Bibliotheken in Sachsen-Anhalt

Bibliothek

/ 231
PDF herunterladen
Anlage 20 Jahr 2006 Bibliothek        Frage 11: Frage 15a: Frage 15a: Frage 15b: Frage 15b: Frage 16:    Frage 18: Frage 19: Frage 20: Frage 21: Frage 22: Frage 26: Anzahl Besucher Entleih‐        Nutzer     Nutzer bis Anteil       Entleih‐ Bestand    Erneu‐    Öffnungs‐ Mittel    Benut‐ Fach‐                ungen                 12 Jahre Nutzer bis     ungen               erungs‐   stunden   Medien‐   zungs‐ personal                                               12 Jahre    je Nutzer           quote     im Jahr   kauf      gebühren in %                            in %                in EUR Aken                 0,50        3.347     16.303        321         76       23,68         51    16.978      1,18       760     1.800      ja Annaburg               0         3.509     16.511        701         81       11,55         24    10.845      1,45       983     1.800     nein Arendsee             0,80        2.911     10.353        244         63       25,82         42    10.098      1,60       873       748      ja Aschersleben         3,46      19.774      85.159      1.502        424       28,23         57    58.060      3,15     1.024    12.823      ja Bad Dürrenberg       0,95      30.473      50.424        668         58        8,68         75    27.958      8,17     1.240    13.611      ja Bad Schmiedeberg     1,50      11.648      22.357      1.911        k.A.        k.A.        12    22.859      1,65     1.526         0     nein Ballenstedt          1,00        8.169     16.884        617        171       27,71         27    32.037      3,31     1.027     2.482      ja Barleben             1,00      11.512      35.691        813        163       20,05         44    11.598     12,99     1.002    10.994     nein Beesenlaublingen       0         3.020      8.715        458        115       25,11         19    11.025      0,00       675       595     nein Beetzendorf          0,72        4.350     17.628        566        112       19,79         31    14.384      4,91       783     2.247     nein Bernburg             4,97      77.662     207.450      3.111        306        9,84         67    69.929      3,70     1.615    23.441      ja Bismark                0         3.654     16.677        495        180       36,36         34    15.141      3,17       762     2.000      ja Bitterfeld           3,00      15.287      77.805      1.493        160       10,72         52    60.240      3,26     1.300    20.080      ja Wolfen               3,46      11.745      69.572      1.305         79        6,05         53    26.593      7,42       980    14.010      ja Blankenburg          1,25        7.653     16.130        472         62       13,14         34    34.185      2,79       632     2.000      ja Braunsbedra          2,00      23.142      43.506      1.330        289       21,73         33    21.023     11,13     1.217    17.873     nein Burg                 2,75      16.078      61.755        980        312       31,84         63    63.636      1,87     2.304     2.911      ja Calbe                1,00        2.437     13.635        341         78       22,87         40    23.961      4,17       831       570      ja Coswig               1,25        8.738     29.224      1.025        196       19,12         29    20.799     14,06     1.044     2.839      ja Dessau              16,58     154.700     416.195      7.820        881       11,27         53   251.904      2,06     6.752   102.589      ja Diesdorf             0,60        2.874     15.617        343        171       49,85         46    14.113      2,24       780     1.995     nein Droyßig              0,50        2.527      9.292        310         97       31,29         30    10.634      4,14       741     1.020     nein Eisleben KrsB RMZ    1,50      52.672      87.219      1.519        385       25,35         57    50.287      1,74       995    17.362      ja Eisleben StB         5,20      16.494      99.003      1.046        k.A.        k.A.        95    34.812      3,22     2.184     6.986      ja Elbingerode          k.A.      13.214      20.556      1.692        440       26,00         12    15.806      5,58       674       300     nein Freyburg             0,75        7.111     36.524        893        174       19,48         41    14.646      5,25       780     2.400     nein Gardelegen           3,75      30.949      67.509      2.356        270       11,46         29    55.077     10,05     1.459    21.499      ja Gatersleben            0         6.906     24.365        427         76       17,80         57    13.173      2,77       727     1.002     nein Genthin              4,08      34.464      73.044      2.533        517       20,41         29    49.447      5,89     1.387     7.544     nein Gommern              0,75        8.041     14.488        646        174       26,93         22    13.372      4,25       944     4.282     nein Gräfenhainichen      2,69      17.514      48.151      1.657        453       27,34         29    28.109      1,68     1.309     7.500      ja 1/3
91

Anlage 20 Jahr 2006 Bibliothek      Frage 11: Frage 15a: Frage 15a: Frage 15b: Frage 15b: Frage 16:   Frage 18: Frage 19:  Frage 20: Frage 21: Frage 22:  Frage 26: Anzahl Besucher Entleih‐        Nutzer     Nutzer bis Anteil      Entleih‐ Bestand     Erneu‐    Öffnungs‐ Mittel     Benut‐ Fach‐                 ungen                12 Jahre Nutzer bis    ungen                erungs‐   stunden   Medien‐    zungs‐ personal                                              12 Jahre    je Nutzer            quote     im Jahr   kauf       gebühren in %                             in %                in EUR Hadmersleben       0,62        4.326     16.075        378        102      26,98         43      7.888      4,62       858     3.000      nein Halberstadt        9,00      61.234     241.824      4.947      1.416      28,62         49    92.179       6,69     1.734    23.400       ja Haldensleben       5,00      43.720     124.439      1.880        386      20,53         66    76.674       6,66     1.198    42.193       ja Halle KrsB         2,00        4.244     85.302        470         21        4,47       181    53.238       3,12       980     1.600       ja Halle StB         50,07     340.201     985.093     14.162      2.121      14,98         70   265.920       9,59     9.076   188.702       ja Harzgerode         1,00          228      6.581        256         68      26,56         26    10.605       0,83       508       500       ja Hettstedt          0,80      13.448      46.588        884        226      25,57         53    34.875       2,06       810     4.393       ja Hohenmölsen        1,50      14.288      31.832        943         50        5,30        34    17.509       4,88       903     9.930      nein Ilsenburg          2,60      13.571      52.728      1.119        294      26,27         47    25.973       4,81       992     9.260       ja Jessen             1,60      16.549      45.078      1.720        468      27,21         26    42.048       1,34     2.135     1.864      nein Kalbe              0,80        4.818     16.376        504        209      41,47         32    14.535       2,94       784     1.068       ja Kemberg              0           864      1.298         72         15      20,83         18      6.007      1,36       428       325       ja Klötze             0,88      13.867      40.209        980        234      23,88         41    36.108       3,72     1.034     7.609       ja Könnern              0         1.953      4.907        134         64      47,76         37    14.386       1,99     1.020       216       ja Köthen KrsErgB     1,00          464     11.446         64          0        0,00       179    29.997       3,46     1.590       k.A.      ja Köthen StB         5,25      72.340      90.654      3.541        538      15,19         26    52.431       5,39     1.494    28.132       ja Landsberg          1,00      28.462      