Bibliotheken in Sachsen-Anhalt

Bibliothek

/ 231
PDF herunterladen
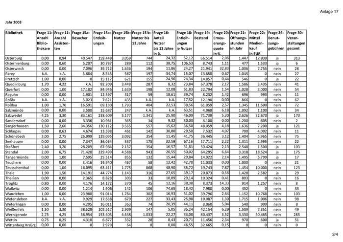
Anlage 17 Jahr 2003 Bibliothek        Frage 11: Frage 11: Frage 15a: Frage 15a: Frage 15b: Frage 15 b:  Frage 16:      Frage 18: Frage 19:  Frage 20: Frage 21:   Frage 22:  Frage 26: Frage 30: Anzahl    Anzahl    Besucher Entleih‐      Nutzer    Nutzer bis   Anteil         Entleih‐ Bestand     Erneu‐    Öffnungs‐   Mittel     Benut‐    Veran‐ Biblio‐   Assisten‐              ungen               12 Jahre     Nutzer         ungen                erungs‐   stunden     Medien‐    zungs‐    staltungen thekare   ten                                                     bis 12 Jahre   je Nutzer            quote     im Jahr     kauf       gebühren  gesamt in %                                in %                  in EUR Osterburg            0,00      0,94        40.547    159.449     3.059         744          24,32      52,12     66.514      2,06      1.447      17.830     ja        313 Osternienburg        0,00      0,60         5.207     30.787       289         112          38,75     106,53      8.743      1,11        477       1.533     ja          6 Osterwieck           0,00      0,00         7.096     39.712     1.636         194          11,86      24,27     21.941     32,83      1.006       7.755    nein        28 Parey                k.A.      k.A.         3.884      8.543       567         197          34,74      15,07     13.850      0,67      1.045           0    nein        27 Pretzsch             1,00      0,00              0    15.117       621         155          24,96      24,34     14.857      0,44        546           0     ja         22 Quedlinburg          1,70      4,22           k.A.    82.209     3.448         287           8,32      23,84     67.378      2,17      1.586       3.435    nein        41 Querfurt             0,00      1,00        17.182     84.946     1.639         198          12,08      51,83     22.794      1,54      1.028       3.000    nein        54 Raguhn               0,00      0,00         1.901     12.597       317          59          18,61      39,74      8.232      1,42        696         993    nein        11 Roßla                k.A.      k.A.         3.023      7.621       435         k.A.           k.A.     17,52     12.190      0,00        866           0    nein        67 Roßlau               1,00      1,70        16.591     69.130     1.793         404          22,53      38,56     61.059      2,57      1.345      11.500    nein        72 Salzmünde            0,00      0,00         3.500     15.687       247         k.A.           k.A.     63,51      4.968      6,18      1.092       1.100    nein        34 Salzwedel            4,25      3,30        83.161    238.609     5.177       1.341          25,90      46,09     71.739      5,30      2.626      32.670     ja        173 Sandersdorf          0,00      0,00         3.336     10.961       365          34           9,32      30,03      8.100      0,00      1.200         605    nein         2 Sangerhausen         1,50      2,60        34.356    130.112     3.565         557          15,62      36,50     48.059      4,18      1.636       7.200     ja        121 Schkopau             0,00      0,63         4.674     13.598       461         142          30,80      29,50      7.532      4,07        700       4.092    nein        11 Schönebeck           3,00      2,75        26.999    129.095     3.092         354          11,45      41,75     36.445      3,12      1.404       5.965    nein        75 Seehausen            0,00      0,00         7.347     36.064       537         175          32,59      67,16     17.711      2,22      1.311       2.995    nein        22 Staßfurt             2,40      3,20        28.209     67.984     2.137         354          16,57      31,81     50.424      2,13      2.548       1.500     ja        103 Stendal              2,00      6,75        71.420    229.499     4.588         943          20,55      50,02     64.295      6,64      3.318      18.524     ja        175 Tangermünde          0,00      1,00         7.595     25.514       855         132          15,44      29,84     14.922      2,14      1.495       5.799     ja         17 Teuchern             0,00      0,00         3.416     19.940       467          58          12,42      42,70     11.033      0,00      1.000           0    nein        21 Teutschenthal        0,00      1,00        16.095     63.411     1.775         868          48,90      35,72     19.743      7,87      1.454      10.000    nein       123 Thale                1,90      1,50        14.191     44.774     1.143         316          27,65      39,17     20.873      0,56      1.428       2.582     ja         29 Theißen              0,00      0,00         2.365      8.828       303          33          10,89      29,14     10.324      0,41        803           0    nein        16 Tröglitz             0,80      0,00         4.176     14.172       370          45          12,16      38,30      8.373     14,33        914       1.257    nein         8 Wallwitz             0,00      0,00         1.214      1.906       142         106          