Bibliotheken in Sachsen-Anhalt

Bibliothek

/ 231
PDF herunterladen
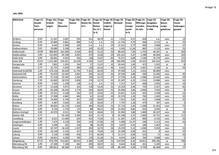
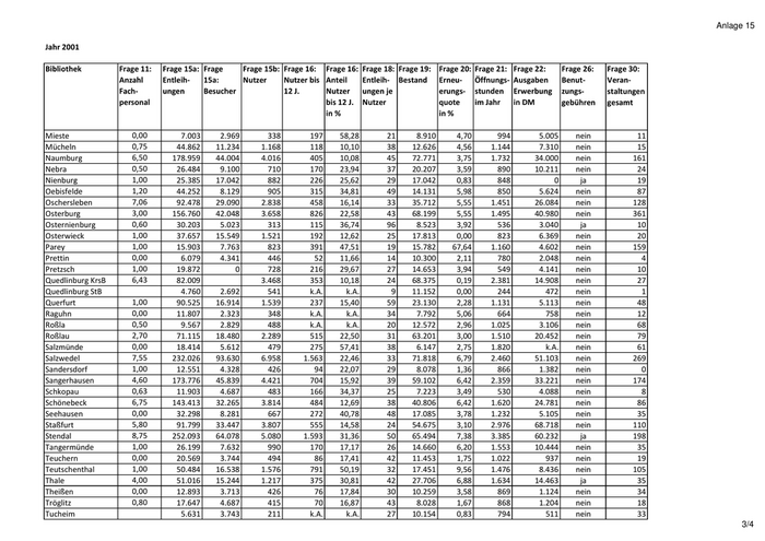
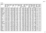
Anlage 15 Jahr 2001 Bibliothek       Frage 11: Frage 15a: Frage       Frage 15b: Frage 16: Frage 16:     Frage 18: Frage 19:   Frage 20: Frage 21:  Frage 22:    Frage 26: Frage 30: Anzahl    Entleih‐   15a:        Nutzer     Nutzer bis Anteil       Entleih‐ Bestand      Erneu‐    Öffnungs‐  Ausgaben     Benut‐    Veran‐ Fach‐     ungen      Besucher               12 J.        Nutzer     ungen je              erungs‐   stunden    Erwerbung    zungs‐    staltungen personal                                                 bis 12 J.  Nutzer                quote     im Jahr    in DM        gebühren  gesamt in %                             in % Aken                 0,75      24.811      4.897         780         186      23,85         32     16.191       3,40        860        3.579     nein          10 Annaburg             1,00      17.847      3.481         782         169      21,61         23     11.096       5,23        968        6.391     nein          20 Arendsee/Altm.       1,00      13.283      5.149         573         157      27,40         23      9.918       1,09        935          218     nein          23 Aschersleben         4,73     113.151    31.121        6.725         k.A.       k.A.        17     86.375       3,42      1.440       16.043     nein         151 Bad Dürrenberg       1,00      85.082    36.408        2.530         248       9,80         34     26.669       9,73      1.287       20.196     nein            7 Bad Kösen            1,00      19.590      4.308         346          77      22,25         57     14.191       0,48        644          511     nein            6 Bad Schmiedeberg     1,50      28.554    12.165        1.933         k.A.       k.A.        15     25.121       1,92      1.335          513      ja           57 Ballenstedt          1,56      20.417    10.223          806         189      23,45         25     30.015       1,91        954        7.669      ja           31 Barleben             1,00      15.953      6.923         602         193      32,06         27        k.A.     12,90      1.025       12.782     k.A.          12 Beesenlaublingen     0,00      13.904      3.150         519         109      21,00         27     10.905       3,48        853        5.576     nein          28 Beetzendorf          0,70      18.347      4.386         634         181      28,55         29     14.045       4,94        798        2.300     nein          74 Bernburg KrsB        1,00       7.373        k.A.        409            0      0,00         18     20.675       4,66          0       10.222     nein          27 Bernburg/S StB       6,00     303.621   125.869        7.481         363       4,85         41     65.669       6,21      1.598       54.964      ja          117 Bismark              0,00      19.213      5.375         623         115      18,46         31     12.426       5,32      1.275        5.277     nein          34 Bitterfeld           3,00     165.722    31.388        3.950         799      20,23         42     62.164       2,89      3.606       28.364     nein          24 Blankenburg          3,90      79.254    17.733        2.201         382      17,36         36     35.811       2,06      1.046        3.835       ‐           25 Braunsbedra          2,00      52.984    21.247        1.361         302      22,19         39     17.835      17,50      1.022       17.895     nein          23 Brehna               0,00      10.927      3.700         357         137      38,38         31      9.922       1,23        627        1.278     nein          25 Burg                 5,50     206.496    48.058        5.818         926      15,92         35     59.556       5,47      1.870       35.790     nein         516 Calbe                2,00      25.900      6.097         938         125      13,33         28     25.113       4,08      1.105        5.702     nein          21 Coswig               1,25      47.919    15.503        1.528         230      15,05         31     21.961       0,34      1.007        2.710      ja           27 Dessau              22,15     479.228   209.283       12.319       1.010       8,20         39    257.259       3,82      6.451     167.108      nein         296 Diesdorf             0,60      14.886      3.819         501         213      42,51         30     12.733       1,78        660        2.124     nein          13 Droyßig              0,62      17.897      7.567         790         278      35,19         23     15.858       2,71      2.018        2.866     nein          40 Eisleben             5,65     142.241    23.302        1.699         k.A.       k.A.        84     39.944       7,77      2.191       43.511      ja          117 Elbingerode          0,00      26.324    10.862        1.912         486      25,42         14     11.179       0,90        794          255     nein          70 Elster               0,50       5.714      3.241         308          56      18,18         19      4.565       3,07        368          251     nein            4 Freyburg             1,00      39.879      7.772       1.018         244      23,97         39     13.233       3,94        882        4.806     nein          64 Friedrichsbron                  3.490      1.187         123                   0,00         28      5.634       8,68        669        1.396     nein            3 Gardelegen           5,00      61.750    37.695        2.660         k.A.       k.A.        23     54.194       3,44      1.741       35.804     nein          95 Gatersleben          0,00      25.039      8.383         575          93      16,17         44     11.880       6,93        671        4.095     nein          43 Genthin              6,06      94.687    54.875        2.841         989      34,81         33     42.457       7,21      1.534       34.544     nein         264 Gommern              0,75      19.574      8.505         785         126      16,05         25     12.767       5,56        935        5.599     nein          20 Gräfenhainichen      3,75      84.166    25.333        2.674         502      18,77         31     32.332       6,13      1.350       10.226     nein          44 1/4
71

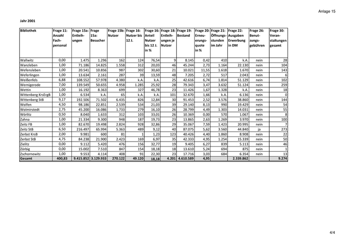
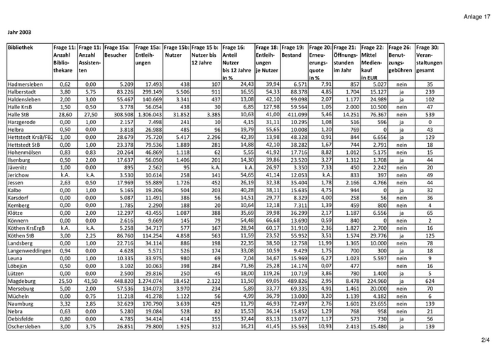