44.387      1.010        263      26,04         44    10.947       8,19     1.300     8.000      nein Langenweddingen    0,50        1.895      4.683        203        113      55,67         23      6.683      2,02       629       k.A.      ja Leuna              1,00      10.206      17.194      1.785        150        8,40        10    16.498       9,34     1.048     7.298      nein Lützen             0,50        3.110     24.607        150         20      13,33        164    12.535       6,32       720       965       ja Magdeburg         45,57     429.207 1.183.950       16.522      2.127      12,87         72   399.487       7,98     7.477   243.144       ja Merseburg          5,42      52.862     139.939      3.464        189        5,46        40    72.227       4,84     1.141    34.910       ja Mücheln            0,75        9.807     44.669        934        159      17,02         48    14.985       8,51     1.149     5.650      nein Naumburg           6,00      40.585     166.617      3.436        473      13,77         48    64.165       5,49     1.715    25.863      nein Nebra                0         4.956     15.968        516        132      25,58         31    17.434       4,19       698     2.012      nein Oebisfelde         0,80        5.942     40.685        457        281      61,49         89    13.331       3,93       515     4.488       ja Oschersleben       6,75      27.911      80.644      2.101        420      19,99         38    40.697       5,26     2.459    10.789       ja Osterburg          0,94      38.455     149.687      3.246        812      25,02         46    66.785       5,58     2.797    29.000       ja Osternienburg      0,40        4.374     27.444        209         52      24,88        131      8.847      0,60       443       482       ja Osterwieck           0       13.455      42.545      1.937        208      10,74         22    19.679       2,97     1.105     4.653      nein Pretzsch           1,00          k.A.    11.695        471         93      19,75         25    15.246       0,00       581          0      ja Quedlinburg        5,90          k.A.    54.359      1.116        128      11,47         49    69.412       4,47     1.802    15.584       ja 2/3
92

Anlage 20 Jahr 2006 Bibliothek    Frage 11: Frage 15a: Frage 15a: Frage 15b: Frage 15b: Frage 16:    Frage 18: Frage 19:  Frage 20: Frage 21: Frage 22: Frage 26: Anzahl Besucher Entleih‐        Nutzer     Nutzer bis Anteil       Entleih‐ Bestand     Erneu‐    Öffnungs‐ Mittel    Benut‐ Fach‐                 ungen                12 Jahre Nutzer bis     ungen                erungs‐   stunden   Medien‐   zungs‐ personal                                               12 Jahre    je Nutzer            quote     im Jahr   kauf      gebühren in %                             in %                in EUR Querfurt         1,00      13.743      73.300      1.069        372       34,80         69    23.745       5,94     1.121     6.600      ja Raguhn             0         2.218     12.310        358         46       12,85         34      8.668      0,73       752         0     nein Roßlau           1,70      16.939      62.776      1.337        289       21,62         47    49.947       2,73     1.499    16.200      ja Salzmünde          0         3.422     15.996        353        k.A.        k.A.        45      6.175      6,63       966       500     nein Salzwedel        7,42      68.873     229.496      4.468      1.279       28,63         51    79.669       5,50     2.510    16.439      ja Sandersdorf        0         1.912      6.235        204         21       10,29         31    10.038       1,33       656       400     nein Sangerhausen     3,10      25.719      93.750      2.123        520       24,49         44    46.725       1,77     1.638     6.745      ja Schkopau         0,63        3.724     13.244        408        152       37,25         32      8.051      4,91       697     3.976     nein Schönebeck       4,25      22.319      87.950      2.337        220        9,41         38    35.431       6,13       788    14.781     nein Seehausen          0         6.378     31.191        408        173       42,40         76    18.632       3,09     1.572     1.000      ja Staßfurt         5,90      20.627      53.722      1.055        185       17,54         51    42.859       2,13     1.250    14.500      ja Stendal          3,90      52.926     195.399      3.823      1.052       27,52         51    65.898       6,18     2.795    16.500      ja Tangermünde      1,00        6.522      7.939        603         72       11,94         13    15.498       3,10     1.512     5.687     nein Teuchern           0         1.175     10.411        102         11       10,78        102      8.750      0,40       653       450      ja Teutschenthal    1,00      18.195      67.049      1.912        985       51,52         35    22.863       6,99     1.386    11.767     nein Thale            2,50      11.718      33.036        821        211       25,70         40    24.159       6,06       884     8.100      ja Tröglitz         0,75          k.A.    10.058        223         53       23,77         45      9.827      2,93       850       945      ja Wanzleben        1,00      16.371      67.476      1.149        281       24,46         59    32.904       7,00     1.186    18.390      ja Wefensleben      0,75      11.572       9.634        436        157       36,01         22      9.864      0,97     1.631     5.000      ja Weferlingen      0,50        4.412     14.478        374        102       27,27         39      9.437      5,55       602     2.143     nein Weißenfels       3,97      31.951      97.489      1.708        183       10,71         57    42.899       9,08     1.467    41.565      ja Wernigerode      5,38      60.210     165.799      3.423        947       27,67         48    81.672      10,79     2.573    45.070     nein Wettin           0,50        5.803      6.646        456         87       19,08         15    13.052       3,04       990         0      ja Wittenberg       5,79      38.740     136.399      2.310        192        8,31         59    93.991       2,26     3.011    21.966      ja Wolmirstedt      2,75      15.273      37.983      1.129        260       23,03         34    24.221       5,79     1.296    10.243      ja Zahna            1,00        6.283     17.534        435        138       31,72         40    15.534       1,74       879     1.550      ja Zeitz            4,87      51.756     176.459      1.832         76        4,15         96    81.441       4,67     3.388    19.400      ja Zerbst KrsB      2,00          791     21.360         56           1       1,79        381    39.494       4,53     1.683    15.000     nein Zerbst StB       2,63      18.000      62.067      1.685        142        8,43         37    31.269       4,50     1.185     5.855      ja Zielitz          0,80      10.468      12.943        508        167       32,87         25      7.866      7,36     1.068     3.000     nein Gesamt         289,75 1.178.704 3.812.938         71.664     13.468        9,65         53 1.775.409       5,32    65.090   691.312 3/3
93

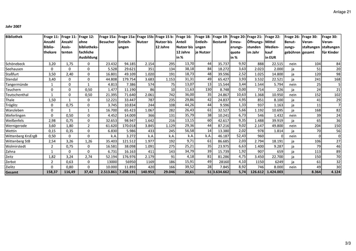
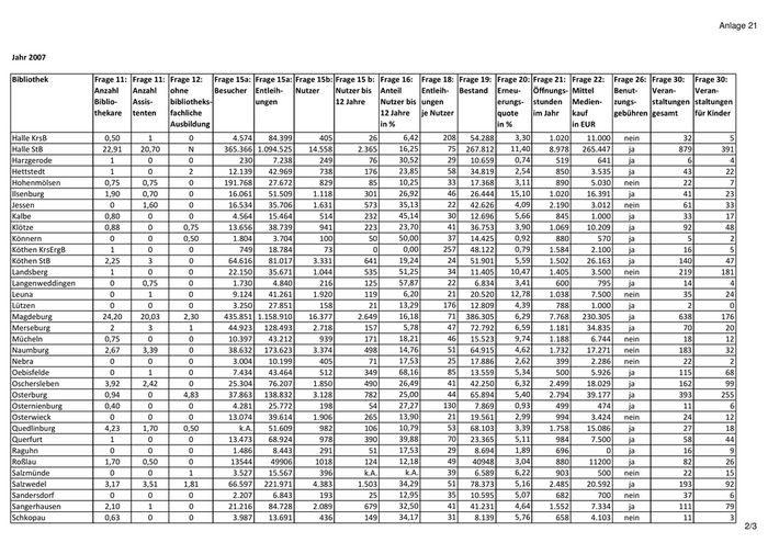
