:  Frage 20:  Frage 21:    Frage 30:    Frage 30: Besucher Entleih‐       Nutzer     Entleih‐ Bestand   Erneu‐     Öffnungs‐    Veran‐       Veran‐ ungen                 ungen              erungs‐    stunden      staltungen   staltungen je Nutzer          quote      pro Woche    gesamt       für Kinder in % Ilberstedt                         280       2.760        125        22    5.238       0,00           15            1            0 Ilsenburg                      25.480       72.187      2.098        34   24.333      11,03           26          30           20 Jävenitz                         1.098       3.602        152        24    7.512       3,16           15            9            3 Jerichow                         5.851      11.877        530        22   13.927       7,86           21          43           24 Jessen                         24.031       71.761      1.830        39   31.958       1,22           32          29           12 Jeßnitz                         6.057       27.246        636        43   16.382       0,04           14          10             1 Kalbe                            7.014      22.745        840        27   17.150       2,97           20          53           27 Karsdorf                         6.734      14.164        457        31    7.594       0,50           12          25           18 Kemberg                          2.377       4.597        240        19    8.253       2,63           20            6            2 Klötze                         13.037       40.570      1.410        29   38.369       2,02           25          97           45 Könnern                         1.455       11.398        264        43   12.480          ‐           28        k. A.        k. A. Köthen                         86.013      185.209      5.765        32   65.163       3,24           32         137           65 Kreisbibliothek Köthen         10.021       58.256      1.039        56   32.222       4,83           40          20             0 Kreisbibliothek Wittenberg          74         554         54        10   32.094       0,54            0            0            0 Kreisbibliothek Zerbst           1.088      11.478         85             35.218       1,99           20          36           15 Landsberg                       5.386       27.247        873        31   10.237       0,00           26          18           10 Langeneichstädt                 2.088        5.004        266        19    7.989       8,04           16            7            3 Langenweddingen                 2.000        5.431        297        18    5.786       5,58           17          16             6 Letzlingen                         585       3.324        143        23    2.953       8,87            4            3            0 Leuna                          13.225       48.073      1.071        45   16.074       6,88           21          22           14 Lobejün                         3.927       15.073        457        33   13.986       0,43           12          40           24 Loburg                          2.282        5.461      1.751         3   12.844       0,00           19          58           26 Lützen                          4.100       51.700      1.003        52   10.382       2,82           16          10             0 Magdeburg                     440.873    1.229.670     39.517        31  583.208       6,89           42         894          372 Merseburg                      56.719      223.728      6.591        34   80.559       4,38           28          84             8 Mieste                           2.091       6.361        256        25    8.340       4,49           25            9            4 Mücheln                        12.655       45.795      1.222        37   12.347       8,91           23          22             5 Naumburg FB                    80.210       29.107        821        35    8.852          ‐           14            2            1 Naumburg SB                    35.242      164.305      4.021        41   73.218       3,66           21          90           16 Nebra                            1.209      34.929        942        37   19.138       0,87           18          34             7 Nienburg                          k. A.     36.174      1.388        26   17.451       6,28           20          41           32 Oebisfelde                      8.716       46.066        954        48   14.369       2,56           17          97           29 Oschersleben                   30.747      113.153      3.742        30   47.644       2,16           29         169           75 Osterburg                      53.334      257.740      5.391        48   63.587       7,89           30         420          366 Osternienburg                   4.627       29.416        274       107    7.708       0,00           20          18           10 Osterwieck                     12.864       32.369      1.402        23   19.298       1,37           17          12             6 Parey                            6.775      15.133        675        22   10.791      10,66           24          64           44 Prettin                          4.605       6.318        492        13    9.403       8,47           15          10             2 Pretzsch                      k. A.         25.682        707        36   13.429       0,00           19          25             4 Quedlinburg                    60.295      205.376      3.893        53   66.224       9,31           29          38           16 Querfurt                       20.152      103.274      1.534        67   22.957       1,15           23          74           41 Raguhn                          2.770       12.783        346        37    6.907       0,00           20          15             1 Roßla                           3.520       11.889        585        20   12.579       0,98           20          47           21 Roßlau                         22.769       92.516      2.271        41   62.663       1,85           20          87           28 Saalkreisbücherei               7.007       33.483        659        51   77.868       4,12           20         150           67 Salzmünde                       5.530       17.119        428        40    5.985       1,02           38          65           23 Salzwedel                     105.300      232.061      7.526        31   65.094       2,22           34         156           60 Sandersdorf                      4.956      13.033        478        27    7.857       0,00           20            0            0 Sangerhausen                   46.444      207.934      4.935        42   66.886       9,58           28         113           58 Schkopau                        5.835       15.867        547        29    8.748       6,48           15          11             7 Schönebeck                     40.338      175.205      4.152        42   40.616       4,92           32          90           20 2/3