74,65      13,42      7.980      0,00        452           0    nein        33 Wanzleben            1,00      0,00        23.980     91.014     1.784         302          16,93      51,02     39.796      2,64      1.152      10.768    nein       103 Wefensleben          k.A.      k.A.         9.929     17.638       679         227          33,43      25,98     10.087      1,30      1.715       1.006    nein        98 Weferlingen          0,00      0,00         4.295     16.011       363          74          20,39      44,11      8.060      5,04        540         999    nein         8 Weißenfels           1,50      3,30        38.528    102.517     2.909         147           5,05      35,24     42.154      6,29      1.509       7.351    nein        49 Wernigerode          2,75      4,25        58.954    153.403     4.638       1.033          22,27      33,08     80.437      3,52      3.330      50.465    nein       285 Wettin               0,75      0,25         4.310      6.877       332          28           8,43      20,71     11.456      2,34        970         600     ja         51 Wittenberg KrsErgB   0,00      0,00              0     2.979        64            0          0,00      46,55     32.665      0,15           0          0    nein        0 3/4
81

Anlage 17 Jahr 2003 Bibliothek     Frage 11: Frage 11: Frage 15a: Frage 15a: Frage 15b: Frage 15 b:  Frage 16:      Frage 18: Frage 19:  Frage 20: Frage 21:  Frage 22:  Frage 26: Frage 30: Anzahl    Anzahl    Besucher Entleih‐     Nutzer     Nutzer bis   Anteil         Entleih‐ Bestand     Erneu‐    Öffnungs‐  Mittel     Benut‐    Veran‐ Biblio‐   Assisten‐             ungen                12 Jahre     Nutzer         ungen                erungs‐   stunden    Medien‐    zungs‐    staltungen thekare   ten                                                     bis 12 Jahre   je Nutzer            quote     im Jahr    kauf       gebühren  gesamt in %                                in %                 in EUR Wittenberg StB    5,53      2,38        59.910   161.112      5.147         490           9,52      31,30     93.696      2,11      3.168     15.516    nein       112 Wolmirstedt       1,75      2,00        17.034    46.107      1.607         167          10,39      28,69     26.785      2,25      1.382      1.472     ja         35 Zahna             0,00      1,00         9.439    21.738        683         149          21,82      31,83     14.575      2,67      1.170      1.994     ja        117 Zeitz FB          0,00      0,00         7.000    26.140      1.980         k.A.           k.A.     13,20     34.999      0,00        717          0    nein        0 Zeitz StB         3,50      3,00        62.278   219.277      4.903         217           4,43      44,72     83.165      4,64      3.383      4.000    nein       144 Zerbst KrsB       0,50      1,50           824     6.839         63            0          0,00     108,56     41.890      3,93      1.779     10.360    nein        19 Zerbst StB        2,25      2,50        27.000    81.602      2.123         143           6,74      38,44     39.139      3,89      1.240      1.394    nein        30 Zielitz           0,00      0,00         5.300     8.272        512         180          35,16      16,16      9.098      3,20        856      2.378    nein        45 Zörbig            0,00      0,00         4.920    16.806        492          64          13,01      34,16     13.002      6,32        927      2.521     ja          2 Zschornewitz      k.A.      k.A.         4.965    11.665        319          44          13,79      36,57     18.119      0,00        644        319     ja          8 Gesamt            160,72    201,42   2.793.991 8.961.929    221.463      32.329          14,60      40,47 4.193.226       3,81    156.294    999.151                 7.110 4/4
82

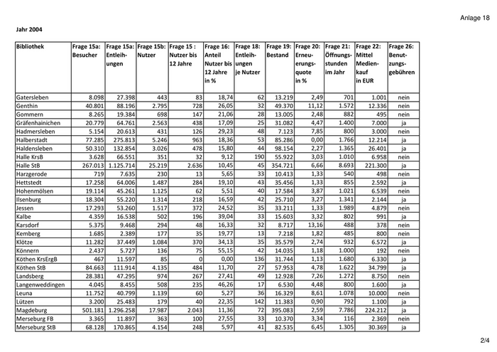
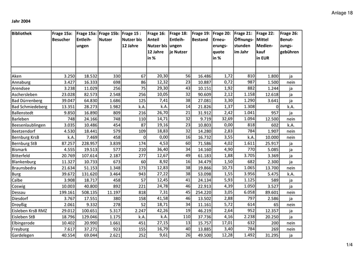
Anlage 18 Jahr 2004 Bibliothek        Frage 15a: Frage 15a: Frage 15b: Frage 15 :     Frage 16:   Frage 18: Frage 19:   Frage 20:  Frage 21:   Frage 22:   Frage 26: Besucher Entleih‐      Nutzer     Nutzer bis    Anteil      Entleih‐    Bestand   Erneu‐     Öffnungs‐   Mittel      Benut‐ ungen                12 Jahre      Nutzer bis  ungen                 erungs‐    stunden     Medien‐     zungs‐ 12 Jahre    je Nutzer             quote      im Jahr     kauf        gebühren in %                              in %                   in EUR Aken                    3.250     18.532        330           67       20,30           56    16.486       1,72        810        1.800     ja Annaburg                3.427     16.333        698           86       12,32           23    10.887       0,72        987        1.500    nein Arendsee                3.238     11.029        256           75       29,30           43    10.151       1,92        882        1.244     ja Aschersleben           23.028     82.573      2.548          256       10,05           32    90.609       2,12      1.158       12.618     ja Bad Dürrenberg         39.047     64.830      1.686          125         7,41          38    27.081       3,30      1.290        3.641     ja Bad