Anlage 21 Jahr 2007 Bibliothek            Frage 11: Frage 11: Frage 12: Frage 15a: Frage 15a: Frage 15b: Frage 15 b:  Frage 16:   Frage 18: Frage 19: Frage 20: Frage 21:  Frage 22:   Frage 26: Frage 30:   Frage 30: Anzahl    Anzahl    ohne         Besucher Entleih‐ Nutzer      Nutzer bis   Anteil      Entleih‐ Bestand    Erneu‐    Öffnungs‐  Mittel      Benut‐    Veran‐      Veran‐ Biblio‐   Assis‐    bibliotheks‐           ungen               12 Jahre     Nutzer bis  ungen               erungs‐   stunden    Medien‐     zungs‐    staltungen  staltungen thekare   tenten    fachliche                                               12 Jahre    je Nutzer           quote     im Jahr    kauf        gebühren  gesamt      für Kinder Ausbildung                                              in %                            in %                 in EUR Aken                       0       0,50       0,50         3.370    15.206       264          58       21,97         58    17.047      1,26        696      1.800      ja              2           0 Annaburg                   0         1          0          3.631    16.431       693          78       11,26         24    10.827      1,51        972      2.000     nein            19           5 Arendsee                 0,40      0,40         0          2.500    11.307       260          53       20,38         43    10.137      1,69        875        862      ja             25          15 Aschersleben             1,73        1          1         17.435    78.649     1.434         310       21,62         55    56.355      2,11      1.022     12.583      ja           104           42 Bad Dürrenberg           0,95        0        1,38        30.713    50.249       583          45         7,72        86    27.252      7,11      1.274     11.256      ja             10           5 Bad Schmiedeberg         1,50        0          0         10.775    21.234     1.878         k.A.        k.A.        11    16.927      0,83      1.542           0    nein            47           0 Ballenstedt                1         0        0,56         6.414    14.158       568         155       27,29         25    32.256      2,94      1.012      1.689      ja             52          36 Barleben                 0,64      0,36         0         15.850    39.314       907         237       26,13         43    13.004     12,12        978     15.000     nein            18          12 Beesenlaublingen           0         0        0,60         3.002    11.423       426         111       26,06         27    10.915      0,00        880        611     nein            14           7 Beetzendorf              0,72        0          0          4.290    17.220       587         131       22,32         29    14.570      4,52        756      1.877     nein            69          40 Bernburg                 1,65      4,10         0         70.415   204.605     2.947         325       11,03         69    67.049      4,95      1.612     24.000      ja             72          25 Bismark                    0         0          0          3.763    16.723       511         247       48,34         33    14.274      3,81        796      4.000      ja             41          28 Bitterfeld StuKrsB         0       2,50       0,57        16.377    89.567     1.477         171       11,58         61    56.454      1,67      1.212     20.396      ja             34          16 Bitterfeld‐Wolfen StB    2,15      0,90       0,50        14.412    86.149     1.201          80         6,66        72    28.068     15,69      1.000     11.500      ja             50          27 Blankenburg              0,75      0,50         0          7.901    15.737       397          55       13,85         40    34.394      2,63        606      1.900      ja             12           2 Braunsbedra                1         1          0         23.673    42.014     1.238         279       22,54         34    20.403     13,71      1.265     22.000     nein            23          18 Burg                     0,80      0,75       1,55         8.901    24.598       794         204       25,69         31    61.830      1,51      1.600      3.000      ja           214           35 Calbe                    0,50      0,50         0          2.360    13.952       302          89       29,47         46    23.791      2,70        713        952      ja             12           2 Coswig                   1,25        0          0          8.854    28.629       977         214       21,90         29    19.920      5,47      1.053      2.929      ja             36          28 Dessau                  11,46      5,30       5,07       133.733   363.521     7.584         896       11,81         48   250.043      1,99      5.493     86.371      ja           347          174 Diesdorf                 0,60        0          0          2.975    15.186       332         173       52,11         46    14.427      2,84        810      2.610      ja             33          19 Droyßig                  0,50        0          0          2.895    10.267       262          73       27,86         39    10.887      3,55        756      3.232     nein            42          28 Eisleben KrsB RMZ        1,20        0          1         17.649    86.881     2.274         840       36,94         38    48.300      1,30      1.402     16.032      ja           153           29 Eisleben StB               2       2,20         0         14.289    93.366     1.136         k.A.        k.A.        82    26.953      5,79      1.232     17.711      ja             69          55 Elbingerode                0         0          0         13.105    20.809     1.686         693       41,10         12    15.174      4,92        785      3.900     nein          130          106 Freyburg                 0,75        0          0          6.978    34.736       891         201       22,56         39    14.286      4,99        770      1.781     nein            52          43 Gardelegen               1,50      2,25         0         26.571    53.038     1.965         357       18,17         27    56.316      5,42      1.476     26.012      ja             73          30 Gatersleben                0         0          0          6.746    26.393       431          71       16,47         61    13.374      2,89        684      1.125     nein            21          10 Genthin                  2,83      1,25         0         42.777    60.509     2.419         420       17,36         25    50.148      3,94      1.537      7.548     nein          300            N Gommern                  0,75        0          0          4.854    11.894       505         104       20,59         24    13.518      3,13        917      2.500     nein            40          21 Gräfenhainichen          1,85      0,83         0         16.359    43.632     1.541         301       19,53         28    29.393      3,50      1.118      7.000      ja             72          40 Hadmersleben               0       0,62         0          3.999    16.345       346         113       32,66         47     8.067      3,96        816           0    nein            50          44 Halberstadt                5       3,50       0,50        54.546   224.788     4.865       1.500       30,83         46    93.133      7,04      1.768     22.400      ja           281          131 Haldensleben               3         2        0,50        46.250   111.891     1.714         402       23,45         65    74.616      8,33      1.214     47.232      ja           141           88 1/3
94

Anlage 21 Jahr 2007 Bibliothek      Frage 11: Frage 11: Frage 12: Frage 15a: Frage 15a: Frage 15b: Frage 15 b:  Frage 16:   Frage 18: Frage 19:  Frage 20: Frage 21:  Frage 22:   Frage 26: Frage 30:   Frage 30: Anzahl    Anzahl    ohne         Besucher Entleih‐ Nutzer      Nutzer bis   Anteil      Entleih‐ Bestand     Erneu‐    Öffnungs‐  Mittel      Benut‐    Veran‐      Veran‐ Biblio‐   Assis‐    bibliotheks‐             ungen             12 Jahre     Nutzer bis  ungen                erungs‐   stunden    Medien‐     zungs‐    staltungen  staltungen thekare   tenten    fachliche                                               12 Jahre    je Nutzer            quote     im Jahr    kauf        gebühren  gesamt      für Kinder Ausbildung                                              in %                             in %                 in EUR Halle KrsB         0,50        1          0           4.574     84.399     405          26         6,42       208    54.288       3,30      1.020     11.000     nein            32           5 Halle StB         22,91     20,70         N        365.366 1.094.525    14.558       2.365       16,25         75   267.812      11,40      8.978    265.447      ja           879          391 