61

Anlage 12 Jahr 1998 Bibliothek    Frage 15a: Frage 15a: Frage 15b: Frage 18: Frage 19:  Frage 20:  Frage 21:    Frage 30:   Frage 30: Besucher Entleih‐      Nutzer     Entleih‐ Bestand    Erneu‐     Öffnungs‐    Veran‐      Veran‐ ungen                  ungen               erungs‐    stunden      staltungen  staltungen je Nutzer           quote      pro Woche    gesamt      für Kinder in % Seehausen         10.366      34.427        944        36    19.842       1,02           25          27          20 Staßfurt          39.637    110.524       3.144        35    82.546       4,72           26         107          90 Stendal           77.940    321.506       7.133        45    75.358       1,87           32         237         157 Tangermünde        6.154      26.032        944        28    16.483       0,44           22          13            4 Teuchern          44.883      24.616        446        55    12.960       0,48           23          17          14 Teutschental      14.939      35.534      1.251        28    18.819      10,51           30         107          67 Thale             20.709      62.848      1.980        32    27.414       2,46           20          44          33 Theißen            5.264      17.023        456        37    10.176       6,56           20          54          30 Tröglitz           3.879      17.399        521        33     7.774       0,01           20           9            3 Tuchheim           5.989       8.739        384        23    10.092       3,71           14          42          29 Wallwitz           3.983       8.426        403        21     8.462       0,00           23          78          20 Wanzleben         15.468      84.650      1.413        60    49.073       3,23           27         122          87 Wefensleben       12.533      26.378      1.009        26    12.737       2,23           24         234         174 Weferlingen        2.008      18.484      1.491        12     8.091       0,00           13           6            6 Wegeleben          7.445      23.320        759        31    10.837       3,40           24          79          32 Weißenfels FB     28.567      74.542      3.032        25    20.789       1,65           18           2            1 Weißenfels SB     49.873    117.309       3.525        33    39.052       6,66           36          84          35 Wernigerode       54.794    170.556       5.043        34   109.562       2,97           26         159          96 Wettin             6.813      17.321      1.171        15    11.332       2,88           27          29            7 Wittenberg        74.368    261.989       7.795        34    88.580      22,27           22         195          70 Wolfen            25.989    121.018       2.599        47    36.836       5,26           24          63          28 Wolmirstedt       21.101      63.493     34.088         2    30.396       4,44           34          42          20 Wörlitz            3.135      13.313        469        28    10.121       0,00           20          17          10 Zahna             13.780      29.419      1.080        27    16.696       4,98           20          47          16 Zeitz FB          10.472      45.257      1.580              20.666       0,44           20           0            0 Zeitz SB          48.575    207.141       4.587        45    85.153      10,04           26         207         105 Zerbst            24.000    127.654       2.834        45    48.323       4,45           20          84          44 Zörbig            10.101      18.048        968        19    14.837       9,19           20           0            0 Zschornewitz       4.804      12.833        374        34    16.371       1,92           20           8            4 Gesamt 1998    3.167.146 11.225.824    346.604         32 4.859.236    4,48                       9.792       5.346 3/3
62

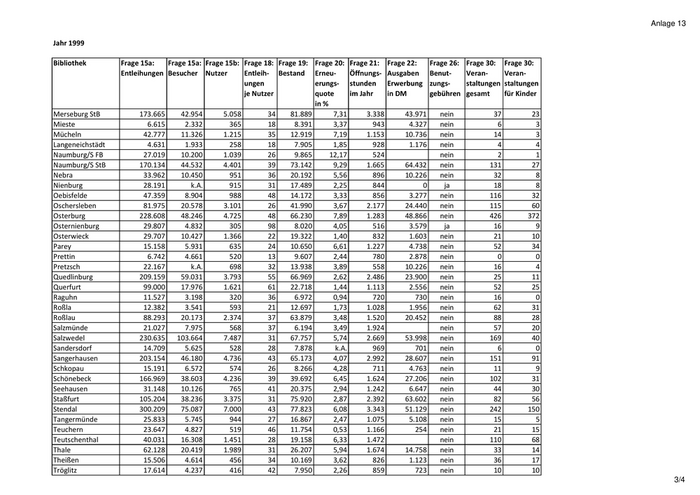
Anlage 13 Jahr 1999 Bibliothek       Frage 15a:    Frage 15a: Frage 15b: Frage 18: Frage 19:  Frage 20:  Frage 21:   Frage 22:    Frage 26: Frage 30:   Frage 30: Entleihungen Besucher Nutzer        Entleih‐ Bestand     Erneu‐     Öffnungs‐   Ausgaben     Benut‐    Veran‐      Veran‐ ungen                erungs‐    stunden     Erwerbung    zungs‐    staltungen  staltungen je Nutzer            quote      im Jahr     in DM        gebühren  gesamt      für Kinder in % Aken                    29.090      5.547        793        37    15.640        2,62        787         3.579    nein             6           5 Annaburg                18.014      3.355        795        23    11.057        3,76        920         6.340    nein           23            6 Arendsee                13.709        981        561        24    10.460        4,26        846         5.328    nein           20            9 Aschersleben           130.195     36.503      7.075        18    83.952        1,99      1.314       12.187     nein          184          75 Bad Bibra               28.537      4.437        605        47    14.743        1,14        414         1.194    nein           44            5 Bad Dürrenberg         136.445     33.794      3.311        41    24.621        7,91      1.323       23.570     nein           10            4 Bad Kösen               32.197      6.975        637        51    15.255        0,45        765         1.023    nein           22          10 Bad Schmiedeberg        24.971     12.811      1.797        14    24.493        3,24      1.363         5.110    nein           37            1 Ballenstedt             24.002      9.912      1.112        22    29.918        2,91      1.052       13.892     nein           