Anlage 15 Jahr 2001 Bibliothek         Frage 11: Frage 15a: Frage      Frage 15b: Frage 16: Frage 16:     Frage 18: Frage 19:  Frage 20: Frage 21:  Frage 22:     Frage 26: Frage 30: Anzahl    Entleih‐   15a:       Nutzer     Nutzer bis Anteil       Entleih‐ Bestand     Erneu‐    Öffnungs‐  Ausgaben      Benut‐    Veran‐ Fach‐     ungen      Besucher              12 J.        Nutzer     ungen je             erungs‐   stunden    Erwerbung     zungs‐    staltungen personal                                                bis 12 J.  Nutzer               quote     im Jahr    in DM         gebühren  gesamt in %                            in % Gröbers                0,50      11.347      3.607        529         311      58,79         21      7.221      0,27        658          k.A.     nein          13 Gröbzig                0,50      23.883      5.861        986         k.A.       k.A.        24     11.746      3,79        568        4.112       ja           25 Güsten                 0,50       6.442      2.900        220         k.A.       k.A.        29     12.551      3,77        936        3.068      nein          37 Hadmersleben           0,62      20.089      5.208        464         145      31,25         43      5.595     11,36        885        5.113      nein          25 Halberstadt           10,98     308.993   161.906       5.560         852      15,32         56     89.432      7,93      1.755       46.207       ja          260 Haldensleben           5,00     115.832    63.706       3.931         473      12,03         29    101.221      3,37      1.298       40.469      nein         163 Halle KrsB             3,00      60.901      4.934        916         138      15,07         66     72.671      6,68      1.540       35.279      nein         133 Halle StB             63,63   1.315.585   319.431      34.320       4.350      12,67         38    548.090      2,56    24.915      245.614       nein         919 Harzgerode             1,00       7.891      1.935        244          27      11,07         32     10.445      1,04        472        1.022       ja             8 Helbra                 0,75      22.737      4.039        489         120      24,54         46      9.442      2,79      1.067        2.226       ja           20 Hettstedt KrsB/FB2     2,00     176.110    36.639      11.754       7.322      62,29         15     47.940      7,11      1.012       90.000      nein Hettstedt StB          1,00      91.074    22.562       2.054         292      14,22         44     37.509      2,80        930       13.292      nein          30 Hohenmölsen            2,48      57.510    23.442       1.562         199      12,74         37     17.578      4,18      1.048       13.642      nein          29 Ilsenburg              2,50      63.802    18.976       2.008         276      13,75         32     25.597      6,25      1.314       13.886      nein          54 Jävenitz               0,00       3.505      1.238        138         k.A.       k.A.        25      7.217      3,57        668        2.045      nein          34 Jerichow               0,77      11.658      3.071        225         118      52,44         52     13.154      2,94        735        2.317      nein          62 Jessen                 2,88      62.206    19.244       1.774         533      30,05         35     35.006      3,06      2.066        7.034      nein            8 Jeßnitz                0,48      23.551      4.148        552         127      23,01         43     15.811      3,34        452        2.248      nein          14 Kalbe                  1,00      17.900      4.882        604          61      10,10         30     15.574      1,93        782        1.045      nein          32 Karsdorf               0,00      14.092      6.746        437         126      28,83         32      7.923      3,81        452        3.068      nein          32 Kemberg                0,00       3.387      2.050        201          22      10,95         17      7.797      1,18        479          767      nein            4 Klötze                 2,00      40.835    12.170       1.244         364      29,26         33     37.714      2,44      1.208       11.453      nein          72 Könnern                0,00       6.735      1.770        172          80      46,51         39     13.302      0,82        632        2.045       ja             4 Köthen KrsErgB         2,60      42.973      6.551        786         321      40,84         55     31.994      3,80      1.800       20.247      nein          29 Köthen StB             4,75                94.160       5.390         632      11,73          0     61.438      4,37      1.600       32.751      nein         112 Landsberg              0,00       6.611    11.006         620         452      72,90         11     11.287      5,93        808        6.136      nein          26 Langenweddingen        1,00       7.675      3.130        395         110      27,85         19      5.486     21,47        548        5.113      nein          16 Letzlingen             0,00       3.399        321        136          48      35,29         25      3.247      3,41        180        1.023      nein            7 Leuna                  1,00      43.747    16.103       1.207         202      16,74         36     15.078      5,12      1.040        9.203      nein          16 Löbejün                0,50      10.149      3.156        417         312      74,82         24     14.209      0,00        351             0     nein          25 Loburg                 0,00       3.146      1.948        436         371      85,09          7     13.117      0,00        522           71      nein          43 Lützen                 0,00      40.821      4.500        795         170      21,38         51      9.874      3,81        784        3.068      nein            5 Magdeburg             67,25     970.799   412.662      18.515       2.386      12,89         52    519.919      6,44    10.011      296.336        ja          706 Merseburg FB           1,00      27.209      7.100        662         205      30,97         41      9.644      8,36        441        5.109      nein            6 Merseburg StB          8,00     209.661    60.286       5.310         724      13,63         39     86.109      6,90      4.729       66.468      nein          77 2/4
72

Anlage 15 Jahr 2001 Bibliothek       Frage 11: Frage 15a: Frage      Frage 15b: Frage 16: Frage 16:     Frage 18: Frage 19:  Frage 20: Frage 21:  Frage 22:     Frage 26: Frage 30: Anzahl    Entleih‐   15a:       Nutzer     Nutzer bis Anteil       Entleih‐ Bestand     Erneu‐    Öffnungs‐  Ausgaben      Benut‐    Veran‐ Fach‐     ungen      Besucher              12 J.        Nutzer     ungen je             erungs‐   stunden    Erwerbung     zungs‐    staltungen personal                                                bis 12 J.  