Harzgerode           1         0          0             230       7.238    249          76       30,52         29    10.659       0,74        519         641     ja              6           4 Hettstedt            1         0          2         12.139      42.969     738         176       23,85         58    34.819       2,54        850       3.535     ja             43          22 Hohenmölsen        0,75      0,75         0        191.768      27.672     829          85       10,25         33    17.368       3,11        890       5.030    nein            22           7 Ilsenburg          1,90      0,70         0         16.061      51.509   1.118         301       26,92         46    26.444      15,10      1.020     16.391      ja             41          23 Jessen               0       1,60         0         16.534      35.706   1.631         573       35,13         22    42.626       4,09      2.190       3.012    nein            61          33 Kalbe              0,80        0          0           4.564     15.464     514         232       45,14         30    12.696       5,66        845       1.000     ja             33          17 Klötze             0,88        0        0,75        13.656      38.739     941         223       23,70         41    36.753       3,90      1.069     10.209      ja             92          48 Könnern              0         0        0,50          1.804       3.704    100          50       50,00         37    14.425       0,92        880         570     ja              5           2 Köthen KrsErgB       1         0          0             749     18.784      73            0        0,00       257    48.122       0,79      1.584       2.100     ja             16           5 Köthen StB         2,25        3          0         64.616      81.017   3.331         641       19,24         24    51.901       5,59      1.502     26.163      ja           140           47 Landsberg            1         0          0         22.150      35.671   1.044         535       51,25         34    11.405      10,47      1.405       3.500    nein          219          181 Langenweddingen      0       0,75         0           1.730       4.840    216         125       57,87         22      6.834      3,41        600         795     ja             14           4 Leuna                0         1          0           9.124     41.261   1.920         119         6,20        21    20.520      12,78      1.038       7.500    nein            35          24 Lützen               0         0          0           3.250     27.851     158          21       13,29        176    12.809       4,39        788       1.000     ja              2           0 Magdeburg         24,20     20,03       2,30       435.851 1.158.910    16.377       2.649       16,18         71   386.305       6,29      7.768    230.305      ja           638          176 Merseburg            2         3          1         44.923 128.493       2.718         157         5,78        47    72.792       6,59      1.181     34.835      ja             70          20 Mücheln            0,75        0          0         10.397      43.212     939         171       18,21         46    15.523       9,74      1.188       6.744    nein            18          12 Naumburg           2,67      3,39         0         38.632 173.623       3.374         498       14,76         51    64.915       4,62      1.732     17.271     nein          183           32 Nebra                0         0          0           3.004     10.199     405          71       17,53         25    17.886       2,62        399       2.286    nein            22           2 Oebisfelde           0         1          0           7.434     43.464     512         349       68,16         85    13.559       5,34        500       5.926     ja           115           68 Oschersleben       3,92      2,42         0         25.304      76.207   1.850         490       26,49         41    42.250       6,32      2.499     18.029      ja           162           99 Osterburg          0,94        0        4,83        37.863 138.832       3.128         782       25,00         44    65.894       5,40      2.794     39.177      ja           393          255 Osternienburg      0,40        0          0           4.281     25.772     198          54       27,27        130      7.869      0,93        499         474     ja             11           6 Osterwieck           0         0          0         13.074      39.614   1.906         265       13,90         21    19.561       2,99        994       3.424    nein            24          12 Quedlinburg        4,23      1,70       0,50            k.A.    51.609     982         106       10,79         53    68.103       3,39      1.758     15.086      ja             27          18 Querfurt             1         0          0         13.473      68.924     978         390       39,88         70    23.365       5,11        984       7.500     ja             58          44 Raguhn               0         0          0           1.486       8.443    291          51       17,53         29      8.694      1,89        696           0     ja             16           9 Roßlau             1,70      0,50         0          13544       49906    1018         124       12,18         49     40948       3,04        880      11200      ja             82          26 Salzmünde            0         0          1           3.527     15.567     396         k.A.        k.A.        39      6.589      6,22        903         500    nein            22          15 Salzwedel          3,17      3,51       1,81        66.597 221.971       4.383       1.503       34,29         51    78.373       5,16      2.485     20.592      ja           193           92 Sandersdorf          0         0          0           2.207       6.843    193          25       12,95         35    10.595       5,07        682         700    nein            37           6 Sangerhausen       2,10        1          0         21.216      84.728   2.089         679       32,50         41    41.231       4,64      1.552       7.334     ja           111           79 Schkopau           0,63        0          0           3.987     13.691     436         149       34,17         31      8.139      5,76        658       4.103    nein            11           3 2/3
95

Anlage 21 Jahr 2007 Bibliothek         Frage 11: Frage 11: Frage 12: Frage 15a: Frage 15a: Frage 15b: Frage 15 b:     Frage 16:   Frage 18: Frage 19:  Frage 20: Frage 21:  Frage 22:   Frage 26: Frage 30:   Frage 30: Anzahl    Anzahl    ohne         Besucher Entleih‐ Nutzer         Nutzer bis   Anteil      Entleih‐ Bestand     Erneu‐    Öffnungs‐  Mittel      Benut‐    Veran‐      Veran‐ Biblio‐   Assis‐    bibliotheks‐              ungen               12 Jahre     Nutzer bis  ungen                erungs‐   stunden    Medien‐     zungs‐    staltungen  staltungen thekare   tenten    fachliche                                                  12 Jahre    je Nutzer            quote     im Jahr    kauf        gebühren  gesamt      für Kinder Ausbildung                                                 in %                             in %                 in EUR Schönebeck            3,20      1,75         0          23.432      94.185    2.154          295       13,70         44    35.737       9,92        888     22.515     nein           104          84 Seehausen               0         0          0            5.528     29.621      351          134       38,18         84    18.272       3,63      2.023      2.000      ja             51          20 Staßfurt              3,50      2,40         0          16.801      49.109    1.020          191       18,73         48    39.596       2,52      1.025     14.800      ja            120          98 Stendal               3,40        0          0          44.808 179.754        3.683        1.153       31,31         49    65.427       3,93      3.532     22.521      ja            241         168 Tangermünde             1         0          