55          28 Barleben                12.466        382        771        16      7.721      15,35        966         6.136    nein           14          11 Beesenlaublingen        13.532      3.100        477        28    10.778        2,50        435         7.836    nein           14            9 Beetzendorf             18.429      4.592        710        26    13.919        4,57        786         2.306    nein           74          49 Benneckenstein           6.692      2.586        455        15      8.481       1,15        478           202    nein             0           0 Bernburg KrsB            6.267           0       357        18    21.415        3,00           0      10.226     nein           36          25 Bernburg StB           251.042        k.A.     5.604        45    64.359        8,85      1.418       80.549     nein           64          43 Bismark                 20.254      5.376        634        32    11.849        5,88      1.367         5.348    nein           28          14 Bitterfeld             188.515     35.605      4.396        43    71.210        3,20                  19.421     nein           45          17 Blankenburg             98.070     21.601      2.824        35    36.278        3,07      1.064       11.219     nein           24          18 Braunsbedra             60.655     15.731      1.395        43    18.093        6,07      1.055       11.760     nein           41          36 Brehna                  11.235        263        378        30    10.093        1,57        660         1.611     ja            22            8 Burg                   223.536     51.381      6.057        37    56.530        3,63      2.195       28.735     nein          466         396 Calbe                   37.172      8.145      1.215        31    26.824        2,93      1.121           756    nein           14            3 Coswig                  43.375      8.751      1.043        42    24.595        3,51      1.010       12.731     nein           26          18 Dessau                 484.438    202.877     12.969        37   259.308        1,65      6.417       61.878     nein          342         179 Diesdorf                17.403      4.359        537        32    12.246        k.A.        654         3.001    nein           26          12 Droyßig                 17.411     10.327        836        21    16.214        3,08      1.931         2.591    nein           67          30 Eisleben               168.735     32.067      2.856        59    39.264        1,97      2.149       41.415     nein           92          54 Elbingerode             31.136     12.368      1.801        17      9.553       5,80        672           256    nein           74          49 Elster                   6.827      3.472        335        20      4.404       2,47        404           817    nein           10            4 Fleetmark               11.377      3.411        315        36      8.515       3,93        559         2.557    nein           31          26 Freyburg                38.977      7.035      1.003        39    13.815        3,87        850         4.091    nein           74          51 Gardelegen              77.862     47.679      3.043        26    49.819        8,32      1.786       49.951     nein           96          76 Gatersleben             27.724      8.309        567        49    10.558        5,79        877         5.658    nein           10            0 Genthin                109.116     55.952      3.465        31    40.455        8,34      1.546       33.139     nein          433         296 Gommern                 23.811      5.830        865        28    13.304        7,40        974         5.991    nein           23            7 1/4
63

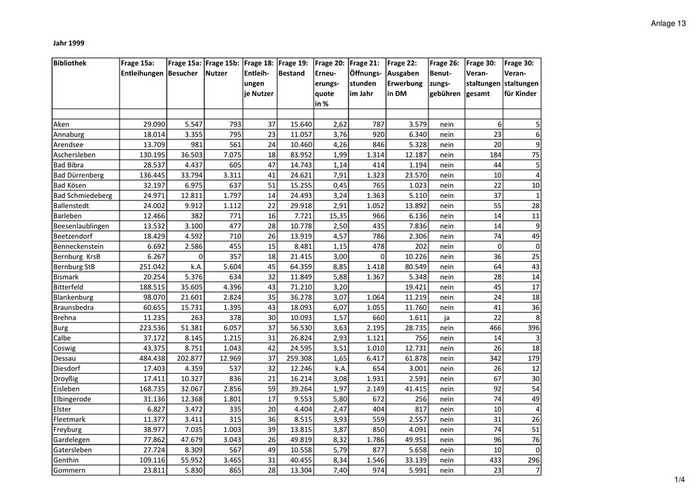
Anlage 13 Jahr 1999 Bibliothek         Frage 15a:    Frage 15a: Frage 15b: Frage 18: Frage 19:  Frage 20:  Frage 21:  Frage 22:    Frage 26: Frage 30:   Frage 30: Entleihungen Besucher Nutzer        Entleih‐ Bestand     Erneu‐     Öffnungs‐  Ausgaben     Benut‐    Veran‐      Veran‐ ungen                erungs‐    stunden    Erwerbung    zungs‐    staltungen  staltungen je Nutzer            quote      im Jahr    in DM        gebühren  gesamt      für Kinder in % Gräfenhainichen           80.316     25.476      2.693        30    33.767       4,06       1.562      17.895     nein           57          42 Gröbzig                   25.461      6.537        996        26    11.768        k.A.        577        4.607    nein           28          13 Güsten                     7.761      3.232        383        20    11.494       5,21       1.038        3.018    nein           37          10 Hadmersleben              21.690      6.032        476        46      4.920      8,95         808        5.113    nein           26          22 Halberstadt              296.983    124.263      5.429        55    82.084       3,47       2.411      72.552     nein          196         100 Haldensleben              89.135     48.836      3.928        23   101.838       1,65       1.392      61.720     nein          194         114 Halle KrsB                34.149      8.735        770        44    75.752       2,43       1.612      37.836     nein          156          68 Halle StB              1.513.367    351.819     39.599        38   579.034       1,83      25.597     212.186     nein          729         280 Harzgerode                 9.800      3.488        342        29    10.192       1,46         494        2.556     ja              7           0 Helbra                    25.419      5.298        517        49    11.463        k.A.      1.053        2.556     ja            14            6 Hettstedt KrsB/FB2       156.035     38.294     11.633        13    46.149       2,61       1.467      23.519     nein           60          17 Hettstedt StB             91.085     26.181      2.606        35    36.598       3,54         945      18.600     nein           27          13 Hohenmölsen               63.325     30.431      1.724        37    17.648       3,32       1.258      13.486     nein           37          20 Ilberstedt                 1.030        350        117         9      4.509      5,54         200        2.045    nein             0           0 Ilsenburg                 71.193     23.495      