Schmiedeberg       13.351     28.273      1.982          k.A.        k.A.          14    21.826       1,37      1.308            0    k.A. Ballenstedt             9.850     16.890        809          216       26,70           21    31.912       2,42      1.041          957     ja Barleben                  748     24.166        748          110       14,71           32     9.719      32,69      1.094       12.500    nein Beesenlaublingen        3.035     10.486        454           87       19,16           23    10.803       0,00        818          602    k.A. Beetzendorf             4.530     18.441        579          109       18,83           32    14.280       2,83        784        1.907    nein Bernburg KrsB             k.A.     7.469        458             0        0,00          16    16.732       3,55        k.A.      10.000    nein Bernburg StB           87.257    228.957      3.839          174         4,53          60    71.586       4,02      1.611       25.917     ja Bismark                 4.555     19.513        577          210       36,40           34    14.160       4,90        770        5.085     ja Bitterfeld             20.769    107.614      2.187          277       12,67           49    61.183       1,88      3.705        3.369     ja Blankenburg            11.327     10.733        673           60         8,92          16    34.479       1,50        682        2.300     ja Braunsbedra            21.634     51.153      1.348          173       12,83           38    19.866      10,73      1.065       13.700    nein Burg                   39.672    131.620      3.464          943       27,22           38    53.098       1,55      3.956        5.475    k.A. Calbe                   3.908     18.717        458           57       12,45           41    24.134       5,93      1.125          589     ja Coswig                 10.003     40.800        892          221       24,78           46    22.913       4,39      1.050        3.527     ja Dessau               199.161     508.135     11.197          818         7,31          45  254.220        3,05      6.058       89.601    nein Diesdorf                3.767     17.551        380          158       41,58           46    13.502       2,88        797        2.586     ja Droyßig                 2.061      9.332        278           52       18,71           34    11.161       5,72        614           65    nein Eisleben KrsB RMZ      29.012    100.651      5.317       2.247        42,26           19    46.219       2,64        952       12.357     ja Eisleben StB           18.796    129.046      1.175          k.A.        k.A.        110     37.736       4,16      2.238       20.250     ja Elbingerode            10.402     20.990      1.661          451       27,15           13    15.757      17,01        632          200    nein Freyburg                7.617     37.271        923          155       16,79           40    13.885       3,40        784          269    nein Gardelegen             40.554     69.044      2.621          252         9,61          26    49.500      12,28      1.492       31.295     ja 1/4
83

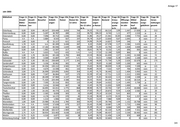
Anlage 18 Jahr 2004 Bibliothek      Frage 15a: Frage 15a: Frage 15b: Frage 15 :    Frage 16:   Frage 18: Frage 19:   Frage 20:  Frage 21:  Frage 22:   Frage 26: Besucher Entleih‐     Nutzer     Nutzer bis    Anteil      Entleih‐    Bestand   Erneu‐     Öffnungs‐  Mittel      Benut‐ ungen                12 Jahre      Nutzer bis  ungen                 erungs‐    stunden    Medien‐     zungs‐ 12 Jahre    je Nutzer             quote      im Jahr    kauf        gebühren in %                              in %                  in EUR Gatersleben           8.098    27.398        443            83      18,74           62    13.219       2,49        701       1.001    nein Genthin              40.801    88.196      2.795          728       26,05           32    49.370      11,12      1.572      12.336    nein Gommern               8.265    19.384        698          147       21,06           28    13.005       2,48        882         495    nein Gräfenhainichen      20.779    64.761      2.563          438       17,09           25    31.082       4,47      1.400       7.000     ja Hadmersleben          5.154    20.613        431          126       29,23           48     7.123       7,85        800       3.000    nein Halberstadt          77.285 275.813        5.246          963       18,36           53    85.286       0,00      1.766      12.214     ja Haldensleben         50.310 132.854        3.026          478       15,80           44    98.154       2,27      1.365      26.401     ja Halle KrsB            3.628    66.551        351            32        9,12        190     55.922       3,03      1.010       6.958    nein Halle StB          267.013 1.125.714      25.219       2.636        10,45           45  354.721        6,66      8.693     221.300     ja Harzgerode              719     7.635        230            13        5,65          33    10.413       1,33        540         498    nein Hettstedt            17.258    64.006      1.487          284       19,10           43    