1            4.813       7.386     574           75       13,07         13    15.544       3,44      1.544      5.794     nein            25           5 Teuchern                0         0        0,50           1.477     11.190       86           10       11,63        130      8.748      0,00        714        226      ja             24          21 Teutschenthal           1         0        0,50         21.395      71.640    2.061          742       36,00         35    24.867      10,63      1.368     10.950     nein           152         102 Thale                 1,50        1          0          12.221      33.447      787          235       29,86         42    24.837       4,95        851      8.100      ja             41          29 Tröglitz                0       0,75         0            3.745     10.834      244          108       44,26         44      9.596      1,33        937      1.163      ja             11           7 Wanzleben               0         1          1          16.700      65.423    1.067          282       26,43         61    32.527       5,66      1.192     10.695      ja            168          82 Weferlingen             0       0,50         0            4.452     14.009      366          131       35,79         38    10.241       6,73        546      1.432     nein            39          24 Weißenfels            2,98      0,75         0          32.653      98.947    1.642          216       13,15         60    42.617       9,35      1.488     39.919      ja             65          36 Wernigerode           3,60      1,80         2          61.620 170.018        3.845        1.129       29,36         44    87.216       9,02      2.147     49.800     nein           204         150 Wettin                0,15      0,35         0            6.830       5.986     433          245       56,58         14    13.380       2,02        978      1.814      ja             70          56 Wittenberg KrsErgB    0,50        0          0              k.A.      3.272     k.A.         k.A.        k.A.       k.A.   46.187      52,43        960           0    nein             0           0 Wittenberg StB        2,54      3,26       1,26         35.403 121.512        1.977          192         9,71        61    86.685       2,03      2.794     18.191      ja            106          27 Wolmirstedt             2       0,75         0          16.581      38.098    1.091          275       25,21         35    23.975       6,63      1.400      9.287      ja             79          46 Zahna                   1         0          0            6.731     16.163      411          143       34,79         39    15.739       1,92        907        659      ja            113          89 Zeitz                 1,82      3,24       2,74         52.194 176.976        2.179           91         4,18        81    81.286       4,75      3.450     22.700      ja            150          70 Zerbst                  2       0,63         0           13000       56950     1169          186       15,91         49     28160       4,10       1150       6249      ja             61          32 Zielitz                 0       0,80         0          10.000      11.893      420          166       39,52         28      7.845      8,92        746      8.000     nein            49          30 Gesamt               158,37    116,49     37,42      2.513.861 7.208.191    140.953       29.046       20,61         51 3.634.662       5,74   126.612 1.424.003                    8.364       4.124 3/3
96

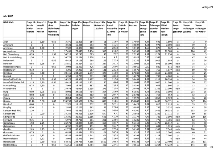
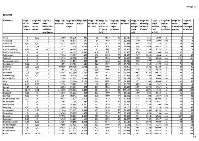
Anlage 22 Jahr 2008 Bibliothek        Frage 11: Frage 11: Frage 12:    Frage 15a: Frage 15a: Frage 15b: Frage 15 b: Frage 16:     Frage 18:   Frage 19: Frage 20: Frage 21:   Frage 22:  Frage 26: Frage 30:   Frage 30: Anzahl    Anzahl    ohne         Besucher Entleih‐     Nutzer     Nutzer bis Anteil         Entleih‐    Bestand Erneu‐      Öffnungs‐   Mittel     Benut‐    Veran‐      Veran‐ Biblio‐   Assis‐    bibliotheks‐             ungen                12 Jahre     Nutzer bis   ungen                 erungs‐   stunden     Medien     zungs‐    staltungen  staltungen thekare   tenten    fachliche                                                  12 Jahre     je Nutzer             quote     im Jahr     kauf       gebühren  gesamt      für Kinder Ausbildung                                                 in %                               in %                  in EUR Aken                   0       0,50          0           3.158    15.038        248          56        22,58           61    17.125      1,14         656      1.800     ja              0            0 Annaburg               0         1           0           3.457    15.871        649          64         9,86           24    10.811      1,40         972      1.000    nein           18             4 Arendsee             0,40      0,40          0           2.312    10.347        241          75        31,12           43    10.235      0,98         861        733     ja            27           18 Aschersleben           1       1,73          0         15.236     71.500      1.125         k.A.         k.A.          64    56.498      3,54       1.036     28.448     ja            73           28 Bad Dürrenberg       0,95        0         0,12        27.673     46.189        634          61         9,62           73    26.906      7,03       1.288      5.738     ja              9            5 Bad Schmiedeberg     1,50        0           0         11.273     20.807      1.845         k.A.         k.A.          11    15.586      5,70       1.550      1.200    nein           32             1 Ballenstedt            1         0           0           7.236    15.369        499         156        31,26           31    32.568      2,47       1.020      1.806     ja            52           36 Barleben               1         0           0         15.910     40.378        904         259        28,65           45    14.055      8,08         902     15.000    nein          k.A.         k.A. Beesenlaublingen       0         0           0           3.010    11.183        479         123        25,68           23    10.915      0,00         972        465    nein           12             6 Beetzendorf          0,72        0           0           4.094    17.453        615         122        19,84           28    14.790      4,12         769      1.470    nein           76           48 Bernburg             1,65      2,70         N          69.530    199.409      2.711         353        13,02           74    66.055      5,77       1.604     28.730     ja            80           30 Bismark                0         0           0           3.887    16.025        500         235        47,00           32    14.072      3,16         776      4.583     ja            30           27 Bitterfeld           2,05      3,57          0         28.088    158.350      2.456         180         7,33           64    79.797     39,61       4.125     29.633     ja            99           59 Blankenburg          0,75      0,50          0           6.100    18.338        394          58        14,72           47    29.923      2,05         580      1.800     ja            16             5 Braunsbedra            1         1           0         22.780     41.223      1.233         314        25,47           33    21.761     11,26       1.273     19.000    nein           42           37 Burg                 0,75      0,75          0         14.348     39.946      1.228         376        30,62           33    62.552      1,71       1.100     26.000     ja           230           52 Calbe                0,50      0,50          0           2.158    15.227        283          96        33,92           54    23.788      3,09         735        932     ja            18             9 Coswig               1,25        0           0           8.254    27.481        901         219        24,31           31    19.865      5,95       1.070      