2.134        33    24.273        k.A.      1.341      12.265     nein           54          20 Jävenitz                   3.556      1.120        158        23      7.241      2,17         699        1.682    nein           53          46 Jerichow                  16.797      5.355        513        33    13.267       2,39         895        2.363    nein           67          36 Jeßnitz                   27.806      4.671        631        44    16.697       2,51         592        2.892    nein           10            0 Jessen                    70.038     21.444      1.801        39    29.882       2,39       3.155      89.503     nein           41          15 Gröbers                   14.547      4.612        628        23      7.887      1,55         676                 nein           16            7 Kalbe                     21.330      6.224        667        32    17.363       4,20         853        1.712    nein           45          19 Karsdorf                  13.913      6.703        446        31      7.561      2,11         463        1.534    nein           28          21 Kemberg                    4.485      2.298        230        20      8.099      1,10         487        1.023    nein             6           1 Klötze                    40.501     12.489      1.291        31    38.507       2,47       1.246        8.948    nein           81          38 Könnern                    7.970      1.442        183        44    12.831       0,80         640        2.049     ja              0           0 Köthen KrsErgB            54.147      9.415      1.044        52    32.340       3,20       1.836      17.915     nein           21            0 Köthen StB               189.310     86.114      5.841        32    65.478       3,74       1.608      34.019     nein          145          66 Landsberg                 37.272      5.957      1.000        37    10.376       1,90       1.040                 nein           13            3 Langenweddingen            6.010      2.225        302        20      5.254      5,12         433        1.534    nein             9           7 Letzlingen                 4.037        487        151        27      3.060      0,51         208          841    nein             7           3 Leuna                     41.739     12.926      1.130        37    16.046       5,84       1.002        9.203    nein           26          20 Löbejün                   10.230      4.286        402        25    14.103       1,00         388                 nein           34          21 Loburg                     4.481        k.A.     1.736         3    12.989       1,13         625        1.098    nein             8           7 Lützen                    43.256     10.140      1.140        38      9.540      3,71         796        3.579    nein             7           1 Magdeburg              1.220.832    528.050     45.676        27   568.885       3,84      11.859     268.371     nein         1061         373 Merseburg FB              35.010      8.536        839        42      8.700       k.A.        447        5.113    nein           26          16 2/4
64

Anlage 13 Jahr 1999 Bibliothek      Frage 15a:    Frage 15a: Frage 15b: Frage 18: Frage 19:  Frage 20:  Frage 21:  Frage 22:    Frage 26: Frage 30:   Frage 30: Entleihungen Besucher Nutzer        Entleih‐ Bestand     Erneu‐     Öffnungs‐  Ausgaben     Benut‐    Veran‐      Veran‐ ungen                erungs‐    stunden    Erwerbung    zungs‐    staltungen  staltungen je Nutzer            quote      im Jahr    in DM        gebühren  gesamt      für Kinder in % Merseburg StB         173.665     42.954      5.058        34    81.889        7,31      3.338      43.971     nein           37          23 Mieste                  6.615      2.332        365        18      8.391       3,37        943        4.327    nein             6           3 Mücheln                42.777     11.326      1.215        35    12.919        7,19      1.153      10.736     nein           14            3 Langeneichstädt         4.631      1.933        258        18      7.905       1,85        928        1.176    nein             4           4 Naumburg/S FB          27.019     10.200      1.039        26      9.865      12,17        524                 nein             2           1 Naumburg/S StB        170.134     44.532      4.401        39    73.142        9,29      1.665      64.432     nein          131          27 Nebra                  33.962     10.450        951        36    20.192        5,56        896      10.226     nein           32            8 Nienburg               28.191        k.A.       915        31    17.489        2,25        844            0     ja            18            8 Oebisfelde             47.359      8.904        988        48    14.172        3,33        856        3.277    nein          116          32 Oschersleben           81.975     20.578      3.101        26    41.990        3,67      2.177      24.440     nein          115          60 Osterburg             228.608     48.246      4.725        48    66.230        7,89      1.283      48.866     nein          426         372 Osternienburg          29.807      4.832        305        98      8.020       4,05        516        3.579     ja            16            9 Osterwieck             29.707     10.427      1.366        22    19.322        1,40        832        1.603    nein           21          10 Parey                  15.158      5.931        635        24    10.650        6,61      1.227        4.738    nein           52          34 Prettin                 6.742      4.661        520        13      9.607       2,44        780        2.878    nein             0           0 Pretzsch               22.167        k.A.       698        32    13.938        3,89        558      10.226     nein           16            4 Quedlinburg           209.159     59.031      3.793        55    66.969        2,62      2.486      23.900     nein           25          11 Querfurt               99.000     17.976      1.621        61    22.718        1,44      1.113        2.556    nein           52          25 Raguhn                 11.527      3.198        320        36      6.972       0,94        720          730    nein           16            0 Roßla                  12.382      