Nutzer               quote     im Jahr    in DM         gebühren  gesamt in %                            in % Mieste              0,00        7.003      2.969        338         197      58,28         21      8.910      4,70        994        5.005      nein          11 Mücheln             0,75       44.862    11.234       1.168         118      10,10         38     12.626      4,56      1.144        7.310      nein          15 Naumburg            6,50      178.959    44.004       4.016         405      10,08         45     72.771      3,75      1.732       34.000      nein         161 Nebra               0,50       26.484      9.100        710         170      23,94         37     20.207      3,59        890       10.211      nein          24 Nienburg            1,00       25.385    17.042         882         226      25,62         29     17.042      0,83        848             0      ja           19 Oebisfelde          1,20       44.252      8.129        905         315      34,81         49     14.131      5,98        850        5.624      nein          87 Oschersleben        7,06       92.478    29.090       2.838         458      16,14         33     35.712      5,55      1.451       26.084      nein         128 Osterburg           3,00      156.760    42.048       3.658         826      22,58         43     68.199      5,55      1.495       40.980      nein         361 Osternienburg       0,60       30.203      5.023        313         115      36,74         96      8.523      3,92        536        3.040       ja           10 Osterwieck          1,00       37.657    15.549       1.521         192      12,62         25     17.813      0,00        823        6.369      nein          20 Parey               1,00       15.903      7.763        823         391      47,51         19     15.782     67,64      1.160        4.602      nein         159 Prettin             0,00        6.079      4.341        446          52      11,66         14     10.300      2,11        780        2.048      nein            4 Pretzsch            1,00       19.872          0        728         216      29,67         27     14.653      3,94        549        4.141      nein          10 Quedlinburg KrsB    6,43       82.009                 3.468         353      10,18         24     68.375      0,19      2.381       14.908      nein          27 Quedlinburg StB                 4.760      2.692        541         k.A.       k.A.         9     11.152      0,00        244          472      nein            1 Querfurt            1,00       90.525    16.914       1.539         237      15,40         59     23.130      2,28      1.131        5.113      nein          48 Raguhn              0,00       11.807      2.323        348         k.A.       k.A.        34      7.792      5,06        664          758      nein          12 Roßla               0,50        9.567      2.829        488         k.A.       k.A.        20     12.572      2,96      1.025        3.106      nein          68 Roßlau              2,70       71.115    18.480       2.289         515      22,50         31     63.201      3,00      1.510       20.452      nein          79 Salzmünde           0,00       18.414      5.612        479         275      57,41         38      6.147      2,75      1.820          k.A.     nein          61 Salzwedel           7,55      232.026    93.630       6.958       1.563      22,46         33     71.818      6,79      2.460       51.103      nein         269 Sandersdorf         1,00       12.551      4.328        426          94      22,07         29      8.078      1,36        866        1.382      nein            0 Sangerhausen        4,60      173.776    45.839       4.421         704      15,92         39     59.102      6,42      2.359       33.221      nein         174 Schkopau            0,63       11.903      4.687        483         166      34,37         25      7.223      3,49        530        4.088      nein            8 Schönebeck          6,75      143.413    32.265       3.814         484      12,69         38     40.806      6,42      1.620       24.781      nein          86 Seehausen           0,00       32.298      8.281        667         272      40,78         48     17.085      3,78      1.232        5.105      nein          35 Staßfurt            5,80       91.799    33.447       3.807         555      14,58         24     54.675      3,10      2.976       68.718      nein         110 Stendal             8,75      252.093    64.078       5.080       1.593      31,36         50     65.494      7,38      3.385       60.232       ja          198 Tangermünde         1,00       26.199      7.632        990         170      17,17         26     14.660      6,20      1.553       10.444      nein          35 Teuchern            0,00       20.569      3.744        494          86      17,41         42     11.453      1,75      1.022          937      nein          19 Teutschenthal       1,00       50.484    16.538       1.576         791      50,19         32     17.451      9,56      1.476        8.436      nein         105 Thale               4,00       51.016    15.244       1.217         375      30,81         42     27.706      6,88      1.634       14.463       ja           35 Theißen             0,00       12.893      3.713        426          76      17,84         30     10.259      3,58        869        1.124      nein          34 Tröglitz            0,80       17.647      4.687        415          70      16,87         43      8.028      1,67        868        1.204      nein          18 Tucheim                         5.631      3.743        211         k.A.       k.A.        27     10.154      0,83        794          511      nein          33 3/4
73

Anlage 15 Jahr 2001 Bibliothek         Frage 11: Frage 15a: Frage       Frage 15b: Frage 16: Frage 16:     Frage 18: Frage 19:  Frage 20: Frage 21:   Frage 22:     Frage 26: Frage 30: Anzahl    Entleih‐   15a:        Nutzer     Nutzer bis Anteil       Entleih‐ Bestand     Erneu‐    Öffnungs‐   Ausgaben      Benut‐    Veran‐ Fach‐     ungen      Besucher               12 J.        Nutzer     ungen je             erungs‐   stunden     Erwerbung     zungs‐    staltungen personal                                                 bis 12 J.  Nutzer               quote     im Jahr     in DM         gebühren  gesamt in %                            in % Wallwitz              0,00        1.475      1.296         162         124      76,54          9      8.145      0,42        410           k.A.     nein           28 Wanzleben             1,00       71.186    14.825        1.558         312      20,03         46     45.244      2,73      1.164        22.130      nein          104 Wefensleben           1,00       20.541    10.856          987         302      30,60         21     10.021     11,55      1.618         1.670      nein          143 Weferlingen           1,00       13.634      2.161         287          39      13,59         48      7.205      2,72        517         2.043      nein            6 Weißenfels            6,88      108.552    57.978        4.380         k.A.       k.A.        25     42.616      6,74      1.814        51.129      nein          102 Wernigerode           7,00      139.549    50.655        4.958       1.285      25,92         28     79.343      3,47      3.632        51.124      nein          259 Wettin                1,00       16.192      8.363         699         327      46,78         23     11.426      1,67      1.328           k.A.     nein           18 Wittenberg KrsErgB    1,00        6.534        k.A.         65         k.A.       k.A.       101     32.670      1,66        k.A.        6.136      nein            0 Wittenberg StB        9,17      192.506    71.502        6.435         826      12,84         30     91.453      2,52      3.576        38.860      nein          144 Wolfen                4,50       98.186    22.851        2.539         534      21,03         39     29.140      8,13        990        19.429      nein           54 Wolmirstedt           2,75       45.200    16.086        1.733         279      16,10         26     28.799      