2.962     ja            26           14 Dessau              12,22      4,61          0        143.139    352.004      6.440         864        13,42           55   285.195      2,26       5.821   111.950      ja           443          200 Diesdorf             0,60        0           0           2.979    16.031        334         177        52,99           48    14.509      1,90         836      2.542     ja            35           16 Droyßig              0,50        0           0           3.167    10.843        321         138        42,99           34    11.403      5,15         798      1.887    nein           39           32 Eisleben KrsB RMZ    1,03        0           0           9.815    24.621      2.857         233         8,16            9    57.051      5,25       1.402     22.400     ja            75           12 Eisleben StB           1       2,20          0         11.493     71.034        837         162        19,35           85    26.231      7,77       1.456     41.041     ja            60           47 Elbingerode            0         0           0         12.195     14.865      1.730         237        13,70            9    12.690      4,18         533        300    nein           76           73 Freyburg             0,75        0           0           7.009    34.469        875         248        28,34           39    14.106      6,11         785      1.519    nein           56           46 Gardelegen           1,50      2,25          0         27.896     53.127      1.843         405        21,98           29    54.938      6,23       1.490     26.953     ja           110           63 Gatersleben            0         0           0           6.965    25.169        427          75        17,56           59    13.507      2,62         690        998    nein           31           15 Genthin              2,41      1,50          0         37.570     58.701      2.496         585        23,44           24    39.830      4,14       1.518     15.784    nein          307          153 Gommern              0,75        0           0           6.770    14.227        569         113        19,86           25    12.970      2,95         932      3.537    nein           58           40 Gräfenhainichen      1,85      0,83          0         13.264     40.158      1.402         333        23,75           29    28.540      4,21       1.071      7.000     ja            99           53 Hadmersleben           0       0,62          0           3.899    13.433        356         107        30,06           38     9.502      8,37         845      1.236    nein           65           53 Halberstadt          4,80      3,90          0         49.036    224.952      4.756       1.471        30,93           47    94.422      8,04       1.739     20.900     ja           213          120 Haldensleben           3         2           0         45.053    127.121      1.714         k.A.         k.A.          74    72.988      9,58       1.210     45.016     ja           174          113 Halle               22,50     19,20          0        358.997 1.136.688      14.309       2.392        16,72           79   260.721     11,03       8.673   268.543      ja           897          382 1/3
97

Anlage 22 Jahr 2008 Bibliothek      Frage 11: Frage 11: Frage 12:    Frage 15a: Frage 15a: Frage 15b: Frage 15 b: Frage 16:     Frage 18:   Frage 19: Frage 20: Frage 21:   Frage 22:  Frage 26: Frage 30:   Frage 30: Anzahl    Anzahl    ohne         Besucher Entleih‐     Nutzer     Nutzer bis Anteil         Entleih‐    Bestand Erneu‐      Öffnungs‐   Mittel     Benut‐    Veran‐      Veran‐ Biblio‐   Assis‐    bibliotheks‐             ungen                12 Jahre     Nutzer bis   ungen                 erungs‐   stunden     Medien     zungs‐    staltungen  staltungen thekare   tenten    fachliche                                                  12 Jahre     je Nutzer             quote     im Jahr     kauf       gebühren  gesamt      für Kinder Ausbildung                                                 in %                               in %                  in EUR Harzgerode           1         0           0           1.248     7.484        289         104        35,99           26    10.655      0,75         523        673     ja            20             7 Hettstedt            1         0           0         11.439     40.423        795         157        19,75           51    36.181      7,25         856      7.546     ja            55           23 Hohenmölsen          0       1,50          0         13.514     27.639        630          85        13,49           44    19.916      2,67         899      2.274    nein           50           31 Ilsenburg          1,90      0,70          0         15.634     51.546      1.053         293        27,83           49    25.277      6,52         982     10.386     ja            46           24 Jessen               0       1,60          0         14.692     30.949      1.408         325        23,08           22    42.280      3,37       2.164      3.382    nein           34           30 Kalbe              0,80        0         0,80          4.359    15.269        502         226        45,02           30    13.123      4,21         858      1.473     ja            32             0 Klötze             0,88      0,75          0         13.711     39.227        936         235        25,11           42    33.418      5,22       1.048     13.100     ja            90           40 Könnern              0         0           0           2.184     3.407         92          60        65,22           37    14.513      1,10         922        258    nein             0            0 Köthen KrsErgB       1         0           0             558    18.619         63            0        0,00         296     47.203      0,71       1.542     17.000     ja            17             7 Köthen StB         2,25        3           0         58.315     82.594      3.142         510        16,23           26    51.514      3,88       1.501     29.856     ja           116           31 Landsberg            1         0           0         20.500     40.741        902         317        35,14           45    10.873      2,95       1.550      4.122    nein          176          134 Langenweddingen      0       0,75          0           1.950     4.484        235         153        65,11           19     6.834      3,53         610      1.000     ja            16           12 Leuna                0       0,83          0         10.424     46.632      2.119         150         7,08           22    27.276     16,53       1.036     19.494    nein           37           23 Lützen             0,50      0,75          0           3.375    26.973        145          30        20,69         186     13.061      7,25         803      1.000     ja              9            4 Magdeburg         23,10     18,86          0        431.432 1.141.414      16.914       4.143        24,49           67   376.690      6,45       7.945   215.731      ja           551          139 Merseburg            2       3,42          0         47.339    137.183      2.538         220         8,67           54    72.115      7,06       1.195     35.000     ja            82           32 Mücheln            0,75        0           0         10.491     42.375        939         186        19,81           45    16.035      9,74       1.200      7.082    nein           28           20 Naumburg           2,75      3,47          0         38.302    168.759      2.868         444        15,48           59    63.426      4,86       1.741     28.305     ja            79           34 Nebra                0         0           0           3.903    12.602        454          81        17,84           28    17.831      2,80         455      2.232    nein           79           18 Oebisfelde           0         1           0           8.524    42.438        510         327        64,12           83    13.753      4,96         588      5.964     ja           