3.541        593        21    12.697        1,73      1.028        1.956    nein           62          31 Roßlau                 88.293     20.173      2.374        37    63.879        3,48      1.520      20.452     nein           88          28 Salzmünde              21.027      7.975        568        37      6.194       3,49      1.924                 nein           57          20 Salzwedel             230.635    103.664      7.487        31    67.757        5,74      2.669      53.998     nein          169          40 Sandersdorf            14.709      5.625        528        28      7.878       k.A.        969          701    nein             6           0 Sangerhausen          203.154     46.180      4.736        43    65.173        4,07      2.992      28.607     nein          151          91 Schkopau               15.191      6.572        574        26      8.266       4,28        711        4.763    nein           11            9 Schönebeck            166.969     38.603      4.236        39    39.692        6,45      1.624      27.206     nein          102          31 Seehausen              31.148     10.126        765        41    20.375        2,94      1.242        6.647    nein           44          30 Staßfurt              105.204     38.236      3.375        31    75.920        2,87      2.392      63.602     nein           82          56 Stendal               300.209     75.087      7.000        43    77.823        6,08      3.343      51.129     nein          242         150 Tangermünde            25.833      5.745        944        27    16.867        2,47      1.075        5.108    nein           15            5 Teuchern               23.647      4.827        519        46    11.754        0,53      1.166          254    nein           21          15 Teutschenthal          40.031     16.308      1.451        28    19.158        6,33      1.472                 nein          110          68 Thale                  62.128     20.419      1.989        31    26.207        5,94      1.674      14.758     nein           33          14 Theißen                15.506      4.614        456        34    10.169        3,62        826        1.123    nein           36          17 Tröglitz               17.614      4.237        416        42      7.950       2,26        859          723    nein           10          10 3/4
65

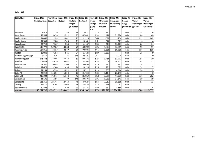
Anlage 13 Jahr 1999 Bibliothek         Frage 15a:    Frage 15a: Frage 15b: Frage 18: Frage 19:  Frage 20:  Frage 21:  Frage 22:    Frage 26: Frage 30:   Frage 30: Entleihungen Besucher Nutzer        Entleih‐ Bestand     Erneu‐     Öffnungs‐  Ausgaben     Benut‐    Veran‐      Veran‐ ungen                erungs‐    stunden    Erwerbung    zungs‐    staltungen  staltungen je Nutzer            quote      im Jahr    in DM        gebühren  gesamt      für Kinder in % Wallwitz                   1.818        720         93        20      8.477      0,18         212                 nein            31           4 Wanzleben                 86.568     15.420      1.531        57    47.442       4,33       1.428       21.224    nein           109          69 Wefensleben               24.863     12.924      1.002        25    12.216       0,66       1.692        1.256    nein           211         162 Weferlingen               17.351      2.208      1.545        11    14.161        k.A.        578        1.023    nein             4           4 Wegeleben                 22.795      7.567        738        31    11.167       0,54         821       33.019    nein            80          34 Weißenfels               116.772     52.967      4.638        25    40.699       9,25       1.823       42.949    nein            95          51 Wernigerode              137.315     46.117      4.517        30    78.806       1,61       3.200       58.799    nein           171         126 Wettin                    16.088      7.252        675        24    11.424       1,89       1.351                 nein            25           9 Wittenberg KrsErgB         6.667        k.A.        46       145    32.121       0,56                    1.278    nein             1           0 Wittenberg StB           243.748     78.403      7.435        33    90.332       3,28       3.456       33.771    nein           155          30 Wolfen                   106.668     25.910      2.591        41    35.894       3,74       1.005       16.122    nein            55          31 Wolmirstedt               57.336     20.088      2.100        27    30.055       3,10       1.495        7.821    nein            58          22 Wörlitz                   13.674      3.260        454        30    10.126       2,26         761        1.073    nein            24          17 Zahna                     27.264     13.790      1.071        25    16.712       4,19         985        8.810    nein            33           2 Zeitz FB                  48.958     11.259      1.854        26    21.758       7,64       1.104       20.245    nein             5           0 Zeitz StB                216.204     75.644      5.144        42    85.069       7,68       3.031       41.006    nein           336         202 Zerbst KrsB               11.188      1.196         77       145    38.374       9,31       1.932       24.542    nein            29          18 Zerbst StB               111.319     24.744      2.473        45    47.927       3,56       1.017       15.339    nein            52          33 Zörbig                    18.566     10.105      1.003        19    13.842       5,18         846        2.247    nein             1           1 Zschornewitz              10.502      4.221        420        25    17.132       4,59         622        5.880    nein            22          14 Gesamt                10.734.780 3.235.713     320.442        33 4.761.207       3,73     189.545    2.304.829                 9.708       5.077 4/4
66