4,49      1.303        14.031      nein           55 Wörlitz               0,50        8.040      1.633         312         103      33,01         26     10.369      0,00        570         1.067      nein            8 Zahna                 1,00       21.334      9.300         948         187      19,73         23     13.865      2,63      1.269         3.970      nein          100 Zeitz FB              1,00       82.670    19.498        2.824         928      32,86         29     35.067      7,59      1.423        20.995      nein            7 Zeitz StB             6,50      216.497    65.994        5.363         489       9,12         40     87.075      5,62      3.560        44.840       ja           273 Zerbst KrsB           2,00        9.981        600          81            1      1,23        123     40.426      4,40      1.860         8.908      nein           22 Zerbst StB            4,75       84.238    21.900        2.423         169       6,97         35     42.333      4,95      1.254        15.339      nein           50 Zielitz               0,00        9.112      5.420         476         156      32,77         19      9.405      6,27        839         5.113      nein           46 Zörbig                0,00       15.002      7.510         847         154      18,18         18     13.610      5,24        694           875      nein            1 Zschornewitz          1,00        9.553      4.114         408          91      22,30         23     17.716      3,03        684         6.354      nein           13 Gesamt               400,83   9.415.852 3.129.933      270.122      49.120      18,18      4.201 4.610.589       4,95                2.339.862                  9.274 4/4
74

Anlage 16 Jahr 2002 Bibliothek       Frage 11: Frage 15a: Frage 15a: Frage 15b: Frage 15b:   Frage 16:   Frage 18: Frage 19:  Frage 20:  Frage 21:  Frage 22:  Frage 26: Frage 30: Anzahl Besucher Entleih‐        Nutzer     Nutzer bis   Anteil      Entleih‐ Bestand     Erneu‐     Öffnungs‐  Mittel     Benut‐    Veran‐ Fach‐                ungen                 12 Jahre     Nutzer      ungen                erungs‐    stunden    Medien‐    zungs‐    staltungen personal                                                bis         je Nutzer            quote      im Jahr    kauf       gebühren  gesamt 12 Jahre                         in %                  in EUR in % Aken                0,50        5.049     24.688        671          151      22,50         37     16.382                   844      3.600    nein         3 Annaburg            1,00        3.877     17.323        713          148      20,76         24     10.862      3,03         980      6.300    nein         18 Arendsee            0,40        4.450     12.914        504          102      20,24         26      9.942      1,09         935        777     ja          18 Aschersleben        4,73       27.284    105.234      4.209         k.A.        k.A.        25     84.598      2,31       1.415     12.808    nein        109 Bad Dürrenberg      1,00       33.573     71.172      2.561          258      10,07         28     27.665      7,62       1.274     20.621    nein         2 Bad Schmiedeberg    1,50       14.424     29.275      2.229         k.A.        k.A.        13     24.730      2,46       1.338      4.006    nein         52 Ballenstedt         0,70       10.698     17.789        992          249      25,10         18     30.365      1,61       1.008      3.191     ja          28 Barleben            1,00        8.309     18.573        669          183      27,35         28      6.868       k.A.        987     12.000    nein         12 Beesenlaublingen    0,00        3.145     14.177        525           91      17,33         27     10.921      0,84         840      1.930    nein         29 Beetzendorf         0,70        3.708     16.010        592          125      21,11         27     13.966      2,79         761      2.264    nein         76 Bernburg KrsB       1,00            0      6.609        301            0        k.A.        22     18.768      5,51           0      9.950    nein         56 Bernburg/S StB      6,00       97.997    259.976      4.006          149       3,72         65     68.589      9,26       1.592     55.000     ja          92 Bismark             0,00        5.151     18.274        579           96      16,58         32     13.535      9,48         965     10.340     ja          25 Bitterfeld          3,00       29.000    148.738      3.633          678      18,66         41     60.659      2,89       3.470     23.881    nein         16 Blankenburg         2,25       15.977     28.571      1.858          248      13,35         15     34.553      0,69       1.040      2.000     ja          28 Braunsbedra         2,00       21.368     52.626      1.337          234      17,50         39     18.348     11,88       1.075     22.500    nein         22 Brehna              0,00        3.000      9.699        319          109      34,17         30      9.837      0,00         660      1.300    nein         14 Burg                5,25       42.127    204.561      5.109          804      15,74         40     61.991      5,65       1.802     37.000    nein        180 Calbe               2,00        5.277     22.440        831          109      13,12         27     23.550      5,94       1.094      1.803    nein         20 Coswig              1,25          281     44.611      1.408          226      16,05         32     22.206      1,78       1.045      4.309    nein         25 Dessau             21,94      215.282    496.427     12.113          782       6,46         41    257.763      3,90       6.089    156.589    nein        269 Diesdorf            0,60        4.051     17.241        553          211      38,16         31     12.973      2,30         787      2.046    nein         22 Droyßig             0,62        5.967     16.213        829          200      24,13         20     15.568      2,76       1.250      2.411    nein         60 Eisleben            5,65       22.340    144.824      1.548         k.A.        k.A.        94     40.730      6,23       2.170     48.200     ja          88 Elbingerode         0,00       10.188     25.722      1.999          555      27,76         13     12.528     12,20         600        200    nein         75 Elster              0,50        3.010      5.734        309           45      14,56         19      4.643      2,43         398        300    nein         6 Freyburg            1,00        8.140     40.616      1.005          233      23,18         40     13.417      5,00         870      6.396    nein         60 Gardelegen          4,20       48.987     75.804      3.049          247       8,10         25     51.155      6,04       1.574     44.004    nein        103 Gatersleben         0,75        8.986     29.011        548           98      17,88         53     12.308      3,60         706      2.598    nein         40 Genthin             6,07       46.763    104.143      2.996       1.017       33,95         35     43.795      6,87       1.557     34.857    nein        242 Gommern             0,75        9.460     18.584        800          133      16,63         23     13.077      6,20         946      5.499    nein         28 1/4