122           60 Oschersleben       2,87      2,62          0         24.116     76.120      1.830         576        31,48           42    40.124      5,48       2.375     14.575     ja           168          105 Osterburg          0,94        0           0         39.069    151.723      2.261         808        35,74           67    62.240      3,78       2.481     40.242     ja           248          170 Osternienburg      0,40        0           0           4.078    22.627        173          63        36,42         131      7.945      0,98         583        470     ja              5            5 Osterwieck           0         0           0         12.995     41.088      1.841         217        11,79           22    19.115      2,10       1.138      4.116    nein           24           12 Quedlinburg        4,13      1,70          0             890    47.299        890          84         9,44           53    69.162      3,62       1.802     13.802     ja            31           21 Querfurt             1         0           0         13.407     67.819        927         347        37,43           73    22.228      5,78       1.020      6.221     ja            63           46 Raguhn               0         0           0           1.636     7.886        324          21         6,48           24     8.927      2,01         720        681     ja            17             5 Salzmünde            0         0           0           3.615    15.760        426         k.A.         k.A.          37     6.914      4,93         966        500    nein           20           13 Salzwedel          3,17      3,36          0         59.248    212.630      4.175       1.540        36,89           51    77.831      5,74       2.505     35.784     ja           208          128 Sandersdorf          0         0           0           2.251     6.675        207          24        11,59           32    13.934      3,89         563        990    nein          189          112 Sangerhausen       2,05        1           0         21.027     71.957      2.402         646        26,89           30    42.785      5,60       1.553     15.000     ja           123           95 Schkopau           k.A.      k.A.        k.A.          3.810    13.765        441         181        41,04           31     8.138      4,66         654      4.163    nein           14             4 Schönebeck         2,25      2,48          0         22.131    107.948      2.072         342        16,51           52    36.382      8,94         846     22.023    nein          144          104 Seehausen            0         0           0           5.190    25.084        306         126        41,18           82    18.049      2,42       1.895      2.017     ja            58           16 Staßfurt             1       1,60          0         19.160     44.121        922         167        18,11           48    33.673      2,82       1.275     15.780     ja           136          120 2/3
98

Anlage 22 Jahr 2008 Bibliothek    Frage 11: Frage 11: Frage 12:    Frage 15a: Frage 15a: Frage 15b: Frage 15 b: Frage 16:    Frage 18:   Frage 19: Frage 20:  Frage 21:   Frage 22:  Frage 26: Frage 30:   Frage 30: Anzahl    Anzahl    ohne         Besucher Entleih‐      Nutzer     Nutzer bis Anteil       Entleih‐    Bestand Erneu‐       Öffnungs‐   Mittel     Benut‐    Veran‐      Veran‐ Biblio‐   Assis‐    bibliotheks‐             ungen                 12 Jahre    Nutzer bis  ungen                  erungs‐   stunden     Medien     zungs‐    staltungen  staltungen thekare   tenten    fachliche                                                  12 Jahre    je Nutzer              quote     im Jahr     kauf       gebühren  gesamt      für Kinder Ausbildung                                                 in %                               in %                  in EUR Stendal            2         0           0         47.215    156.621      3.405        1.161       34,10          46    65.197       4,17       2.928     19.860     ja            241         181 Tangermünde        1         0           0           5.087      7.700        519          52       10,02          15    15.943       2,77       1.536      5.704    nein            27            6 Teuchern           0         0           0           1.121      9.993         72           7        9,72        139       8.566      0,00         656         64     ja             15          14 Teutschenthal      1         0           0         24.496     72.546      2.145          939       43,78          34    27.301      13,74       1.812     12.050    nein           178         108 Thale            1,50        0           0         11.764     34.411         738         209       28,32          47    25.526       5,04         860      9.592     ja             41          28 Tröglitz           0       0,75          0           4.160    11.149         258         114       44,19          43      9.835      2,49         916      1.052     ja             11            9 Wanzleben          0         1           0         14.936     66.580      1.039          335       32,24          64    31.637       6,80       1.164     16.561     ja            152          76 Weferlingen        0       0,50          0           5.876    14.819         375         146       38,93          40      9.154      4,22         542      3.145    nein            30          30 Weißenfels       3,14      0,75          0         31.085     99.455      1.672          267       15,97          59    41.385       8,84       1.425     38.147     ja             61          24 Wernigerode      3,93      1,60          0         58.060    160.393      3.494        1.004       28,73          46    86.963      11,00       1.808     52.349    nein           191         141 Wettin           0,13        0           0           6.898      9.565        534         304       56,93          18    13.491       3,14         990          0     ja             58          50 Wittenberg       1,69      4,27          0         32.158    112.827      1.806          228       12,62          62    84.258       2,70       2.768     24.325     ja            131          30 Wolmirstedt      1,95      0,80          0         16.116     37.054      1.046          278       26,58          35    23.375       6,62       1.400      9.139     ja             87          48 Zahna              1         0           0           6.568    14.494         398         149       37,44          36    16.153       4,31         910      2.000     ja            121          87 Zeitz            1,85      2,47          0         57.865    184.595      1.894          102        5,39          97    82.627       6,09       3.376     20.833     ja            148          61 Zerbst             2       0,63          0          11500      52093         990         160       16,16          53     25984       4,68        1156       8866     ja             78          42 Zielitz            0       0,80          0           9.550    10.803         401         155       38,65          27      8.619      8,25         712      8.722    nein            54          34 Gesamt          145,36    112,72       0,92     2.276.723 6.945.935     134.728       29.085       21,59          51 ########        5,80             1.557.557                  8.289       4.391 3/3
99

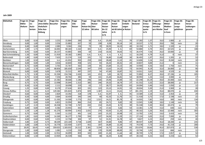