Anlage 14 Jahr 2000 Bibliothek       Frage 11: Frage 15a: Frage 15a: Frage 15b: Frage 18: Frage 19: Frage 20:  Frage 21:   Frage 22:   Frage 26:  Frage 30: Anzahl    Entleih‐    Besucher Nutzer      Entleih‐ Bestand    Erneu‐     Öffnungs‐   Mittel      Benut‐     Veran‐ Fach‐     ungen                            ungen               erungs‐    stunden     Medien‐     zungs‐     staltungen personal                                   je Nutzer           quote      im Jahr     kauf        gebühren   gesamt in %                   in DM Aken                0,75       28.730      5.294        803        36    15.879       3,52        796       3.579        nein           9 Annaburg            1,00       17.969      3.342        797        23    11.047       4,32        969       6.340        nein          24 Arendsee            1,00       14.747      4.255        577        26     9.951       4,02        921       2.323        nein          16 Aschersleben        4,73      117.931     33.216      5.019        23    84.182       1,06      1.437      10.485        nein        158 Bad Bibra            ‐         19.770      3.373        332        60    14.756       0,79        323       1.074        nein          44 Bad Dürrenberg      1,00      109.320     33.891      3.435        32    25.531       6,16      1.280      14.854        nein           5 Bad Kösen           1,00       31.010      6.551        609        51    14.866       0,48        762       1.023        nein          20 Bad Schmiedeberg    1,50       28.861     12.454      1.903        15    24.781       2,79      1.332       7.687        nein          62 Ballenstedt         1,56       25.916     12.329      1.016        26    30.596       2,98        940       5.070          ja          63 Barleben            1,00       16.380      7.101        771        21     9.161      18,13      1.008      12.782        nein          15 Beesenlaublingen    0,75       13.890      3.200        530        26    10.848       3,34        757       6.136        nein          21 Beetzendorf         0,70       18.390      4.740        639        29    14.084       4,96        782       2.297        nein          60 Bernburg KrsB                    6.752          0       386        17    21.515       6,11           0     10.226        nein          38 Bernburg/S StB      6,00      247.269        k.A.     5.903        42    63.260       7,06      1.319      41.200        nein          68 Bismark              ‐         19.995      5.065        651        31    12.094       6,63      1.334       5.821        nein          28 Bitterfeld          3,50      169.006     31.383      4.149        41    61.758       3,26      3.510       4.340        nein          20 Blankenburg         3,90       88.556     18.562      2.395        37    36.116       3,82      1.038      13.038        nein          27 Braunsbedra         2,00       58.536     21.144      1.400        42    17.950       9,05      1.038      17.895        nein          28 Brehna               ‐         10.927      3.903        355        31     9.822       1,22        672       1.565        nein          13 Burg                5,50      228.380     52.571      6.148        37    58.556       4,70      2.153      35.790        nein        512 Calbe               2,00       30.000      6.731      1.040        29    28.114       6,32      1.089       5.659        nein          14 Coswig              1,25       41.885     10.371      1.208        35    24.992       2,82        955      12.118        nein          26 Dessau             21,89      464.652    194.438     12.539        37   259.801       4,07      6.641    143.077         nein         291 Diesdorf            0,60       15.843      4.566        526        30    12.838       5,66        647       5.143        nein          17 Droyßig             0,62       17.232      7.681      1.215        14    15.670       3,56      1.867       4.054        nein          34 Eisleben            5,65      136.499     25.491      2.295        59    38.999       7,98      2.107      44.585          ja          85 Elbingerode          ‐         29.547     11.352      1.840        16    12.166      34,28        772         256        nein          73 Elster               ‐          6.676      3.398        338        20     4.499       1,82        381         408        nein           7 Freyburg            1,00       40.965      8.737      1.058        39    13.999       5,23        861       5.496        nein          77 Gardelegen          5,00       67.375     41.585      2.793        24    52.803       6,48      1.735      45.985        nein        100 Gatersleben          ‐         23.847      7.684        574        42    11.110       7,40        675       5.116        nein          49 Genthin             6,06       99.284     51.687      3.000        33    41.610      10,45      1.618      35.888        nein        307 Gommern             0,75       24.022      7.633        974        25    13.471       5,67        934       5.531        nein          27 Gräfenhainichen     3,75       85.092     25.802      2.835        30    32.782       5,14      1.273      24.286        nein          75 Gröbers             0,50       13.005      4.088        591        22     7.397       2,16        647         k.A.       nein          16 1/4
67

Anlage 14 Jahr 2000 Bibliothek         Frage 11: Frage 15a: Frage 15a: Frage 15b: Frage 18: Frage 19: Frage 20:  Frage 21:  Frage 22:  Frage 26:  Frage 30: Anzahl    Entleih‐    Besucher Nutzer      Entleih‐ Bestand    Erneu‐     Öffnungs‐  Mittel     Benut‐     Veran‐ Fach‐     ungen                            ungen               erungs‐    stunden    Medien‐    zungs‐     staltungen personal                                   je Nutzer           quote      im Jahr    kauf       gebühren   gesamt in %                  in DM Gröbzig               0,50       27.939      6.513      1.012        28    11.861       4,40        574      3.935       nein          28 Güsten                0,50        6.561      3.050        280        23    11.930       3,85      1.038      3.272       nein          35 Hadmersleben          0,62       19.184      5.103        457        42     5.177      19,00        804      5.113       nein          30 Halberstadt          10,97      274.738    239.259      5.577        49    85.198       5,83      1.587     68.275         ja         322 Haldensleben          5,00      105.798     74.929      4.314        25   101.957       4,36      1.350     46.870       nein        194 Halle KrsB                       29.673      6.211        569        52    77.874       6,05      1.530     37.836       nein         