75

Anlage 16 Jahr 2002 Bibliothek         Frage 11: Frage 15a: Frage 15a: Frage 15b: Frage 15b:   Frage 16:   Frage 18: Frage 19:  Frage 20:  Frage 21:   Frage 22:  Frage 26: Frage 30: Anzahl Besucher Entleih‐        Nutzer     Nutzer bis   Anteil      Entleih‐ Bestand     Erneu‐     Öffnungs‐   Mittel     Benut‐    Veran‐ Fach‐                ungen                 12 Jahre     Nutzer      ungen                erungs‐    stunden     Medien‐    zungs‐    staltungen personal                                                bis         je Nutzer            quote      im Jahr     kauf       gebühren  gesamt 12 Jahre                         in %                   in EUR in % Gräfenhainichen       3,75       21.557     71.208      2.383          390      16,37         30     30.549      4,65       1.360      14.800     ja          31 Gröbers               0,00        3.697      6.625        507          306      60,36         13      7.184      0,00         641           0    nein         6 Gröbzig               0,75        5.531     23.490        988         k.A.        k.A.        24     11.241      5,03         595       5.200    nein         35 Güsten                0,75        2.777      7.029        218         k.A.        k.A.        32     12.447      2,58         952       3.000    nein         6 Hadmersleben          0,62        5.017     19.565        438          108      24,66         45      6.107     10,19         824       2.700    nein         26 Halberstadt          10,55       86.919    324.684      5.492          828      15,08         59     89.728      9,85       1.642      38.175     ja         215 Haldensleben          5,00       67.925    129.158      3.037          715      23,54         43    100.502      3,77       1.178      47.591     ja         170 Halle KrsB            2,00        4.895    106.988        430           56      13,02        249     63.843      0,28       1.882       4.400    nein         59 Halle StB            60,89      339.915 1.413.631      34.540       8.425       24,39         41    522.393      4,08     25.959      223.200    nein        923 Harzgerode            1,00        2.405      7.970        256           24       9,38         31     10.545      1,54         532       1.319     ja          5 Helbra                0,00        5.279     32.723        491           98      19,96         67      9.948      6,19       1.061       1.997     ja          43 Hettstedt KrsB/FB2    2,00       38.031    153.991      8.626       4.970       57,62         18     49.955       k.A.      1.388      55.547     ja         201 Hettstedt StB         1,00       23.837     90.291      2.187          369      16,87         41     38.211      3,35         866      16.636    nein         27 Hohenmölsen           2,49       21.324     55.154      1.404          151      10,75         39     17.414      4,48       1.047      12.952    nein         24 Ilsenburg             2,35       19.033     59.088      1.703          238      13,98         35     25.264      4,86       1.202       7.443     ja          33 Jävenitz              0,00          762      2.324         85         k.A.        k.A.        27      3.614      3,39         224       2.000    nein         13 Jerichow              0,95        3.325     10.437        246          131      53,25         42     12.304      0,00         k.A.      2.530      ‐ Jessen                2,88       19.587     66.740      1.731          477      27,56         39     34.920      2,65       2.180       7.127    nein         46 Jeßnitz               0,48        2.333     14.234        381           85      22,31         37     16.110      2,82         264       2.092    nein         4 Kalbe                 1,00        5.807     21.837        637          135      21,19         34     14.997      2,46         943         249    nein         42 Karsdorf              0,00        6.102     13.034        407           58      14,25         32      8.103      4,03         464       3.000    nein         29 Kemberg               0,00        1.895      3.186        195           26      13,33         16      7.821      1,55         477         800    nein         3 Klötze                2,00       12.036     41.772      1.144          347      30,33         37     37.596      3,59       1.201      11.499    nein         80 Könnern               0,00        2.370      8.193        159           66      41,51         52     13.615      0,61         770       2.000    nein         7 Köthen KrsErgB        1,00        5.626     36.709        687          240      34,93         53     31.984      2,96       1.865      21.600    nein         24 Köthen StB            5,24       86.265    110.121      3.829          493      12,88         29     56.869      5,66       1.566      34.598     ja         135 Landsberg             1,00       15.182     17.313        768          388      50,52         23     12.136     18,49       1.178      11.400    nein         83 Langenweddingen       1,00        4.649     16.881        712          196      27,53         24     10.196      6,07         536       1.000     ja          24 Leuna                 1,00       11.310     41.763      1.124          184      16,37         37     15.420      7,66       1.055      10.000    nein         12 Löbejün               0,00        3.098      9.960        409          316      77,26         24     14.230      0,17         357           0    nein         18 Loburg                0,00        2.114      4.668        961          144      14,98          5     13.117      0,00         605          32    nein         59 Lützen                0,00        4.050     40.530        778          156      20,05         52     10.321      4,67         784       3.700    nein         7 2/4
76

Anlage 16 Jahr 2002 Bibliothek    Frage 11: Frage 15a: Frage 15a: Frage 15b: Frage 15b:   Frage 16:   Frage 18: Frage 19:  Frage 20: Frage 21:   Frage 22:  Frage 26: Frage 30: Anzahl Besucher Entleih‐        Nutzer     Nutzer bis   Anteil      Entleih‐ Bestand     Erneu‐    Öffnungs‐   Mittel     Benut‐    Veran‐ Fach‐                 ungen                12 Jahre     Nutzer      ungen                erungs‐   stunden     Medien‐    zungs‐    staltungen personal                                                bis         je Nutzer            quote     im Jahr     kauf       gebühren  gesamt 12 Jahre                         in %                  in EUR in % Magdeburg       67,00      493.036 1.213.159      19.050       2.270       11,92         64    509.592      6,28      9.349     306.550     ja         728 Merseburg FB     1,00        5.589     21.287        563          172      30,55         38     10.000      7,31        330       5.000    nein         8 Merseburg StB    7,00       55.658    198.147      5.053          547      10,83         39     82.522      3,83      3.842      42.000    nein         76 Mücheln         75,00       11.228     40.664      1.152           99       8,59         