Anlage 23 Jahr 2009 Bibliothek        Frage 11: Frage      Frage 12:    Frage 15a: Frage 15a: Frage         Frage       Frage 15b:   Frage 16:   Frage 16:    Frage 18: Frage 19:   Frage 20:  Frage 21:   Frage 22:   Frage 26: Frage 30: Biblio‐    11:       ohne biblio‐ Besucher Entleih‐        15b:       15b:        Nutzer       Anteil      Anteil       Entleih‐ Bestand      Erneu‐     Öffnungs‐   Mittel      Benut‐    Veran‐ thekare Assis‐       theksfach‐                ungen       Nutzer     Nutzer bis  über         Nutzer      Nutzer       ungen                 erungs‐    stunden     Medien‐     zungs‐    staltungen tenten    liche Aus‐                                       12 Jahre    60 Jahre     bis 12      ab 60 Jahre  je Nutzer             quote      pro Woche   kauf        gebühren  gesamt bildung                                                                   Jahre       in %                               in %                   in Euro in % Aken                    0,00      0,50         0,00       3.253       15.864        200         50          k.A.      25,00          k.A.         79    17.282        1,37        16,0       1.800      ja               2 Annaburg                0,00      1,00         0,00       3.556       15.883        657         59          198        8,98        30,14          24    10.537        2,72        20,0         700     nein             20 Arendsee                0,40      0,40         0,00       2.083        9.364        236         73           39       30,93        16,53          40    10.194        1,71        18,0       1.320      ja              23 Aschersleben            1,00      1,73         0,00      16.001       80.183      1.162        301          k.A.      25,90         k. A.         69    54.880        4,74        20,5     22.525       ja             108 Bad Dürrenberg          0,95      0,00         0,00      26.157       43.883        606         64          210       10,56        34,65          72    26.474        7,56        26,0     10.000       ja               0 Bad Schmiedeberg        1,50      0,00         0,00      11.919       20.182      1.892        k.A.         k.A.       k. A.        k. A.         11    16.259        4,79        31,0           0     nein             37 Ballenstedt             1,00      0,00         0,56       7.633       15.574        519        191           71       36,80        13,68          30    36.493        1,97        20,0       1.205      ja              53 Barleben                1,00      0,50         0,00         k.A.      41.052        903        259          104       28,68        11,52          45    14.606        3,16        24,0       8.240     nein             10 Beesenlaublingen        0,00      0,00         1,00       3.016       10.844        458        121           93       26,42        20,31          24    10.837        0,00        21,0           0     nein             11 Beetzendorf             0,72      0,00         0,00       3.763       15.767        562        134           85       23,84        15,12          28    14.900        4,56        18,0       1.750     nein             75 Bernburg                1,65      2,70         1,00      68.856      185.650      2.546        347          370       13,63        14,53          73    64.945        8,19        32,0     26.800       ja              90 Bismark                 0,00      0,00         0,00       3.678       15.511        497        237           54       47,69        10,87          31    14.011        3,61        16,0       4.529      ja              18 Bitterfeld‐Wolfen       1,75      3,30         0,56      31.504      154.746      2.420        141          453        5,83        18,72          64    72.892        8,27        20,0     27.196       ja             105 Blankenburg             0,75      0,50         0,00       7.250       20.702        383         59          141       15,40        36,81          54    30.993        1,33        13,0       2.000      ja              17 Braunsbedra             1,00      1,00         0,00      21.582       38.666      1.186        296          166       24,96        14,00          33    22.248       14,19        20,0     25.000      nein             31 Burg                    0,75      0,75         0,00      13.998       35.044      1.313        385          246       29,32        18,74          27    61.552        3,32        22,0     28.000       ja             217 Calbe                   0,50      0,50         0,00       2.111       18.098        219         63           57       28,77        26,03          83    24.094        3,46        14,0       1.050      ja              12 Coswig                  1,25      0,00         0,00       8.170       27.616        825        191          123       23,15        14,91          33    20.034        5,50        21,0       2.969      ja              28 Dessau‐Roßlau           9,54      6,21         8,23     129.382      335.824      5.874        829        1.387       14,11        23,61          57   281.191        2,19        35,0     88.070       ja             430 Diesdorf                0,60      0,00         0,00       2.824       14.392        318        178          k.A.      55,97         k. A.         45    14.589        2,10        15,0       2.454      ja              29 Droyßig                 0,50      0,00         0,00       3.064       10.459        340        144           40       42,35        11,76          31    11.418        3,72        17,0       2.198     nein             22 Elbingerode             0,00      0,00         0,00      11.302       14.500      1.773        252        1.521       14,21        85,79           8    14.035        7,82        10,0         300     nein            134 Freyburg                0,75      0,00         0,00       6.821       33.994        866        214           85       24,71         9,82          39    13.945        5,98        18,0       1.148     nein             50 Gardelegen              1,47      2,19         0,00      26.558       52.740      1.767        432          154       24,45         8,72          30    55.338        5,50        30,0     24.473       ja              79 Gatersleben             0,00      0,00         0,00       6.582       23.955        442         77           25       17,42         5,66          54    13.381        1,70        15,0         640     nein             31 Genthin                 1,59      1,28         1,28      41.270       60.994      2.452      1.031          276       42,05        11,26          25    40.162        3,26        30,0     12.489      nein            303 Gommern                 0,75      0,00         0,00       5.363       11.232        491        124          103       25,25        20,98          23    13.702        2,91        19,0       3.433     nein             54 Gräfenhainichen         1,85      0,83         0,00      14.369       36.177      1.700        594          197       34,94        11,59          21    27.124        3,03        22,0       7.000      ja              92 Hadmersleben            0,00      0,60         0,00       3.255       12.758        304         97           51       31,91        16,78          42      9.827       4,23        20,0         259     nein             40 Halberstadt             4,80      3,50         0,75      48.209      223.169      4.738      1.649          467       34,80         9,86          47    88.937        6,89        35,0     18.200       ja             235 Haldensleben            3,00      2,00         0,75      16.770      122.459      1.677        451          207       26,89        12,34          73    74.578        7,73        24,0     41.219       ja             200 Halle                 20,95      18,45         4,60     359.023    1.183.032    14.212       2.381        3.294       16,75        23,18          83   253.076       10,66        45,0    257.073       ja             530 Harzgerode              1,00      0,00         0,00       1.081        6.210        250         80          170       32,00        68,00          25    10.746        1,01        12,0         684     nein             11 Hettstedt               1,00      0,00         2,00      12.912       34.099        859        183          100       21,30        11,64          40    38.749        3,74        17,0       2.857      ja              54 Hohenmölsen             0,00      1,50         0,00      13.925       26.539        566         92           48       16,25         8,48          47    20.150        4,21        18,0       3.233     nein             52 1/3
100

Zur nächsten Seite