150 Halle StB            64,63    1.370.669    318.373     37.011        37   564.400       3,82     25.500   219.856        nein         813 Harzgerode            1,00        8.419      2.700        274        31    10.338       1,43        513      1.176         ja           5 Helbra                0,75       20.852      3.892        477        44     9.186       2,95        930      2.551         ja          14 Hettstedt KrsB/FB2    2,00      188.058     51.035      6.934        27    46.838       2,80        789     42.000       nein          81 Hettstedt StB         2,00       83.470     21.009      2.397        35    37.240       4,14        929     20.451       nein          25 Hohenmölsen           2,48       54.277     25.233      1.576        34    17.541       7,27      1.037     13.620       nein          35 Ilsenburg             2,50       65.955     22.610      2.120        31    24.612       5,86      1.310     13.513       nein          59 Jävenitz               ‐           3.665     1.340        159        23     7.289       0,00        704      2.069       nein          51 Jerichow              1,00       12.732      3.045        266        48    13.355       1,10        749      2.288       nein          62 Jessen                3,00       60.138     23.089      1.830        33    34.464       6,23      3.096     13.577       nein          33 Jeßnitz               0,63       27.902      4.845        632        44    16.981       3,09        590      3.651       nein          15 Kalbe                 1,00       19.652      5.537        762        26    17.692       2,26        850        511       nein          37 Karsdorf               ‐         14.155      6.758        441        32     7.791       3,97        459      3.068       nein          28 Kemberg                ‐          3.666      2.267        227        16     7.972       1,64        466        767       nein           3 Klötze                2,00       40.810     12.332      1.291        32    38.500       3,71      1.276     11.495       nein          80 Könnern                ‐          5.231        959        132        40    13.053       0,79        920      2.063       nein           0 Köthen KrsErgB                   50.198      9.118        890        56    32.466       3,58      1.804     21.319       nein          31 Köthen StB            4,75      163.007     85.114      5.380        30    64.330       3,90      1.584     33.259       nein        117 Landsberg              ‐         10.973      6.108        496        22    10.658       2,73        270                  nein          22 Langenweddingen       0,78        6.170      2.066        342        18     4.574       8,22        551      1.278       nein          12 Letzlingen             ‐          3.683        395        145        25     3.199       4,84        194      1.023       nein           8 Leuna                 1,00       39.808     12.789      1.180        34    14.343       6,58        968      9.457       nein          14 Löbejün               0,50       11.265      5.630        414        27    14.209       0,91        384          0       nein          36 Loburg                0,51         4.240     4.228      1.703         2    13.117       0,99        597      1.123       nein          23 Lützen                 ‐         37.909      5.500        966        39     9.512       3,29        700      3.068       nein           7 Magdeburg            69,75      999.260    439.108     21.039        47   548.873       3,77     11.350   294.686          ja         770 Merseburg FB          1,00       31.146      8.080        718        43     9.106       8,37        461      5.106       nein           5 Merseburg StB         8,00      209.935     58.892      5.934        35    84.279       6,61      4.750     47.039       nein         104 Mieste                 ‐           7.198     3.468        387        19     8.638      10,09        922      5.215       nein          14 Mücheln               0,75       41.355     11.348      1.233        34    12.887       7,28      1.127     10.735       nein          16 2/4
68

Anlage 14 Jahr 2000 Bibliothek              Frage 11: Frage 15a: Frage 15a: Frage 15b: Frage 18: Frage 19: Frage 20: Frage 21:  Frage 22:   Frage 26:  Frage 30: Anzahl    Entleih‐    Besucher Nutzer      Entleih‐ Bestand    Erneu‐    Öffnungs‐  Mittel      Benut‐     Veran‐ Fach‐     ungen                            ungen               erungs‐   stunden    Medien‐     zungs‐     staltungen personal                                   je Nutzer           quote     im Jahr    kauf        gebühren   gesamt in %                 in DM Naumburg                   5,25      168.880     41.519      4.091        41    73.406      4,12      2.033     31.358        nein        105 Nebra                      1,00       29.034      9.500        860        34    20.170      3,39        921     11.106        nein          31 Nienburg                   1,00       27.737      7.510        912        30    17.173      0,89        841           0         ja          21 Oebisfelde                 1,20       43.051      7.510        900        48    14.288      3,86        787      3.266        nein          86 Oschersleben               7,06       98.954     30.101      3.337        30    36.879      5,74      2.402     25.553        nein        175 Osterburg                  3,00      146.602     37.506      3.464        42    66.686      7,58      1.485     52.543        nein        410 Osternienburg              0,60       30.087      4.916        311        97     8.517      6,20        505      4.580          ja          14 Osterwieck                  ‐         34.027     11.434      1.253        27    18.639      0,00        825      3.723        nein          18 Parey                      1,00       12.517      4.868        589        21    10.086      7,23      1.184      2.301        nein          54 Prettin                     ‐          5.227      3.506        423        12    10.174      3,07        780      3.062        nein          10 Pretzsch                   0,45       21.937        k.A.       721        30    14.209      4,85        536      5.113        nein          13 Quedlinburg KrsB                      91.777        k.A.     2.870        