35     12.805      4,31      1.131       6.692    nein         20 Naumburg         5,50       49.345    182.613      4.026          410      10,18         45     72.874      3,45      1.720      29.723    nein        152 Nebra            0,63        6.350     24.379        635          102      16,06         38     16.089      3,42        729      10.038    nein         23 Nienburg         1,00          k.A.    25.272        796          204      25,63         32     16.945      0,98        840           0    nein         17 Oebisfelde       1,20        6.427     41.354        494          213      43,12         84     13.273      3,97        850       4.162     ja          67 Oschersleben     6,75       30.599     90.633      2.700          465      17,22         34     35.782      3,39      1.433      26.280     ja         159 Osterburg        3,00       43.384    159.975      3.217          834      25,92         50     68.675      4,91      1.492      38.780    nein        344 Osternienburg    0,60        5.142     30.340        307          104      33,88         99      8.647      1,44        515       2.910     ja          8 Osterwieck       1,00       12.449     37.531      1.629          166      10,19         23     16.557      0,00        k.A.      5.423      ‐ Parey            1,00        4.850     10.215        694          260      37,46         15     14.851      3,49      1.250       4.600    nein         43 Prettin          0,00        3.003      5.181        404           22       5,45         13     10.370      3,50        780       3.182    nein         2 Pretzsch         1,00          k.A.    19.334        718          206      28,69         27     14.843      1,32        531       4.000     ja          16 Quedlinburg      6,92          k.A.    87.032      3.301          332      10,06         26     67.477      1,77      2.404       7.500    nein         43 Querfurt         1,00       17.144     84.753      1.610          241      14,97         53     22.570      2,31      1.024      10.000    nein         53 Raguhn           0,00        1.979          0        329         k.A.        k.A.         0      7.902      1,37        624       1.145    nein         10 Roßla            1,00        2.511      8.409        442          106      23,98         19     12.353      2,78        896       3.131    nein         59 Roßlau           2,70       16.989     71.995      1.800          373      20,72         40     62.870      2,69      1.479      20.500    nein         89 Salzmünde        0,00        5.917     16.164        598          347      58,03         27      4.679      3,03      1.630       1.100    nein         30 Salzwedel        7,55       83.106    226.118      6.021       1.383       22,97         38     71.749      6,63      2.404      56.602     ja         165 Sandersdorf      1,00        3.475     10.468        361           51      14,13         29      8.078      0,00        729         319    nein         0 Sangerhausen     4,60       43.501    166.048      4.256          606      14,24         39     48.486      3,17      1.931       9.908    nein        139 Schkopau         0,63        5.392     13.266        461          140      30,37         29      7.369      3,99        705       4.107    nein         8 Schönebeck       6,50       30.358    141.398      3.303          411      12,44         43     40.609      4,73      1.612      12.690    nein        100 Seehausen        0,00        7.802     33.759        591          218      36,89         57     17.370      0,30      1.152      10.000    nein         31 Staßfurt         5,80       32.289     88.724      2.652          441      16,63         33     53.552      3,33      2.184      65.100    nein         89 Stendal          8,75       70.505    230.782      4.764          937      19,67         48     67.079      8,14      2.983      37.789     ja         186 Tangermünde      1,00        6.967     27.672      1.014          149      14,69         27     14.829      2,52      1.521       5.832    nein         21 Teuchern         0,00        3.292     20.024        469           66      14,07         43     11.055      1,05        933         582    nein         29 Teutschenthal    1,00       16.073     56.117      1.592          870      54,65         35     18.570      7,97      1.420       4.500    nein        122 3/4
77

Anlage 16 Jahr 2002 Bibliothek         Frage 11: Frage 15a: Frage 15a: Frage 15b: Frage 15b:   Frage 16:   Frage 18: Frage 19:  Frage 20: Frage 21:   Frage 22:  Frage 26: Frage 30: Anzahl Besucher Entleih‐        Nutzer     Nutzer bis   Anteil      Entleih‐ Bestand     Erneu‐    Öffnungs‐   Mittel     Benut‐    Veran‐ Fach‐                 ungen                12 Jahre     Nutzer      ungen                erungs‐   stunden     Medien‐    zungs‐    staltungen personal                                                bis         je Nutzer            quote     im Jahr     kauf       gebühren  gesamt 12 Jahre                         in %                  in EUR in % Thale                 4,00       15.302     48.938      1.161          348      29,97         42     27.863      5,11      1.693      17.180     ja          29 Theißen               0,00        3.064     11.058        378           58      15,34         29     10.301      2,47        898       1.359    nein         24 Tröglitz              0,80        4.687     17.219        428           43      10,05         40      8.263      3,82        889       2.124    nein         10 Wallwitz              0,00        1.408      2.105        158          118      74,68         13      7.980      0,00        474           0    nein         30 Wanzleben             2,00       20.605     88.061      1.830          322      17,60         48     45.048      6,32      1.078      25.640    nein        111 Wefensleben           1,00       10.104     18.630        927          301      32,47         20     10.520      0,89      1.021         672    nein        118 Weferlingen           0,00        2.765      9.998        305           51      16,72         33      7.661      6,90        516       1.996    nein         4 Weißenfels            5,55       56.140    111.502      4.300         k.A.        k.A.        26     43.619      7,10      1.764      36.400    nein         62 Wernigerode           7,00       56.116    142.498      4.786       1.016       21,23         30     79.966      2,94      3.407      61.000    nein        258 Wettin                1,00        6.739     12.473        823          412      50,06         15     11.248      0,00      1.292         900     ja          23 Wittenberg KrsErgB    0,00          k.A.     3.558         62            0        k.A.        57     32.713      0,00        k.A.          0    nein         0 Wittenberg StB        9,17       64.707    177.023      5.814          687      11,82         30     94.204      3,78      3.503      30.192    nein        144 Wolfen                4,50       17.523     79.561      1.947          185       9,50         41     29.901      7,76        980       9.999     ja          33 Wolmirstedt           