35.456       1,33        855       2.592     ja Hohenmölsen          19.114    45.261      1.125            62        5,51          40    17.584       3,87      1.021       6.539    nein Ilsenburg            18.304    55.220      1.314          218       16,59           42    25.710       3,27      1.341       2.144     ja Jessen               17.293    53.260      1.517          372       24,52           35    33.211       1,33      1.989       4.879    nein Kalbe                 4.359    16.538        502          196       39,04           33    15.603       3,32        802         991     ja Karsdorf              5.375     9.468        294            48      16,33           32     8.717      13,16        488         378    nein Kemberg               1.685     2.389        177            35      19,77           13     7.218       1,82        485         800    nein Klötze               11.282    37.449      1.084          370       34,13           35    35.579       2,74        932       6.572     ja Könnern               2.437     5.727        136            75      55,15           42    14.035       1,18      1.000         192    nein Köthen KrsErgB          467    11.597         85             0        0,00        136     31.744       1,13      1.680       6.330     ja Köthen StB           84.663 111.914        4.135          484       11,70           27    57.953       4,78      1.622      34.799     ja Landsberg            28.381    47.295        974          267       27,41           49    12.928       7,26      1.272       8.750    nein Langenweddingen       4.045     8.455        508          235       46,26           17     6.530       4,48        800       1.600     ja Leuna                11.752    40.799      1.139            60        5,27          36    16.329       8,61      1.078      10.000    nein Lützen                3.200    25.483        179            40      22,35         142     11.383       0,90        792       1.100     ja Magdeburg          501.181 1.296.258      17.987       2.043        11,36           72  395.083        2,59      7.786     224.212     ja Merseburg FB          3.365    11.897        363          100       27,55           33    10.370       3,34        116       2.369    nein Merseburg StB        68.128 170.865        4.154          248         5,97          41    82.535       6,45      1.305      30.369     ja 2/4
84

Anlage 18 Jahr 2004 Bibliothek    Frage 15a: Frage 15a: Frage 15b: Frage 15 :    Frage 16:   Frage 18: Frage 19:   Frage 20:  Frage 21:   Frage 22:   Frage 26: Besucher Entleih‐     Nutzer     Nutzer bis    Anteil      Entleih‐    Bestand   Erneu‐     Öffnungs‐   Mittel      Benut‐ ungen                12 Jahre      Nutzer bis  ungen                 erungs‐    stunden     Medien‐     zungs‐ 12 Jahre    je Nutzer             quote      im Jahr     kauf        gebühren in %                              in %                   in EUR Mücheln            10.817    39.553      1.103            81        7,34          36    14.101      11,91      1.147        8.373    nein Naumburg           41.411   168.220      3.685          456       12,37           46    63.000       3,85      1.760       21.002    nein Nebra               5.133    13.031        349            48      13,75           37    16.796       2,77        764        1.790    nein Oebisfelde          3.925    32.569        363          135       37,19           90    13.301       4,11        495        4.012     ja Oschersleben       34.074    91.922      2.322          432       18,60           40    39.744       9,98      2.513       14.697     ja Osterburg          39.154   156.685      3.090          744       24,08           51    65.363       3,52      1.404       23.483     ja Osternienburg       4.917    29.987        263            98      37,26         114      8.743       0,00        k.A.         242     ja Osterwieck         12.607    43.121      1.728          239       13,83           25    21.697       2,86      1.138        2.967    nein Pretzsch              534    14.199        534          121       22,66           27    15.246       2,62        558        1.000     ja Quedlinburg         1.614    82.407      1.614          193       11,96           51    68.478       1,88      2.465        2.219     ja Querfurt           16.473    83.073      1.579          173       10,96           53    23.670       1,53      1.065        2.300    nein Raguhn                337    11.026        337            63      18,69           33     8.527       2,00        760          827    nein Roßlau             16.192    63.910      1.583          338       21,35           40    56.781       2,18      1.512       14.500    nein Salzmünde           3.119    15.934        322          k.A.        k.A.          49     5.256       5,80        945        1.100    nein Salzwedel          77.253   240.481      5.054       1.313        25,98           48    78.860       4,57      1.935       30.298     ja Sandersdorf         2.769    10.914        297            15        5,05          37     8.122       0,27      1.401          750    k.A. Sangerhausen       29.536   116.377      