32   688.257      2,54      2.353     17.502        nein          13 Quedlinburg‐G./Harz StB    6,43         5.609     1.226        720         8    11.159      0,44        244        502        nein           2 Querfurt                   1,00       91.965     18.319      1.573        58    23.160      4,72      1.132     10.226        nein          38 Raguhn                      ‐         10.277      2.624        323        32     7.404      6,20        712        733        nein          13 Roßla                      0,50       10.333      2.959        524        20    12.708      2,61        987      3.137        nein          55 Roßlau                     2,70       80.830     19.920      2.252        36    62.278      2,84      1.500     20.452        nein          76 Salzmünde                   ‐         23.691      6.832        612        39     6.362      2,71      1.880        k.A.       nein          61 Salzwedel                  7,55      227.161     98.873      7.099        32    70.488      7,66      2.633     59.718        nein         166 Sandersdorf                 ‐         12.121      4.083        487        25     7.970      1,17        830      1.436        nein           0 Sangerhausen               2,60      186.172     44.383      4.762        39    58.057      4,48      2.458     33.234        nein        161 Schkopau                   0,63       15.039      6.133        517        29     8.303      4,44        701      4.088        nein          10 Schönebeck                 6,35      149.957     34.696      4.082        37    39.912      5,30      1.604     24.741        nein          64 Seehausen                   ‐         34.226      9.481        719        48    16.524      3,86      1.231      8.181        nein          29 Staßfurt                   6,60       97.235     32.974      2.728        36    57.890      3,76      2.346     70.047        nein          92 Stendal                    8,75      298.048     75.653      6.592        45    61.539      6,24      3.186     36.557        nein        227 Tangermünde                1,00       28.019      7.038        991        28    15.579      3,85      1.482      6.698        nein          24 Teuchern                    ‐         20.454      4.197        478        43    11.741      1,48      1.177      1.180        nein          11 Teutschenthal              1,00       44.253     18.047      1.468        30    16.253      8,33      1.348     16.500        nein        102 Thale                      4,00       53.159     17.716      1.684        32    26.843      5,84      1.612     17.201          ja          46 Theißen                     ‐         14.188      4.169        427        33    10.271      4,17        853      1.121        nein          34 Tröglitz                   0,80       17.567      3.998        462        38     8.005      0,69        895        669        nein          14 Tucheim                                 5.216     2.967        204        26    10.334      1,82        447        256        nein          19 Wallwitz                    ‐           3.348       697        156        21     8.116      1,95        143        k.A.       nein          26 Wanzleben                  1,00       78.543     13.929      1.402        56    45.597      4,37      1.413     26.285        nein          90 Wefensleben                1,00       19.327     10.792        918        21    11.383      0,97      1.080      1.116        nein         207 3/4
69

Anlage 14 Jahr 2000 Bibliothek   Frage 11: Frage 15a: Frage 15a: Frage 15b: Frage 18: Frage 19: Frage 20:  Frage 21:  Frage 22:   Frage 26:  Frage 30: Anzahl    Entleih‐   Besucher Nutzer       Entleih‐ Bestand    Erneu‐     Öffnungs‐  Mittel      Benut‐     Veran‐ Fach‐     ungen                            ungen               erungs‐    stunden    Medien‐     zungs‐     staltungen personal                                   je Nutzer           quote      im Jahr    kauf        gebühren   gesamt in %                  in DM Weferlingen      ‐         14.288      2.640        324        44    14.277       2,10        551      1.531        nein           6 Wegeleben       1,00       21.973      6.706        676        33    11.373       0,58        817      1.146        nein          76 Weißenfels      6,38      109.670     47.364      4.228        26    42.275       8,61      1.773     43.460        nein          90 Wernigerode     7,00      128.789     47.570      4.326        30    80.861       9,62      1.244     51.037        nein         204 Wettin          1,00       15.989      7.242        550        29    11.508       3,68      1.303        k.A.       nein          22 Wittenberg      9,80      217.020     74.952      7.063        31    90.480       3,41      3.567     34.906        nein         148 Wolfen          4,50       80.543     22.330      2.233        36    28.948       7,39      1.417     20.452        nein          52 Wolmirstedt     2,75       51.500     17.286      1.980        26    29.952       3,29      1.351     11.901        nein          57 Wörlitz         0,50       13.784      2.914        436        32    10.206       0,00        773      1.135        nein          19 Zahna           1,60       22.011     10.168      1.012        22    13.966       2,51      1.059      5.430        nein          89 Zeitz FB                   84.485     21.596      2.908        29    33.666      13,64      1.554     21.049        nein          19 Zeitz StB       7,25      220.997     76.242      5.567        40    85.733       6,80      3.039     40.903          ja         339 Zerbst KrsB                12.243        779         73       168    39.613       4,78      1.942      5.573        nein          13 Zerbst StB      4,47       87.281     23.500      2.833        31    45.012       3,86      1.015     13.805        nein          37 Zörbig           ‐         17.054      9.812        965        18    13.237       6,19        852      3.913        nein           6 Zschornewitz    1,00        9.862      3.948        368        27    17.189       0,90        688      1.756        nein          16 Gesamt        392,30    9.772.007 3.140.676     276.662        35 5.263.100       4,43    186.727 2.254.574                    9.418 4/4
70

Zur nächsten Seite