2,75       17.096     48.004      1.739          240      13,80         28     28.237      3,13      1.381      11.320    nein         58 Wörlitz               0,50        1.070      4.745        213           68      31,92         22     10.492      0,00        264         112    nein         4 Zahna                 1,60        9.092     22.783        784          223      28,44         29     14.459      5,13      1.262       8.279     ja         120 Zeitz FB              0,00        7.461     38.524      1.322         k.A.        k.A.        29     34.999      0,87        860       5.625    nein         6 Zeitz StB             6,50       63.792    217.575      5.321          267       5,02         41     85.113      5,97      3.501      43.616    nein        237 Zerbst KrsB           2,00          483      8.814         74            1       1,35        119     40.792      3,11      1.818      10.300    nein         13 Zerbst StB            4,75       31.896     83.705      2.316          133       5,74         36     41.430      5,11      1.174      20.250    nein         36 Zielitz               0,00        5.981      9.407        530          184      34,72         18      9.463      5,65        928       2.842    nein         52 Zörbig                0,00        6.750     16.173        531           77      14,50         30     12.965      6,56        901       2.899     ja          4 Zschornewitz          1,00        5.168     13.650        398           77      19,35         34     18.116      3,23        645       5.900    nein         10 Gesamt               460,31 3.034.831 9.627.693       246.897      45.157       18,29         39 4.500.751       4,77              2.126.017              8.431 4/4
78

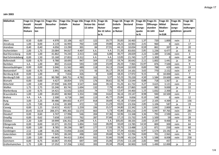
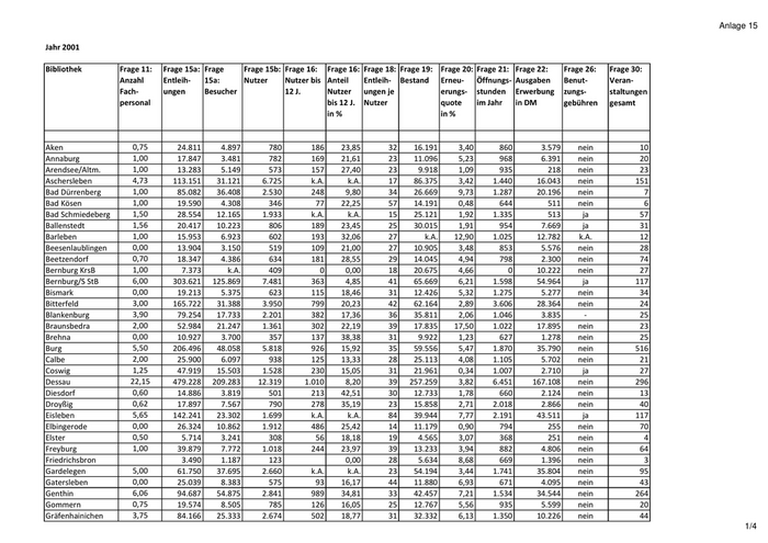
Anlage 17 Jahr 2003 Bibliothek       Frage 11: Frage 11: Frage 15a: Frage 15a: Frage 15b: Frage 15 b:  Frage 16:      Frage 18: Frage 19:  Frage 20: Frage 21:   Frage 22:  Frage 26: Frage 30: Anzahl    Anzahl    Besucher Entleih‐     Nutzer     Nutzer bis   Anteil         Entleih‐ Bestand     Erneu‐    Öffnungs‐   Mittel     Benut‐    Veran‐ Biblio‐   Assisten‐             ungen                12 Jahre     Nutzer         ungen                erungs‐   stunden     Medien‐    zungs‐    staltungen thekare   ten                                                     bis 12 Jahre   je Nutzer            quote     im Jahr     kauf       gebühren  gesamt in %                                in %                  in EUR Aken                0,50      0,00         4.970    22.106        617         122          19,77      35,83     16.463      1,37        720       1.800    nein        2 Annaburg            1,00      0,00         4.119    16.993        702         139          19,80      24,21     10.901      2,41        960           0    nein        17 Arendsee            0,40      0,40         4.056    13.290        301          84          27,91      44,15     10.034      0,59        861         207     ja         20 Aschersleben        2,00      1,73        23.084    94.017      4.407         k.A.           k.A.     21,33     83.055      2,81      1.236       6.477     ja         81 Bad Dürrenberg      0,00      1,00        41.862    74.243      2.413         166           6,88      30,77     28.029      2,22      1.289       3.546    nein        3 Bad Schmiedeberg    0,00      1,50        15.160    27.853      2.312         k.A.           k.A.     12,05     21.745      1,27      1.300           0    nein        40 Ballenstedt         0,00      0,70         9.780    18.693        947         164          17,32      19,74     30.642      2,11      1.002       1.441     ja         34 Barleben            k.A.      1,00           802    15.614        593         139          23,44      26,33      7.965     15,97        876       7.500    nein        9 Beesenlaublingen    0,00      0,00         3.046    11.562        489         118          24,13      23,64     10.939      0,00        788         429    nein        19 Beetzendorf         0,00      0,70         3.991    16.862        575          93          16,17      29,33     14.101      3,62        770       2.152    nein        67 Bernburg KrsB       0,00      1,00             0     7.816        426            0          0,00      18,35     17.972      9,15           0     10.000    nein        7 Bernburg/S StB      3,65      2,65        90.780   249.751      4.782         161           3,37      52,23     70.220      4,50      1.584      19.600    nein        48 Bismark             0,00      0,00         4.427    18.854        575         176          30,61      32,79     13.544      0,88        718       1.367     ja         15 Bitterfeld          1,00      2,00        27.930   146.359      3.547         644          18,16      41,26     61.732      4,27      3.615       3.121    nein        19 Wolfen              1,75      2,75        15.246    83.741      1.694         132           7,79      49,43     27.865      6,69        985       9.000     ja         33 Blankenburg         1,50      0,75        14.421    12.632      1.013          74           7,31      12,47     34.403      1,15      1.032       2.300     ja         11 Braunsbedra         1,00      1,00        20.692    48.960      1.354         198          14,62      36,16     19.147      8,98        940      10.500    nein         7 Brehna              k.A.      k.A.         2.500     6.718        260         119          45,77      25,84      9.836      0,10        548           0    nein        12 Burg                3,00      2,25        39.486   184.602      4.377         818          18,69      42,18     57.834      1,67      2.105       4.369     ja        156 Calbe               1,25      7,00         4.316    20.300        472          53          11,23      43,01     23.356      2,85      1.106         587     ja         19 Coswig              0,00      1,25        13.415    43.817      1.259         196          15,57      34,80     22.342      1,35      1.042       2.800    nein        8 Dessau             10,45     10,54       206.371   495.301     11.573         663           5,73      42,80    256.216      2,43      5.947      97.765    nein       284 Diesdorf            0,00      0,60         3.747    17.996        546         204          37,36      32,96     13.348      3,36        793       2.590    nein        21 Droyßig             0,00      0,62         7.658    13.055        762         287          37,66      17,13     15.732      3,45      1.500          59    nein        28 Eisleben            2,20      3,00        19.999   136.351      1.298         k.A.           k.A.    105,05     38.335      2,65      2.197       9.400     ja         93 Elbingerode         0,00      0,00        10.371    20.253      1.894         532          28,09      10,69     13.785     14,50        800         300    nein        64 Freyburg            0,00      1,00         8.785    39.236        987         177          17,93      39,75     13.488      2,15        871         250    nein        60 Gardelegen          2,52      1,68        43.236    72.056      2.636         219           8,31      27,34     43.661      6,97      1.574      23.192     ja         79 Gatersleben         0,00      0,00         7.945    28.245        498         103          20,68      56,72     12.796      0,00        701       2.965    nein        36 Genthin             2,00      2,00        44.443    94.413      2.854         932          32,66      33,08     45.524      6,70      1.588       8.008    nein       258 Gommern             0,00      0,75        10.067    19.454        697         105          15,06      27,91     13.120      2,82        949         457      ‐         28 Gräfenhainichen     1,75      2,00        17.252    57.256      1.932         393          20,34      29,64     30.903      3,63      1.490      12.000     ja         37 1/4