2.664          514       19,29           44    47.273       4,77      1.656       13.162     ja Schkopau            4.496    14.450        493          132       26,77           29     7.651       5,27        730        4.100    nein Schönebeck         25.726   108.198      2.897          197         6,80          37    38.854       7,50      1.055       11.528    nein Seehausen           7.354    36.181        532          188       35,34           68    19.453       1,39      2.336        2.000     ja Staßfurt           27.385    62.242      1.501          255       16,99           41    50.987       1,17      1.300        8.500     ja Stendal            73.038   225.622      4.399       1.021        23,21           51    65.222       5,36      3.572       32.498     ja Tangermünde         4.676    10.682        579            79      13,64           18    15.104       4,09      1.562        5.600    nein Teuchern            3.235    18.701        397            37        9,32          47    10.022       0,57      1.004            0    nein Teutschenthal      17.948    70.125      2.009          254       12,64           35    21.228      10,81      1.407        5.000     ja Thale              16.456    44.366      1.124          290       25,80           39    21.787       1,17        810        3.202     ja Tröglitz            3.415    13.922        320            43      13,44           44     9.681      21,14        682          279    nein Wanzleben          17.734    66.341      1.179          242       20,53           56    37.730       3,56      1.182       12.649     ja 3/4
85

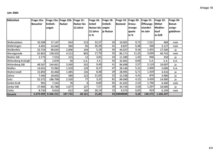
Anlage 18 Jahr 2004 Bibliothek         Frage 15a: Frage 15a: Frage 15b: Frage 15 :    Frage 16:   Frage 18: Frage 19:   Frage 20:  Frage 21:   Frage 22:    Frage 26: Besucher Entleih‐     Nutzer     Nutzer bis    Anteil      Entleih‐    Bestand   Erneu‐     Öffnungs‐   Mittel       Benut‐ ungen                12 Jahre      Nutzer bis  ungen                 erungs‐    stunden     Medien‐      zungs‐ 12 Jahre    je Nutzer             quote      im Jahr     kauf         gebühren in %                              in %                   in EUR Wefensleben             10.308    17.147        654          213       32,57           26    10.002       0,72      1.521          484     nein Weferlingen              4.401    14.642        360            95      26,39           41     8.837       6,48        568        3.127     nein Weißenfels              32.754    90.645      2.006          104         5,18          45    44.027       9,16      1.455       17.500      ja Wernigerode             62.862 158.503        4.513          803       17,79           35    86.171      11,23      3.039       46.742     nein Wettin StB               3.773     7.553        315            12        3,81          24    11.589       1,43        946          350      ja Wittenberg KrsErgB           0     2.076         50          k.A.        k.A.          42    32.665       0,00        k.A.         k.A.    k.A. Wittenberg StB          48.567 144.661        3.500          332         9,49          41    96.698       2,57      3.119       19.007      ja Wolfen                  14.031    72.982      1.559          129         8,27          47    28.146       5,31      1.000        5.000     k.A. Wolmirstedt             15.892    43.468      1.485          126         8,48          29    28.995       6,71      1.439        4.416      ja Zahna                    7.460    18.602        580          122       21,03           32    15.338       4,41        870        4.980      ja Zeitz                   52.572 186.798        2.320            77        3,32          81    84.040       4,15      3.439       14.900      ja Zerbst KrsB                991     7.243         76             0        0,00          95    41.632       2,54      1.796        6.400     nein Zerbst StB              17.900    65.788      1.677          127         7,57          39    34.734       3,50      1.207       10.000      ja Zielitz                  8.730     9.016        612          160       26,14           15     9.373       6,05        919        6.190     nein Gesamt               2.679.909 8.366.312    187.724      28.161        15,00           44 ########        4,28    140.272 1.266.347 4/4
86

Anlage 19 Jahr 2005 Bibliothek        Frage 15a: Frage 15a: Frage 15b: Frage 15b:   Frage 16:   Frage 18: Frage 19: Frage 20: Frage 21:   Frage 22:   Frage 26: Frage 30: Besucher Entleih‐      Nutzer     Nutzer      Anteil      Entleih‐ Bestand    Erneu     Öffnungs‐   Mittel      Benut‐    Veran‐ ungen                  bis         Nutzer bis  ungen               erungs‐   stunden     Medien      zungs‐    staltungen 12 Jahre    12 Jahre    je Nutzer           quote     im Jahr     kauf        gebühren  gesamt in %                            in %                  in EUR Aken                   3.828     16.625         293         47       16,04          57   16.763      1,69         704      1.800       ja         k.A. Annaburg               3.491     16.469         704         89       12,64          23   10.841      2,40         