79

Anlage 17 Jahr 2003 Bibliothek        Frage 11: Frage 11: Frage 15a: Frage 15a: Frage 15b: Frage 15 b:  Frage 16:      Frage 18: Frage 19:  Frage 20: Frage 21:  Frage 22:  Frage 26: Frage 30: Anzahl    Anzahl    Besucher Entleih‐     Nutzer     Nutzer bis   Anteil         Entleih‐ Bestand     Erneu‐    Öffnungs‐  Mittel     Benut‐    Veran‐ Biblio‐   Assisten‐             ungen                12 Jahre     Nutzer         ungen                erungs‐   stunden    Medien‐    zungs‐    staltungen thekare   ten                                                     bis 12 Jahre   je Nutzer            quote     im Jahr    kauf       gebühren  gesamt in %                                in %                 in EUR Hadmersleben         0,62      0,00         5.209    17.493        438         107          24,43      39,94      6.571      7,91        857      5.027    nein        35 Halberstadt          3,80      5,75        83.226   299.149      5.506         911          16,55      54,33     88.378      4,85      1.704     15.127     ja        239 Haldensleben         2,00      3,00        55.467   140.669      3.341         437          13,08      42,10     99.098      2,07      1.177     24.989     ja        102 Halle KrsB           1,50      0,50         3.778    56.054        438          30           6,85     127,98     59.564      1,05      2.000     10.500    nein        47 Halle StB           28,60     27,50       308.508 1.306.043     31.852       3.385          10,63      41,00    411.099      5,46     14.251     76.367    nein       539 Harzgerode           0,00      1,00         2.157     7.498        241          10           4,15      31,11     10.295      1,08        516        596     ja          0 Helbra               0,50      0,00         3.818    26.988        485          96          19,79      55,65     10.008      1,20        769          0     ja         43 Hettstedt KrsB/FB2 1,00        0,00        28.679    75.720      5.417       2.296          42,39      13,98     48.328      0,91        844      6.656     ja        129 Hettstedt StB        0,00      1,00        23.378    79.536      1.889         281          14,88      42,10     38.282      1,67        744      2.791    nein        18 Hohenmölsen          0,83      0,83        20.264    46.869      1.118          62           5,55      41,92     17.716      8,82      1.012      5.175    nein        15 Ilsenburg            0,50      2,00        17.637    56.050      1.406         201          14,30      39,86     23.520      3,27      1.312      1.708     ja         44 Jävenitz             1,00      0,00           895     2.562         95         k.A.           k.A.     26,97      3.350      7,33        450      2.242    nein        20 Jerichow             k.A.      k.A.         3.530    10.614        258         141          54,65      41,14     12.053      k.A.        833        397    nein        49 Jessen               2,63      0,50        17.969    55.889      1.726         452          26,19      32,38     35.404      1,78      2.166      4.766    nein        44 Kalbe                0,00      1,00         5.165    19.206        504         203          40,28      38,11     15.635      4,75        944          0     ja         32 Karsdorf             0,00      0,00         5.087    11.491        386          56          14,51      29,77      8.329      4,00        258         56    nein        36 Kemberg              0,00      0,00         1.785     2.290        188          20          10,64      12,18      7.311      1,39        459        800    nein         4 Klötze               0,00      2,00        12.297    43.455      1.087         388          35,69      39,98     36.299      2,17      1.187      6.556     ja         65 Könnern              0,00      0,00         2.616     9.669        145          79          54,48      66,68     13.690      0,59        840          0    nein         2 Köthen KrsErgB       k.A.      k.A.         5.258    34.717        577         167          28,94      60,17     31.910      2,36      1.827      2.700    nein        16 Köthen StB           3,00      2,25        86.760   114.254      4.858         563          11,59      23,52     55.952      3,51      1.574     29.776     ja        125 Landsberg            0,00      1,00        22.716    34.114        886         198          22,35      38,50     12.758     11,99      1.365     10.000    nein        78 Langenweddingen 0,94           0,00         4.628     5.571        526         174          33,08      10,59      9.429      1,75        700        300     ja         18 Leuna                0,00      1,00        10.335    33.975        980          69           7,04      34,67     15.969      6,27      1.023      5.597    nein        9 Löbejün              0,50      0,00         3.102    10.063        398         284          71,36      25,28     14.174      0,07        477               nein        16 Lützen               0,00      0,00         2.500    29.816        250          45          18,00     119,26     10.719      3,86        780      1.400     ja          5 Magdeburg           25,50     41,50       448.820 1.274.074     18.452       2.122          11,50      69,05    489.826      2,95      8.478    224.960     ja        624 Merseburg            5,00      2,00        57.536   134.073      3.970         234           5,89      33,77     69.335      4,91      1.461     20.000    nein        70 Mücheln              0,00      0,75        11.218    41.278      1.122          56           4,99      36,79     13.000      3,20      1.139      4.182    nein        6 Naumburg             3,32      2,85        32.629   170.790      3.639         429          11,79      46,93     72.497      2,76      1.601     23.655    nein       139 Nebra                0,63      0,00         5.280    19.084        528          82          15,53      36,14     15.852      1,29        768        958    nein        21 Oebisfelde           0,80      0,00         4.785    34.414        414         155          37,44      83,13     13.077      1,17        573        730     ja         56 Oschersleben         3,00      3,75        26.851    79.800      1.925         312          16,21      41,45     35.563     10,93      2.413     15.480     ja        139 2/4
80

Zur nächsten Seite