986      1.500      nein         21 Arendsee               3.441     11.422         262         72       27,48          44   10.248      1,82         882      1.187       ja          24 Aschersleben          21.213     86.936      1.764         536       30,39          49   64.038      1,59       1.143      6.914       ja         118 Bad Dürrenberg        32.917     51.169         759         46         6,06         67   27.450      6,09       1.355      3.000       ja           6 Bad Schmiedeberg      11.872     24.912      1.846         k.A.        k.A.         13   22.136      2,24       1.333           0     nein         38 Ballenstedt            9.068     18.508         735        201       27,35          25   31.241      1,34       1.036        980       ja          66 Barleben              10.490     30.013         750        118       15,73          40   10.701     10,47       1.013     11.500      nein         18 Beesenlaublingen       3.025     10.586         423        112       26,48          25   10.925      2,14         834      2.933      nein         27 Beetzendorf            4.280     17.816         546         94       17,22          33   14.168      1,85         780      1.284      nein         65 Bernburg              85.600    222.646      3.424         192         5,61         65   71.524      2,60       1.615     24.988       ja          84 Bismark                4.016     18.891         539        208       38,59          35   14.649      3,64         797      2.000       ja          25 Bitterfeld            20.218     94.033      1.717         179       10,43          55   60.845      2,36       1.300     19.792       ja          49 Wolfen                13.482     76.215      1.498         115         7,68         51   27.158      6,85       1.000      8.498       ja          63 Blankenburg            9.401     10.219         653         48         7,35         16   34.374      0,92         654      2.300       ja          15 Braunsbedra           23.124     46.984      1.426         287       20,13          33   22.162     19,62       1.201     15.100      nein         24 Burg                  25.654     92.832      1.766         916       51,87          53   59.507      2,05       3.172      3.000       ja         141 Calbe                  4.291     18.846         462        120       25,97          41   23.449      2,17       1.117        932       ja          26 Coswig                 9.084     32.964         825        161       19,52          40   18.212     17,42       1.046      2.998       ja          14 Dessau               179.955    464.016      8.369         748         8,94         55  369.631      2,71       6.060    103.145       ja         284 Diesdorf               3.006     16.027         357        178       49,86          45   13.676      1,44         798      1.025       ja          22 Droyßig                3.093       9.719        348         90       25,86          28   10.953      6,78         744      2.700      nein         43 Eisleben KrsB RMZ     25.570    132.945      4.918       2.264       46,03          27   42.159      2,69         628     18.001       ja          26 Eisleben StB          17.987    125.273      1.123         k.A.        k.A.        112   35.571      3,28       2.189     13.967       ja         142 Elbingerode           12.913     21.931      1.710         411       24,04          13   15.231      6,74         747      5.856      nein         77 Freyburg               7.299     37.020         903        168       18,60          41   14.694      9,55         786      4.977      nein         56 Gardelegen            35.526     69.747      2.391         251       10,50          29   50.194      4,82       1.488     20.311       ja          64 1/4
87

Anlage 19 Jahr 2005 Bibliothek      Frage 15a: Frage 15a: Frage 15b: Frage 15b:     Frage 16:   Frage 18: Frage 19: Frage 20:  Frage 21:   Frage 22:   Frage 26: Frage 30: Besucher Entleih‐       Nutzer      Nutzer      Anteil      Entleih‐ Bestand    Erneu      Öffnungs‐   Mittel      Benut‐    Veran‐ ungen                    bis         Nutzer bis  ungen               erungs‐    stunden     Medien      zungs‐    staltungen 12 Jahre    12 Jahre    je Nutzer           quote      im Jahr     kauf        gebühren  gesamt in %                            in %                   in EUR Gatersleben          6.703      24.057         440          78       17,73          55   13.194      1,94          627        924      nein        33 Genthin             39.413      77.930      2.656          552       20,78          29   49.190      7,52        1.531      5.426      nein        200 Gommern              7.656      15.816         605         121       20,00          26   13.474      7,17          868      5.850      nein        31 Gräfenhainichen     20.390      55.410      2.100          383       18,24          26   28.303      4,77        1.412      9.000       ja         113 Hadmersleben         5.570      20.885         458         147       32,10          46    7.623      8,69          841      3.197      nein        44 Halberstadt         64.553     268.466      5.054        1.152       22,79          53   87.732      5,97        1.745     28.100       ja         246 Haldensleben        49.028     129.249      2.651          520       19,62          49   95.900      3,70        1.202     42.872       ja         110 Halle KrsB           3.988      88.614         343          25         7,29        258   54.187      4,84          990      1.000      nein        30 Halle StB          322.912     982.017     14.407        1.940       13,47          68  258.338      6,74        9.060    180.434       ja         534 Harzgerode             270       7.117         223          20         8,97         32   10.556      1,37          539        500      nein         6 Hettstedt           15.176      56.972      1.066          212       19,89          53   34.732      2,30          839      3.599       ja         43 Hohenmölsen         16.444      36.319      1.060           70         6,60         34   17.347      4,08        1.011      6.516      nein        29 Ilsenburg           14.672      50.670      1.055          206       19,53          48   26.287      6,08        1.378     20.488       ja         48 Jessen              18.250      49.807      1.690          462       27,34          29   42.049      3,29        2.110      7.056      nein        59 Kalbe                4.401      16.697         450         190       42,22          37   15.731      4,33          771      5.785       ja         28 Karsdorf             1.963       3.626         141          27       19,15          26    8.151      5,37          486           N     nein        16 Kemberg                 81         k.A.        k.A.        k.A.        k.A.        k.A.   7.218       k.A.         572        500        ‐         10 Klötze              12.039      43.230      1.011          270       26,71          43   35.782      3,77        1.028      6.573       ja         81 Könnern              2.193       6.189         134          75       55,97          46   13.999      1,54          842      2.717      nein         2 Köthen KrsErgB           N      12.778         k.A.           0        k.A.        k.A.  31.083      3,05        1.630      6.065       ja         17 Köthen StB          81.413     103.441      3.906          402       10,29          26   56.052      3,73        1.568     28.249       ja         132 Landsberg           26.217      49.220         926         317       34,23          53    9.406      4,81        1.273      7.500      nein        137 Langenweddingen      3.245       6.557         455         210       46,15          14    6.623      2,62          760           N      ja          8 Leuna               11.494      42.125      1.692           90         5,32         25   16.517      9,67        1.043     10.210      nein        18 Lützen               3.300      27.154         191          20       10,47         142   11.889      0,92          784      1.020       ja          2 Magdeburg          468.586   1.280.157     17.409        2.058       11,82          74  404.699      8,53        7.540    214.090       ja         572 Merseburg           65.830     165.244      4.204          167         3,97         39   72.640      6,04        1.194     37.785       ja         115 Mücheln              9.508      40.954         932          78         8,37         44   14.553     12,51        1.162     10.417      nein        27 2/4
88

Anlage 19 Jahr 2005 Bibliothek    Frage 15a: Frage 15a: Frage 15b: Frage 15b:   Frage 16:   Frage 18: Frage 19: Frage 20: Frage 21:   Frage 22:   Frage 26: Frage 30: Besucher Entleih‐      Nutzer     Nutzer      Anteil      Entleih‐ Bestand    Erneu     Öffnungs‐   Mittel      Benut‐    Veran‐ ungen                  bis         Nutzer bis  ungen               erungs‐   stunden     Medien      zungs‐    staltungen 12 Jahre    12 Jahre    je Nutzer           quote     im Jahr     kauf        gebühren  gesamt in %                            in %                  in EUR Naumburg          42.123    171.481      3.631         541       14,90          47   63.344      4,58       1.750     19.724      nein        193 Nebra              5.799     19.661         426         63       14,79          46   16.927      0,78         701      1.742       ja         56 Oebisfelde         4.640     34.586         344        146       42,44         101   13.106      2,95         520      2.477       ja         71 Oschersleben      28.892     86.840      2.249         449       19,96          39   39.950      3,67       2.465     10.158       ja         157 Osterburg         39.738    159.833      3.199         772       24,13          50   65.376      4,35       1.528     20.880       ja         258 Osternienburg      4.736     29.511         241         74       30,71         122    8.794      0,58         458        572       ja          5 Osterwieck        17.342     42.575      1.815         205       11,29          23   20.197      2,76       1.102      6.221      nein        46 Pretzsch             476     11.548         476         96       20,17          24   15.246      0,00         563           0      ja         28 Quedlinburg       12.790     60.601      1.279         174       13,60          47   68.422      4,59       2.319     11.640       ja         45 Querfurt          11.488     58.951         765        225       29,41          77   24.100      2,00         798      4.000       ja         32 Raguhn             1.639     11.589         367         52       14,17          32    8.605      0,91         728        735      nein        28 Roßlau            15.591     61.065      1.278         322       25,20          48   56.208      2,69       1.523     16.700      nein        58 Salzmünde          3.221     16.080         342        k.A.        k.A.         47    5.791     10,35         945      1.100      nein        24 Salzwedel         74.003    236.082      4.993       1.511       30,26          47   79.349      5,41       2.556     33.847       ja         166 Sandersdorf        1.914       6.042        218         18         8,26         28    8.143      0,20         601        500       ja          9 Sangerhausen      28.132    106.973      2.360         528       22,37          45   47.463      3,12       1.633     10.800       ja         151 Schkopau           4.280     13.927         478        148       30,96          29    7.758      3,75         717      4.150      nein        10 Schönebeck        24.614     93.420      2.436         176         7,22         38   36.806      7,67         800      6.287      nein        120 Seehausen          6.576     35.274         399        151       37,84          88   19.700      3,75       1.433      2.511       ja         67 Staßfurt          22.701     54.076      1.107         181       16,35          49   45.668      2,33       1.225     15.460       ja         167 Stendal           64.611    208.059      4.141       1.075       25,96          50   65.517      4,64       3.218     30.835       ja         211 Tangermünde        6.875       7.684        586         87       14,85          13   15.528      2,99       1.543      5.855      nein        36 Teuchern           2.685     14.424         233         15         6,44         62    8.715      0,50       1.000        400      nein        34 Teutschenthal     16.263     67.215      1.853         857       46,25          36   22.349      8,71       1.440      6.000      nein        124 Thale             12.892     36.956         952        242       25,42          39   22.829      5,12       1.545      3.899       ja         24 Tröglitz           2.529       9.801        197         27       13,71          50    9.858      5,54         347        364       ja          6 Wanzleben         15.772     66.940      1.072         186       17,35          62   32.023      6,21       1.200     20.611       ja         128 Wefensleben        9.128     13.551         691        112       16,21          20   10.358      0,54       1.120        712       ja         109 3/4
89

Anlage 19 Jahr 2005 Bibliothek  Frage 15a: Frage 15a: Frage 15b: Frage 15b:  Frage 16:   Frage 18: Frage 19:  Frage 20: Frage 21:   Frage 22:  Frage 26: Frage 30: Besucher Entleih‐      Nutzer     Nutzer     Anteil      Entleih‐ Bestand     Erneu     Öffnungs‐   Mittel     Benut‐    Veran‐ ungen                  bis        Nutzer bis  ungen                erungs‐   stunden     Medien     zungs‐    staltungen 12 Jahre   12 Jahre    je Nutzer            quote     im Jahr     kauf       gebühren  gesamt in %                             in %                  in EUR Weferlingen      4.009      13.280        411         84      20,44          32     9.206      3,93         443      1.068     nein        25 Weißenfels      30.842      89.511     1.750         151        8,63         51    43.277      6,49       1.439     30.319      ja         65 Wernigerode     71.593     172.360     3.850         955      24,81          45    82.657     11,02       2.791     43.296     nein        278 Wettin           3.940       7.887        304         16        5,26         26    12.261      5,89       1.040        350      ja         81 Wittenberg      44.077     142.391     2.834         299      10,55          50    95.770      2,92       3.101     22.080      ja         137 Wolmirstedt     16.439      39.459     1.147         212      18,48          34    27.094      6,21       1.406      6.320      ja         51 Zahna            6.907      18.952        530        128      24,15          36    15.439      1,10         900      1.449      ja         105 Zeitz           51.336     185.492     2.069          64        3,09         90    83.645      6,23       3.429     36.100      ja         141 Zerbst KrsB        553       9.749         58          1        1,72        168    41.242      1,62       1.667      3.000     nein        80 Zerbst StB      21.000      66.988     2.122         130        6,13         32    33.261      4,04       1.252      9.550      ja         12 Zielitz         11.800       9.611        424        105      24,76          23     8.039      6,43       1.107      7.000     nein        45 Gesamt       2.603.085   7.925.890   159.397      28.021      17,57          49 3.835.776      5,14     134.567 1.325.273                     7.612 4/4
90

Zur nächsten Seite